Enhanced Diclofenac Removal from Constructed Wetland Effluent Using a Photoelectrocatalytic System with N-TiO2 Nanocrystal-Modified TiO2 Nanotube Anode and Graphene Oxide/Activated Carbon Photocathode
Abstract
1. Introduction
2. Results
2.1. Morphology of N-TiO2 NCs/TNTAs-AC-GO as a Function of Its Fabrication Parameters
2.2. XRD Analyses
2.3. VASP Simulation
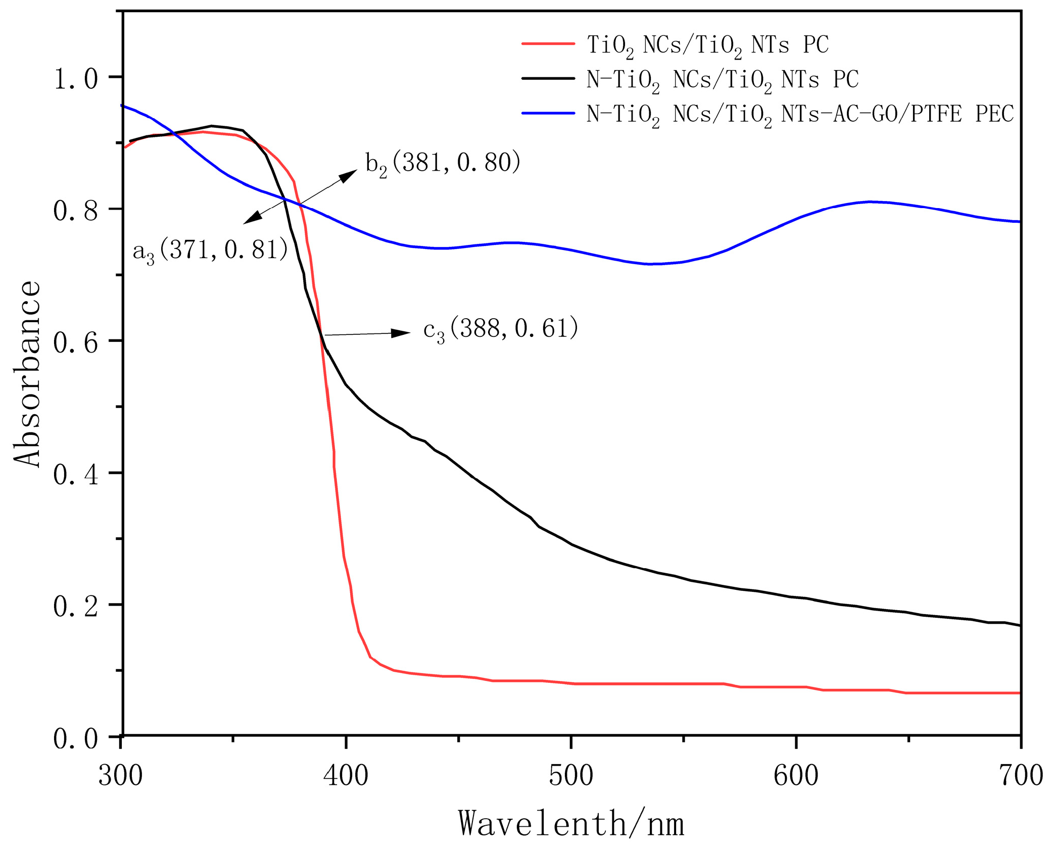
2.4. UV-Vis DRS Measurements
2.5. PL Properties
2.6. Photoelectrochemical Properties
2.7. PC- and PEC-Based Degradation of DFC in Water Samples Collected from Constructed Wetland
3. Materials and Methods
3.1. Materials
3.2. Quantum Chemical Simulation
3.3. Preparation of N-TiO2 NCs/TNTAs Photoelectrodes
3.4. Preparation of Cathodhes
3.5. Material Characterization
3.6. PEC Testing
3.7. PC and PEC Performance
4. Conclusions
Author Contributions
Funding
Data Availability Statement
Conflicts of Interest
References
- Li, L.; Xu, H.; Zhang, Q.; Zhan, Z.; Liang, X.; Xing, J. Estimation methods of wetland carbon sink and factors influencing wetland carbon cycle: A review. Carbon Res. 2024, 3, 50. [Google Scholar] [CrossRef]
- Ana Rita, P.; Inês, B.G.; Manuel, S. Parabens as environmental contaminants of aquatic systems affecting water quality and microbial dynamics. Sci. Total Environ. 2023, 905, 170902. [Google Scholar]
- Li, L.; Liang, T.; Zhao, M.; Lv, Y.; Song, Z.; Sheng, T.; Ma, F. A review on mycelial pellets as biological carriers: Wastewater treatment and recovery for resource and energy. Bioresour. Technol. 2022, 355, 127200. [Google Scholar] [CrossRef] [PubMed]
- Jianan, L.; Luiza, C.C.; Linyang, Z.; Wei, X. Sand and sand-GAC filtration technologies in removing PPCPs: A review. Sci. Total Environ. 2022, 848, 157680. [Google Scholar]
- Li, L.; Chai, W.; Sun, C.; Huang, L.; Sheng, T.; Song, Z.; Ma, F. Role of microalgae-bacterial consortium in wastewater treatment: A review. J. Environ. Manag. 2024, 360, 121226. [Google Scholar] [CrossRef]
- Li, L.; Han, J.; Huang, X.; Qiu, S.; Liu, X.; Liu, L.; Zhao, M.; Qu, J.; Zou, J.; Zhang, J. Organic pollutants removal from aqueous solutions using metal-organic frameworks (MOFs) as adsorbents: A review. J. Environ. Chem. Eng. 2023, 11, 111217. [Google Scholar] [CrossRef]
- Zhang, T.; Shi, Y.; Liu, Y.; Yang, J.; Guo, M.; Bai, S.; Hou, N.; Zhao, X. A study on microbial mechanism in response to different nano-plastics concentrations in constructed wetland and its carbon footprints analysis. Chem. Eng. J. 2024, 480, 148023. [Google Scholar] [CrossRef]
- Zhao, X.; Guo, M.; Wang, Y.; Jin, M.; Hou, N.; Wu, H. Toxic effects of nanoplastics on biological nitrogen removal in constructed wetlands: Evidence from iron utilization and metabolism. Water Res. 2024, 256, 121577. [Google Scholar] [CrossRef]
- Izadi, P.; Izadi, P.; Salem, R.; Papry, S.A.; Magdouli, S.; Pulicharla, R.; Brar, S.K. Non-steroidal anti-inflammatory drugs in the environment: Where were we and how far we have come? Environ. Pollut. 2020, 267, 115370. [Google Scholar] [CrossRef]
- Schmidt, S.; Hoffmann, H.; Garbe, L.A.; Harrer, A.; Steiner, M.; Himly, M.; Schneider, R.J. Re-assessment of monoclonal antibodies against diclofenac for their application in the analysis of environmental waters. Anal. Methods Adv. Methods Appl. 2024, 16, 3349–3363. [Google Scholar] [CrossRef]
- Lonappan, L.; Brar, S.K.; Das, R.K.; Verma, M.; Surampalli, R.Y. Diclofenac and its transformation products: Environmental occurrence and toxicity—A review. Environ. Int. 2016, 96, 127–138. [Google Scholar] [CrossRef] [PubMed]
- Angosto, J.M.; Roca, M.J.; Fernández-López, J.A. Removal of Diclofenac in Wastewater Using Biosorption and Advanced Oxidation Techniques: Comparative Results. Water 2020, 12, 3567. [Google Scholar] [CrossRef]
- Jabbari, F.; Eslami, A.; Mahmoudian, J. Degradation of Diclofenac in Water Using the O3/UV/S2O8 Advanced Oxidation Process. Health Scope 2020, 9, e99436. [Google Scholar] [CrossRef]
- Fischer, K.; Sydow, S.; Griebel, J.; Naumov, S.; Elsner, C.; Thomas, I.; Abdul Latif, A.; Schulze, A. Enhanced Removal and Toxicity Declineof Diclofenac by Combining UVA Treatmentand Adsorption of Photoproductsto Polyvinylidene Difluoride. Polymers 2020, 12, 2340. [Google Scholar] [CrossRef]
- Matesun, J.; Petrik, L.; Musvoto, E.; Ayinde, W.; Ikumi, D. Limitations of wastewater treatment plants in removing trace anthropogenic biomarkers and future directions: A review. Ecotoxicol. Environ. Saf. 2024, 281, 116610. [Google Scholar] [CrossRef]
- Hübner, U.; Spahr, S.; Lutze, H.; Wieland, A.; Rüting, S.; Gernjak, W.; Wenk, J. Advanced oxidation processes for water and wastewater treatment—Guidance for systematic future research. Heliyon 2024, 10, e30402. [Google Scholar] [CrossRef]
- El-Aassar, A.-h.M.; Isawi, H.; El-Noss, M.; El-Kholy, R.A.; Said, M.M.; Shawky, H.A. Design and fabrication of continuous flow photoreactor using semiconductor oxides for degradation of organic pollutants. J. Water Process Eng. 2019, 32, 100922. [Google Scholar] [CrossRef]
- Tsang, C.H.A.; Li, K.; Zeng, Y.; Zhao, W.; Zhang, T.; Zhan, Y.; Xie, R.; Leung, D.Y.C.; Huang, H. Titanium oxide based photocatalytic materials development and their role of in the air pollutants degradation: Overview and forecast. Environ. Int. 2019, 125, 200–228. [Google Scholar] [CrossRef]
- Dharma, H.N.C.; Jaafar, J.; Widiastuti, N.; Matsuyama, H.; Rajabsadeh, S.; Othman, M.H.D.; Rahman, M.A.; Jafri, N.N.M.; Suhaimin, N.S.; Nasir, A.M.; et al. A Review of Titanium Dioxide (TiO(2))-Based Photocatalyst for Oilfield-Produced Water Treatment. Membranes 2022, 12, 345. [Google Scholar] [CrossRef]
- Sheydaei, M.; Shiadeh, H.R.K.; Ayoubi-Feiz, B.; Ezzati, R. Preparation of nano N-TiO2/graphene oxide/titan grid sheets for visible light assisted photocatalytic ozonation of cefixime. Chem. Eng. J. 2018, 353, 138–146. [Google Scholar] [CrossRef]
- Cheng, X.; Deng, X.; Wang, P.; Liu, H. Coupling TiO2 nanotubes photoelectrode with Pd nano-particles and reduced graphene oxide for enhanced photocatalytic decomposition of diclofenac and mechanism insights. Sep. Purif. Technol. 2015, 154, 51–59. [Google Scholar] [CrossRef]
- Pourkodee, D.; Sailatha, E.; Renuka Devee, D. Augmented photocatalytic degradation of diclofenac by a novel TiO2-Chitosan-Bocalanine-Ni hybrid material under illumination of various light sources. Inorg. Chem. Commun. 2024, 165, 112519. [Google Scholar] [CrossRef]
- Chen, X.; Qin, S.; Denisov, N.; Kure-Chu, S.-Z.; Schmuki, P. Pt-single atom decorated TiO2: Tuning anodic TiO2 nanotube structure and geometry toward a high-performance photocatalytic H2 production. Electrochim. Acta 2023, 446, 142081. [Google Scholar] [CrossRef]
- Pitre, S.P.; Yoon, T.P.; Scaiano, J.C. Titanium dioxide visible light photocatalysis: Surface association enables photocatalysis with visible light irradiation. Chem. Commun. 2017, 53, 4335–4338. [Google Scholar] [CrossRef]
- Rempel, A.A.; Valeeva, A.A.; Vokhmintsev, A.S.; Weinstein, I.A. Titanium dioxide nanotubes: Synthesis, structure, properties and applications. Russ. Chem. Rev. 2021, 90, 1397. [Google Scholar] [CrossRef]
- Huang, C.-y.; Guo, R.-t.; Pan, W.-g.; Tang, J.-y.; Zhou, W.-g.; Liu, X.-y.; Qin, H.; Jia, P. One-dimension TiO2 nanostructures with enhanced activity for CO2 photocatalytic reduction. Appl. Surf. Sci. 2018, 464, 534–543. [Google Scholar] [CrossRef]
- Du, S.; Lian, J.; Zhang, F. Visible Light-Responsive N-Doped TiO2 Photocatalysis: Synthesis, Characterizations, and Applications. Trans. Tianjin Univ. 2022, 28, 33–52. [Google Scholar] [CrossRef]
- Yoshida, T.; Niimi, S.; Yamamoto, M.; Nomoto, T.; Yagi, S. Effective nitrogen doping into TiO2 (N-TiO2) for visible light response photocatalysis. J. Colloid Interface Sci. 2015, 447, 278–281. [Google Scholar] [CrossRef]
- Manna, S.; Satpati, A.K.; Patra, C.N.; Tyagi, A.K. Enhancing the PEC Efficiency in the Perspective of Crystal Facet Engineering and Modulation of Surfaces. ACS Omega 2024, 9, 6128–6146. [Google Scholar] [CrossRef]
- Migani, A.; Blancafort, L. Theoretical Studies of Photochemistry on TiO2 Surfaces. In Encyclopedia of Interfacial Chemistry; Wandelt, K., Ed.; Elsevier: Oxford, UK, 2018; pp. 637–653. [Google Scholar]
- Chen, P.; Zhang, Y.; Zhou, Y.; Dong, F. Photoelectrocatalytic carbon dioxide reduction: Fundamental, advances and challenges. Nano Mater. Sci. 2021, 3, 344–367. [Google Scholar] [CrossRef]
- Carminati, S.A.; Rodríguez-Gutiérrez, I.; de Morais, A.; da Silva, B.L.; Melo, M.A.; Souza, F.L.; Nogueira, A.F. Challenges and prospects about the graphene role in the design of photoelectrodes for sunlight-driven water splitting. RSC Adv. 2021, 11, 14374–14398. [Google Scholar] [CrossRef] [PubMed]
- Heryanto, H.; Tahir, D.; Abdullah, B.; Kavgaci, M.; Rinovian, A.; Masrour, R.; Prasad, V.S.R.; Sayyed, M.I. Carbon as a multifunctional material in supporting adsorption performance for water treatment: Science mapping and review. Desalin. Water Treat. 2024, 320, 100758. [Google Scholar] [CrossRef]
- Liang, X.; Wang, L.; Ma, F.; Lou, H.; Jiang, X.; Li, Z. Degradation of atrazine from the riparian zone with a PEC system based on an anode of N–S–TiO2 nanocrystal-modified TiO2 nanotubes and an activated carbon photocathode. RSC Adv. 2016, 6, 89994–90001. [Google Scholar] [CrossRef]
- Liang, X.; Yu, S.; Meng, B.; Liu, J.; Yang, C.; Shi, C.; Ding, J. Enhanced Degradation of Carbamazepine from Constructed Wetlands with a PEC System Based on an Anode of N-TiO2 Nanocrystal-Modified TiO2 Nanotubes and an Activated Carbon Photocathode. Separations 2024, 11, 216. [Google Scholar] [CrossRef]
- Bakar, S.A.; Ribeiro, C. Nitrogen-doped titanium dioxide: An overview of material design and dimensionality effect over modern applications. J. Photochem. Photobiol. C Photochem. Rev. 2016, 27, 1–29. [Google Scholar] [CrossRef]
- Chen, X.; Mao, S.S. Titanium Dioxide Nanomaterials: Synthesis, Properties, Modifications, and Applications. Chem. Rev. 2007, 107, 2891–2959. [Google Scholar] [CrossRef]
- Asahi, R.; Morikawa, T.; Ohwaki, T.; Aoki, K.; Taga, Y. Visible-Light Photocatalysis in Nitrogen-Doped Titanium Oxides. Science 2001, 293, 269–271. [Google Scholar] [CrossRef]
- Liu, G.; Zhao, Y.; Sun, C.; Li, F.; Lu, G.Q.; Cheng, H.M. Synergistic effects of B/N doping on the visible-light photocatalytic activity of mesoporous TiO2. Angew. Chem. (Int. Ed. Engl.) 2008, 47, 4516–4520. [Google Scholar] [CrossRef]
- Yu, J.; Ran, J. Facile preparation and enhanced photocatalytic H2-production activity of Cu(OH)2 cluster modified TiO2. Energy Environ. Sci. 2011, 4, 1364–1371. [Google Scholar] [CrossRef]
- Yao, L.; Chen, J.; Wang, Z.; Chuang, Y.-C.; Chang, L.-Y.; Sham, T.-K. An Amorphous-to-Anatase Phase Transition Study of TiO2 Nanotubes by Temperature-Dependent Synchrotron-Based In Situ X-ray Diffraction. J. Phys. Chem. Lett. 2024, 15, 10349–10359. [Google Scholar] [CrossRef]
- Raj, A.; Thampi, A.; Socha, B.N.; Jha, S.K. Flash sintering enhanced co-doping TiO2 with Fe and Cu to improve photocatalytic efficiency. J. Eur. Ceram. Soc. 2025, 45, 116960. [Google Scholar] [CrossRef]
- Kong, E.D.H.; Chau, J.H.F.; Lai, C.W.; Khe, C.S.; Sharma, G.; Kumar, A.; Siengchin, S.; Sanjay, M.R. GO/TiO(2)-Related Nanocomposites as Photocatalysts for Pollutant Removal in Wastewater Treatment. Nanomaterials 2022, 12, 3536. [Google Scholar] [CrossRef] [PubMed]
- Jing, L.; Fu, H.; Wang, B.; Wang, D.; Xin, B.; Li, S.; Sun, J. Effects of Sn dopant on the photoinduced charge property and photocatalytic activity of TiO2 nanoparticles. Appl. Catal. B Environ. 2006, 62, 282–291. [Google Scholar]
- Cheng, X.; Yu, X.; Xing, Z. One-step synthesis of Fe–N–S-tri-doped TiO2 catalyst and its enhanced visible light photocatalytic activity. Mater. Res. Bull. 2012, 47, 3804–3809. [Google Scholar] [CrossRef]
- Cheng, X.; Yu, X.; Xing, Z. Characterization and mechanism analysis of Mo–N-co-doped TiO2 nano-photocatalyst and its enhanced visible activity. J. Colloid Interface Sci. 2012, 372, 1–5. [Google Scholar] [CrossRef]
- Yihunie, M.T. Enhanced photoluminescence and structural properties of Zn-doped anatase TiO2 nanoparticles. Mater. Res. Express 2024, 11, 075007. [Google Scholar] [CrossRef]
- Zhang, M.; Zhang, J.; Gu, L.; Su, Q.; Qiang, P.; Yang, Y.; Ding, S.; Yao, T.; Zhang, X.; Du, G.; et al. Ultranarrow Deep-Blue Luminescence of Perovskite Nanocrystals by A-Site Cation Control. ACS Appl. Mater. Interfaces 2024, 16, 31524–31533. [Google Scholar] [CrossRef]
- Appadurai, T.; Subramaniyam, C.M.; Kuppusamy, R.; Karazhanov, S.; Subramanian, B. Electrochemical Performance of Nitrogen-Doped TiO2 Nanotubes as Electrode Material for Supercapacitor and Li-Ion Battery. Molecules 2019, 24, 2952. [Google Scholar] [CrossRef]
- Barbora, M.; Liam, G.; Radek, Z.; Jiri, R.; Thierry, P. Graphene/TiO2 composite films for efficient photocatalytic degradation of antibiotics in wastewaters. In Proceedings of the SPIE, San Francisco, CA, USA, 28 January–2 February 2023; p. 124220Q. [Google Scholar]
- Li, Z.; Yang, D.; Chu, H.; Guo, L.; Chen, T.; Mu, Y.; He, X.; Zhong, X.; Huang, B.; Zhang, S.; et al. Efficient Charge Transfer Channels in Reduced Graphene Oxide/Mesoporous TiO2 Nanotube Heterojunction Assemblies toward Optimized Photocatalytic Hydrogen Evolution. Nanomaterials 2022, 12, 1474. [Google Scholar] [CrossRef]
- Liu, Y.; Wang, L.; Xue, N.; Wang, P.; Pei, M.; Guo, W. Ultra-Highly Efficient Removal of Methylene Blue Based on Graphene Oxide/TiO2/Bentonite Sponge. Materials 2020, 13, 824. [Google Scholar] [CrossRef]
- Irshad, A.; Mahmoud, M.H.H.; Usman; Umer, R.; Naeem, M.; El Azab, I.H.; El-Bahy, Z.M. Investigation of photocatalytic degradation of diclofenac sodium and acetaminophen by Zn-Ag co-doped barium hexaferrite@CNTs Composite. Desalin. Water Treat. 2024, 319, 100415. [Google Scholar] [CrossRef]
- Cheng, X.; Yu, X.; Xing, Z.; Yang, L. Synthesis and characterization of N-doped TiO2 and its enhanced visible-light photocatalytic activity. Arab. J. Chem. 2016, 9, S1706–S1711. [Google Scholar] [CrossRef]
- Cheng, X.; Liu, H.; Chen, Q.; Li, J.; Wang, P. Construction of N, S codoped TiO2 NCs decorated TiO2 nano-tube array photoelectrode and its enhanced visible light photocatalytic mechanism. Electrochim. Acta 2013, 103, 134–142. [Google Scholar] [CrossRef]









Disclaimer/Publisher’s Note: The statements, opinions and data contained in all publications are solely those of the individual author(s) and contributor(s) and not of MDPI and/or the editor(s). MDPI and/or the editor(s) disclaim responsibility for any injury to people or property resulting from any ideas, methods, instructions or products referred to in the content. |
© 2024 by the authors. Licensee MDPI, Basel, Switzerland. This article is an open access article distributed under the terms and conditions of the Creative Commons Attribution (CC BY) license (https://creativecommons.org/licenses/by/4.0/).
Share and Cite
Liang, X.; Yu, S.; Meng, B.; Wang, X.; Yang, C.; Shi, C.; Ding, J. Enhanced Diclofenac Removal from Constructed Wetland Effluent Using a Photoelectrocatalytic System with N-TiO2 Nanocrystal-Modified TiO2 Nanotube Anode and Graphene Oxide/Activated Carbon Photocathode. Catalysts 2024, 14, 954. https://doi.org/10.3390/catal14120954
Liang X, Yu S, Meng B, Wang X, Yang C, Shi C, Ding J. Enhanced Diclofenac Removal from Constructed Wetland Effluent Using a Photoelectrocatalytic System with N-TiO2 Nanocrystal-Modified TiO2 Nanotube Anode and Graphene Oxide/Activated Carbon Photocathode. Catalysts. 2024; 14(12):954. https://doi.org/10.3390/catal14120954
Chicago/Turabian StyleLiang, Xiongwei, Shaopeng Yu, Bo Meng, Xiaodi Wang, Chunxue Yang, Chuanqi Shi, and Junnan Ding. 2024. "Enhanced Diclofenac Removal from Constructed Wetland Effluent Using a Photoelectrocatalytic System with N-TiO2 Nanocrystal-Modified TiO2 Nanotube Anode and Graphene Oxide/Activated Carbon Photocathode" Catalysts 14, no. 12: 954. https://doi.org/10.3390/catal14120954
APA StyleLiang, X., Yu, S., Meng, B., Wang, X., Yang, C., Shi, C., & Ding, J. (2024). Enhanced Diclofenac Removal from Constructed Wetland Effluent Using a Photoelectrocatalytic System with N-TiO2 Nanocrystal-Modified TiO2 Nanotube Anode and Graphene Oxide/Activated Carbon Photocathode. Catalysts, 14(12), 954. https://doi.org/10.3390/catal14120954

