Fischer-Speier Esterification and Beyond: Recent Mechanicistic Advances
Abstract
1. Introduction
2. The Fischer-Speier Esterification: Basic Aspects
2.1. Overview of the Recent Advances
2.2. Fischer-Speier Esterification Promoted by Homogeneous Catalysts
2.2.1. Bronsted Acids as Catalysts
2.2.2. Acidic Ionic Liquids
2.2.3. Lewis Acids as Catalysts
2.3. Fischer-Speier Esterification Promoted by Heterogeneous Catalysts
3. Conclusions and Future Directions
Author Contributions
Funding
Data Availability Statement
Conflicts of Interest
References
- Fischer, E.; Speier, A. Darstellung der Ester. Chem. Berichte 1895, 28, 3252–3258. [Google Scholar] [CrossRef]
- Steele, J.H.; Bozor, M.X.; Boyce, G.R. Transmutation of Scent: An Evaluation of the Synthesis of Methyl Cinnamate, a Commercial Fragrance, via a Fischer Esterification for the Second-Year Organic Laboratory. J. Chem. Educ. 2020, 97, 4127–4132. [Google Scholar] [CrossRef]
- Kam, C.M.T.; Levonis, S.M.; Schweiker, S.S. A Visual Organic Chemistry Reaction: The Synthesis of 4-Amino-3-nitrobenzoic Acid Methyl Ester via Fischer Esterification. J. Chem. Educ. 2020, 97, 1997–2000. [Google Scholar] [CrossRef]
- Salaheldeen, M.; Mariod, A.A.; Aroua, M.K.; Rahman, S.M.A.; Soudagar, M.E.M.; Fattah, I.M.R. Current State and Perspectives on Transesterification of Triglycerides for Biodiesel Production. Catalysts 2021, 11, 1121. [Google Scholar] [CrossRef]
- Lee, J.-W.; Trinh, C.T. Towards renewable flavors, fragrances, and beyond. Curr. Opin. Biotechnol. 2020, 61, 168–180. [Google Scholar] [CrossRef] [PubMed]
- Baij, L.; Hermans, J.; Ormsby, B.; Noble, P.; Iedema, P.; Keune, K. A review of solvent action on oil paint. Herit. Sci. 2020, 8, 43. [Google Scholar] [CrossRef]
- Godwin, A.D. 26—Plasticizers. In Plastics Design Library, Applied Plastics Engineering Handbook, 3rd ed.; Kutz, M., Ed.; William Andrew Publishing: Norwich, NY, USA, 2024; pp. 595–618. ISBN 9780323886673. [Google Scholar]
- Mazitova, A.K.; Aminova, G.K.; Vikhareva, I.N. Designing of Green Plasticizers and Assessment of the Effectiveness of Their Use. Polymers 2021, 13, 1761. [Google Scholar] [CrossRef]
- Karis, D.; Cain, R.; Young, K.; Shand, A.; Holm, T.; Springer, E. Non-fuel uses for fatty acid methyl esters. Biofuels Bioprod. Biorefining 2022, 16, 1893–1908. [Google Scholar] [CrossRef]
- Campos, J.; Verdeguer, M.; Baur, P. Capped polyethylene glycol esters of fatty acids as novel active principles for weed control. Pest Manag. Sci. 2021, 77, 4648–4657. [Google Scholar] [CrossRef] [PubMed]
- Teng, Y.; Lan, P.; White, L.V.; Banwell, M.G. The useful biological properties of sucrose esters: Opportunities for the development of new functional foods. Crit. Rev. Food Sci. Nutr. 2023, 64, 8018–8035. [Google Scholar] [CrossRef] [PubMed]
- Nguyen, V.H.; Le, M.N.; Nguyen, H.B.; Ha, K.O.; Pham, T.H.V.; Nguyen, T.H.; Dao, N.S.H.; Nguyen, V.G.; Nguyen, D.L.; Trinh, N.T. Propyl Gallate. Molbank 2021, 2021, M1201. [Google Scholar] [CrossRef]
- Chaffey, D.R.; Bere, T.; Davies, T.E.; Apperley, D.C.; Taylor, S.H.; Graham, A.E. Conversion of levulinic acid to levulinate ester biofuels by heterogeneous catalysts in the presence of acetals and ketals. Appl.Catal. B Environ. 2021, 293, 120219. [Google Scholar] [CrossRef]
- Khan, Z.; Javed, F.; Shamair, Z.; Hafeez, A.; Fazal, T.; Aslam, A.; Zimmerman, W.B.; Rehman, F. Current developments in esterification reaction: A review on process and parameters. J. Ind. Eng. Chem. 2021, 103, 80–101. [Google Scholar] [CrossRef]
- Munawar, S.; Zahoor, A.F.; Hussain, S.M.; Ahmad, S.; Mansha, A.; Parveen, B.; Ali, K.G.; Irfan, A. Steglich esterification: A versatile synthetic approach toward the synthesis of natural products, their analogues/derivatives. Heliyon 2024, 10, e23416. [Google Scholar] [CrossRef]
- Chen, Y.; Biresaw, G.; Cermak, S.C.; Isbell, T.A.; Ngo, H.L.; Chen, L.; Durham, A.L. Fatty Acid Estolides: A Review. J. Am. Oil Chem. Soc. 2020, 97, 231–241. [Google Scholar] [CrossRef]
- Altalhi, F.; Algalbati, H.; Magrahi, A. Synthesis of Esters with Different Flavors using Fisher Esterification. Alq. J. Med. App. Sci. 2024, 7, 884–890. [Google Scholar] [CrossRef]
- Bannon, M.S.; Ellena, J.F.; Gourishankar, A.S.; Marsh, S.R.; Trevisan-Silva, D.; Sherman, N.E.; Jourdan, L.J.; Gourdiec, R.G.; Letteri, R.A. Multi-site esterification: A tunable, reversible strategy to tailor therapeutic peptides for delivery. Mol. Syst. Des. Eng. 2024, 9, 1215–1227. [Google Scholar] [CrossRef]
- Jayawijayanti, C.A.; Budimarwanti, C. Synthesis of Vanillyl Acetate through Fischer Esterification of Acetic Acid and Vanillyl Alcohol Product of Vanillyl Reduction. Indones. J. Chem. Environ. 2022, 5, 51–57. [Google Scholar]
- Magnani, C.; Fazilati, M.; Kádár, R.; Idström, A.; Evenäs, L.; Raquez, J.-M.; Lo Re, G. Green Topochemical Esterification Effects on the Supramolecular Structure of Chitin Nanocrystals: Implications for Highly Stable Pickering Emulsions. ACS Appl. Nano Mater. 2022, 5, 4731–4743. [Google Scholar] [CrossRef]
- Villanueva-Solís Luis, A.; Ruíz-Cuilty, K.; Camacho-Dávilaa, A.; Espinoza-Hicksa, J.C.; González-Sánchezb, G.; Ballinas-Casarrubias, L. Lignocellulosic waste pretreatment and esterification using green solvents. Sep. Purif. Technol. 2020, 250, 117102. [Google Scholar] [CrossRef]
- Song, Y.; Ge, Y.; Zhuo, Y.; Yang, Y.; Liao, Y.-W. Enhancing wettability and water resistance of coatings using tung oleic acid-based gemini wetting agent via fischer esterification. Prog. Org. Coat. 2024, 197, 108779. [Google Scholar] [CrossRef]
- Salvitti, C.; de Petris, G.; Troiani, A.; Managò, M.; Di Noi, A.; Ricci, A.; Pepi, F. Sulfuric Acid Catalyzed Esterification of Amino Acids in Thin Film. J. Am. Soc. Mass Spectrom. 2023, 34, 2748–2754. [Google Scholar] [CrossRef] [PubMed]
- Ya-Lan, L.; Jin-Yu, P.; Ji-Cong, L.; Wen-Wu, S.; Ji-Kai, L.; Bin, W. Chemo- and Site-Selective Fischer Esterification Catalyzed by B(C6F5)3. Asian J. Org. Chem. 2021, 10, 1424–1427. [Google Scholar]
- Hamerski, F.; Gonçalves Dusi, G.; Trancoso Fernandes dos Santos, J.; Renan da Silva, V.; Pedersen Voll, F.A.; Corazza, M.L. Esterification reaction kinetics of acetic acid and n-pentanol catalyzed by sulfated zirconia. Int. J. Chem. Kinet. 2020, 52, 499–512. [Google Scholar] [CrossRef]
- Kolet, M.; Atrash, M.; Molina, K.; Zerbib, D.; Albo, Y.; Nakonechny, F.; Nisnevitch, N. Sol–Gel Entrapped Lewis Acids as Catalysts for Biodiesel Production. Molecules 2020, 25, 5936. [Google Scholar] [CrossRef] [PubMed]
- Ulfah, M.; Sundari, F.E.; Praputri, E. A Comparison of Palm Fatty Acid Distillate (PFAD) Esterification using Sulphated Alumina versus Sulphuric Acid Catalyst. IOP Conf. Ser. Mater. Sci. Eng. 2020, 990, 012015. [Google Scholar] [CrossRef]
- Ranno, L.; Tan, Y.Z.; Ong, C.S.; Guo, X.; Koo, K.N.; Li, X.; Wang, W.; Serna, S.; Liu, C.; Rusli; et al. Crown ether decorated silicon photonics for safeguarding against lead poisoning. Nat. Commun. 2024, 15, 3820. [Google Scholar] [CrossRef]
- Städtke, K.; Göpfertb, A.W.; Inayat, A. Towards a greener synthesis of dianhydrohexitol esters. Green Chem. 2023, 25, 7292. [Google Scholar] [CrossRef]
- Jansen, J.H.; Powell, A.B.; Specht, S.E.; Gerislioglu, S.; Hermans, I. Understanding the Structure and Reactivity of Mixed Titanium(IV) Alkoxide and Tin(II)/(IV) Carboxylates as Esterification Catalysts. ACS Sustain. Chem. Eng. 2022, 10, 2484–2493. [Google Scholar] [CrossRef]
- De Bruyne, A.; Stuyck, W.; Deleu, W.; Leinders, J.; Marquez, C.; Janssens, K.; Sakellariou, D.; Ghillebert, R.; De Vos, D.E. Efficient two-step production of biobased plasticizers: Dehydration-hydrogenation of citric acid followed by Fischer esterification. Green Chem. 2023, 25, 3896. [Google Scholar] [CrossRef]
- Zaharani, L.; Khaligh, N.G.; Johana, M.R.; Gorjian, H. Synthesis and characterization of a new acid molten salt and the study of its thermal behavior and catalytic activity in Fischer esterification. New J. Chem. 2021, 45, 7081. [Google Scholar] [CrossRef]
- da Luz Correa, A.P.; Cardoso Bastos, R.R.; da Rocha Filho, G.N.; Zamian, J.R.; Vieira da Conceiçao, L.R. Preparation of sulfonated carbon-based catalysts from murumuru kernel shell and their performance in the esterification reaction. RSC Adv. 2020, 10, 20245. [Google Scholar] [CrossRef]
- Lawer-Yolar, G.; Dawson-Andoh, B.; Atta-Obeng, E. Synthesis of Biodiesel from Tall Oil Fatty Acids by Homogeneous and Heterogeneous Catalysis. Sustain. Chem. 2021, 2, 206–221. [Google Scholar] [CrossRef]
- Fawaz, E.G.; Salam, D.A.; Daou, T.J. Esterification of linoleic acid using HZSM-5 zeolites with different Si/Al ratios. Microporous Mesoporous Mater. 2020, 294, 109855. [Google Scholar] [CrossRef]
- Russo, V.; Taddeo, F.; Cogliano, T.; Vitiello, R.; Esposito, R.; Tesser, R.; Salmi, T.; Di Serio, M. Investigation of the intrinsic reaction kinetics and the mass transfer phenomena of nonanoic acid esterification with 2-ethylhexanol promoted by sulfuric acid or Amberlite IR120. Chem. Eng. J. 2021, 408, 127236. [Google Scholar] [CrossRef]
- Zare, M.; Golmakani, M.-T.; Sardarian, A. Green synthesis of banana flavor using different catalysts: A comparative study of different methods. Green Chem. Lett. Rev. 2020, 13, 83–92. [Google Scholar] [CrossRef]
- Bano, K.; Jain, A.; Sarkar, R.; Panda, T.K. Economically Viable and Efficient Catalysts for Esterification and Cross Aldol Condensation Reactions under Mild Conditions. ChemistrySelect 2020, 5, 4470–4477. [Google Scholar] [CrossRef]
- Hussein, M.F.; El Naga, A.O.A.; El Saied, M.; AbuBaker, M.M.; Shaban, S.A.; El Kady, F.Y. Potato peel waste-derived carbon-based solid acid for the esterification of oleic acid to biodiesel. Environ. Technol. Innov. 2021, 21, 101355. [Google Scholar] [CrossRef]
- Xiao, K.; Zhou, Z.; Ye, C.; Chen, J.; Qiu, T. Hydrogen bond induced acidic solids for effective esterification catalysis. Chem. Eng. J. 2023, 478, 147398. [Google Scholar] [CrossRef]
- Zhu, J.; Jiang, W.; Yuan, Z.; Lu, J.; Ding, J. Esterification of tall oil fatty acid catalyzed by Zr4+-CER in fixed bed membrane reactor. Renew. Energy 2024, 221, 119760. [Google Scholar] [CrossRef]
- Zhang, B.; Gao, M.; Geng, J.; Cheng, Y.; Wang, X.; Wu, C.; Wang, Q.; Liu, S.; Cheung, S.M. Catalytic performance and deactivation mechanism of a one-step sulfonated carbon-based solid-acid catalyst in an esterification reaction. Renew. Energy 2021, 164, 824e832. [Google Scholar] [CrossRef]
- Masteri-Farahani, M.; Hosseini, M.-S.; Forouzeshfar, N. Propyl-SO3H functionalized graphene oxide as multipurpose solid acid catalyst for biodiesel synthesis and acid-catalyzed esterification and acetalization reactions. Renew. Energy 2020, 151, 1092e1101. [Google Scholar] [CrossRef]
- Chandrika, B.; Muraleedharan, S.; Chandran, G. Kinetics and mechanism of esterification of palmitic acid with ethanol in the presence of Brønsted acidic ionic liquids as catalyst. Oxf. Open Mater. Sci. 2024, 4, itae006. [Google Scholar] [CrossRef]
- Hong, S.-M.; Kim, O.Y.; Hwang, S.-H. Synthesis of 9,9-bis[4-(2-hydroxyethoxy)phenyl]fluorene di (mercaptopropionate) for high-luminance and refractive prism sheets. Prog. Org. Coat. 2024, 196, 108700. [Google Scholar] [CrossRef]
- Bezzekhami, M.A.; Harrane, A.; Belalia, M.; Mostefai, A.; Belkhir, N.L.; Bououdina, M. Green Synthesis of Starch Nanoparticles (SNPs) by Esterification with Rosin Acid Catalyzed by Maghnite-H+ (Algerian Montmorillonite) with Enhanced Antioxidant Activity. Arab. J. Sci. Eng. 2023, 48, 311–326. [Google Scholar] [CrossRef]
- Zaharani, L.; Ghafarikhaligh, M.; Rafie, M.J.; Khaligh, M.G. Single crystal XRD and FTIR studies of 4H,4H′-trimettylenedipiperidine-diium hydrogen sulfate hydrate and investigation its catalytic activity in Fischer esterification using the in-situ continuous liquid–liquid extraction technique. Res. Chem. Intermed. 2023, 49, 5451–5469. [Google Scholar] [CrossRef]
- Wolzak, L.A.; van der Vlugt, J.I.; van den Berg, K.J.; Reek, J.N.H.; Tromp, M.; Korstanje, T.J. Titanium-catalyzed esterification reactions: Beyond Lewis acidity. ChemCatChem 2020, 12, 5229–5235. [Google Scholar] [CrossRef]
- Melchiorre, M.; Cucciolito, M.E.; Di Serio, M.; Ruffo, F.; Tarallo, O.; Trifuoggi, M.; Esposito, R. Homogeneous Catalysis and Heterogeneous Recycling: A Simple Zn(II) Catalyst for Green Fatty Acid Esterification. ACS Sustain. Chem. Eng. 2021, 9, 6001–6011. [Google Scholar] [CrossRef]
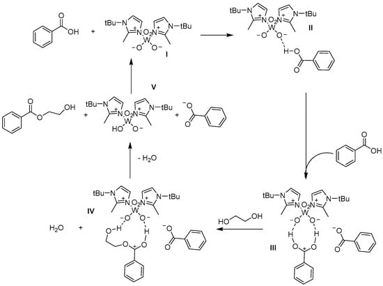
- Wu, S.; Wang, Y.; Tao, H.; Yu, Z.; Wu, L.; Meng, X.; Zhang, Y. Fischer Esterification of Benzoic Acid and Polyhydric Alcohols Catalyzed by Basic Ionic Liquids of Bisimidazolium Tungstates. ChemistrySelect 2023, 8, e202204112. [Google Scholar] [CrossRef]
- Alsalim, M.; Chermahini, A.N.; Dinari, M.; Luque, R.; Pineda, A.; Vargas Fernandez, C. Synthesis of carrageenan/DFNS composite and its application in the esterification of levulinic acid with alcohols. Inorg. Chem. Commun. 2024, 169, 113054. [Google Scholar] [CrossRef]
- Chung, S.-H.; Demetriou, M.; Wang, H.; Shiju, N.R. Solid acid catalyzed esterification of dicyclopentadiene with organic acids to bio-based functional monomers. Sustain. Energy Fuels 2024, 8, 1788–1792. [Google Scholar] [CrossRef]
- Teasdale, A.; Delaney, E.J.; Eyley, S.C.; Jacq, K.; Taylor-Worth, K.; Lipczynski, A.; Hoffmann, W.; Reif, V.; Elder, D.P.; Facchine, K.L.; et al. A Detailed Study of Sulfonate Ester Formation and Solvolysis Reaction Rates and Application toward Establishing Sulfonate Ester Control in Pharmaceutical Manufacturing Processes. Org. Process Res. Dev. 2010, 14, 999–1007. [Google Scholar] [CrossRef]
- Van Loon, L.L.; Allen, H.C. Methanol Reaction with Sulfuric Acid: A Vibrational Spectroscopic Study. J. Phys. Chem. B 2004, 108, 17666–17674. [Google Scholar] [CrossRef]
- Wu, S.; Huang, J.; Wang, Y.; Tao, H.; Yu, Z.; Zhang, Y. Bisimidazolium Tungstate Ionic Liquids: Highly Efficient Catalysts for the Synthesis of Linear Organic Carbonates by the Reaction of Ethylene Carbonate with Alcohols. Catal. Lett. 2023, 153, 62–73. [Google Scholar] [CrossRef]








| Acid | Alcohol | Bronsted Catalyst | Reference |
|---|---|---|---|
| formic acid, acetic acid, salicylic acid, benzoic acid | 2-propanol, ethanol, isobutanol | H2SO4 | Altalhi et al. [17] |
| peptide aCT11 | methanol | HCl | Bannon et al. [18] |
| acetic acid | vanillyl alcohol | H2SO4 | Jayawijayanti et al. [19] |
| 4-Amino-3-nitrobenzoic Acid | methanol | H2SO4 | Kam et al. [3] |
| lactic and butyric acids | chitin | HCl | Magnani et a. [20] |
| acetic acid | cellulose | H2SO4 | Luis et al. [21] |
| trans-cinnamic acid | methanol | H2SO4 or pTSA | Steele et al. [2] |
| eleostearic acid | polyether alkynyl alcohol | p-toluenesulfonic acid | Song et al. [22] |
| amino acids (L-Alanine, L-phenylalanine, L-tyrosine, L-lysine, and L-glutamic acid) | methanol | H2SO4 | Salvitti et al. [23] |
| 1-methyl-3-indoleacetic acid, benzofuran, naphthalene, thiophene, pyridine, substituted benzenes, formate derivatives, D-(−)-tartaric acid, several natural and unnatural amino acids (alanine, valine, leucine, isoleucine, proline, threonine, serotonine, tyrosine. | methanol, ethanol, i-propanol, t-butanol, cyclohexanol, ethylene glycol, 1,3-propandiol, triethylamine alcohol, glycerol | B(C6F5)3 | Ya-Lan et al. [24] |
| acetic acid | n-pentanol | sulfated zirconia | Hamerski et al. [25] |
| Free Fatty Acids (FFAs) from vegetable oils | methanol | BF3 or AlCl3 | Kolet et al. [26] |
| palm fatty acid | methanol | Al2(SO4)3 or H2SO4 1 | Ulfah et al. [27] |
| Acid | Alcohol | Lewis Catalyst | Reference |
| polyacrylic acid | SiOH | SnCl2 | Ranno et al. [28] |
| acetic, propionic, butyric, octanoic, hexanoic, adipic, suberic, linoleic, oleic, caprylic, ricinoleic | isosorbide, isomannide | Amberlyst-15 | Städtke et al. [29] |
| 2-(((2-ethylhexyl)oxy)carbonyl)benzoic acid | 2-ethylhexanol. | mixed Sn/Ti catalysts | Jansen et al. [30] |
| propane-1,2,3-tricarboxylic acid | n-propanol | Al2(SO4)3 | De Bruyne et al. [31] |
| glacial acetic acid | n-pentanol | piperazione-based acid molten salt | Zaharani et al. [32] |
| oleic acid | methanol | biochar from murumuru kernel shells | Correa et al. [33] |
| tall oil fatty acids | methanol | Amberlyst® BD20 or H2SO4 | Lawer-Yolar et al. [34] |
| linoleic acid | methanol | HZSM-5 zeolites | Fawaz et al. [35] |
| nonanoic acid | 2-ethylhexanol | Amberlite IR120 | Russo et al. [36] |
| acetic acid | isoamyl alcohol | Amberlyst 15 dry, Amberlyst 16 wet, Amberlite 120-IR | Zare et al. [37] |
| benzoic acid | methanol | Brønsted acidic ionic liquids | Bano et al. [38] |
| oleic acid | methanol | SO3H-PPAC (from ZnCl2) | Hussein et al. [39] |
| oleic acid | methanol | [N,N-di(propanesulfonic) phenylenediamine][ethanol]2 | Xiao et al. [40] |
| oil fatty acid | ethanol | Zr4+-CER | Zhu et al. [41] |
| oleic acid | methanol | S150-4 | Zhang et al. [42] |
| acetic acid | n-butanol | Propyl-SO3H functionalized graphene oxide | Masteri-Farahani et al. [43] |
| palmitic acid | ethanol | Brønsted acidic ionic liquids | Chandrika et al. [44] |
| 3-mercaptopropionc acid | 9,9-bis[4-(2-hydroxyethoxy)phenyl]fluorene | para-toluensulfonic acid | Hong et al. [45] |
| rosin acid | starch nanoparticles | Maghnite-H+ | Bezzekhami et al. [46] |
| glacial acetic acid | 1-butanol | 4,4′-trimethylenedipiperidinium hydrogen sulfate hydrate | Zaharani et al. [47] |
| acetic acid | aminotriphenols | titanium aminotriphenolate | Wolzak et al. [48] |
| Butyric, caproic, pelargonic, oleic, linoleic, levulinic acid | 1-hexanol, 2- ethylhexanol, 1-hexadecanol | ZnCl2, ZnCO3, Zn(OAc)2, ZnO, Zn(ClO4)2, Zn(TfO)2, and Zn(BF4)2 | Melchiorre et al. [49] |
| benzoic acid | ethylene glycol | bisimidazolium tungstates | Wu et al. [50] |
| levulinic acid | ethanol, n-butanol, n-exanol | dendritic fibrous nano-silica derivate | Alsalim et al. [51] |
| levulinic acid | cydecanol formed in situ from dicyclopentadiene | Amberlist resin | Chung et al. [52] |
| oleic acid | methanol | [N,N-di (propanesulfonic) phenylenediamine][ethanol]2 | Xiao et al. [40] |
| Model | Mechanism |
|---|---|
| PH | Pseudo-homogeneous |
| LH_AD_P | Langmuir–Hinshelwood, adsorbed acetic acid reacts with adsorbed n-pentanol |
| ER_AC_ADS | Eley–Rideal, adsorbed acetic acid reacts with n-pentanol in the liquid phase |
| ER_P_ADS | Eley–Rideal, adsorbed n-pentanol reacts with acetic acid in the liquid phase |
Disclaimer/Publisher’s Note: The statements, opinions and data contained in all publications are solely those of the individual author(s) and contributor(s) and not of MDPI and/or the editor(s). MDPI and/or the editor(s) disclaim responsibility for any injury to people or property resulting from any ideas, methods, instructions or products referred to in the content. |
© 2024 by the authors. Licensee MDPI, Basel, Switzerland. This article is an open access article distributed under the terms and conditions of the Creative Commons Attribution (CC BY) license (https://creativecommons.org/licenses/by/4.0/).
Share and Cite
Mannu, A.; Mele, A. Fischer-Speier Esterification and Beyond: Recent Mechanicistic Advances. Catalysts 2024, 14, 931. https://doi.org/10.3390/catal14120931
Mannu A, Mele A. Fischer-Speier Esterification and Beyond: Recent Mechanicistic Advances. Catalysts. 2024; 14(12):931. https://doi.org/10.3390/catal14120931
Chicago/Turabian StyleMannu, Alberto, and Andrea Mele. 2024. "Fischer-Speier Esterification and Beyond: Recent Mechanicistic Advances" Catalysts 14, no. 12: 931. https://doi.org/10.3390/catal14120931
APA StyleMannu, A., & Mele, A. (2024). Fischer-Speier Esterification and Beyond: Recent Mechanicistic Advances. Catalysts, 14(12), 931. https://doi.org/10.3390/catal14120931
