Hydrogenolysis of Benzyl Phenyl Ether Using Nickel–Molybdenum Clay Catalysts—A Model for Cleaving Ether Linkages in Lignin
Abstract
1. Introduction
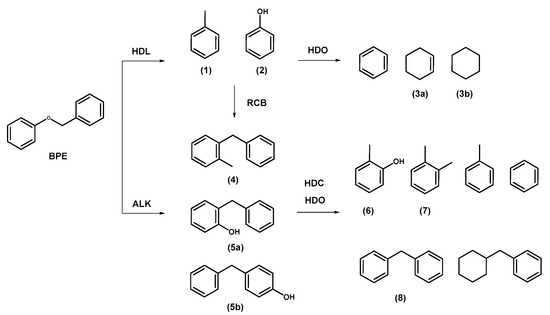
2. Results
2.1. Catalytic HDL of BPE
2.2. Catalyst Structure–Activity Relationship
2.2.1. TPD-NH3 Analysis
2.2.2. SEM and HRTEM Analysis
2.3. Neutron Scattering and Computational Studies
3. Materials and Methods
3.1. Materials
3.2. Synthesis of PILC and PILC-Supported NiMo Catalyst
3.3. Catalytic Testing
3.4. Catalyst Characterisation
3.5. Neutron Scattering Measurements
3.6. Computational Studies
4. Conclusions
Supplementary Materials
Author Contributions
Funding
Data Availability Statement
Acknowledgments
Conflicts of Interest
References
- Wang, H.; Pu, Y.; Ragauskas, A.; Yang, B. From Lignin to Valuable Products–Strategies, Challenges, and Prospects. Bioresour. Technol. 2019, 271, 449–461. [Google Scholar] [CrossRef]
- Shen, Z.; Shi, C.; Liu, F.; Wang, W.; Ai, M.; Huang, Z.; Zhang, X.; Pan, L.; Zou, J.J. Advances in Heterogeneous Catalysts for Lignin Hydrogenolysis. Adv. Sci. 2024, 11, 2306693. [Google Scholar] [CrossRef]
- Yang, S.; Jeong, S.; Ban, C.; Kim, H.; Kim, D.H. Catalytic Cleavage of Ether Bond in a Lignin Model Compound over Carbon-Supported Noble Metal Catalysts in Supercritical Ethanol. Catalysts 2019, 9, 158. [Google Scholar] [CrossRef]
- Zhang, J.; Teo, J.; Chen, X.; Asakura, H.; Tanaka, T.; Teramura, K.; Yan, N. A Series of NiM (M = Ru, Rh, and Pd) Bimetallic Catalysts for Effective Lignin Hydrogenolysis in Water. ACS Catal. 2014, 4, 1574–1583. [Google Scholar] [CrossRef]
- Phillips, E.V.; Tricker, A.W.; Stavitski, E.; Hatzell, M.; Sievers, C. Mechanocatalytic Hydrogenolysis of the Lignin Model Dimer Benzyl Phenyl Ether over Supported Palladium Catalysts. ACS Sustain. Chem. Eng. 2024, 12, 12306–12312. [Google Scholar] [CrossRef]
- Güvenatam, B.; Kurşun, O.; Heeres, E.H.J.; Pidko, E.A.; Hensen, E.J.M. Hydrodeoxygenation of Mono- and Dimeric Lignin Model Compounds on Noble Metal Catalysts. Catal. Today 2014, 233, 83–91. [Google Scholar] [CrossRef]
- Hu, J.; Shen, D.; Wu, S.; Zhang, H.; Xiao, R. Catalytic Cleavage of C-O Linkages in Benzyl Phenyl Ether Assisted by Microwave Heating. RSC Adv. 2015, 5, 43972–43977. [Google Scholar] [CrossRef]
- Paone, E.; Espro, C.; Pietropaolo, R.; Mauriello, F. Selective Arene Production from Transfer Hydrogenolysis of Benzyl Phenyl Ether Promoted by a Co-Precipitated Pd/Fe3O4 Catalyst. Catal. Sci. Technol. 2016, 6, 7937–7941. [Google Scholar] [CrossRef]
- Park, H.W.; Park, S.; Park, D.R.; Choi, J.H.; Song, I.K. Catalytic Decomposition of Phenethyl Phenyl Ether and Benzyl Phenyl Ether to Aromatics over Pd/CsxH3.0−XPW12O40 (X = 2.0, 2.3, 2.5, 2.8, and 3.0). J. Ind. Eng. Chem. 2011, 17, 736–741. [Google Scholar] [CrossRef]
- Yoon, J.S.; Lee, Y.; Ryu, J.; Kim, Y.A.; Park, E.D.; Choi, J.W.; Ha, J.M.; Suh, D.J.; Lee, H. Production of High Carbon Number Hydrocarbon Fuels from a Lignin-Derived α-O-4 Phenolic Dimer, Benzyl Phenyl Ether, via Isomerization of Ether to Alcohols on High-Surface-Area Silica-Alumina Aerogel Catalysts. Appl. Catal. B 2013, 142–143, 668–676. [Google Scholar] [CrossRef]
- Zou, D.; Jin, L.; Zhong, M.; Hu, H.; Ma, F. Catalytic Performance of Modified Kaolinite in Pyrolysis of Benzyl Phenyl Ether: A Model Compound of Low Rank Coal. J. Energy Inst. 2020, 93, 2314–2324. [Google Scholar] [CrossRef]
- Zhu, C.; Cao, J.P.; Zhao, X.Y.; Xie, T.; Ren, J.; Wei, X.Y. Mechanism of Ni-Catalyzed Selective C–O Cleavage of Lignin Model Compound Benzyl Phenyl Ether under Mild Conditions. J. Energy Inst. 2019, 92, 74–81. [Google Scholar] [CrossRef]
- Matsagar, B.M.; Kang, T.C.; Wang, Z.Y.; Yoshikawa, T.; Nakasaka, Y.; Masuda, T.; Chuang, L.C.; Wu, K.C.W. Efficient Liquid-Phase Hydrogenolysis of a Lignin Model Compound (Benzyl Phenyl Ether) Using a Ni/Carbon Catalyst. React. Chem. Eng. 2019, 4, 618–626. [Google Scholar] [CrossRef]
- Kim, J.K.; Lee, J.K.; Kang, K.H.; Song, J.C.; Song, I.K. Selective Cleavage of C-O Bond in Benzyl Phenyl Ether to Aromatics over Pd-Fe Bimetallic Catalyst Supported on Ordered Mesoporous Carbon. Appl. Catal. A Gen. 2015, 498, 142–149. [Google Scholar] [CrossRef]
- Matsuhashi, H.; Hattori, H.; Tanabe, K. Catalytic Activities of Binary Metal Oxides Containing Iron for Hydrocracking of Benzyl Phenyl Ether and Diphenyl Ether. Fuel 1985, 64, 1224–1228. [Google Scholar] [CrossRef]
- Paone, E.; Beneduci, A.; Corrente, G.A.; Malara, A.; Mauriello, F. Hydrogenolysis of Aromatic Ethers under Lignin-First Conditions. Mol. Catal. 2020, 497, 111228. [Google Scholar] [CrossRef]
- Yang, L.; Li, Y.; Savage, P.E. Hydrolytic Cleavage of C-O Linkages in Lignin Model Compounds Catalyzed by Water-Tolerant Lewis Acids. Ind. Eng. Chem. Res. 2014, 53, 2633–2639. [Google Scholar] [CrossRef]
- He, J.; Lu, L.; Zhao, C.; Mei, D.; Lercher, J.A. Mechanisms of Catalytic Cleavage of Benzyl Phenyl Ether in Aqueous and Apolar Phases. J. Catal. 2014, 311, 41–51. [Google Scholar] [CrossRef]
- Ozawa, S.; Suenaga, T.; Ogino, Y. Effects of Molten Tin Surface upon the Reaction of Benzyl Phenyl Ether. Fuel 1985, 64, 712–714. [Google Scholar] [CrossRef]
- Roberts, V.; Fendt, S.; Lemonidou, A.A.; Li, X.; Lercher, J.A. Influence of Alkali Carbonates on Benzyl Phenyl Ether Cleavage Pathways in Superheated Water. Appl. Catal. B 2010, 95, 71–77. [Google Scholar] [CrossRef]
- Faro, A.C.; Grange, P.; dos Santos, A.C.B. Niobia-Supported Nickel-Molybdenum Catalysts: Characterisation of the Oxide Form. Phys. Chem. Chem. Phys. 2002, 4, 3997–4007. [Google Scholar] [CrossRef]
- Salam, M.A.; Arora, P.; Ojagh, H.; Cheah, Y.W.; Olsson, L.; Creaser, D. NiMoS on Alumina-USY Zeolites for Hydrotreating Lignin Dimers: Effect of Support Acidity and Cleavage of C-C Bonds. Sustain. Energy Fuels 2019, 4, 149–163. [Google Scholar] [CrossRef]
- Dong, C.; Yin, C.; Wu, T.; Wu, Z.; Liu, D.; Liu, C. Acid Modification of the Unsupported NiMo Catalysts by Y-Zeolite Nanoclusters. Crystals 2019, 9, 344. [Google Scholar] [CrossRef]
- Adilina, I.B.; Rinaldi, N.; Simanungkalit, S.P.; Aulia, F.; Oemry, F.; Stenning, G.B.G.; Silverwood, I.P.; Parker, S.F. Hydrodeoxygenation of Guaiacol as a Bio-Oil Model Compound over Pillared Clay-Supported Nickel-Molybdenum Catalysts. J. Phys. Chem. C 2019, 123, 21429–21439. [Google Scholar] [CrossRef]
- Oemry, F.; Adilina, I.B.; Cahyanto, W.T.; Rinaldi, N.; Aulia, F.; Jackson, A.; Parker, S.F.; Kroner, A.B.; Shotton, E.J. Experimental and Computational Studies of Sulfided NiMo Supported on Pillared Clay: Catalyst Activation and Guaiacol Adsorption Sites. Phys. Chem. Chem. Phys. 2022, 25, 2978–2989. [Google Scholar] [CrossRef] [PubMed]
- Adilina, I.B.; Widjaya, R.R.; Hidayati, L.N.; Supriadi, E.; Safaat, M.; Oemry, F.; Restiawaty, E.; Bindar, Y.; Parker, S.F. Understanding the Surface Characteristics of Biochar and Its Catalytic Activity for the Hydrodeoxygenation of Guaiacol. Catalysts 2021, 11, 1434. [Google Scholar] [CrossRef]
- Yu, X.; Cheng, Y.; Li, Y.; Polo-Garzon, F.; Liu, J.; Mamontov, E.; Li, M.; Lennon, D.; Parker, S.F.; Ramirez-Cuesta, A.J.; et al. Neutron Scattering Studies of Heterogeneous Catalysis. Chem. Rev. 2023, 123, 8638–8700. [Google Scholar] [CrossRef] [PubMed]
- Parker, S.F.; Lennon, D. Net Zero and Catalysis: How Neutrons Can Help. Physchem 2021, 1, 95–120. [Google Scholar] [CrossRef]
- Xia, Q.; Chen, Z.; Shao, Y.; Gong, X.; Wang, H.; Liu, X.; Parker, S.F.; Han, X.; Yang, S.; Wang, Y. Direct Hydrodeoxygenation of Raw Woody Biomass into Liquid Alkanes. Nat. Commun. 2016, 7, 11162. [Google Scholar] [CrossRef] [PubMed]
- Sato, Y.; Yamakawa, T. Thermal Decomposition of Benzyl Phenyl Ether and Benzyl Phenyl Ketone in the Presence of Tetralin. Ind. Eng. Chem. Fundam. 1985, 24, 12–15. [Google Scholar] [CrossRef]
- Trombetta, M.; Busca, G.; Lenarda, M.; Storaro, L.; Ganzerla, R.; Piovesan, L.; Jimenez Lopez, A.; Alcantara-Rodrìguez, M.; Rodríguez-Castellón, E. Solid Acid Catalysts from Clays Evaluation of Surface Acidity of Mono-and Bi-Pillared Smectites by FT-IR Spectroscopy Measurements, NH 3-TPD and Catalytic Tests. Appl. Catal. A Gen. 2000, 193, 55–69. [Google Scholar] [CrossRef]
- Gardner, A.M.; Wright, T.G. Consistent Assignment of the Vibrations of Monosubstituted Benzenes. J. Chem. Phys. 2011, 135, 114305. [Google Scholar] [CrossRef] [PubMed]
- Ding, S.; Jiang, S.; Wang, J.; Huang, X.; Yang, Z. Effects of the Ni-Mo Ratio on Olefin Selective Hydrogenation Catalyzed on Ni-Mo-S Active Sites: A Theoretical Study by DFT Calculation. Fuel 2020, 277, 118136. [Google Scholar] [CrossRef]
- Lainé, J.; Foucaud, Y.; Bonilla-Petriciolet, A.; Badawi, M. Molecular Picture of the Adsorption of Phenol, Toluene, Carbon Dioxide and Water on Kaolinite Basal Surfaces. Appl. Surf. Sci. 2022, 585, 152699. [Google Scholar] [CrossRef]
- Jia, X.; An, W. Adsorption of Monocyclic Aromatics on Transition Metal Surfaces: Insight into Variation of Binding Strength from First-Principles. J. Phys. Chem. C 2018, 122, 21897–21909. [Google Scholar] [CrossRef]
- Frisch, M.J.; Trucks, G.W.; Schlegel, H.B.; Scuseria, G.E.; Robb, M.A.; Cheeseman, J.R.; Scalmani, G.; Barone, V.; Martin, R.L.; Petersson, G.A.; et al. Gaussian 09; Revision A.02 ed.; Gaussian, Inc.: Wallingford, CT, USA, 2016. [Google Scholar]
- Dennington, R.; Keith, T.; Millam, J. GaussView, Version 5; Gaussian, Inc.: Wallingford, CT, USA, 2009. [Google Scholar]
- Ramirez-Cuesta, A.J. ACLIMAX 4.0.1, the New Version of the Software for Analyzing and Interpreting INS Spectra. Comput. Phys. Commun. 2004, 157, 226–238. [Google Scholar] [CrossRef]
- Adilina, I.B.; Parker, S.F.; Rinaldi, N.; Oemry, F.; Aulia, F. Catalytic Hydrodeoxygenation of Benzyl Phenyl Ether as a Lignin Model Compound. STFC ISIS Neutron and Muon Source. Available online: https://data.isis.stfc.ac.uk/doi/STUDY/103197824/ (accessed on 20 December 2024).
- Adilina, I.B.; Silverwood, I.P.; Aulia, F.; Oemry, F.; Rinaldi, N.; Parker, S.F. A QENS Study of Benzyl Phenyl Ether, a Lignin Model Compound, on a Hydrodeoxygenation Catalyst. STFC ISIS Neutron and Muon Source. Available online: https://data.isis.stfc.ac.uk/doi/STUDY/103197540/ (accessed on 20 December 2024).








| Catalyst | Temperature /K | Conversion /% | Product Distribution/% | |||||||
|---|---|---|---|---|---|---|---|---|---|---|
| (1) | (2) | (3) | (4) | (5) | (6) | (7) | (8) | |||
| NiMoPS | 573 | 100 | 30 | 30 | 4 | 5 | 4 | 3 | 5 | 19 |
| NiMoPR | 573 | 100 | 43 | 14 | 5 | 6 | 3 | 1 | 8 | 20 |
| PILC | 573 | 100 | 22 | 29 | 3 | 5 | 4 | 2 | 3 | 32 |
| Catalyst | Temperature /K | Conversion/% | Product Distribution/% | |||||||
|---|---|---|---|---|---|---|---|---|---|---|
| (1) | (2) | (3) | (4) | (5) | (6) | (7) | (8) | |||
| NiMoPS | 523 | 100 | 11 | 52 | 2 | 2 | 2 | 11 | 2 | 18 |
| NiMoPS | 573 | 100 | 30 | 30 | 4 | 5 | 4 | 3 | 7 | 19 |
| NiMoPS | 623 | 100 | 31 | 41 | 2 | 4 | 3 | 3 | 4 | 12 |
| Catalyst | Acidity (mmol g−1) |
|---|---|
| NiMoPS | 0.251 |
| NiMoPR | 0.189 |
| NiMoPO | 0.118 |
| PILC | 0.235 |
| Observed | Calculated a | Description b,c | ||
|---|---|---|---|---|
| INS /cm−1 | Infrared /cm−1 | /cm−1 | Infrared Intensity /km mol−1 | |
| 23 | 0.48 | B c ring–CH2 torsion | ||
| 37 | 0.31 | A ring out-of-plane bend | ||
| 72 | 0.12 | O–CH2–B ring in-plane bend | ||
| 94 | 2.78 | O–CH2 torsion | ||
| 188s d | 188w | 188 | 1.60 | CH2–O–A ring in-plane bend |
| 245s | 239w | 228 | 1.67 | CH2 out-of-plane bend 20(B) |
| 258s | 250 | 0.30 | O out-of-plane bend 20(A) | |
| 336vs | 333w | 309 | 1.17 | O–CH2–B ring in-plane bend 30(B) |
| 406vs | 405w | 407 | 0.59 | Out-of-plane ring deformation 14(B) |
| 414/423w | 415 | 0.00 | Out-of-plane ring deformation 14(A) | |
| 425s | 439 | 2.05 | O-A ring in-plane bend 30(A) | |
| 507s | 502m | 496 | 6.67 | Out-of-plane ring deformation 19(B) |
| 517m | 515m | 508 | 11.62 | Out-of-plane ring deformation 19(A) |
| 532w | 532w | 532 | 0.31 | In-plane ring deformation 11(A) + 11(B) out of phase |
| 616m,br | 610w | 618 | 1.30 | In-plane ring deformation 29(A) |
| 619sh | 624 | 0.32 | In-plane ring deformation 29(B) | |
| 629w | 627m | 631 | 5.59 | In-plane ring deformation 11(A) + 11(B) in phase |
| 688s | 687 | 24.57 | Out-of-plane ring deformation 18(A) | |
| 695s | 696s | 696 | 31.63 | Out-of-plane ring deformation 18(B) |
| 750s | 735 | 36.58 | Out-of-plane ring deformation 17(B) | |
| 761s | 742vs | 748 | 74.01 | Out-of-plane ring deformation 17(A) |
| 800w | 803 | 7.83 | CH2–B ring stretch + O–A ring stretch out-of-phase 10(A) + 10(B) | |
| 816m,br | 811w | 806 | 0.07 | Out-of-plane C–H bend 13(B) |
| 854 | 836 | 0.44 | Out-of-plane C–H bend 13(A) | |
| 856m | 848 | 18.95 | CH2–B ring stretch + O–A ring stretch in-phase 10(A) + 10(B) | |
| 882m | 877w | 871 | 8.21 | Out-of-plane C–H bend 16(A) |
| 921m | 915m | 897 | 6.32 | Out-of-plane C–H bend 16(B) |
| 957sh | 931 | 0.04 | Out-of-plane C–H bend 12(B) | |
| 977m | 944 | 0.12 | Out-of-plane C–H bend 12(A) | |
| 953 | 0.23 | Out-of-plane C–H bend 15(A) | ||
| 992m | 970 | 0.60 | Out-of-plane C–H bend 15(B) | |
| 990m | 992 | 1.64 | Out-of-plane C–H bend 9(A) | |
| 999 | 1.08 | Out-of-plane C–H bend 9(B) | ||
| 1011s | 1014 | 9.29 | CH2 rock | |
| 1028m | 1024 | 6.83 | In-plane ring deformation 8(A) | |
| 1027s | 1032 | 14.98 | In-plane ring deformation 8(B) | |
| 1077s | 1040 | 73.64 | O–CH2 stretch | |
| 1082m | 1085 | 11.87 | In-plane C–H bend 28(A) | |
| 1092 | 4.91 | In-plane C–H bend 28(B) | ||
| 1147w | 1159 | 6.22 | In-plane C–H bend 27(A) | |
| 1158m | 1162sh | 1163 | 0.12 | In-plane C–H bend 27(B) |
| 1172m | 1169s | 1176 | 24.95 | In-plane C–H bend 7(A) |
| 1183 | 3.17 | In-plane C–H bend 7(B) | ||
| 1208 | 0.15 | In-plane C–H bend 6(B) | ||
| 1240vs,br | 1243 | 302.63 | In-plane C–H bend 6(A) | |
| 1222m | 1253 | 83.72 | CH2 twist | |
| 1287w | 1303 | 10.37 | Ring C–C stretch 25(A) + 25(B) | |
| 1305sh | 1300m | 1312 | 27.53 | Ring C–C stretch 25(A) + 25(B) |
| 1329m | 1323w | 1335 | 3.45 | Ring C–C stretch 26(B) |
| 1335w | 1336 | 9.18 | Ring C–C stretch 26(A) | |
| 1378m | 1376s | 1398 | 56.73 | CH2 wag |
| 1457m | 1467/1454m | 1463 | 16.56 | Ring C–C stretch 24(B) |
| 1465 | 0.77 | Ring C–C stretch 24(A) | ||
| 1484sh | 1491 | 78.04 | CH2 scissors | |
| 1486m,br | 1496s | 1505 | 22.46 | Ring C–C stretch 5(A) + 5(B) |
| 1509 | 44.73 | Ring C–C stretch 5(A) + 5(B) | ||
| 1590w,br | 1585s | 1598 | 30.67 | Ring C–C stretch 23(A) |
| 1602 | 0.83 | Ring C–C stretch 23(B) | ||
| 1598vs | 1618 | 87.90 | Ring C–C stretch 4(A) | |
| 1623 | 0.91 | Ring C–C stretch 4(B) | ||
| 2867m | 2931 | 29.63 | CH2 symmetric C–H stretch | |
| 2907m | 2974 | 32.80 | CH2 asymmetric C–H stretch | |
| 3091 | 8.58 | Phenyl C–H stretch 3(B) | ||
| 3099 | 2.78 | Phenyl C–H stretch 3(A) | ||
| 3100 | 1.61 | Phenyl C–H stretch 22(B) | ||
| 3107 | 17.16 | Phenyl C–H stretch 22(A) | ||
| 3013w | 3111 | 32.38 | Phenyl C–H stretch 2(B) | |
| 3036m | 3123 | 63.73 | Phenyl C–H stretch 2(A) | |
| 3048vw | 3123 | 14.67 | Phenyl C–H stretch 21(B) | |
| 3057vw | 3131 | 15.56 | Phenyl C–H stretch 21(A) | |
| 3097vw | 3133 | 9.26 | Phenyl C–H stretch 1(B) | |
| 3101vw | 3141 | 9.05 | Phenyl C–H stretch 1(A) |
Disclaimer/Publisher’s Note: The statements, opinions and data contained in all publications are solely those of the individual author(s) and contributor(s) and not of MDPI and/or the editor(s). MDPI and/or the editor(s) disclaim responsibility for any injury to people or property resulting from any ideas, methods, instructions or products referred to in the content. |
© 2024 by the authors. Licensee MDPI, Basel, Switzerland. This article is an open access article distributed under the terms and conditions of the Creative Commons Attribution (CC BY) license (https://creativecommons.org/licenses/by/4.0/).
Share and Cite
Adilina, I.B.; Fitriady, M.A.; Oemry, F.; Aulia, F.; Rinaldi, N.; Sunnardianto, G.K.; Silverwood, I.P.; Parker, S.F. Hydrogenolysis of Benzyl Phenyl Ether Using Nickel–Molybdenum Clay Catalysts—A Model for Cleaving Ether Linkages in Lignin. Catalysts 2024, 14, 953. https://doi.org/10.3390/catal14120953
Adilina IB, Fitriady MA, Oemry F, Aulia F, Rinaldi N, Sunnardianto GK, Silverwood IP, Parker SF. Hydrogenolysis of Benzyl Phenyl Ether Using Nickel–Molybdenum Clay Catalysts—A Model for Cleaving Ether Linkages in Lignin. Catalysts. 2024; 14(12):953. https://doi.org/10.3390/catal14120953
Chicago/Turabian StyleAdilina, Indri B., Muhammad A. Fitriady, Ferensa Oemry, Fauzan Aulia, Nino Rinaldi, Gagus K. Sunnardianto, Ian P. Silverwood, and Stewart F. Parker. 2024. "Hydrogenolysis of Benzyl Phenyl Ether Using Nickel–Molybdenum Clay Catalysts—A Model for Cleaving Ether Linkages in Lignin" Catalysts 14, no. 12: 953. https://doi.org/10.3390/catal14120953
APA StyleAdilina, I. B., Fitriady, M. A., Oemry, F., Aulia, F., Rinaldi, N., Sunnardianto, G. K., Silverwood, I. P., & Parker, S. F. (2024). Hydrogenolysis of Benzyl Phenyl Ether Using Nickel–Molybdenum Clay Catalysts—A Model for Cleaving Ether Linkages in Lignin. Catalysts, 14(12), 953. https://doi.org/10.3390/catal14120953

