Recent Advances in Aromatic Hydroxylation to Phenol and Hydroquinone Using H2O2
Abstract
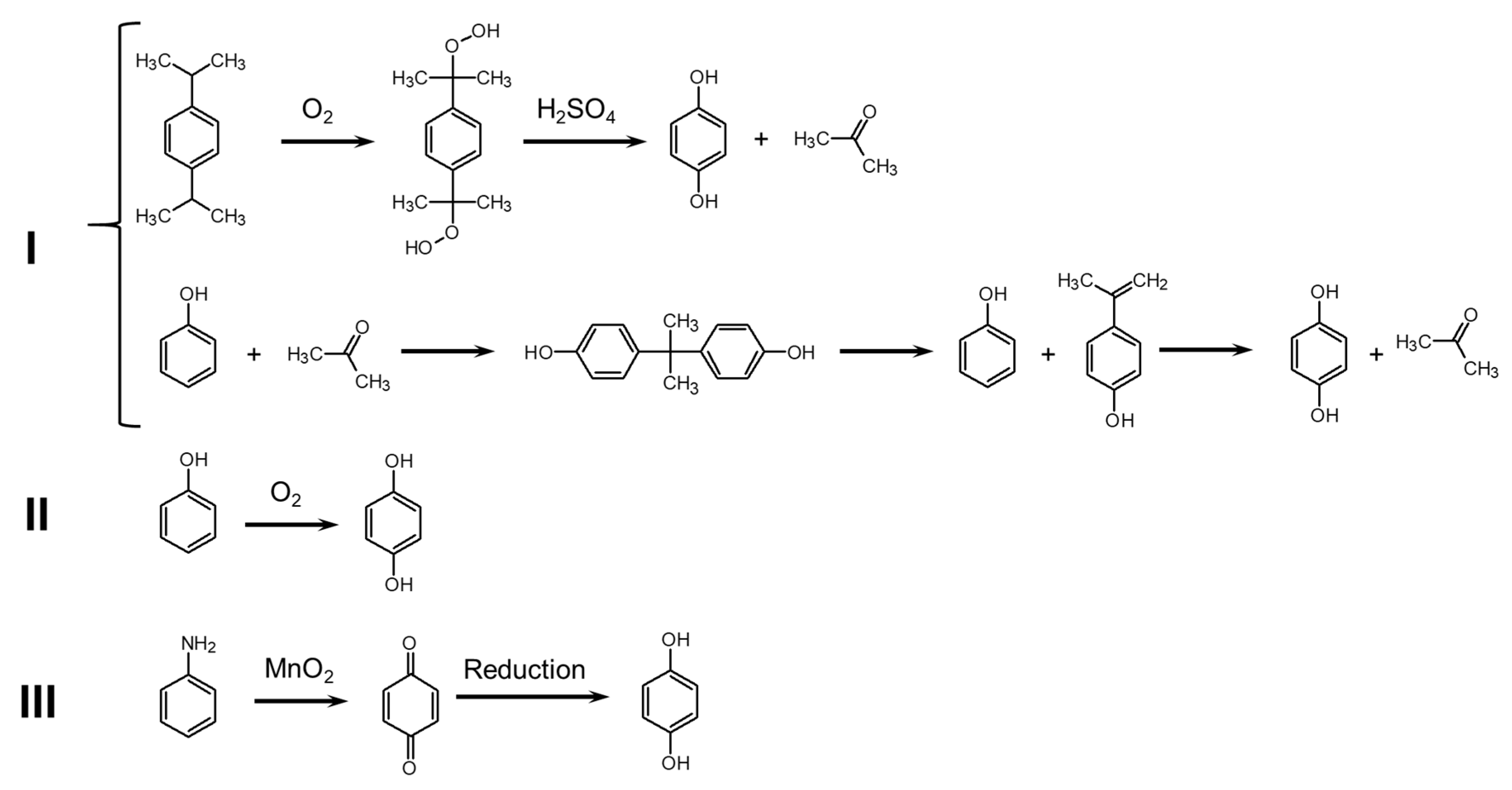
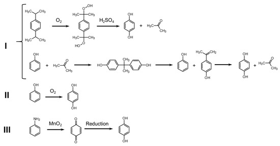
1. Introduction
2. Production of Phenols via Direct Hydroxylation of Benzene
| Catalyst | Temperature (°C) | Conversion (wt. %) | Selectivity (%) | Reference | 
|---|---|---|---|---|
| TS-1 | 60 | 29 | 95 | [41] | 
| Ti-grafted/MCM-41 | 65 | 92 | 95 | [42] | 
| TS-1B | 100 | 9 | 94 | [43] | 
| TI-MCM-41 | 60 | >70 | 100 | [39] | 
| Si-TiMCM-41 | 60 | 18.7 | 90 | [44] | 
| CuO/SBA-15 | 65 | 20.6 | 92.4 | [45] | 
| CuO/KIT-6 | 65 | 11.7 | 85.0 | |
| Cu-polymers | 70 | 7 | >99 | [46] | 
| Ni-polymers | 70 | 5 | >99 | |
| Cu/MCM-41 | RT | 21 | 94 | [47] | 
| Nb//MCM-41 | 70 | 19.4 | 84.5 | [48] | 
| Fe/Al2O3 | 60 | 12 | 100 | [49] | 
| FeSO4/SiO2 | 70 | 14 | 100 | [50] | 
| Fe/C | 63 | 50 | 40 | [51] | 
| Fe/MgO | 60 | 36 | 100 | [52] | 
| Fe/TiO2 | 30 | 15 | 18 | [53] | 
| Pt-Fe/TiO2 | 30 | 6.5 | 91 | [36] | 
| Pd-Fe/TiO2 | 30 | 6.7 | 80 | |
| Co-Fe/TiO2 | 30 | 3.3 | 58 | |
| Ni-Fe/TiO2 | 30 | 3.0 | 56 | |
| Cu-V/TiO2 | 60 | 28 | 90 | [38] | 
| Fe/V/Cu/TiO2 | 30 | 15 | 49 | [54] | 
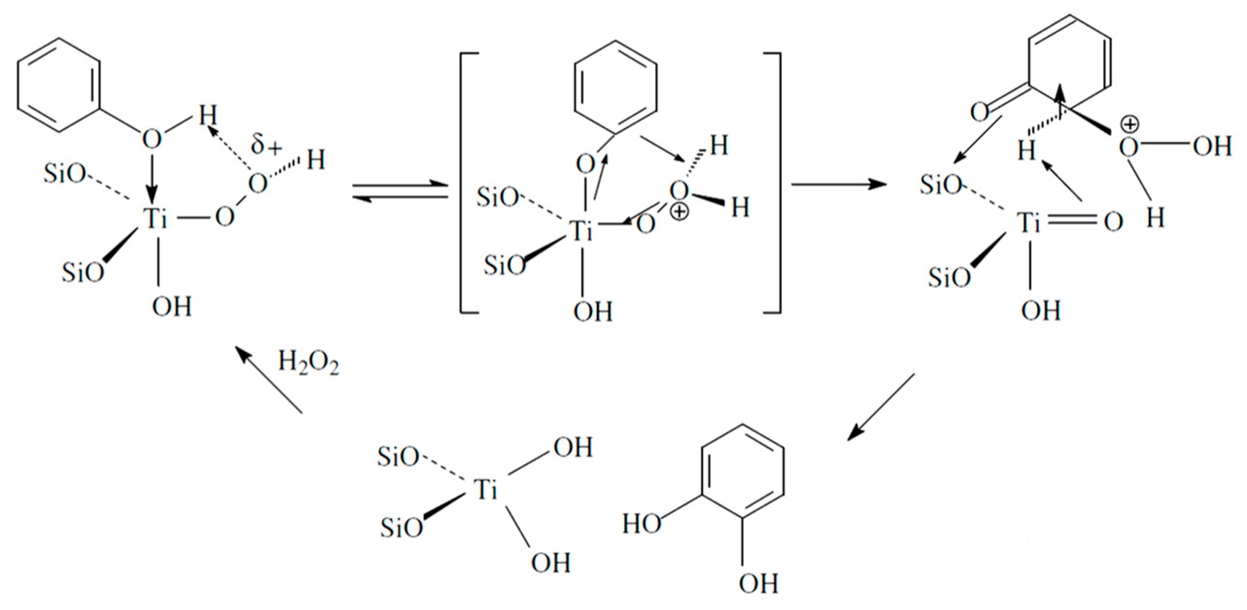
3. Hydroxylation of Phenol on Ti-Containing Molecular Sieves
4. Hydroxylation of Phenols on Supported Metal Catalysts
5. Photocatalytic Hydroxylation of Phenols
6. New Trends in the Phenol Hydroxylation Process
7. Conclusions
Author Contributions
Funding
Data Availability Statement
Conflicts of Interest
References
- Krumenacker, L.; Costantini, M.; Pontal, P.; Sentenac, J. Hydroquinone, Resorcinol, and Catechol. In Kirk-Othmer Encyclopedia of Chemical Technology; Wiley: Hoboken, NJ, USA, 2000. [Google Scholar]
 - Suresh, S.; Srivastava, V.C.; Mishra, I.M. Adsorption of Catechol, Resorcinol, Hydroquinone, and Their Derivatives: A Review. Int. J. Energy Environ. Eng. 2012, 3, 32. [Google Scholar] [CrossRef]
 - ChemAnalyst Report. Hydroquinone Market Size, Share, Growth & Forecast; ChemAnalysis: New York, NY, USA, 2023. [Google Scholar]
 - Market Research Report. Global Dihydroxybenzenes 2019–2030; Market Research: Rockville, MD, USA, 2023. [Google Scholar]
 - Ran, N.; Knop, D.R.; Draths, K.M.; Frost, J.W. Benzene-Free Synthesis of Hydroquinone. J. Am. Chem. Soc. 2001, 123, 10927–10934. [Google Scholar] [CrossRef] [PubMed]
 - Carleton, P.S. Process for Preparing Hydroquinone and Acetone 1975. U.S. Patent No. 4,207,265, 10 June 1980. [Google Scholar]
 - Costantini, M.; Fache, E.; Michelet, D.; Manaut, D. Selective Access to Hydroquinone: «Fuchsone Route. In Industrial Chemistry Library; Elsevier: Amsterdam, The Netherlands, 1996; Volume 8, pp. 350–367. [Google Scholar]
 - Wang, C.; Zhang, J.; Zheng, W.; Ren, Y.; Yue, B.; He, H. Direct Hydroxylation of Benzene to Phenol on Solid-State Catalyst. In Industrial Arene Chemistry; Wiley: Hoboken, NJ, USA, 2023; Volume 3, pp. 1385–1410. ISBN 9783527827992. [Google Scholar]
 - Burton, R. Oxidant Concentration Effects in the Hydroxylation of Phenol over Titanium-Based Zeolites Al-Free Ti-Beta and TS-1. Ph.D. Thesis, University of Stellenbosch, Stellenbosch, South Africa, 2006. [Google Scholar]
 - Centi, G.; Perathoner, S. One-Step H2O2 and Phenol Syntheses: Examples of Challenges for New Sustainable Selective Oxidation Processes. Catal. Today 2009, 143, 145–150. [Google Scholar] [CrossRef]
 - Bokare, A.D.; Choi, W. Review of Iron-Free Fenton-like Systems for Activating H2O2 in Advanced Oxidation Processes. J. Hazard. Mater. 2014, 275, 121–135. [Google Scholar] [CrossRef] [PubMed]
 - Lewis, R.J.; Hutchings, G.J. Recent Advances in the Direct Synthesis of H2O2. ChemCatChem 2019, 11, 298–308. [Google Scholar] [CrossRef]
 - Mizuno, N.; Kamata, K. Catalytic Oxidation of Hydrocarbons with Hydrogen Peroxide by Vanadium-Based Polyoxometalates. Coord. Chem. Rev. 2011, 255, 2358–2370. [Google Scholar] [CrossRef]
 - Tkachenko, N.V.; Ottenbacher, R.V.; Lyakin, O.Y.; Zima, A.M.; Samsonenko, D.G.; Talsi, E.P.; Bryliakov, K.P. Highly Efficient Aromatic C−H Oxidation with H2O2 in the Presence of Iron Complexes of the PDP Family. ChemCatChem 2018, 10, 4052–4057. [Google Scholar] [CrossRef]
 - Wilkenhöner, U.; van Steen, E.; Langhendries, G.; Baron, G.V.; van Laar, F.; Jacobs, P.A.; Gammon, D.W. Influence of Pore and Crystal Size of Crystalline Titanosilicates on Phenol Hydroxylation in Different Solvents. J. Catal. 2001, 203, 201–212. [Google Scholar] [CrossRef]
 - Naik, B.; Parida, K.M.; Behera, G.C. Facile Synthesis of Bi2O3/TiO2-XNx and Its Direct Solar-Light-Driven Photocatalytic Selective Hydroxylation of Phenol. ChemCatChem 2011, 3, 311–318. [Google Scholar] [CrossRef]
 - Yusuf, S.; Dinari, M.; Moheb, A. Facial Synthesis of V-Containing CuMgAl-LDHs as a New Catalyst for the Phenol Hydroxylation. Chem. Phys. 2021, 546, 111183. [Google Scholar] [CrossRef]
 - Callanan, L.H.; Burton, R.M.; Wilkenhóner, U.; Van, S. Phenol Hydroxylation of over Aluminium-Free Titanium-Beta Using Water as a Solvent. In Studies in Surface Science and Catalysis; Elsevier: Amsterdam, The Netherlands, 2004; Volume 154 C, pp. 2596–2602. [Google Scholar]
 - Rives, V.; Prieto, O.; Dubey, A.; Kannan, S. Synergistic Effect in the Hydroxylation of Phenol over CoNiAl Ternary Hydrotalcites. J. Catal. 2003, 220, 161–171. [Google Scholar] [CrossRef]
 - Hai, L.; Zhang, T.; Zhang, X.; Zhang, G.; Li, B.; Jiang, S.; Ma, X. Catalytic Hydroxylation of Phenol to Dihydroxybenzene by Fe(II) Complex in Aqueous Phase at Ambient Temperature. Catal. Commun. 2017, 101, 93–97. [Google Scholar] [CrossRef]
 - Lee, G.D.; Kim, S.G.; Jeong, H.H.; Park, S.S.; Hong, S.S. Photocatalytic Hydroxylation of Phenol over Ti-Containing Zeolites (TS-1, Ti-MCM-41). Solid State Phenom. 2007, 124–126, 1793–1796. [Google Scholar] [CrossRef]
 - Parmon, V.N.; Panov, G.I.; Uriarte, A.; Noskov, A.S. Nitrous Oxide in Oxidation Chemistry and Catalysis: Application and Production. Catal. Today 2005, 100, 115–131. [Google Scholar] [CrossRef]
 - Zuo, Y.; Liu, M.; Ma, M.; Song, C.; Guo, X. Improved Catalytic Performance for 1-Butene Epoxidation over Titanium Silicalite-1 Extrudates by Using SBA-15 or Carborundum as Additives. Ind. Eng. Chem. Res. 2017, 56, 7462–7467. [Google Scholar] [CrossRef]
 - Notari, B. Synthesis and Catalytic Properties of Titanium Containing Zeolites. In Proceedings of the Studies in Surface Science and Catalysis; Elsevier: Amsterdam, The Netherlands, 1988; Volume 37, pp. 413–425. [Google Scholar]
 - Zuo, Y.; Song, W.; Dai, C.; He, Y.; Wang, M.; Wang, X.; Guo, X. Modification of Small-Crystal Titanium Silicalite-1 with Organic Bases: Recrystallization and Catalytic Properties in the Hydroxylation of Phenol. Appl. Catal. A Gen. 2013, 453, 272–279. [Google Scholar] [CrossRef]
 - Han, Z.; Zhang, F.; Zhao, X. Green Energy-Efficient Synthesis of Fe-ZSM-5 Zeolite and Its Application for Hydroxylation of Phenol. Microporous Mesoporous Mater. 2019, 290, 109679. [Google Scholar] [CrossRef]
 - Salazar-Aguilar, A.D.; Vega, G.; Casas, J.A.; Vega-Díaz, S.M.; Tristan, F.; Meneses-Rodríguez, D.; Belmonte, M.; Quintanilla, A. Direct Hydroxylation of Phenol to Dihydroxybenzenes by H2O2 and Fe-Based Metal-Organic Framework Catalyst at Room Temperature. Catalysts 2020, 10, 172. [Google Scholar] [CrossRef]
 - Perego, C.; de Angelis, A.; Pollesel, P.; Millini, R. Zeolite-Based Catalysis for Phenol Production. Ind. Eng. Chem. Res. 2021, 60, 6379–6402. [Google Scholar] [CrossRef]
 - Weber, M.; Weber, M. Phenols. In Phenolic Resins: A Century of Progress; Springer: Berlin/Heidelberg, Germany, 2010; pp. 9–23. ISBN 9783642047138. [Google Scholar]
 - Kholdeeva, O.A.; Zalomaeva, O.V. Recent Advances in Transition-Metal-Catalyzed Selective Oxidation of Substituted Phenols and Methoxyarenes with Environmentally Benign Oxidants. Coord. Chem. Rev. 2016, 306, 302–330. [Google Scholar] [CrossRef]
 - Jiang, T.; Wang, W.; Han, B. Catalytic Hydroxylation of Benzene to Phenol with Hydrogen Peroxide Using Catalysts Based on Molecular Sieves. New J. Chem. 2013, 37, 1654–1664. [Google Scholar] [CrossRef]
 - Fairuzov, D.; Gerzeliev, I.; Maximov, A.; Naranov, E. Catalytic Dehydrogenation of Ethane: A Mini Review of Recent Advances and Perspective of Chemical Looping Technology. Catalysts 2021, 11, 833. [Google Scholar] [CrossRef]
 - Naranov, E.R.; Dement’ev, K.I.; Gerzeliev, I.M.; Kolesnichenko, N.V.; Roldugina, E.A.; Maksimov, A.L. The Role of Zeolite Catalysis in Modern Petroleum Refining: Contribution from Domestic Technologies. Pet. Chem. 2019, 59, 247–261. [Google Scholar] [CrossRef]
 - Naranov, E.R.; Sadovnikov, A.A.; Arapova, O.V.; Bugaev, A.L.; Usoltsev, O.A.; Gorbunov, D.N.; Russo, V.; Murzin, D.Y.; Maximov, A.L. Mechanistic Insights on Ru Nanoparticle In Situ Formation during Hydrodeoxygenation of Lignin-Derived Substances to Hydrocarbons. Catal. Sci. Technol. 2023, 13, 1571–1583. [Google Scholar] [CrossRef]
 - Naranov, E.R.; Maximov, A.L. Selective Conversion of Aromatics into Cis-Isomers of Naphthenes Using Ru Catalysts Based on the Supports of Different Nature. Catal. Today 2019, 329, 94–101. [Google Scholar] [CrossRef]
 - Tanarungsun, G.; Kiatkittipong, W.; Praserthdam, P.; Yamada, H.; Tagawa, T.; Assabumrungrat, S. Hydroxylation of Benzene to Phenol on Fe/TiO2 Catalysts Loaded with Different Types of Second Metal. Catal. Commun. 2008, 9, 1886–1890. [Google Scholar] [CrossRef]
 - Rao, P.R.H.P.; Ramaswamy, A.V. Catalytic Hydroxylation of Phenol over a Vanadium Silicate Molecular Sieve with MEL Structure. Appl. Catal. A Gen. 1993, 93, 123–130. [Google Scholar] [CrossRef]
 - Xu, D.; Jia, L.; Guo, X. Cu-Doped Mesoporous VOx-TiO2 in Catalytic Hydroxylation of Benzene to Phenol. Cuihua Xuebao Chinese J. Catal. 2013, 34, 341–350. [Google Scholar] [CrossRef]
 - He, J.; Xu, W.; Evans, D.G.; Duan, X.; Li, C. yue Role of Pore Size and Surface Properties of Ti-MCM-41 Catalysts in the Hydroxylation of Aromatics in the Liquid Phase. Microporous Mesoporous Mater. 2001, 44–45, 581–586. [Google Scholar] [CrossRef]
 - Barbera, D.; Cavani, F.; D’Alessandro, T.; Fornasari, G.; Guidetti, S.; Aloise, A.; Giordano, G.; Piumetti, M.; Bonelli, B.; Zanzottera, C. The Control of Selectivity in Benzene Hydroxylation Catalyzed by TS-1: The Solvent Effect and the Role of Crystallite Size. J. Catal. 2010, 275, 158–169. [Google Scholar] [CrossRef]
 - Bhaumik, A.; Mukherjee, P.; Kumar, R. Triphase Catalysis over Titanium-Silicate Molecular Sieves under Solvent-Free Conditions: I. Direct Hydroxylation of Benzene. J. Catal. 1998, 178, 101–107. [Google Scholar] [CrossRef]
 - Jing, H.; Guo, Z.; Ma, H.; Evans, D.G.; Duan, X. Enhancing the Selectivity of Benzene Hydroxylation by Tailoring the Chemical Affinity of the MCM-41 Catalyst Surface for the Reactive Molecules. J. Catal. 2002, 212, 22–32. [Google Scholar] [CrossRef]
 - Balducci, L.; Bianchi, D.; Bortolo, R.; D’Aloisio, R.; Ricci, M.; Tassinari, R.; Ungarelli, R. Direct Oxidation of Benzene to Phenol with Hydrogen Peroxide over a Modified Titanium Silicalite. Angew. Chemie 2003, 115, 5087–5090. [Google Scholar] [CrossRef]
 - Lin, K.; Wang, L.; Meng, F.; Sun, Z.; Yang, Q.; Cui, Y.; Jiang, D.; Xiao, F.S. Formation of Better Catalytically Active Titanium Species in Ti-MCM-41 by Vapor-Phase Silylation. J. Catal. 2005, 235, 423–427. [Google Scholar] [CrossRef]
 - Kong, A.G.; Wang, H.W.; Yang, X.; Hou, Y.W.; Shan, Y.K. A Facile Direct Route to Synthesize Large-Pore Mesoporous Silica Incorporating High CuO Loading with Special Catalytic Property. Microporous Mesoporous Mater. 2009, 118, 348–353. [Google Scholar] [CrossRef]
 - Abbo, H.S.; Titinchi, S.J.J. Transition Metal Coordination Polymers: Synthesis and Catalytic Study for Hydroxylation of Phenol and Benzene. Appl. Catal. A Gen. 2012, 435–436, 148–155. [Google Scholar] [CrossRef]
 - Parida, K.M.; Rath, D. Structural Properties and Catalytic Oxidation of Benzene to Phenol over CuO-Impregnated Mesoporous Silica. Appl. Catal. A Gen. 2007, 321, 101–108. [Google Scholar] [CrossRef]
 - Parvulescul, V.; Constantin, C.; Su, B.L. Liquid Phase Oxidation of Aromatic Hydrocarbons Using Highly Ordered Nb and NbCo-MCM-41 Nanoreactors. J. Mol. Catal. A Chem. 2003, 202, 171–178. [Google Scholar] [CrossRef]
 - Monfared, H.H.; Amouei, Z. Hydrogen Peroxide Oxidation of Aromatic Hydrocarbons by Immobilized Iron(III). J. Mol. Catal. A Chem. 2004, 217, 161–164. [Google Scholar] [CrossRef]
 - Liu, T.; Wei, X.; Zhao, J.; Xie, H.; Wang, T.; Zong, Z. Microwave-Assisted Hydroxylation of Benzene to Phenol with H2O2 over FeSO4/SiO2. Min. Sci. Technol. 2010, 20, 93–96. [Google Scholar] [CrossRef]
 - Choi, J.S.; Kim, T.H.; Choo, K.Y.; Sung, J.S.; Saidutta, M.B.; Ryu, S.O.; Song, S.D.; Ramachandra, B.; Rhee, Y.W. Direct Synthesis of Phenol from Benzene on Iron-Impregnated Activated Carbon Catalysts. Appl. Catal. A Gen. 2005, 290, 1–8. [Google Scholar] [CrossRef]
 - Renuka, N.K. A Green Approach for Phenol Synthesis over Fe3+/MgO Catalysts Using Hydrogen Peroxide. J. Mol. Catal. A Chem. 2010, 316, 126–130. [Google Scholar] [CrossRef]
 - Tanarungsun, G.; Kiatkittipong, W.; Assabumrungrat, S.; Yamada, H.; Tagawa, T.; Praserthdam, P. Liquid Phase Hydroxylation of Benzene to Phenol with Hydrogen Peroxide Catalyzed by Fe(III)/TiO2 Catalysts at Room Temperature. J. Ind. Eng. Chem. 2007, 13, 444–451. [Google Scholar]
 - Tanarungsun, G.; Kiatkittipong, W.; Praserthdam, P.; Yamada, H.; Tagawa, T.; Assabumrungrat, S. Ternary Metal Oxide Catalysts for Selective Oxidation of Benzene to Phenol. J. Ind. Eng. Chem. 2008, 14, 596–601. [Google Scholar] [CrossRef]
 - Kumar, A.; Srinivas, D. Hydroxylation of Phenol with Hydrogen Peroxide Catalyzed by Ti-SBA-12 and Ti-SBA-16. J. Mol. Catal. A Chem. 2013, 368–369, 112–118. [Google Scholar] [CrossRef]
 - Huang, D.-G.; Hu, S.-L.; Chao, Z.-S.; Wu, D.; Ruan, H. Preparation of Open and Hierarchical Porous TS-1 and Its Catalytic Performance in Phenol Hydroxylation. J. Porous Mater. 2024, 31, 1697–1710. [Google Scholar] [CrossRef]
 - Song, S.; Zhao, W.; Wang, L.; Chu, J.; Qu, J.; Li, S.; Wang, L.; Qi, T. One-Step Synthesis of Ti-MSU and Its Catalytic Performance on Phenol Hydroxylation. J. Colloid Interface Sci. 2011, 354, 686–690. [Google Scholar] [CrossRef] [PubMed]
 - Wróblewska, A.; Wójtowicz, G.; Makuch, E. Hydroxylation of Phenol with Hydrogen Peroxide over the Ti-MWW Catalyst in the Presence of Acetonitrile. J. Adv. Oxid. Technol. 2011, 14, 267–275. [Google Scholar] [CrossRef]
 - Klaewkla, R.; Rirksomboon, T.; Kulprathipanja, S.; Nemeth, L.; Rangsunvigit, P. Light Sensitivity of Phenol Hydroxylation with TS-1. Catal. Commun. 2006, 7, 260–263. [Google Scholar] [CrossRef]
 - Kim, J.H.; Do, Y.J.; Park, J.H.; Park, S.S.; Hong, S.S.; Lee, G.D. Comparative Study of Photo- and Thermal Catalytic Hydroxylation of Phenol with H 2 O 2 over TS-1. React. Kinet. Catal. Lett. 2004, 83, 377–383. [Google Scholar] [CrossRef]
 - Reddy, J.S.; Kumar, R.; Ratnasamy, P. Titanium Silicalite-2: Synthesis, Characterization and Catalytic Properties. Appl. Catal. 1990, 58, L1–L4. [Google Scholar] [CrossRef]
 - Tyablikov, I.A.; Romanovsky, B.V. Mass Transfer Effect on the Oxidation of Alkenes and Phenol with Hydrogen Peroxide Using TS-1 Titanosilicate as a Catalyst. Catal. Letters 2017, 147, 2434–2439. [Google Scholar] [CrossRef]
 - Carati, A.; Flego, C.; Previde Massara, E.; Millini, R.; Carluccio, L.; Parker, W.; Bellussi, G. Stability of Ti in MFI and Beta Structures: A Comparative Study. Microporous Mesoporous Mater. 1999, 30, 137–144. [Google Scholar] [CrossRef]
 - Datta, R.; Leung, S.W.K. Shape Generalized Isothermal Effectiveness Factor for First-Order Kinetics. Chem. Eng. Commun. 1985, 39, 155–173. [Google Scholar] [CrossRef]
 - Tyablikov, I. Synthesis and Physicochemical Properties of Titanosilicate with MFI Structure as a Catalyst for Epoxidation of Alkenes; Moscow State University: Moscow, Russia, 2019. [Google Scholar]
 - Kim, J.; Chun, J.; Ryoo, R. MFI Zeolite Nanosheets with Post-Synthetic Ti Grafting for Catalytic Epoxidation of Bulky Olefins Using H2O2. Chem. Commun. 2015, 51, 13102–13105. [Google Scholar] [CrossRef]
 - Thangaraj, A.; Kumar, R.; Ratnasamy, P. Catalytic Properties of Crystalline Titanium Silicalites II. Hydroxylation of Phenol with Hydrogen Peroxide over TS-1 Zeolites. J. Catal. 1991, 131, 294–297. [Google Scholar] [CrossRef]
 - Yin, J.; Lu, X.; Yan, J.; Su, F.; Streiff, S.; Xu, H.; Wu, P. Postsynthesis of Ti-UZM-35 Titanosilicate as Efficient Catalyst for Phenol Hydroxylation Reaction. Microporous Mesoporous Mater. 2020, 305, 110321. [Google Scholar] [CrossRef]
 - Meng, X.; Li, D.; Yang, X.; Yu, Y.; Wu, S.; Han, Y.; Yang, Q.; Jiang, D.; Xiao, F.-S. Synthesis, Characterization, and Catalytic Activity of Mesostructured Titanosilicates Assembled from Polymer Surfactants with Preformed Titanosilicate Precursors in Strongly Acidic Media. J. Phys. Chem. B 2003, 107, 8972–8980. [Google Scholar] [CrossRef]
 - Han, Z.; Shen, Y.; Wang, F.; Zhang, X. Synthesis of Hierarchical Titanium Silicalite-1 in the Presence of Polyquaternium-7 and Its Application in the Hydroxylation of Phenol. J. Mater. Sci. 2018, 53, 12837–12849. [Google Scholar] [CrossRef]
 - Sasaki, M.; Sato, Y.; Tsuboi, Y.; Inagaki, S.; Kubota, Y. Ti-YNU-2: A Microporous Titanosilicate with Enhanced Catalytic Performance for Phenol Oxidation. ACS Catal. 2014, 4, 2653–2657. [Google Scholar] [CrossRef]
 - Yue, Y.; Gédéon, A.; Bonardet, J.L.; Melosh, N.; D’Espinose, J.B.; Fraissard, J. Direct Synthesis of AlSBA Mesoporous Molecular Sieves: Characterization and Catalytic Activities. Chem. Commun. 1999, 1967–1968. [Google Scholar] [CrossRef]
 - Schmidt, R.; Stöcker, M.; Hansen, E.; Akporiaye, D.; Ellestad, O.H. MCM-41: A Model System for Adsorption Studies on Mesoporous Materials. Microporous Mater. 1995, 3, 443–448. [Google Scholar] [CrossRef]
 - Alam, S.; Selatan, S.P.; Pinang, P. A Review: Mesoporous Santa Barbara Amorphous-15, Types, Synthesis and Its Applications towards Biorefinery Production. Am. J. Appl. Sci. 2010, 7, 1579–1586. [Google Scholar]
 - Herney-Ramirez, J.; Vicente, M.A.; Madeira, L.M. Heterogeneous Photo-Fenton Oxidation with Pillared Clay-Based Catalysts for Wastewater Treatment: A Review. Appl. Catal. B Environ. 2010, 98, 10–26. [Google Scholar] [CrossRef]
 - Liotta, L.F.; Gruttadauria, M.; Di Carlo, G.; Perrini, G.; Librando, V. Heterogeneous Catalytic Degradation of Phenolic Substrates: Catalysts Activity. J. Hazard. Mater. 2009, 162, 588–606. [Google Scholar] [CrossRef] [PubMed]
 - Rokhina, E.V.; Virkutyte, J. Environmental Application of Catalytic Processes: Heterogeneous Liquid Phase Oxidation of Phenol with Hydrogen Peroxide. Crit. Rev. Environ. Sci. Technol. 2011, 41, 125–167. [Google Scholar] [CrossRef]
 - Silvestre-Albero, A.; Grau-Atienza, A.; Serrano, E.; García-Martínez, J.; Silvestre-Albero, J. Desilication of TS-1 Zeolite for the Oxidation of Bulky Molecules. Catal. Commun. 2014, 44, 35–39. [Google Scholar] [CrossRef]
 - Shakeri, M.; Dehghanpour, S.B. Rational Synthesis of TS-1 Zeolite to Direct Both Particle Size and Framework Ti in Favor of Enhanced Catalytic Performance. Microporous Mesoporous Mater. 2020, 298, 110066. [Google Scholar] [CrossRef]
 - Xiong, G.; Cao, Y.; Guo, Z.; Jia, Q.; Tian, F.; Liu, L. The Roles of Different Titanium Species in TS-1 Zeolite in Propylene Epoxidation Studied by in Situ UV Raman Spectroscopy. Phys. Chem. Chem. Phys. 2016, 18, 190–196. [Google Scholar] [CrossRef]
 - Huybrechts, D.R.C.; Vaesen, I.; Li, H.X.; Jacobs, P.A. Factors Influencing the Catalytic Activity of Titanium Silicalites in Selective Oxidations. Catal. Lett. 1991, 8, 237–244. [Google Scholar] [CrossRef]
 - Zhang, N.; Shi, L.; Yu, T.; Li, T.; Hua, W.; Lin, C. Synthesis and Characterization of Pure STW-Zeotype Germanosilicate, Cu- and Co-Substituted STW-Zeotype Materials. J. Solid State Chem. 2015, 225, 271–277. [Google Scholar] [CrossRef]
 - Přech, J. Catalytic Performance of Advanced Titanosilicate Selective Oxidation Catalysts—A Review. Catal. Rev. 2018, 60, 71–131. [Google Scholar] [CrossRef]
 - Mal, N.K.; Ramaswamy, A.V. Hydroxylation of Phenol over Sn-Silicalite-1 Molecular Sieve: Solvent Effects. J. Mol. Catal. A Chem. 1996, 105, 149–158. [Google Scholar] [CrossRef]
 - Ramaswamy, V.; Tripathi, B.; Srinivas, D.; Ramaswamy, A.V.; Cattaneo, R.; Prins, R. Structure and Redox Behavior of Zirconium in Microporous Zr-Silicalites Studied by EXAFS and ESR Techniques. J. Catal. 2001, 200, 250–258. [Google Scholar] [CrossRef]
 - Chen, J.; Eberlein, L.; Langford, C.H. Pathways of Phenol and Benzene Photooxidation Using TiO2 Supported on a Zeolite. J. Photochem. Photobiol. A Chem. 2002, 148, 183–189. [Google Scholar] [CrossRef]
 - Letaïef, S.; Casal, B.; Aranda, P.; Martín-Luengo, M.A.; Ruiz-Hitzky, E. Fe-Containing Pillared Clays as Catalysts for Phenol Hydroxylation. Appl. Clay Sci. 2003, 22, 263–277. [Google Scholar] [CrossRef]
 - Del Castillo, H.L.; Gil, A.; Grange, P. Hydroxylation of Phenol on Titanium Pillared Montmorillonite. Clays Clay Miner. 1996, 44, 706–709. [Google Scholar] [CrossRef]
 - He, J.; Jiang, Y.; Ding, B.; Wang, Y.; Qiu, H.; Dai, S.; Zhao, X.; Hou, Z. Zirconium Phosphate Supported Copper Catalyst for Selective Oxidation of Phenol to Cis, Cis-Muconic Acid. Appl. Catal. A Gen. 2023, 664, 119351. [Google Scholar] [CrossRef]
 - Sheldon, R.A.; Dakka, J. Heterogeneous Catalytic Oxidations in the Manufacture of Fine Chemicals. Catal. Today 1994, 19, 215–245. [Google Scholar] [CrossRef]
 - Shen, Y.; Wang, F.; Liu, W.; Zhang, X. The Preparation of Fe3+ Ion-Exchanged Mesopore Containing ZSM-5 Molecular Sieves and Its High Catalytic Activity in the Hydroxylation of Phenol. J. Porous Mater. 2018, 25, 1587–1595. [Google Scholar] [CrossRef]
 - Karakhanov, E.A.; Maximov, A.L.; Kardasheva, Y.S.; Skorkin, V.A.; Kardashev, S.V.; Predeina, V.V.; Talanova, M.Y.; Lurie-Luke, E.; Seeley, J.A.; Cron, S.L. Copper Nanoparticles as Active Catalysts in Hydroxylation of Phenol by Hydrogen Peroxide. Appl. Catal. A Gen. 2010, 385, 62–72. [Google Scholar] [CrossRef]
 - Xia, C.; Long, L.; Zhu, B.; Lin, M.; Shu, X. Enhancing the Selectivity of Pare-Dihydroxybenzene in Hollow Titanium Silicalite Zeolite Catalyzed Phenol Hydroxylation by Introducing Acid-Base Sites. Catal. Commun. 2016, 80, 49–52. [Google Scholar] [CrossRef]
 - Romanelli, G.; Villabrille, P.; Vazquez, P.; Caceres, C.; Tundo, P. Phenol and Naphthol Oxidation to Quinones with Hydrogen Peroxide Using Vanadium-Substituted Keggin Heteropoly Acid as Catalyst. Lett. Org. Chem. 2008, 5, 332–335. [Google Scholar] [CrossRef]
 - Vijayan, P.; Anitha, P.; Rajeshkumar, M.; Viswanathamurthi, P.; Sugumar, P.; Ponnuswamy, M.N. Enhanced Catalytic Activity towards One-Pot Hydroxylation of Phenol with Hydrogen Peroxide by Nickel(II) Complex Encompassing 3-Formylchromone-S-Methylisothiosemicarbazone Derivatives. Polyhedron 2017, 124, 77–85. [Google Scholar] [CrossRef]
 - Li, S.; Li, G.; Wu, G.; Hu, C.; Lee, G. Microporous Carbon Molecular Sieve as a Novel Catalyst for the Hydroxylation of Phenol. Microporous Mesoporous Mater. 2011, 143, 22–29. [Google Scholar] [CrossRef]
 - Zhang, Q.; Guo, Q.; Wang, X.; Shishido, T.; Wang, Y. Iron-Catalyzed Propylene Epoxidation by Nitrous Oxide: Toward Understanding the Nature of Active Iron Sites with Modified Fe-MFI and Fe-MCM-41 Catalysts. J. Catal. 2006, 239, 105–116. [Google Scholar] [CrossRef]
 - Lou, L.L.; Liu, S. CuO-Containing MCM-48 as Catalysts for Phenol Hydroxylation. Catal. Commun. 2005, 6, 762–765. [Google Scholar] [CrossRef]
 - Wu, Q.; Hu, X.; Yue, P.L.; Zhao, X.S.; Lu, G.Q. Copper/MCM-41 as Catalyst for the Wet Oxidation of Phenol. Appl. Catal. B Environ. 2001, 32, 151–156. [Google Scholar] [CrossRef]
 - Takeguchi, T.; Kim, J.B.; Kang, M.; Inui, T.; Cheuh, W.T.; Haller, G.L. Synthesis and Characterization of Alkali-Free, Ga-Substituted MCM-41 and Its Performance for n-Hexane Conversion. J. Catal. 1998, 175, 1–6. [Google Scholar] [CrossRef]
 - Sobczak, I.; Ziolek, M.; Renn, M.; Decyk, P.; Nowak, I.; Daturi, M.; Lavalley, J.C. Cu State and Behaviour in MCM-41 Mesoporous Molecular Sieves Modified with Copper during the Synthesis—Comparison with Copper Exchanged Materials. Microporous Mesoporous Mater. 2004, 74, 23–36. [Google Scholar] [CrossRef]
 - Dai, P.S.E.; Petty, R.H.; Ingram, C.W.; Szostak, R. Metal Substituted Aluminophosphate Molecular Sieves as Phenol Hydroxylation Catalysts. Appl. Catal. A Gen. 1996, 143, 101–110. [Google Scholar] [CrossRef]
 - Noreña-Franco, L.; Hernandez-Perez, I.; Aguilar-Pliego, J.; Maubert-Franco, A. Selective Hydroxylation of Phenol Employing Cu-MCM-41 Catalysts. Catal. Today 2002, 75, 189–195. [Google Scholar] [CrossRef]
 - Zhang, G.; Long, J.; Wang, X.; Zhang, Z.; Dai, W.; Liu, P.; Li, Z.; Wu, L.; Fu, X. Catalytic Role of Cu Sites of Cu/MCM-41 in Phenol Hydroxylation. Langmuir 2010, 26, 1362–1371. [Google Scholar] [CrossRef]
 - Jiang, Y.; Lin, K.; Zhang, Y.; Liu, J.; Li, G.; Sun, J.; Xu, X. Fe-MCM-41 Nanoparticles as Versatile Catalysts for Phenol Hydroxylation and for Friedel-Crafts Alkylation. Appl. Catal. A Gen. 2012, 445–446, 172–179. [Google Scholar] [CrossRef]
 - Wu, C.; Kong, Y.; Gao, F.; Wu, Y.; Lu, Y.; Wang, J.; Dong, L. Synthesis, Characterization and Catalytic Performance for Phenol Hydroxylation of Fe-MCM41 with High Iron Content. Microporous Mesoporous Mater. 2008, 113, 163–170. [Google Scholar] [CrossRef]
 - Wang, L.; Kong, A.; Chen, B.; Ding, H.; Shan, Y.; He, M. Direct Synthesis, Characterization of Cu-SBA-15 and Its High Catalytic Activity in Hydroxylation of Phenol by H2O2. J. Mol. Catal. A Chem. 2005, 230, 143–150. [Google Scholar] [CrossRef]
 - Baila, J.; Kiss, T.; Jameson, R.F. Copper(II)-Catalyzed Oxidation of Catechol by Molecular Oxygen in Aqueous Solution. Inorg. Chem. 1992, 31, 58–62. [Google Scholar] [CrossRef]
 - Arntz, D. Trends in the Chemical Industry. Catal. Today 1993, 18, 173–198. [Google Scholar] [CrossRef]
 - Centi, G.; Cavani, F.; Trifirò, F. Selective Oxidation by Heterogeneous Catalysis; Fundamental and Applied Catalysis; Springer: Boston, MA, USA, 2001; ISBN 978-1-4613-6872-4. [Google Scholar]
 - Shilpa, E.R.; Gayathri, V. Encapsulation of Cu(II)[2-(2′-Hydroxyphenyl)Benzimidazole]2 within Zeolite Nano-Cavity: Structural Properties and Its Catalytic Activity towards Phenol and Styrene Oxidation. J. Environ. Chem. Eng. 2016, 4, 4194–4206. [Google Scholar] [CrossRef]
 - Kubacka, A.; Wang, Z.; Sulikowski, B.; Cortés Corberán, V. Hydroxylation/Oxidation of Benzene over Cu-ZSM-5 Systems: Optimization of the One-Step Route to Phenol. J. Catal. 2007, 250, 184–189. [Google Scholar] [CrossRef]
 - Taran, O.P.; Yashnik, S.A.; Ayusheev, A.B.; Piskun, A.S.; Prihod’ko, R.V.; Ismagilov, Z.R.; Goncharuk, V.V.; Parmon, V.N. Cu-Containing MFI Zeolites as Catalysts for Wet Peroxide Oxidation of Formic Acid as Model Organic Contaminant. Appl. Catal. B Environ. 2013, 140–141, 506–515. [Google Scholar] [CrossRef]
 - Fu, Z.; Chen, J.; Yin, D.; Yin, D.; Zhang, L.; Zhang, Y. Highly Effective Cu-HMS Catalyst for Hydroxylation of Phenol. Catal. Lett. 2000, 66, 105–108. [Google Scholar] [CrossRef]
 - Karakhanov, E.A.; Maximov, A.L.; Kardasheva, Y.S.; Skorkin, V.A.; Kardashev, S.V.; Ivanova, E.A.; Lurie-Luke, E.; Seeley, J.A.; Cron, S.L. Hydroxylation of Phenol by Hydrogen Peroxide Catalyzed by Copper(II) and Iron(III) Complexes: The Structure of the Ligand and the Selectivity of Ortho-Hydroxylation. Ind. Eng. Chem. Res. 2010, 49, 4607–4613. [Google Scholar] [CrossRef]
 - Anjali, K.; Ganesh, V.; Christopher, J.; Sakthivel, A. Copper Based Macromolecular Catalysts for the Hydroxylation of Phenols. J. Organomet. Chem. 2020, 929, 121579. [Google Scholar] [CrossRef]
 - Antonyraj, C.A.; Gandhi, M.; Kannan, S. Phenol Hydroxylation over Cu-Containing LDHs and Their Calcined Forms: Profound Cobivalent Metal Influence. Ind. Eng. Chem. Res. 2010, 49, 6020–6026. [Google Scholar] [CrossRef]
 - Chen, C.; Xu, C.; Feng, L.; Suo, J.; Qiu, F. Phenol Hydroxylation Catalyzed by the Rare Earth-Adulterated Copper-Containing Hydrotalcites. Chem. Lett. 2005, 34, 206–207. [Google Scholar] [CrossRef]
 - Dubey, A.; Rives, V.; Kannan, S. Catalytic Hydroxylation of Phenol over Ternary Hydrotalcites Containing Cu, Ni and Al. J. Mol. Catal. A Chem. 2002, 181, 151–160. [Google Scholar] [CrossRef]
 - Kannan, S.; Dubey, A.; Knozinger, H. Synthesis and Characterization of CuMgAl Ternary Hydrotalcites as Catalysts for the Hydroxylation of Phenol. J. Catal. 2005, 231, 381–392. [Google Scholar] [CrossRef]
 - Zhang, H.; Zhang, G.; Bi, X.; Chen, X. Facile Assembly of a Hierarchical Core@shell Fe3O 4@CuMgAl-LDH (Layered Double Hydroxide) Magnetic Nanocatalyst for the Hydroxylation of Phenol. J. Mater. Chem. A 2013, 1, 5934–5942. [Google Scholar] [CrossRef]
 - Cui, G.; Wang, F.; He, S.; Wei, M. Catalytic Performance of Layered Double Hydroxide Nanosheets toward Phenol Hydroxylation. RSC Adv. 2016, 6, 105406–105411. [Google Scholar] [CrossRef]
 - Chen, C.; Xu, C.; Feng, L.; Li, Z.; Suo, J.; Qiu, F.; Yang, Y. Effect of Rare Earth Doping on the Catalytic Activity of Copper-Containing Hydrotalcites in Phenol Hydroxylation. Adv. Synth. Catal. 2005, 347, 1848–1854. [Google Scholar] [CrossRef]
 - Sun, J.; Meng, X.; Shi, Y.; Wang, R.; Feng, S.; Jiang, D.; Xu, R.; Xiao, F.S. A Novel Catalyst of Cu-Bi-V-O Complex in Phenol Hydroxylation with Hydrogen Peroxide. J. Catal. 2000, 193, 199–206. [Google Scholar] [CrossRef]
 - Xiong, L.; Tang, J. Strategies and Challenges on Selectivity of Photocatalytic Oxidation of Organic Substances. Adv. Energy Mater. 2021, 11, 2003216. [Google Scholar] [CrossRef]
 - Marin, M.L.; Santos-Juanes, L.; Arques, A.; Amat, A.M.; Miranda, M.A. Organic Photocatalysts for the Oxidation of Pollutants and Model Compounds. Chem. Rev. 2012, 112, 1710–1750. [Google Scholar] [CrossRef] [PubMed]
 - Ide, Y.; Ogino, R.; Sadakane, M.; Sano, T. Effects of Au Loading and CO2 Addition on Photocatalytic Selective Phenol Oxidation over TiO2-Supported Au Nanoparticles. ChemCatChem 2013, 5, 766–773. [Google Scholar] [CrossRef]
 - Sadovnikov, A.A.; Garshev, A.V.; Eliseev, A.A.; Beltiukov, A.N.; Naranov, E.R.; Li, W.; Sutherland, A.J.; Boytsova, O.V. Nanowhiskers of K2Ti6O13 as a Promoter of Photocatalysis in Anatase Mesocrystals. Catal. Today 2021, 378, 133–139. [Google Scholar] [CrossRef]
 - Sadovnikov, A.A.; Naranov, E.R.; Maksimov, A.L.; Baranchikov, A.E.; Ivanov, V.K. Photocatalytic Activity of Fluorinated Titanium Dioxide in Ozone Decomposition. Russ. J. Appl. Chem. 2022, 95, 118–125. [Google Scholar] [CrossRef]
 - Ahmed, S.; Rasul, M.G.; Martens, W.N.; Brown, R.; Hashib, M.A. Advances in Heterogeneous Photocatalytic Degradation of Phenols and Dyes in Wastewater: A Review. Water. Air. Soil Pollut. 2011, 215, 3–29. [Google Scholar] [CrossRef]
 - Ahmed, S.; Rasul, M.G.; Martens, W.N.; Brown, R.; Hashib, M.A. Heterogeneous Photocatalytic Degradation of Phenols in Wastewater: A Review on Current Status and Developments. Desalination 2010, 261, 3–18. [Google Scholar] [CrossRef]
 - Silva, C.G.; Faria, J.L. Effect of Key Operational Parameters on the Photocatalytic Oxidation of Phenol by Nanocrystalline Sol-Gel TiO2 under UV Irradiation. J. Mol. Catal. A Chem. 2009, 305, 147–154. [Google Scholar] [CrossRef]
 - Ye, H.; Lu, S. Photocatalytic Selective Oxidation of Phenol in Suspensions of Titanium Dioxide with Exposed {0 0 1} Facets. Appl. Surf. Sci. 2013, 277, 94–99. [Google Scholar] [CrossRef]
 - Li, B.; Chen, X.; Zhang, T.; Jiang, S.; Zhang, G.; Wu, W.; Ma, X. Photocatalytic Selective Hydroxylation of Phenol to Dihydroxybenzene by BiOI/TiO2 p-n Heterojunction Photocatalysts for Enhanced Photocatalytic Activity. Appl. Surf. Sci. 2018, 439, 1047–1056. [Google Scholar] [CrossRef]
 - Hu, Y.; Li, D.; Zheng, Y.; Chen, W.; He, Y.; Shao, Y.; Fu, X.; Xiao, G. BiVO4/TiO2 Nanocrystalline Heterostructure: A Wide Spectrum Responsive Photocatalyst towards the Highly Efficient Decomposition of Gaseous Benzene. Appl. Catal. B Environ. 2011, 104, 30–36. [Google Scholar] [CrossRef]
 - Zhou, W.; Yin, Z.; Du, Y.; Huang, X.; Zeng, Z.; Fan, Z.; Liu, H.; Wang, J.; Zhang, H. Synthesis of Few-Layer MoS2 Nanosheet-Coated TiO2 Nanobelt Heterostructures for Enhanced Photocatalytic Activities. Small 2013, 9, 140–147. [Google Scholar] [CrossRef] [PubMed]
 - Zhao, L.; Cui, T.; Li, Y.; Wang, B.; Han, J.; Han, L.; Liu, Z. Efficient Visible Light Photocatalytic Activity of P-n Junction CuO/TiO2 Loaded on Natural Zeolite. RSC Adv. 2015, 5, 64495–64502. [Google Scholar] [CrossRef]
 - Wang, M.; Hu, Y.; Han, J.; Guo, R.; Xiong, H.; Yin, Y. TiO2/NiO Hybrid Shells: P-n Junction Photocatalysts with Enhanced Activity under Visible Light. J. Mater. Chem. A 2015, 3, 20727–20735. [Google Scholar] [CrossRef]
 - Liu, J.; Ruan, L.; Adeloju, S.B.; Wu, Y. BiOI/TiO2 Nanotube Arrays, a Unique Flake-Tube Structured p–n Junction with Remarkable Visible-Light Photoelectrocatalytic Performance and Stability. J. Chem. Soc. Dalt. Trans. 2014, 43, 1706–1715. [Google Scholar] [CrossRef]
 - Dai, G.; Liu, S.; Liang, Y.; Luo, T. Synthesis and Enhanced Photoelectrocatalytic Activity of P-n Junction CO3O4/TiO2 Nanotube Arrays. Appl. Surf. Sci. 2013, 264, 157–161. [Google Scholar] [CrossRef]
 - Cheng, H.; Huang, B.; Dai, Y. Engineering BiOX (X = Cl, Br, I) Nanostructures for Highly Efficient Photocatalytic Applications. Nanoscale 2014, 6, 2009–2026. [Google Scholar] [CrossRef] [PubMed]
 - Lv, K.; Guo, X.; Wu, X.; Li, Q.; Ho, W.; Li, M.; Ye, H.; Du, D. Photocatalytic Selective Oxidation of Phenol to Produce Dihydroxybenzenes in a TiO2/UV System: Hydroxyl Radical versus Hole. Appl. Catal. B Environ. 2016, 199, 405–411. [Google Scholar] [CrossRef]
 - Shi, H.; Zhang, T.; Li, B.; Wang, X.; He, M.; Qiu, M. Photocatalytic Hydroxylation of Phenol with Fe-Al-Silicate Photocatalyst: A Clean and Highly Selective Synthesis of Dihydroxybenzenes. Catal. Commun. 2011, 12, 1022–1026. [Google Scholar] [CrossRef]
 - Falch, E.A. Industrial Enzymes—Developments in Production and Application. Biotechnol. Adv. 1991, 9, 643–658. [Google Scholar] [CrossRef]
 - Chapman, J.; Ismail, A.E.; Dinu, C.Z. Industrial Applications of Enzymes: Recent Advances, Techniques, and Outlooks. Catalysts 2018, 8, 238. [Google Scholar] [CrossRef]
 - Yoshida, S.; Yoshikawa, A.; Terao, I. Microbial Production of Hydroquinone. J. Biotechnol. 1990, 14, 195–202. [Google Scholar] [CrossRef]
 - Krastanov, A.; Alexieva, Z.; Yemendzhiev, H. Microbial Degradation of Phenol and Phenolic Derivatives. Eng. Life Sci. 2013, 13, 76–87. [Google Scholar] [CrossRef]
 - Furuya, T.; Hirose, S.; Osanai, H.; Semba, H.; Kino, K. Identification of the Monooxygenase Gene Clusters Responsible for the Regioselective Oxidation of Phenol to Hydroquinone in Mycobacteria. Appl. Environ. Microbiol. 2011, 77, 1214–1220. [Google Scholar] [CrossRef] [PubMed]
 - Han, C.; Ye, Y.; Wang, G.; Hong, W.; Feng, C. Selective Electro-Oxidation of Phenol to Benzoquinone/Hydroquinone on Polyaniline Enhances Capacitance and Cycling Stability of Polyaniline Electrodes. Chem. Eng. J. 2018, 347, 648–659. [Google Scholar] [CrossRef]
 - Li, G.; Xu, Y.; Pan, H.; Xie, X.; Chen, R.; Wu, D.; Wang, L. A Bimetallic Synergistic Effect on the Atomic Scale of Defect-Enriched NiV-Layered Double Hydroxide Nanosheets for Electrochemical Phenol Hydroxylation. J. Mater. Chem. A 2022, 10, 6748–6761. [Google Scholar] [CrossRef]
 - Baravkar, M.D.; Prasad, B.L.V. Selective Electro-Oxidation of Phenol to 1,4-Hydroquinone Employing Carbonaceous Electrodes: Surface Modification Is the Key. New J. Chem. 2022, 46, 2518–2525. [Google Scholar] [CrossRef]
 - Zhang, W.; Li, Y.-J.; He, Y.; Zhang, S.; Li, H.-H.; Zheng, H.; Zhu, Q.-L. Membrane-Free Sequential Paired Electrosynthesis of 1,4-Hydroquinone from Phenol over a Self-Supported Electrocatalytic Electrode. Ind. Chem. Mater. 2025, in press. [CrossRef]
 - FU, J.; JI, M.; WANG, Z.; JIN, L.; AN, D. A New Submerged Membrane Photocatalysis Reactor (SMPR) for Fulvic Acid Removal Using a Nano-Structured Photocatalyst. J. Hazard. Mater. 2006, 131, 238–242. [Google Scholar] [CrossRef] [PubMed]
 - Lu, C.; Chen, R.; Xing, W.; Jin, W.; Xu, N. A Submerged Membrane Reactor for Continuous Phenol Hydroxylation over TS-1. AIChE J. 2008, 54, 1842–1849. [Google Scholar] [CrossRef]
 - Bazhenov, S.D.; Bildyukevich, A.V.; Volkov, A.V. Gas-Liquid Hollow Fiber Membrane Contactors for Different Applications. Fibers 2018, 6, 76. [Google Scholar] [CrossRef]
 













| Catalyst | Temperature (°C); Reaction Time, h | Conversion (wt. %) | Si/Ti mol. Ratio | HQ/CAT Ratio | Reference | 
|---|---|---|---|---|---|
| TS-1 | 57; 6 | 93 | 10 | 0.88 | [67] | 
| TS-1 | 90 | 17 | 0.85 | ||
| TS-1 | 87 | 23 | 0.89 | ||
| TS-1 | 78 | 47 | 0.89 | ||
| TS-1 | 60 | 100 | 0.82 | ||
| TS-1 | 30; 4 | 16.6 | 50 | 0.28 | [21] | 
| Ti-MCM-41 | 30; 4 | 12.7 | 50 | 0.03 | |
| TS-2 | 57; 0.5 | - | 65 | 0.98 | [61] | 
| Ti-BEA | 60; 6 | 19.5 | 40 | 0.5 | [15] | 
| Ti-UZM-35 | 70; 1 | 48.4 * | 70 | 12 | [68] | 
| Ti-SBA-12 | 80; 24 | 24.1 | 46 | 1.1 | [55] | 
| Ti-SBA-16 | 80; 24 | 13.3 | 41 | 0.5 | |
| Ti-MTS-9 | 80; 4 | 26.3 | 30 | 0.67 | [69] | 
| Ti-HMS | 80; 4 | 0.5 | 30 | 0.71 | |
| HTS-1 | 80; 6 | 23.5 | 51.5 | 2.4 | [70] | 
| mesoTS-1 | 70; 3 | 17.7 | 56 | 1.8 | [56] | 
| Ti-MCM-68 | 100; 0.17 | 17.1 | 90 | 2 | [71] | 
| Ti-YNU-2 | 100; 0.17 | 74.3 | 105 | 9.6 | 
Disclaimer/Publisher’s Note: The statements, opinions and data contained in all publications are solely those of the individual author(s) and contributor(s) and not of MDPI and/or the editor(s). MDPI and/or the editor(s) disclaim responsibility for any injury to people or property resulting from any ideas, methods, instructions or products referred to in the content.  | 
© 2024 by the authors. Licensee MDPI, Basel, Switzerland. This article is an open access article distributed under the terms and conditions of the Creative Commons Attribution (CC BY) license (https://creativecommons.org/licenses/by/4.0/).
Share and Cite
Naranov, E.; Ramazanov, D.; Agliullin, M.; Sinyashin, O.; Maximov, A. Recent Advances in Aromatic Hydroxylation to Phenol and Hydroquinone Using H2O2. Catalysts 2024, 14, 930. https://doi.org/10.3390/catal14120930
Naranov E, Ramazanov D, Agliullin M, Sinyashin O, Maximov A. Recent Advances in Aromatic Hydroxylation to Phenol and Hydroquinone Using H2O2. Catalysts. 2024; 14(12):930. https://doi.org/10.3390/catal14120930
Chicago/Turabian StyleNaranov, Evgeny, Dzhamalutdin Ramazanov, Marat Agliullin, Oleg Sinyashin, and Anton Maximov. 2024. "Recent Advances in Aromatic Hydroxylation to Phenol and Hydroquinone Using H2O2" Catalysts 14, no. 12: 930. https://doi.org/10.3390/catal14120930
APA StyleNaranov, E., Ramazanov, D., Agliullin, M., Sinyashin, O., & Maximov, A. (2024). Recent Advances in Aromatic Hydroxylation to Phenol and Hydroquinone Using H2O2. Catalysts, 14(12), 930. https://doi.org/10.3390/catal14120930
        
