CO2-Assisted Oxidative Dehydrogenation of Propane to Propylene over Modified SiO2 Based Catalysts
Abstract
1. Introduction
2. Results and Discussion
2.1. Catalyst Characterization
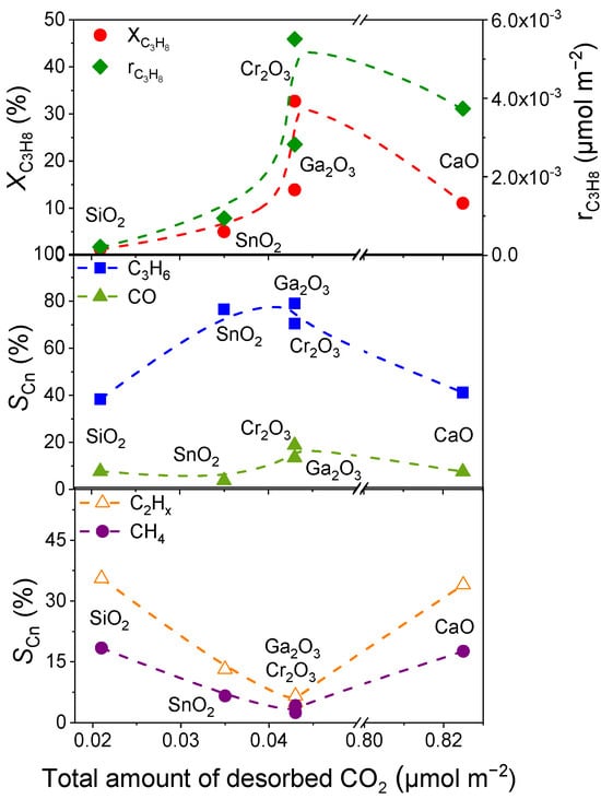
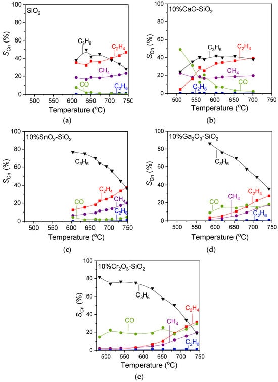
2.2. Catalytic Performance of MxOy-SiO2 Catalysts
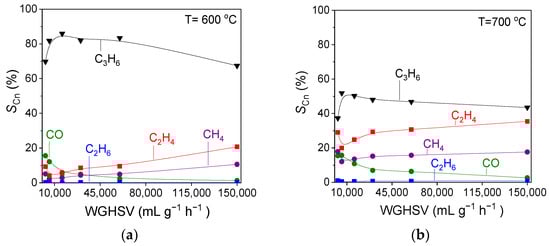
2.3. Effect of Weight Gas Hourly Space Velocity (WGHSV) on Catalytic Performance
2.4. Effect of CO2/C3H8 Molar Ratio on Catalytic Performance
2.5. In Situ DRIFTS Studies for the CO2-Assisted Oxidative Dehydrogenation of Propane
3. Materials and Methods
3.1. Catalyst Synthesis and Characterization
3.2. Catalytic Performance Tests
3.3. In Situ DRIFTS Experiments Under CO2-ODP Reaction Conditions
4. Conclusions
Supplementary Materials
Author Contributions
Funding
Data Availability Statement
Conflicts of Interest
Correction Statement
References
- Wang, Z.-Y.; He, Z.-H.; Li, L.-Y.; Yang, S.-Y.; He, M.-X.; Sun, Y.-C.; Wang, K.; Chen, J.-G.; Liu, Z.-T. Research Progress of CO2 Oxidative Dehydrogenation of Propane to Propylene over Cr-Free Metal Catalysts. Rare Met. 2022, 41, 2129–2152. [Google Scholar] [CrossRef] [PubMed]
- Tedeeva, M.A.; Kustov, A.L.; Pribytkov, P.V.; Kapustin, G.I.; Leonov, A.V.; Tkachenko, O.P.; Tursunov, O.B.; Evdokimenko, N.D.; Kustov, L.M. Dehydrogenation of Propane in the Presence of CO2 on GaOx/SiO2 Catalyst: Influence of the Texture Characteristics of the Support. Fuel 2022, 313, 122698. [Google Scholar] [CrossRef]
- Han, X.; Yang, Y.; Chen, R.; Zhou, J.; Yang, X.; Wang, X.; Ji, H. One-Dimensional Ga2O3-Al2O3 Nanofibers with Unsaturated Coordination Ga: Catalytic Dehydrogenation of Propane under CO2 Atmosphere with Excellent Stability. J. Colloid. Interface Sci. 2024, 666, 76–87. [Google Scholar] [CrossRef] [PubMed]
- Sandupatla, A.S.; Ray, K.; Thaosen, P.; Sivananda, C.; Deo, G. Oxidative Dehydrogenation of Propane over Alumina Supported Vanadia Catalyst—Effect of Carbon Dioxide and Secondary Surface Metal Oxide Additive. Catal. Today 2020, 354, 176–182. [Google Scholar] [CrossRef]
- Gambo, Y.; Adamu, S.; Lucky, R.A.; Ba-Shammakh, M.S.; Hossain, M.M. Decoupling Reaction Network and Designing Robust VOx/Al2O3 Catalyst with Suitable Site Diversity for Promoting CO2-Mediated Oxidative Dehydrogenation of Propane. Chem. Eng. J. 2024, 479, 147458. [Google Scholar] [CrossRef]
- Lin, Z.; Zuo, H.; Ma, R.; An, H.; Zhao, P.; Liang, K.; Wang, M.; Lu, F.; Zou, G. The Evolution of Surface Species by Steam Pre-Treatment on CrOx/Al2O3 Catalysts for Propane Dehydrogenation. Mol. Catal. 2023, 539, 113018. [Google Scholar] [CrossRef]
- Rogg, S.; Hess, C. CO2 as a Soft Oxidant for Propane Oxidative Dehydrogenation: A Mechanistic Study Using Operando UV Raman Spectroscopy. J. CO2 Util. 2021, 50, 101604. [Google Scholar] [CrossRef]
- Chung, I.; Kim, J.; An, J.; Lee, D.; Park, J.; Oh, H.; Yun, Y. Kinetic Modeling of the Oxidative Dehydrogenation of Propane with CO2 over a CrOx/SiO2 Catalyst and Assessment of CO2 Utilization. Chem. Eng. J. 2024, 494, 153178. [Google Scholar] [CrossRef]
- Mashkin, M.; Tedeeva, M.; Fedorova, A.; Vasiliev, A.; Egorov, A.; Pribytkov, P.; Kalmykov, K.; Kapustin, G.; Morozov, I.; Kustov, L.; et al. CrOx/SiO2 Mesoporous Catalysts Prepared Using Beta-Cyclodextrin as a Template and Their Catalytic Properties in Propane Oxidative Dehydrogenation in the Presence of Carbon Dioxide. Microporous Mesoporous Mater. 2022, 338, 111967. [Google Scholar] [CrossRef]
- Michorczyk, P.; Ogonowski, J.; Zeńczak, K. Activity of Chromium Oxide Deposited on Different Silica Supports in the Dehydrogenation of Propane with CO2—A Comparative Study. J. Mol. Catal. A Chem. 2011, 349, 1–12. [Google Scholar] [CrossRef]
- Gashoul Daresibi, F.; Khodadadi, A.A.; Mortazavi, Y. Atomic Layer Deposition of Ga2O3 on γ-Al2O3 Catalysts with Higher Interactions and Improved Activity and Propylene Selectivity in CO2-Assisted Oxidative Dehydrogenation of Propane. Appl. Catal. A Gen. 2023, 655, 119117. [Google Scholar] [CrossRef]
- Gashoul Daresibi, F.; Khodadadi, A.A.; Mortazavi, Y.; Huotari, S.; Ritala, M. Highly Dispersed Atomic Layer Deposited CrOx on SiO2 Catalyst with Enhanced Yield of Propylene for CO2–Mediated Oxidative Dehydrogenation of Propane. Mol. Catal. 2022, 526, 112396. [Google Scholar] [CrossRef]
- Xu, B.; Zheng, B.; Hua, W.; Yue, Y.; Gao, Z. Support Effect in Dehydrogenation of Propane in the Presence of CO2 over Supported Gallium Oxide Catalysts. J. Catal. 2006, 239, 470–477. [Google Scholar] [CrossRef]
- Chen, M.; Xu, J.; Su, F.; Liu, Y.; Cao, Y.; He, H.; Fan, K. Dehydrogenation of Propane over Spinel-Type Gallia–Alumina Solid Solution Catalysts. J. Catal. 2008, 256, 293–300. [Google Scholar] [CrossRef]
- Chen, M.; Xu, J.; Liu, Y.-M.; Cao, Y.; He, H.-Y.; Zhuang, J.-H.; Fan, K.-N. Enhanced Activity of Spinel-Type Ga2O3–Al2O3 Mixed Oxide for the Dehydrogenation of Propane in the Presence of CO2. Catal. Lett. 2008, 124, 369–375. [Google Scholar] [CrossRef]
- Kocoń, M.; Michorczyk, P.; Ogonowski, J. Effect of Supports on Catalytic Activity of Chromium Oxide-Based Catalysts in the Dehydrogenation of Propane with CO2. Catal. Lett. 2005, 101, 53–57. [Google Scholar] [CrossRef]
- Chen, M.; Wu, J.-L.; Liu, Y.-M.; Cao, Y.; Guo, L.; He, H.-Y.; Fan, K.-N. Study in Support Effect of In2O3/MOx (M=Al, Si, Zr) Catalysts for Dehydrogenation of Propane in the Presence of CO2. Appl. Catal. A Gen. 2011, 407, 20–28. [Google Scholar] [CrossRef]
- Atanga, M.A.; Rezaei, F.; Jawad, A.; Fitch, M.; Rownaghi, A.A. Oxidative Dehydrogenation of Propane to Propylene with Carbon Dioxide. Appl. Catal. B 2018, 220, 429–445. [Google Scholar] [CrossRef]
- de Oliveira, J.F.S.; Volanti, D.P.; Bueno, J.M.C.; Ferreira, A.P. Effect of CO2 in the Oxidative Dehydrogenation Reaction of Propane over Cr/ZrO2 Catalysts. Appl. Catal. A Gen. 2018, 558, 55–66. [Google Scholar] [CrossRef]
- Chen, S.; Chang, X.; Sun, G.; Zhang, T.; Xu, Y.; Wang, Y.; Pei, C.; Gong, J. Propane Dehydrogenation: Catalyst Development, New Chemistry, and Emerging Technologies. Chem. Soc. Rev. 2021, 50, 3315–3354. [Google Scholar] [CrossRef]
- Singh, R.; Nayak, S.C.; Singh, R.; Deo, G. O2 and CO2 Assisted Oxidative Dehydrogenation of Propane Using ZrO2 Supported Vanadium and Chromium Oxide Catalysts. Catal. Today 2024, 432, 114617. [Google Scholar] [CrossRef]
- Michorczyk, P.; Ogonowski, J. Role of CO2 in Dehydrogenation of Propane over CrOX/SiO2 Catalyst with Low Cr Content. React. Kinet. Catal. Lett. 2007, 92, 61–68. [Google Scholar] [CrossRef]
- Michorczyk, P.; Kuśtrowski, P.; Chmielarz, L.; Ogonowski, J. Influence of Redox Properties on the Activity of Iron Oxide Catalysts in Dehydrogenation of Propane with CO2. React. Kinet. Catal. Lett. 2004, 82, 121–130. [Google Scholar] [CrossRef]
- Ren, Y.; Zhang, F.; Hua, W.; Yue, Y.; Gao, Z. ZnO Supported on High Silica HZSM-5 as New Catalysts for Dehydrogenation of Propane to Propene in the Presence of CO2. Catal. Today 2009, 148, 316–322. [Google Scholar] [CrossRef]
- Zhang, K.; Sun, S.; Huang, K. Combined Carbon Capture and Catalytic Oxidative Dehydrogenation of Propane to Propylene Conversion through a Plug-Flow Dual-Phase Membrane Reactor. Chem. Eng. J. 2024, 481, 148395. [Google Scholar] [CrossRef]
- Florou, A.; Bampos, G.; Natsi, P.D.; Kokka, A.; Panagiotopoulou, P. Propylene Production via Oxidative Dehydrogenation of Propane with Carbon Dioxide over Composite MxOy-TiO2 Catalysts. Nanomaterials 2023, 14, 86. [Google Scholar] [CrossRef]
- Kokka, A.; Ramantani, T.; Yentekakis, I.V.; Panagiotopoulou, P. Catalytic Performance and in Situ DRIFTS Studies of Propane and Simulated LPG Steam Reforming Reactions on Rh Nanoparticles Dispersed on Composite MxOy-Al2O3 (M: Ti, Y, Zr, La, Ce, Nd, Gd) Supports. Appl. Catal. B 2022, 316, 121668. [Google Scholar] [CrossRef]
- Mazumder, J.; de Lasa, H. Fluidizable Ni/La2O3-γ-Al2O3 Catalyst for Steam Gasification of a Cellulosic Biomass Surrogate. Appl. Catal. B 2014, 160–161, 67–79. [Google Scholar] [CrossRef]
- Al-Ghamdi, S.A.; de Lasa, H.I. Propylene Production via Propane Oxidative Dehydrogenation over VOx/γ-Al2O3 Catalyst. Fuel 2014, 128, 120–140. [Google Scholar] [CrossRef]
- Jawad, A.; Ahmed, S. Analysis and Process Evaluation of Metal Dopant (Zr, Cr)-Promoted Ga-Modified ZSM-5 for the Oxidative Dehydrogenation of Propane in the Presence and Absence of CO2. RSC Adv. 2023, 13, 11081–11095. [Google Scholar] [CrossRef] [PubMed]
- Igonina, M.; Tedeeva, M.; Kalmykov, K.; Kapustin, G.; Nissenbaum, V.; Mishin, I.; Pribytkov, P.; Dunaev, S.; Kustov, L.; Kustov, A. Properties of CrOx/MCM-41 and Its Catalytic Activity in the Reaction of Propane Dehydrogenation in the Presence of CO2. Catalysts 2023, 13, 906. [Google Scholar] [CrossRef]
- Gao, M.; Jiang, H.; Zhang, M. Influences of Interactive Effect Between ZrO2 and Nano-SiO2 on the Formation of 1,3-Butadiene from Ethanol and Acetaldehyde. Catal. Surv. Asia 2020, 24, 115–122. [Google Scholar] [CrossRef]
- Sirikulbodee, P.; Phongaksorn, M.; Sornchamni, T.; Ratana, T.; Tungkamani, S. Effect of Different Iron Phases of Fe/SiO2 Catalyst in CO2 Hydrogenation under Mild Conditions. Catalysts 2022, 12, 698. [Google Scholar] [CrossRef]
- Zhang, H.; Li, M.; Xiao, P.; Liu, D.; Zou, C.J. Structure and Catalytic Performance of Mg-SBA-15-Supported Nickel Catalysts for CO2 Reforming of Methane to Syngas. Chem. Eng. Technol. 2013, 36, 1701–1707. [Google Scholar] [CrossRef]
- Cheng, S.; Metzger, L.E.; Martínez-Monteagudo, S.I. One-Pot Synthesis of Sweetening Syrup from Lactose. Sci. Rep. 2020, 10, 2730. [Google Scholar] [CrossRef] [PubMed]
- Al-Muhtaseb, A.H.; Jamil, F.; Osman, A.I.; Tay Zar Myint, M.; Htet Kyaw, H.; Al-Hajri, R.; Hussain, M.; Ahmad, M.N.; Naushad, M. State-of-the-Art Novel Catalyst Synthesised from Waste Glassware and Eggshells for Cleaner Fuel Production. Fuel 2022, 330, 125526. [Google Scholar] [CrossRef]
- Marliza, T.S.; Yarmo, M.A.; Hakim, A.; Tahari, M.N.A.; Hisham, M.W.M.; Taufiq-Yap, Y.H. CO2 Capture on NiO Supported Imidazolium-Based Ionic Liquid. AIP Conf. Proc. 2017, 1838, 020008. [Google Scholar]
- Zăvoianu, R.; Pavel, O.; Cruceanu, A.; Preda, C.; Niţu, C.; Angelescu, E. Characterization of Silica Supported NiMoO4 Doped with Ce, Cr and Zr Using Thermodesorption Techniques. Prog. Catal. 2003, 12, 83–92. [Google Scholar]
- Constantinou, D.A.; Fierro, J.L.G.; Efstathiou, A.M. The Phenol Steam Reforming Reaction towards H2 Production on Natural Calcite. Appl. Catal. B 2009, 90, 347–359. [Google Scholar] [CrossRef]
- Burri, D.R.; Choi, K.-M.; Han, D.-S.; Sujandi; Jiang, N.; Burri, A.; Park, S.-E. Oxidative Dehydrogenation of Ethylbenzene to Styrene with CO2 over SnO2–ZrO2 Mixed Oxide Nanocomposite Catalysts. Catal. Today 2008, 131, 173–178. [Google Scholar] [CrossRef]
- Castro-Fernández, P.; Mance, D.; Liu, C.; Moroz, I.B.; Abdala, P.M.; Pidko, E.A.; Copéret, C.; Fedorov, A.; Müller, C.R. Propane Dehydrogenation on Ga2O3-Based Catalysts: Contrasting Performance with Coordination Environment and Acidity of Surface Sites. ACS Catal. 2021, 11, 907–924. [Google Scholar] [CrossRef]
- Connell, G.; Dumesic, J.A. The Generation of Brønsted and Lewis Acid Sites on the Surface of Silica by Addition of Dopant Cations. J. Catal. 1987, 105, 285–298. [Google Scholar] [CrossRef]
- Al-Dughaither, A.S.; de Lasa, H. HZSM-5 Zeolites with Different SiO2/Al2O3 Ratios. Characterization and NH3 Desorption Kinetics. Ind. Eng. Chem. Res. 2014, 53, 15303–15316. [Google Scholar] [CrossRef]
- Otero Areán, C.; Rodríguez Delgado, M.; Montouillout, V.; Lavalley, J.C.; Fernandez, C.; Cuart Pascual, J.J.; Parra, J.B. NMR and FTIR Spectroscopic Studies on the Acidity of Gallia–Silica Prepared by a Sol–Gel Route. Microporous Mesoporous Mater. 2004, 67, 259–264. [Google Scholar] [CrossRef]
- Torres, C.; Rostom, S.; de Lasa, H. An Eco-Friendly Fluidizable FexOy/CaO-γ-Al2O3 Catalyst for Tar Cracking during Biomass Gasification. Catalysts 2020, 10, 806. [Google Scholar] [CrossRef]
- Kung, M.C.; Kung, H.H. IR Studies of NH3, Pyridine, CO, and NO Adsorbed on Transition Metal Oxides. Catal. Rev. 1985, 27, 425–460. [Google Scholar] [CrossRef]
- Salas, P.; Hernández, J.G.; López-Salinas, E.; Schifter, I.; Llanos, M.E.; Navarrete, J.; Morales, J. Sulfated SnO2-SiO2 Superacid Catalysts by Sol-Gel Method. J. Porous Mater. 1996, 3, 241–245. [Google Scholar] [CrossRef]
- Wang, S.; Ma, X.; Gong, J.; Yang, X.; Guo, H.; Xu, G. Transesterification of Dimethyl Oxalate with Phenol under SnO2/SiO2 Catalysts. Ind. Eng. Chem. Res. 2004, 43, 4027–4030. [Google Scholar] [CrossRef]
- Lueangchaichaweng, W.; Brooks, N.R.; Fiorilli, S.; Gobechiya, E.; Lin, K.; Li, L.; Parres-Esclapez, S.; Javon, E.; Bals, S.; Van Tendeloo, G.; et al. Gallium Oxide Nanorods: Novel, Template-Free Synthesis and High Catalytic Activity in Epoxidation Reactions. Angew. Chem. Int. Ed. 2014, 53, 1585–1589. [Google Scholar] [CrossRef] [PubMed]
- Chen, F.; Shen, K.; Yang, Y.; Huang, H.; Li, Y. MOF-Assisted Synthesis of Highly Mesoporous Cr2O3/SiO2 Nanohybrids for Efficient Lewis-Acid-Catalyzed Reactions. ACS Appl. Mater. Interfaces 2020, 12, 48691–48699. [Google Scholar] [CrossRef] [PubMed]
- Zhou, S.Z.; Gao, X.Q.; Wu, F.; Li, W.C.; Lu, A.H. Enriching GaHx Species via Co-Feeding Hydrogen to Boost Efficient Propane Dehydrogenation over Ga2O3/Al2O3 Catalysts. Appl. Catal. A Gen. 2023, 668, 119488. [Google Scholar] [CrossRef]
- Florou, A.; Bampos, G.; Natsi, P.D.; Kokka, A.; Panagiotopoulou, P. Support Induced Effects on the Activity and Stability of Ga2O3 Based Catalysts for the CO2-Assisted Oxidative Dehydrogenation of Propane. J. Environ. Chem. Eng. 2024, 12, 114603. [Google Scholar] [CrossRef]
- Panagiotopoulou, P.; Kondarides, D.I. A Comparative Study of the Water-Gas Shift Activity of Pt Catalysts Supported on Single (MOx) and Composite (MOx/Al2O3, MOx/TiO2) Metal Oxide Carriers. Catal. Today 2007, 127, 319–329. [Google Scholar] [CrossRef]
- Takehira, K.; Ohishi, Y.; Shishido, T.; Kawabata, T.; Takaki, K.; Zhang, Q.; Wang, Y. Behavior of Active Sites on Cr-MCM-41 Catalysts during the Dehydrogenation of Propane with CO2. J. Catal. 2004, 224, 404–416. [Google Scholar] [CrossRef]
- Li, K.-X.; Cai, X.; Liu, H.-B.; Liu, X.-Y.; Shan, Y.-L.; Feng, X.; Chen, D. Recent Progress in the Development of Catalysts for Propane Dehydrogenation in the Presence of CO2. React. Chem. Eng. 2024, 9, 1292–1312. [Google Scholar] [CrossRef]
- Wang, H.-M.; Chen, Y.; Yan, X.; Lang, W.-Z.; Guo, Y.-J. Cr Doped Mesoporous Silica Spheres for Propane Dehydrogenation in the Presence of CO2: Effect of Cr Adding Time in Sol-Gel Process. Microporous Mesoporous Mater. 2019, 284, 69–77. [Google Scholar] [CrossRef]
- Agafonov, Y.A.; Gaidai, N.A.; Lapidus, A.L. Propane Dehydrogenation on Chromium Oxide and Gallium Oxide Catalysts in the Presence of CO2. Kinet. Catal. 2018, 59, 744–753. [Google Scholar] [CrossRef]
- Wang, J.; Song, Y.-H.; Liu, Z.-T.; Liu, Z.-W. Active and Selective Nature of Supported CrOx for the Oxidative Dehydrogenation of Propane with Carbon Dioxide. Appl. Catal. B 2021, 297, 120400. [Google Scholar] [CrossRef]
- Liu, Y.; Zhang, G.; Wang, J.; Zhu, J.; Zhang, X.; Miller, J.T.; Song, C.; Guo, X. Promoting Propane Dehydrogenation with CO2 over Ga2O3/SiO2 by Eliminating Ga-Hydrides. Chin. J. Catal. 2021, 42, 2225–2233. [Google Scholar] [CrossRef]
- Michorczyk, P.; Ogonowski, J. Dehydrogenation of Propane in the Presence of Carbon Dioxide over Oxide-Based Catalysts. React. Kinet. Catal. Lett. 2003, 78, 41–47. [Google Scholar] [CrossRef]
- Wang, H.; Tsilomelekis, G. Catalytic Performance and Stability of Fe-Doped CeO2 in Propane Oxidative Dehydrogenation Using Carbon Dioxide as an Oxidant. Catal. Sci. Technol. 2020, 10, 4362–4372. [Google Scholar] [CrossRef]
- Al-Shafei, E.N.; Brown, D.R.; Katikaneni, S.P.; Al-Badairy, H.; Muraza, O. CO2-Assisted Propane Dehydrogenation over of Zirconia-Titania Catalysts: Effect of the Carbon Dioxide to Propane Ratios on Olefin Yields. J. Environ. Chem. Eng. 2021, 9, 104989. [Google Scholar] [CrossRef]
- Tian, H.; Liao, J.; Zha, F.; Guo, X.; Tang, X.; Chang, Y.; Ma, X. Catalytic Performance of In/HZSM-5 for Coupling Propane with CO2 to Propylene. ChemistrySelect 2020, 5, 3626–3637. [Google Scholar] [CrossRef]
- Rafigh, S.M.; Heydarinasab, A. Mesoporous Chitosan–SiO2 Nanoparticles: Synthesis, Characterization, and CO2 Adsorption Capacity. ACS Sustain. Chem. Eng. 2017, 5, 10379–10386. [Google Scholar] [CrossRef]
- Bal, R.; Tope, B.B.; Das, T.K.; Hegde, S.G.; Sivasanker, S. Alkali-Loaded Silica, a Solid Base: Investigation by FTIR Spectroscopy of Adsorbed CO2 and Its Catalytic Activity. J. Catal. 2001, 204, 358–363. [Google Scholar] [CrossRef]
- Pan, Y.; Kuai, P.; Liu, Y.; Ge, Q.; Liu, C. Promotion Effects of Ga2O3 on CO2 Adsorption and Conversion over a SiO2-Supported Ni Catalyst. Energy Environ. Sci. 2010, 3, 1322. [Google Scholar] [CrossRef]
- Ueno, A.; Bennett, C.O. Infrared Study of CO2 Adsorption on SiO2. J. Catal. 1978, 54, 31–41. [Google Scholar] [CrossRef]
- Tóth, A.; Halasi, G.; Bánsági, T.; Solymosi, F. Reactions of Propane with CO2 over Au Catalysts. J. Catal. 2016, 337, 57–64. [Google Scholar] [CrossRef]
- SolymosiI, F.; Tolmacsov, P.; Zakar, T. Dry Reforming of Propane over Supported Re Catalyst. J. Catal. 2005, 233, 51–59. [Google Scholar] [CrossRef]
- Boudjemaa, A.; Daniel, C.; Mirodatos, C.; Trari, M.; Auroux, A.; Bouarab, R. In Situ DRIFTS Studies of High-Temperature Water-Gas Shift Reaction on Chromium-Free Iron Oxide Catalysts. Comptes Rendus. Chim. 2011, 14, 534–538. [Google Scholar] [CrossRef]
- Zecchina, A.; Coluccia, S.; Guglielminotti, E.; Ghiotti, G. Infrared Study of Surface Properties of .Alpha.-Chromia. III. Adsorption of Carbon Dioxide. J. Phys. Chem. 1971, 75, 2790–2798. [Google Scholar] [CrossRef]
- Bensalem, A.; Weckhuysen, B.M.; Schoonheydt, R.A. Nature of Adsorbed Species during the Reduction of CrO3/SiO2 with CO In SituFTIR Spectroscopic Study. J. Chem. Soc. Faraday Trans. 1997, 93, 4065–4069. [Google Scholar] [CrossRef]
- Savova, B.; Filkova, D.; Crişan, D.; Crişan, M.; Răileanu, M.; Drăgan, N.; Galtayries, A.; Védrine, J.C. Neodymium Doped Alkaline-Earth Oxide Catalysts for Propane Oxidative Dehydrogenation. Part I. Catalyst Characterisation. Appl. Catal. A Gen. 2009, 359, 47–54. [Google Scholar] [CrossRef]










| Catalyst | SSA (m2 g−1) | Pore Volume (cm3 g−1) |
|---|---|---|
| SiO2 | 222.1 | 1.266 |
| 10%SnO2-SiO2 | 196.5 | 0.104 |
| 10%Ga2O3-SiO2 | 183.3 | 0.091 |
| 10%Cr2O3-SiO2 | 220.9 | 1.435 |
| 10%CaO-SiO2 | 109.9 | 0.047 |
| Catalyst | LT Peak (μmol m−2) | HT Peak (μmol m−2) | Total Amount of Desorbed CO2 (μmol m−2) |
|---|---|---|---|
| SiO2 | 0.003 | 0.018 | 0.021 |
| 10%SnO2-SiO2 | 0.003 | 0.032 | 0.035 |
| 10%Ga2O3-SiO2 | 0.003 | 0.040 | 0.043 |
| 10%Cr2O3-SiO2 | 0.001 | 0.042 | 0.043 |
| 10%CaO-SiO2 | 0.162 | 0.663 | 0.825 |
| Catalyst | CO2-ODP Reaction Conditions (WGHSV; CO2:C3H8 Ratio) | T (°C) | (%) | (%) | (%) | Ref. |
|---|---|---|---|---|---|---|
| 10%Cr2O3-SiO2 | WGHSV = 6000 mL h−1 g−1 CO2:C3H8 = 5:1 | 600 | 31.0 | 72 | 22.3 | This work |
| 10%Ga2O3-SiO2 | 12.3 | 81.5 | 9.9 | |||
| WGHSV = 3000 mL h−1 g−1 CO2:C3H8 = 5:1 | 600 | 21.0 | 70.0 | 14.5 | ||
| 5%Ga2O3-SiO2 | WGHSV = 6000 mL h−1 g−1 CO2:C3H8 = 2:1 | 600 | 6.4 | 92 | 5.9 | [13] |
| 5%Cr2O3/SiO2 | WGHSV = 3600 mL h−1 g−1 CO2:C3H8 = 5:1 | 600 | 6.9 | 84 | 5.8 | [60] |
| 5%Ga2O3/SiO2 | 1.3 | 77.5 | 1.0 | |||
| 7Ga/SiO2 | WGHSV = 1800 mL h−1 g−1 CO2:C3H8 = 2:1 | 600 | 21 | 81 | 17.0 | [2] |
| CrOx/SiO2 | WGHSV = 3600 mL h−1 g−1 CO2:C3H8 = 7:1 | 600 | 36.3 | 92.4 | 33.5 | [22] |
| Cr/MSS-2 a | WGHSV = 5400 mL h−1 g−1 CO2:C3H8 = 4:1 | 600 | 32 | 89 | 28.5 | [56] |
| Cr-MCM-41 | WGHSV = 7504 mL h−1 g−1 CO2:C3H8 = 5.6:1 | 550 | 17.0 | 93.5 | 16.0 | [54] |
| Ga-MCM-41 | 5.0 | 96.0 | 5.0 | |||
| Cr(3%)Ox/KSKG b | GHSV = 200 h−1 CO2:C3H8 = 2:1 | 600 | 84.0 | 43.0 | 36.5 | [57] |
| Ga(10%)Ox/Silica | 28.0 | 85.0 | 24.0 | |||
| 5CrOx/silicalite-1 | WGHSV = 3000 mL h−1 g−1 CO2:C3H8 = 5:1 | 550 | 35.0 | 87.0 | 30.5 | [58] |
| 5Cr/SiO2 | WGHSV = 1800 mL h−1 g−1 CO2:C3H8 = 2:1 | 650 | 9.0 | 49.3 | 4.5 | [31] |
| 5Cr/MCM-41 | 14.0 | 49.3 | 7.0 | |||
| CrOx/SiO2 | WGHSV = 4500 mL h−1 g−1 CO2:C3H8 = 5:1 | 600 | 28.5 | 89.0 | 25.5 | [12] |
| 10%Ga2O3-SiO2 | WGHSV = 3900 mL h−1 g−1 CO2:C3H8 = 1:1 | 600 | 37.0 | 91.5 | 33.9 | [59] |
Disclaimer/Publisher’s Note: The statements, opinions and data contained in all publications are solely those of the individual author(s) and contributor(s) and not of MDPI and/or the editor(s). MDPI and/or the editor(s) disclaim responsibility for any injury to people or property resulting from any ideas, methods, instructions or products referred to in the content. |
© 2024 by the authors. Licensee MDPI, Basel, Switzerland. This article is an open access article distributed under the terms and conditions of the Creative Commons Attribution (CC BY) license (https://creativecommons.org/licenses/by/4.0/).
Share and Cite
Florou, A.; Kokka, A.; Bampos, G.; Panagiotopoulou, P. CO2-Assisted Oxidative Dehydrogenation of Propane to Propylene over Modified SiO2 Based Catalysts. Catalysts 2024, 14, 933. https://doi.org/10.3390/catal14120933
Florou A, Kokka A, Bampos G, Panagiotopoulou P. CO2-Assisted Oxidative Dehydrogenation of Propane to Propylene over Modified SiO2 Based Catalysts. Catalysts. 2024; 14(12):933. https://doi.org/10.3390/catal14120933
Chicago/Turabian StyleFlorou, Alexandra, Aliki Kokka, Georgios Bampos, and Paraskevi Panagiotopoulou. 2024. "CO2-Assisted Oxidative Dehydrogenation of Propane to Propylene over Modified SiO2 Based Catalysts" Catalysts 14, no. 12: 933. https://doi.org/10.3390/catal14120933
APA StyleFlorou, A., Kokka, A., Bampos, G., & Panagiotopoulou, P. (2024). CO2-Assisted Oxidative Dehydrogenation of Propane to Propylene over Modified SiO2 Based Catalysts. Catalysts, 14(12), 933. https://doi.org/10.3390/catal14120933

