Au Nanoparticles Supported on Hydrotalcite-Based MMgAlOx (M=Cu, Ni, and Co) Composite: Influence of Dopants on the Catalytic Activity for Semi-Hydrogenation of C2H2
Abstract
1. Introduction
2. Results and Discussion
2.1. Characterization of the Catalysts
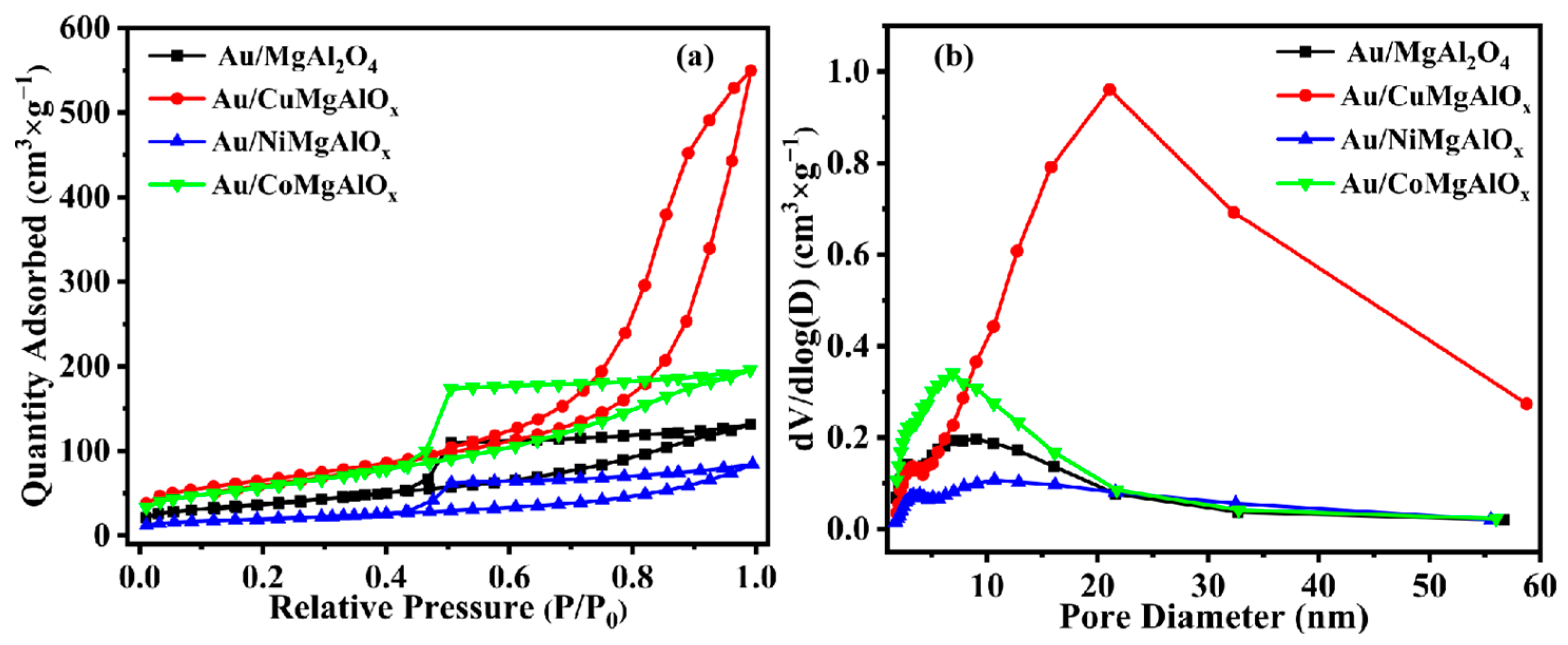
2.1.1. Crystal and Structural Properties
2.1.2. Catalyst Morphology and Particle Size Distribution of Au Nanoparticles
2.1.3. Acid–Base Property
2.1.4. Chemical States of Au, Co, and Cu in Catalysts
2.2. Catalytic Activity Tests
2.3. Coke Analysis and Stability
2.4. Study on the Reduction Behavior of C2H2 on the Surface of the Au/CuMgAlOx Catalyst
3. Materials and Methods
3.1. Catalyst Preparation
3.2. Catalyst Characterization
3.3. Catalytic Activity Measurement
4. Conclusions
Author Contributions
Funding
Data Availability Statement
Acknowledgments
Conflicts of Interest
References
- Ngamsom, B.; Bogdanchikova, N.; Avalos Borja, M.; Praserthdam, P. Characterisations of Pd–Ag/Al2O3 catalysts for selective acetylene hydrogenation: Effect of pretreatment with NO and N2O. Catal. Commun. 2004, 5, 243–248. [Google Scholar] [CrossRef]
- Borodziński, A.; Bond, G.C. Selective Hydrogenation of Ethyne in Ethene-Rich Streams on Palladium Catalysts. Part 1. Effect of Changes to the Catalyst During Reaction. Catal. Rev. 2006, 48, 91–144. [Google Scholar] [CrossRef]
- Liu, X.; Li, Y.; Lee, J.W.; Hong, C.-Y.; Mou, C.-Y.; Jang, B.W.L. Selective hydrogenation of acetylene in excess ethylene over SiO2 supported Au–Ag bimetallic catalyst. Appl. Catal. A Gen. 2012, 439–440, 8–14. [Google Scholar] [CrossRef]
- Somorjai, G.A.; Park, J.Y. Molecular Factors of Catalytic Selectivity. Angew. Chem. Int. Ed. 2008, 47, 9212–9228. [Google Scholar] [CrossRef] [PubMed]
- Benavidez, A.D.; Burton, P.D.; Nogales, J.L.; Jenkins, A.R.; Ivanov, S.A.; Miller, J.T.; Karim, A.M.; Datye, A.K. Improved selectivity of carbon-supported palladium catalysts for the hydrogenation of acetylene in excess ethylene. Appl. Catal. A Gen. 2014, 482, 108–115. [Google Scholar] [CrossRef]
- Chen, Y.; Chen, J. Selective hydrogenation of acetylene on SiO2 supported Ni-In bimetallic catalysts: Promotional effect of In. Appl. Surf. Sci. 2016, 387, 16–27. [Google Scholar] [CrossRef]
- Yang, B.; Burch, R.; Hardacre, C.; Headdock, G.; Hu, P. Origin of the Increase of Activity and Selectivity of Nickel Doped by Au, Ag, and Cu for Acetylene Hydrogenation. ACS Catal. 2012, 2, 1027–1032. [Google Scholar] [CrossRef]
- Zhang, Z.; Peh, S.B.; Wang, Y.; Kang, C.; Fan, W.; Zhao, D. Efficient Trapping of Trace Acetylene from Ethylene in an Ultramicroporous Metal–Organic Framework: Synergistic Effect of High-Density Open Metal and Electronegative Sites. Angew. Chem. Int. Ed. 2020, 59, 18927–18932. [Google Scholar] [CrossRef]
- McEwan, L.; Julius, M.; Roberts, S.; Fletcher, J.C.Q. A review of the use of gold catalysts in selective hydrogenation reactions. Gold Bull. 2010, 43, 298–306. [Google Scholar]
- McCue, A.J.; Anderson, J.A. Recent advances in selective acetylene hydrogenation using palladium containing catalysts. Front. Chem. Sci. Eng. 2015, 9, 142–153. [Google Scholar] [CrossRef]
- McCue, A.J.; Guerrero-Ruiz, A.; Ramirez-Barria, C.; Rodríguez-Ramos, I.; Anderson, J.A. Selective hydrogenation of mixed alkyne/alkene streams at elevated pressure over a palladium sulfide catalyst. J. Catal. 2017, 355, 40–52. [Google Scholar] [CrossRef]
- Borodziński, A.; Bond, G.C. Selective Hydrogenation of Ethyne in Ethene-Rich Streams on Palladium Catalysts, Part 2: Steady-State Kinetics and Effects of Palladium Particle Size, Carbon Monoxide, and Promoters. Catal. Rev. 2008, 50, 379–469. [Google Scholar] [CrossRef]
- Zhang, S.; Chen, C.-Y.; Jang, B.W.L.; Zhu, A.-M. Radio-frequency H2 plasma treatment of AuPd/TiO2 catalyst for selective hydrogenation of acetylene in excess ethylene. Catal. Today 2015, 256, 161–169. [Google Scholar] [CrossRef]
- Chesnokov, V.V.; Svintsitskii, D.A.; Chichkan, A.S.; Parmon, V.N. Effect of the structure of carbon support on the selectivity of Pt/C catalysts for the hydrogenation of acetylene to ethylene. Nanotechnologies Russ. 2018, 13, 246–255. [Google Scholar] [CrossRef]
- Thomas, J.M.; Raja, R.; Lewis, D.W. Single-Site Heterogeneous Catalysts. Angew. Chem. Int. Ed. 2005, 44, 6456–6482. [Google Scholar] [CrossRef] [PubMed]
- Shao, L.; Zhang, W.; Armbrüster, M.; Teschner, D.; Girgsdies, F.; Zhang, B.; Timpe, O.; Friedrich, M.; Schlögl, R.; Su, D.S. Nanosizing Intermetallic Compounds onto Carbon Nanotubes: Active and Selective Hydrogenation Catalysts. Angew. Chem. Int. Ed. 2011, 50, 10231–10235. [Google Scholar] [CrossRef] [PubMed]
- Huang, D.C.; Chang, K.H.; Pong, W.F.; Tseng, P.K.; Hung, K.J.; Huang, W.F. Effect of Ag-promotion on Pd catalysts by XANES. Catal. Lett. 1998, 53, 155–159. [Google Scholar] [CrossRef]
- Pei, G.X.; Liu, X.Y.; Yang, X.; Zhang, L.; Wang, A.; Li, L.; Wang, H.; Wang, X.; Zhang, T. Performance of Cu-Alloyed Pd Single-Atom Catalyst for Semihydrogenation of Acetylene under Simulated Front-End Conditions. ACS Catal. 2017, 7, 1491–1500. [Google Scholar] [CrossRef]
- Zhou, H.; Yang, X.; Li, L.; Liu, X.; Huang, Y.; Pan, X.; Wang, A.; Li, J.; Zhang, T. PdZn Intermetallic Nanostructure with Pd–Zn–Pd Ensembles for Highly Active and Chemoselective Semi-Hydrogenation of Acetylene. ACS Catal. 2016, 6, 1054–1061. [Google Scholar] [CrossRef]
- Cao, Y.; Sui, Z.; Zhu, Y.; Zhou, X.; Chen, D. Selective Hydrogenation of Acetylene over Pd-In/Al2O3 Catalyst: Promotional Effect of Indium and Composition-Dependent Performance. ACS Catal. 2017, 7, 7835–7846. [Google Scholar] [CrossRef]
- Ma, C.; Du, Y.; Feng, J.; Cao, X.; Yang, J.; Li, D. Fabrication of supported PdAu nanoflower catalyst for partial hydrogenation of acetylene. J. Catal. 2014, 317, 263–271. [Google Scholar] [CrossRef]
- Armbrüster, M.; Wowsnick, G.; Friedrich, M.; Heggen, M.; Cardoso-Gil, R. Synthesis and Catalytic Properties of Nanoparticulate Intermetallic Ga–Pd Compounds. J. Am. Chem. Soc. 2011, 133, 9112–9118. [Google Scholar] [CrossRef]
- Menezes, W.G.; Altmann, L.; Zielasek, V.; Thiel, K.; Bäumer, M. Bimetallic Co–Pd catalysts: Study of preparation methods and their influence on the selective hydrogenation of acetylene. J. Catal. 2013, 300, 125–135. [Google Scholar] [CrossRef]
- Han, Y.; Peng, D.; Xu, Z.; Wan, H.; Zheng, S.; Zhu, D. TiO2 supported Pd@Ag as highly selective catalysts for hydrogenation of acetylene in excess ethylene. Chem. Commun. 2013, 49, 8350–8352. [Google Scholar] [CrossRef]
- Huang, X.; Xia, Y.; Cao, Y.; Zheng, X.; Pan, H.; Zhu, J.; Ma, C.; Wang, H.; Li, J.; You, R.; et al. Enhancing both selectivity and coking-resistance of a single-atom Pd1/C3N4 catalyst for acetylene hydrogenation. Nano Res. 2017, 10, 1302–1312. [Google Scholar] [CrossRef]
- Ding, L.; Yi, H.; Zhang, W.; You, R.; Cao, T.; Yang, J.; Lu, J.; Huang, W. Activating Edge Sites on Pd Catalysts for Selective Hydrogenation of Acetylene via Selective Ga2O3 Decoration. ACS Catal. 2016, 6, 3700–3707. [Google Scholar] [CrossRef]
- Kim, W.-J.; Moon, S.H. Modified Pd catalysts for the selective hydrogenation of acetylene. Catal. Today 2012, 185, 2–16. [Google Scholar] [CrossRef]
- Sun, X.; Su, H.; Lin, Q.; Han, C.; Zheng, Y.; Sun, L.; Qi, C. Au/Cu–Fe–La–Al2O3: A highly active, selective and stable catalysts for preferential oxidation of carbon monooxide. Appl. Catal. A Gen. 2016, 527, 19–29. [Google Scholar] [CrossRef]
- Wei, H.; Wei, X.; Yang, X.; Yin, G.; Wang, A.; Liu, X.; Huang, Y.; Zhang, T. Supported Au-Ni nano-alloy catalysts for the chemoselective hydrogenation of nitroarenes. Chin. J. Catal. 2015, 36, 160–167. [Google Scholar] [CrossRef]
- Tan, Y.; Liu, X.Y.; Zhang, L.; Wang, A.; Li, L.; Pan, X.; Miao, S.; Haruta, M.; Wei, H.; Wang, H.; et al. ZnAl-Hydrotalcite-Supported Au25 Nanoclusters as Precatalysts for Chemoselective Hydrogenation of 3-Nitrostyrene. Angew. Chem. Int. Ed. 2017, 56, 2709–2713. [Google Scholar] [CrossRef]
- Qi, C.; Huang, J.; Bao, S.; Su, H.; Akita, T.; Haruta, M. Switching of reactions between hydrogenation and epoxidation of propene over Au/Ti-based oxides in the presence of H2 and O2. J. Catal. 2011, 281, 12–20. [Google Scholar] [CrossRef]
- Liu, C.; Zhang, J.; Huang, J.; Zhang, C.; Hong, F.; Zhou, Y.; Li, G.; Haruta, M. Efficient Aerobic Oxidation of Glucose to Gluconic Acid over Activated Carbon-Supported Gold Clusters. ChemSusChem 2017, 10, 1976–1980. [Google Scholar] [CrossRef]
- Nkosi, B.; Coville, N.J.; Hutchings, G.J. Vapour Phase Hydrochlorination of Acetylene with Group VIII and IB Metal Chloride Catalysts. Appl. Catal. 1988, 43, 33–39. [Google Scholar] [CrossRef]
- Segura, Y.; Lopez, N.; Perezramirez, J. Origin of the superior hydrogenation selectivity of gold nanoparticles in alkyne + alkene mixtures: Triple- versus double-bond activation. J. Catal. 2007, 247, 383–386. [Google Scholar] [CrossRef]
- Gluhoi, A.C.; Bakker, J.W.; Nieuwenhuys, B.E. Gold, still a surprising catalyst: Selective hydrogenation of acetylene to ethylene over Au nanoparticles. Catal. Today 2010, 154, 13–20. [Google Scholar] [CrossRef]
- Chai, M.; Liu, X.; Li, L.; Pei, G.; Ren, Y.; Su, Y.; Cheng, H.; Wang, A.; Zhang, T. SiO2-supported Au-Ni bimetallic catalyst for the selective hydrogenation of acetylene. Chin. J. Catal. 2017, 38, 1338–1346. [Google Scholar] [CrossRef]
- Zhou, H.; Li, B.; Zhang, Y.; Yan, X.; Lv, W.; Wang, X.; Yuan, B.; Liu, Y.; Yang, Z.; Lou, X. Au3+ Species Boost the Catalytic Performance of Au/ZnO for the Semi-hydrogenation of Acetylene. ACS Appl. Mater. Interfaces 2021, 13, 40429–40440. [Google Scholar] [CrossRef]
- Yan, X.; Bao, J.; Yuan, C.; Wheeler, J.; Lin, W.-Y.; Li, R.; Jang, B.W.L. Gold on carbon and titanium oxides composites: Highly efficient and stable acetylene hydrogenation in large excess of ethylene. J. Catal. 2016, 344, 194–201. [Google Scholar] [CrossRef]
- Jia, J.F.; Kenta, H.; Junko, N.K.; Kazunari, D.; Kenzi, T. Selective Hydrogenation of Acetylene over Au/Al2O3 Catalyst. J. Phys. Chem. B 2000, 104, 11153–11156. [Google Scholar] [CrossRef]
- Chai, M.Q.; Tan, Y.; Pei, G.X.; Li, L.; Zhang, L.; Liu, X.Y.; Wang, A.; Zhang, T. Crystal Plane Effect of ZnO on the Catalytic Activity of Gold Nanoparticles for the Acetylene Hydrogenation Reaction. J. Phys. Chem. C 2017, 121, 19727–19734. [Google Scholar]
- Liu, X.; Mou, C.-Y.; Lee, S.; Li, Y.; Secrest, J.; Jang, B.W.L. Room temperature O2 plasma treatment of SiO2 supported Au catalysts for selective hydrogenation of acetylene in the presence of large excess of ethylene. J. Catal. 2012, 285, 152–159. [Google Scholar] [CrossRef]
- Zhang, X.; Shi, H.; Xu, B.Q. Catalysis by Gold: Isolated Surface Au3+ Ions are Active Sites for Selective Hydrogenation of 1,3-Butadiene over Au/ZrO2 Catalysts. Angew. Chem. Int. Ed. 2005, 44, 7132–7135. [Google Scholar] [CrossRef]
- Fujitani, T.; Nakamura, I.; Akita, T.; Okumura, M.; Haruta, M. Hydrogen Dissociation by Gold Clusters. Angew. Chem. Int. Ed. 2009, 48, 9515–9518. [Google Scholar] [CrossRef] [PubMed]
- Li, Z.; Li, Y.; Li, J. Support effects on the dissociation of hydrogen over gold clusters on ZnO(101) surface: Theoretical insights. J. Chem. Phys. 2012, 137, 234704. [Google Scholar] [CrossRef] [PubMed]
- Qi, C.; Zhu, S.; Su, H.; Lin, H.; Guan, R. Stability improvement of Au/Fe–La–Al2O3 catalyst via incorporating with a FexOy layer in CO oxidation process. Appl. Catal. B Environ. 2013, 138–139, 104–112. [Google Scholar] [CrossRef]
- Nikolaev, S.A.; Smirnov, V.V. Synergistic and size effects in selective hydrogenation of alkynes on gold nanocomposites. Catal. Today 2009, 147, S336–S341. [Google Scholar] [CrossRef]
- Yan, X.; Wheeler, J.; Jang, B.; Lin, W.-Y.; Zhao, B. Stable Au catalysts for selective hydrogenation of acetylene in ethylene. Appl. Catal. A Gen. 2014, 487, 36–44. [Google Scholar] [CrossRef]
- Azizi, Y.; Petit, C.; Pitchon, V. Formation of polymer-grade ethylene by selective hydrogenation of acetylene over Au/CeO2 catalyst. J. Catal. 2008, 256, 338–344. [Google Scholar] [CrossRef]
- Zhang, Y.; Sun, X.; Zhao, Y.; Su, H.; Murayama, T.; Qi, C. C, N Co-Decorated Alumina-Supported Au Nanoparticles: Enhanced Catalytic Performance for Selective Hydrogenation of Acetylene. Top. Catal. 2020, 64, 197–205. [Google Scholar] [CrossRef]
- Sun, L.; Jiang, L.; Hua, X.; Zheng, Y.; Sun, X.; Zhang, M.; Su, H.; Qi, C. Preparation of Au/xCeO2-Al2O3 catalysts with enhanced catalytic properties for the selective acetylene hydrogenation. J. Alloys Compd. 2019, 811, 152052. [Google Scholar] [CrossRef]
- Sun, X.; Li, F.; Shi, J.; Zheng, Y.; Su, H.; Sun, L.; Peng, S.; Qi, C. Gold nanoparticles supported on MgOx-Al2O3 composite oxide: An efficient catalyst for selective hydrogenation of acetylene. Appl. Surf. Sci. 2019, 487, 625–633. [Google Scholar] [CrossRef]
- Peng, S.; Sun, X.; Sun, L.; Zhang, M.; Zheng, Y.; Su, H.; Qi, C. Selective Hydrogenation of Acetylene Over Gold Nanoparticles Supported on CeO2 Pretreated Under Different Atmospheres. Catal. Lett. 2018, 149, 465–472. [Google Scholar] [CrossRef]
- Tian, J.; Liu, H.; Li, P.; Huang, Z.; Chen, J. Selective oxidation of 1,2-propanediol to lactic acid over Cu-modified Au/hydrotalcite catalysts. New J. Chem. 2020, 44, 16311–16319. [Google Scholar] [CrossRef]
- Benkhelif, A.; Kolli, M. Synthesis of Pure Magnesium Aluminate Spinel (MgAl2O4) from Waste Aluminum Dross. Waste Biomass Valorization 2022, 13, 2637–2649. [Google Scholar] [CrossRef]
- Cavani, F.F. Trifirò. Vaccari, A. Hydrotalcite-type anionic clays: Preparation, properties and applications. Catal. Today 1991, 11, 173–301. [Google Scholar] [CrossRef]
- Duan, Z.; Zhang, M.; Bian, H.; Wang, Y.; Zhu, L.; Xiang, Y.; Xia, D. Copper(II)-β-cyclodextrin and CuO functionalized graphene oxide composite for fast removal of thiophenic sulfides with high efficiency. Carbohydr. Polym. 2020, 228, 115385. [Google Scholar] [CrossRef]
- Zhang, Y.; Cui, X.; Shi, F.; Deng, Y. Nano-Gold Catalysis in Fine Chemical Synthesis. Chem. Rev. 2011, 112, 2467–2505. [Google Scholar] [CrossRef] [PubMed]
- Ichiji, M.; Akiba, H.; Hirasawa, I. Size Control of Au NPs Supported by PH Operation. J. Cryst. Growth 2017, 469, 168–171. [Google Scholar] [CrossRef]
- Wan, X.; Deng, W.; Zhang, Q.; Wang, Y. Magnesia-supported gold nanoparticles as efficient catalysts for oxidative esterification of aldehydes or alcohols with methanol to methyl esters. Catal. Today 2014, 233, 147–154. [Google Scholar] [CrossRef]
- Li, H.; Tan, Y.; Chen, X.; Yang, W.; Huang, C.; Li, J.; Ding, Y. Efficient Synthesis of Methyl Methacrylate by One Step Oxidative Esterification over Zn-Al-Mixed Oxides Supported Gold Nanocatalysts. Catalysts 2021, 11, 162. [Google Scholar] [CrossRef]
- Ren, J.; Liu, Y.-L. Boosting syngas production from corncob tar reforming over Ni/MgAl hydrotalcite-derived catalysts. Fuel 2022, 307, 121779. [Google Scholar] [CrossRef]
- Díez, V. Effect of the chemical composition on the catalytic performance of MgyAlOx catalysts for alcohol elimination reactions. J. Catal. 2003, 215, 220–233. [Google Scholar] [CrossRef]
- Galvita, V.; Siddiqi, G.; Sun, P.; Bell, A.T. Ethane dehydrogenation on Pt/Mg(Al)O and PtSn/Mg(Al)O catalysts. J. Catal. 2010, 271, 209–219. [Google Scholar] [CrossRef]
- Arab, L.; Boutahala, M.; Djellouli, B.; Dintzer, T.; Pitchon, V. Characteristics of gold supported on nickel-containing hydrotalcite catalysts in CO oxidation. Appl. Catal. A Gen. 2014, 475, 446–460. [Google Scholar] [CrossRef]
- Xia, H.; An, J.; Hong, M.; Xu, S.; Zhang, L.; Zuo, S. Aerobic oxidation of 5-hydroxymethylfurfural to 2,5-difurancarboxylic acid over Pd-Au nanoparticles supported on Mg-Al hydrotalcite. Catal. Today 2019, 319, 113–120. [Google Scholar] [CrossRef]
- Sudarsanam, P.; Mallesham, B.; Reddy, P.S.; Großmann, D.; Grünert, W.; Reddy, B.M. Nano-Au/CeO2 catalysts for CO oxidation: Influence of dopants (Fe, La and Zr) on the physicochemical properties and catalytic activity. Appl. Catal. B Environ. 2014, 144, 900–908. [Google Scholar] [CrossRef]
- Chou, J.; McFarland, E.W. Direct propylene epoxidation on chemically reduced Au nanoparticles supported on titania. Chem. Commun. 2004, 14, 1468–1469. [Google Scholar]
- Kitsudo, Y.; Iwamoto, A.; Matsumoto, H.; Mitsuhara, K.; Nishimura, T.; Takizawa, M.; Akita, T.; Maeda, Y.; Kido, Y. Final state effect for Au 4f line from gold-nano-particles grown on oxides and HOPG supports. Surf. Sci. 2009, 603, 2108–2114. [Google Scholar] [CrossRef]
- Deng, W.; Jesus, J.D.; Saltsburg, H.; Flytzani-Stephanopoulos, M. Low-content gold-ceria catalysts for the water–gas shift and preferential CO oxidation reactions. Appl. Catal. A Gen. 2005, 291, 126–135. [Google Scholar] [CrossRef]
- Tian, Y.; Li, Y.; Zheng, Y.; Wang, M.; Zuo, C.; Huang, H.; Yin, D.; Fu, Z.; Tan, J.; Zhou, Z. Nano-Au/MCeOx Catalysts for the Direct Oxidative Esterification of Methylacrolein to Methyl Esters. Ind. Eng. Chem. Res. 2019, 58, 19397–19405. [Google Scholar] [CrossRef]
- Al-Aani, H.M.S.; Trandafir, M.M.; Fechete, I.; Leonat, L.N.; Badea, M.; Negrilă, C.; Popescu, I.; Florea, M.; Marcu, I.-C. Highly Active Transition Metal-Promoted CuCeMgAlO Mixed Oxide Catalysts Obtained from Multicationic LDH Precursors for the Total Oxidation of Methane. Catalysts 2020, 10, 613. [Google Scholar] [CrossRef]
- Hong, J.; Chu, W.; Chen, M.; Wang, X.; Zhang, T. Preparation of novel titania supported palladium catalysts for selective hydrogenation of acetylene to ethylene. Catal. Commun. 2007, 8, 593–597. [Google Scholar] [CrossRef]
- Shen, Y.; Wu, P. Two-dimensional Raman spectroscopic study on the structural changes of a poly(3-chlorothiophene) film during the heating process. Polymer 2006, 47, 7111–7114. [Google Scholar] [CrossRef]
- Haruta, M.; Yamada, N.; Kobayashi, T.; Iijima, S. Gold Catalysts Prepared by Coprecipitation for Low-Temperature Oxidation of Hydrogen and of Carbon Monoxide. J. Catal. 1989, 115, 301–309. [Google Scholar] [CrossRef]
- Cameron, D.; Holliday, R.; Thompson, D. Gold’s future role in fuel cell systems. J. Power Sources 2003, 118, 298–303. [Google Scholar] [CrossRef]
- Che, L.; Guo, J.; He, Z.; Zhang, H. Evidence of rate-determining step variation along reactivity in acetylene hydrogenation: A systematic kinetic study on elementary steps, kinetically relevant(s) and active species. J. Catal. 2022, 414, 336–348. [Google Scholar] [CrossRef]














| Catalyst | SBET/m2 g−1 | Dpore/nm | Vpore/cm3 g−1 |
|---|---|---|---|
| Au/MgAl2O4 | 136 | 4.1 | 0.21 |
| Au/CuMgAlOx | 233 | 11.0 | 0.85 |
| Au/NiMgAlOx | 69 | 4.3 | 0.13 |
| Au/CoMgAlOx | 212 | 3.9 | 0.31 |
| Catalyst | Ingredient Ratio (mol) | Physical Composition (mol) | ||||
|---|---|---|---|---|---|---|
| M | Mg | Al | M | Mg | Al | |
| Au/MgAl2O4 | — | 45 | 50 | — | 47.5 | 52.4 |
| Au/CuMgAlOx | 5 | 45 | 50 | 5.3 | 47.4 | 47.2 |
| Au/NiMgAlOx | 5 | 45 | 50 | 5.7 | 47.6 | 46.6 |
| Au/CoMgAlOx | 5 | 45 | 50 | 5.1 | 47.5 | 47.3 |
| Catalyst | Base/mmol g−1 | Acid/mmol g−1 | Base/Acid |
|---|---|---|---|
| Au/MgAl2O4 | 2.97 | 4.91 | 0.60 |
| Au/CuMgAlOx | 5.57 | 3.76 | 1.48 |
| Au/NiMgAlOx | 3.90 | 2.96 | 1.32 |
| Au/CoMgAlOx | 3.84 | 2.97 | 1.29 |
| Catalyst | Atomic Content (%) | |||||
|---|---|---|---|---|---|---|
| M | Au | Al | Mg | C | O | |
| Au/MgAl2O4 | - | 0.53 | 14.19 | 15.44 | 16.06 | 53.70 |
| Au/CuMgAlOx | 0.75 | 0.41 | 16.57 | 13.34 | 15.19 | 53.10 |
| Au/NiMgAlOx | 0.99 | 0.48 | 17.55 | 13.68 | 15.82 | 51.49 |
| Au/CoMgAlOx | 0.64 | 0.50 | 13 | 15.46 | 16.48 | 52.53 |
| Catalyst | Atomic Ratio | |
|---|---|---|
| Al/Au | C/Al | |
| Au/MgAl2O4 | 26.77 | 1.13 |
| Au/CuMgAlOx | 40.41 | 0.92 |
| Au/MgAlOx−12 h | 37.22 | 2.12 |
| Au/CuMgAlOx−12 h | 27.31 | 1.46 |
Disclaimer/Publisher’s Note: The statements, opinions and data contained in all publications are solely those of the individual author(s) and contributor(s) and not of MDPI and/or the editor(s). MDPI and/or the editor(s) disclaim responsibility for any injury to people or property resulting from any ideas, methods, instructions or products referred to in the content. |
© 2024 by the authors. Licensee MDPI, Basel, Switzerland. This article is an open access article distributed under the terms and conditions of the Creative Commons Attribution (CC BY) license (https://creativecommons.org/licenses/by/4.0/).
Share and Cite
Sun, X.; Lv, W.; Cheng, Y.; Su, H.; Sun, L.; Zhao, L.; Wang, Z.; Qi, C. Au Nanoparticles Supported on Hydrotalcite-Based MMgAlOx (M=Cu, Ni, and Co) Composite: Influence of Dopants on the Catalytic Activity for Semi-Hydrogenation of C2H2. Catalysts 2024, 14, 315. https://doi.org/10.3390/catal14050315
Sun X, Lv W, Cheng Y, Su H, Sun L, Zhao L, Wang Z, Qi C. Au Nanoparticles Supported on Hydrotalcite-Based MMgAlOx (M=Cu, Ni, and Co) Composite: Influence of Dopants on the Catalytic Activity for Semi-Hydrogenation of C2H2. Catalysts. 2024; 14(5):315. https://doi.org/10.3390/catal14050315
Chicago/Turabian StyleSun, Xun, Wenrui Lv, Yanan Cheng, Huijuan Su, Libo Sun, Lijun Zhao, Zifan Wang, and Caixia Qi. 2024. "Au Nanoparticles Supported on Hydrotalcite-Based MMgAlOx (M=Cu, Ni, and Co) Composite: Influence of Dopants on the Catalytic Activity for Semi-Hydrogenation of C2H2" Catalysts 14, no. 5: 315. https://doi.org/10.3390/catal14050315
APA StyleSun, X., Lv, W., Cheng, Y., Su, H., Sun, L., Zhao, L., Wang, Z., & Qi, C. (2024). Au Nanoparticles Supported on Hydrotalcite-Based MMgAlOx (M=Cu, Ni, and Co) Composite: Influence of Dopants on the Catalytic Activity for Semi-Hydrogenation of C2H2. Catalysts, 14(5), 315. https://doi.org/10.3390/catal14050315

