The Enantiopure 1,2-Diphenylethylenediamine (DPEDA) Motif in the Development of Organocatalysts for Asymmetric Reactions: Advances in the Last 20 Years
Abstract
1. Introduction
2. Underivatized 1,2-Diphenylethylendiamine (DPEDA)
3. Monofunctionalized 1,2-Diphenylethylendiamine (DPEDA)
3.1. Primary-Secondary Diamine Organocatalysts
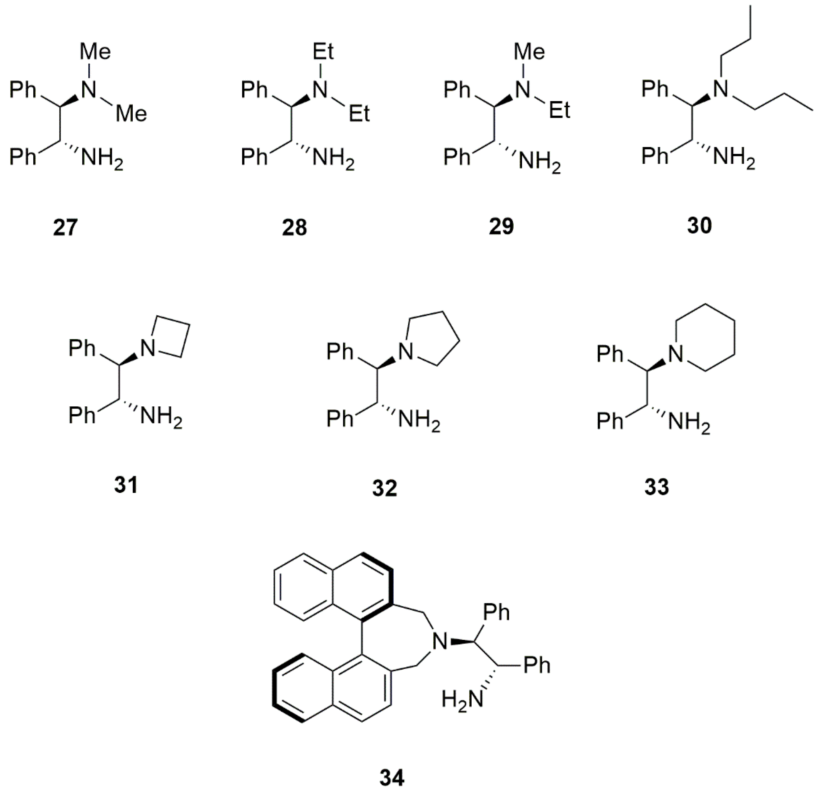
3.2. Primary-Tertiary Diamine Organocatalysts
3.3. Squaramide-Type Organocatalysts
4. Bifunctionalized 1,2-Diphenylethylendiamine (DPEDA)
4.1. Bis(amino)-Functionalized Organocatalysts
4.2. Mixed-Amino-Amido-Functionalized Organocatalysts
4.3. Bis(Amido)-Functionalized Organocatalysts
4.4. Bis-Prolinamides and Bis-Siloxyserinamides
4.5. Bifunctional Amino-Thiourea Organocatalysts
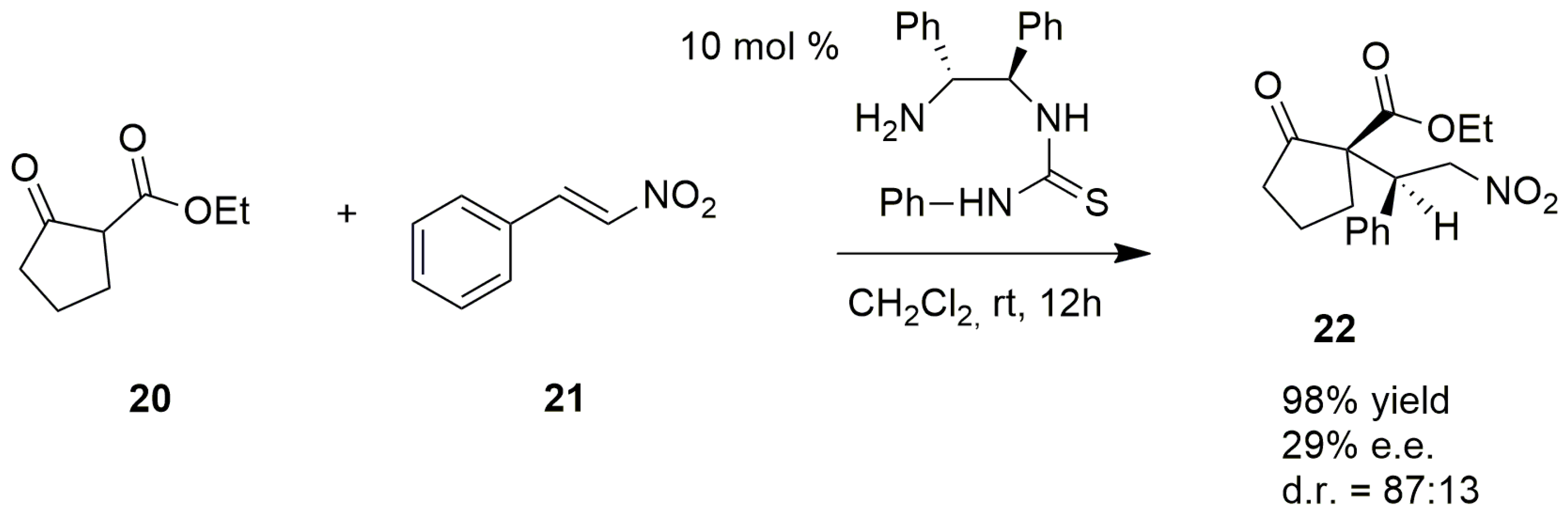
4.6. Bifunctional Amido-Thiourea Organocatalysts
4.7. Bifunctional Sulfonamido-Thiourea Organocatalysts
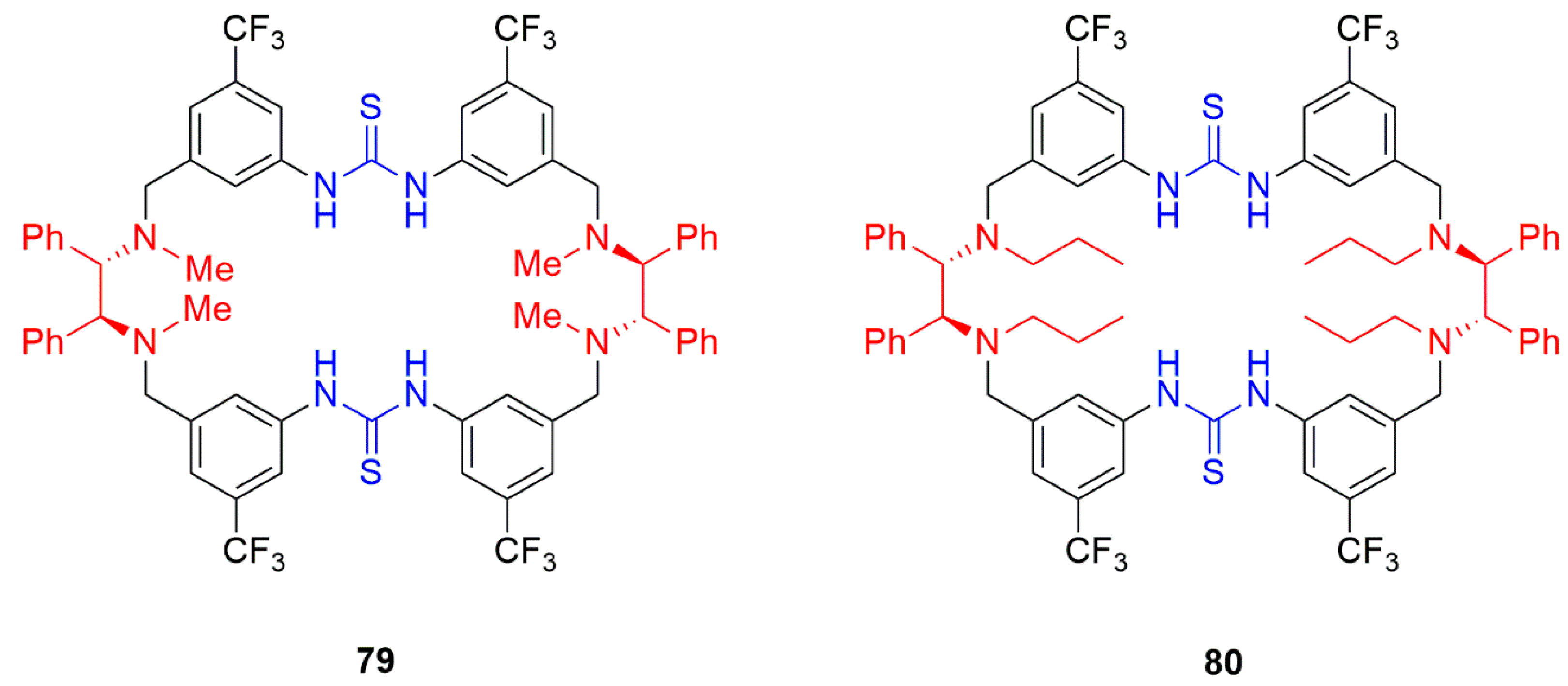
4.8. Tetraamino-Bis-Thiourea Cyclic Organocatalysts
4.9. Acen-H Type Organocatalysts
4.10. Bis-Squaramide-Type Organocatalysts
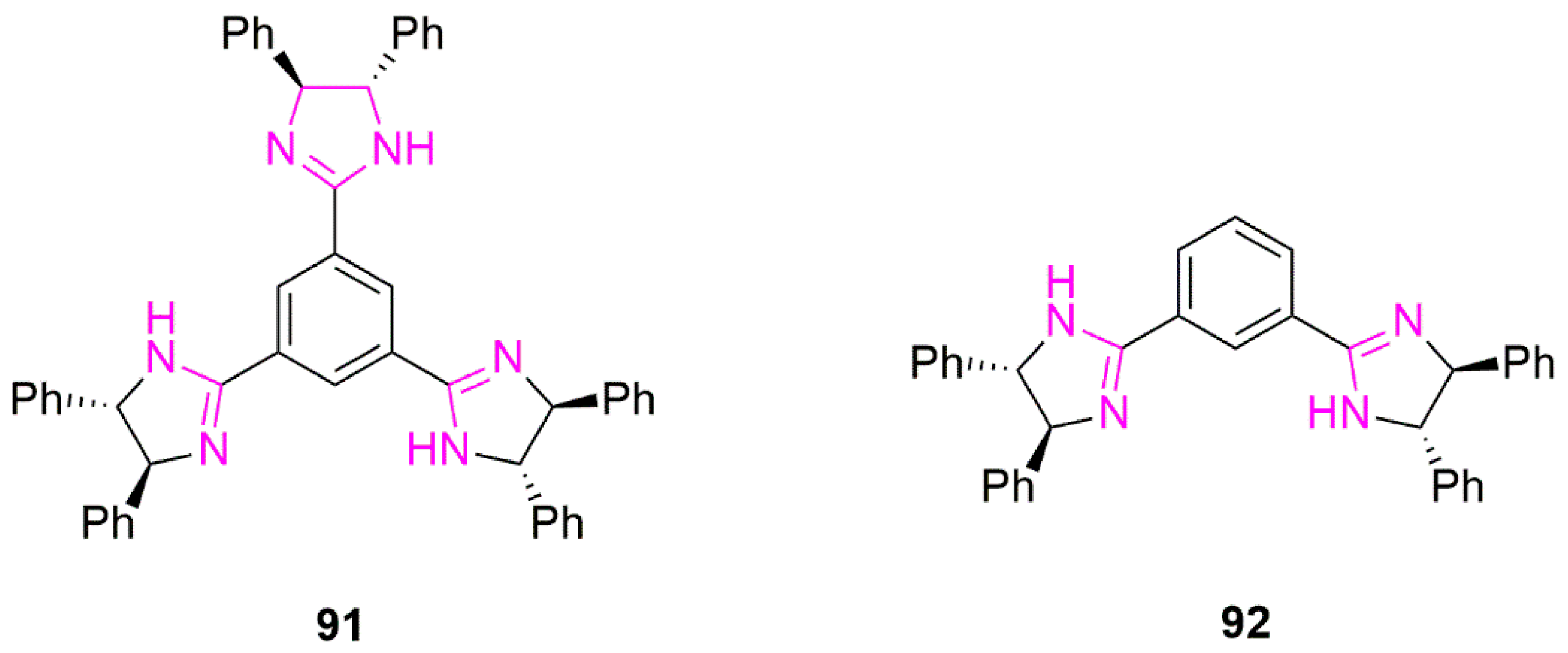
4.11. Imidazoline Derivatives of 1,2-Diphenylethylendiamine (DPEDA)
4.12. Guanidine-Based Organocatalysts
4.13. Iminophosphorane Derivatives of 1,2-Diphenylethylendiamine (DPEDA)
5. Conclusions
Author Contributions
Funding
Conflicts of Interest
References
- Xu, L.-W.; Luo, J.; Lu, Y. Asymmetric catalysis with chiral primary amine-based organocatalysts. Chem. Commun. 2009, 1807–1821. [Google Scholar] [CrossRef] [PubMed]
- Alemán, J.; Cabrera, S. Application of asymmetric organocatalysis in medicinal chemistry. Chem. Soc. Rev. 2013, 42, 774–793. [Google Scholar] [CrossRef] [PubMed]
- Fernholm, A. The Nobel Prize in Chemistry 2021: Popular Science Background. Brzezinski, P.; Somfai, P.; Aqvist, J. Science Eds., the Nobel Committee for Chemistry, The Royal Swedish Academy of Sciences, 6 October 2021. Available online: https://www.nobelprize.org/uploads/2021/10/popular-chemistryprize2021.pdf (accessed on 6 November 2024).
- Braddock, D.C.; Redmond, J.M.; Hermitage, S.A.; White, A.J.P. A convenient preparation of enantiomerically pure (+)-(1R,2R) and (–)-(1S,2S)-1,2-diamino-1,2-diphenylethanes. Adv. Synth. Catal. 2006, 348, 911–916. [Google Scholar] [CrossRef]
- Lewis, K.G.; Ghosh, S.K.; Bhuvanesh, N.; Gladysz, J.A. Cobalt (III) Werner complexes with 1,2-diphenylethylenediamine ligands: Readily available, inexpensive, and modular chiral hydrogen bond donor catalysts for enantioselective organic synthesis. ACS Central Sci. 2015, 1, 50–56. [Google Scholar] [CrossRef] [PubMed]
- Zhang, J.-Y.; Chen, J.; Yin, C.-Q.; Li, S.-R.; Bai, Z.-W. Preparation and enantioseparation of copolymer chiral stationary phases with (1R,2R)-(+)-1,2-diphenylethylenediamine as the chiral building block. J. Liq. Chromatogr. Relat. Technol. 2010, 33, 46–60. [Google Scholar] [CrossRef]
- Payagala, T.; Wanigasekara, E.; Armstrong, D.W. Synthesis and chromatographic evaluation of new polymeric chiral stationary phases based on three (1S,2S)-(–)-1,2-diphenylethylenediamine derivatives in HPLC and SFC. Anal. Bioanal. Chem. 2011, 399, 2445–2461. [Google Scholar] [CrossRef]
- Yu, J.J.; Ryoo, J.J. Synthesis and application of N-3,5-dinitrobenzoyl and C3-symmetric diastereomeric chiral stationary phases. Chirality 2022, 34, 587–596. [Google Scholar] [CrossRef]
- Marino, S.T.; Stachurska-Buczek, D.; Huggins, D.A.; Krywult, B.M.; Sheehan, C.S.; Nguyen, T.; Choi, N.; Parsons, J.G.; Griffiths, P.G.; James, I.W.; et al. Synthesis of chiral building blocks for use in drug discovery. Molecules 2004, 9, 405–426. [Google Scholar] [CrossRef]
- Akhtar, N.; Saha, A.; Kumar, V.; Pradhan, N.; Panda, S.; Morla, S.; Kumar, S.; Manna, D. Diphenylethylenediamine-based potent anionophores: Transmembrane chloride ion transport and apoptosis inducing activities. ACS Appl. Mater. Interfaces 2018, 10, 33803–33813. [Google Scholar] [CrossRef]
- Ohkuma, T.; Noyori, R.; Silverberg, L.J. (R,R)- and (S,S)-Diphenylethylenediamine. In The Encyclopedia of Reagents for Organic Synthesis; Wiley & Sons: Hoboken, NJ, USA, 2001. [Google Scholar]
- Sibi, M.P.; Manyem, S. Enantioselective conjugate additions. Tetrahedron 2000, 56, 8033–8061. [Google Scholar] [CrossRef]
- Hamilton, R.J.; Bergens, S.H. An unexpected possible role of base in asymmetric catalytic hydrogenations of ketones. Synthesis and characterization of several key catalytic intermediates. J. Am. Chem. Soc. 2006, 128, 13700–13701. [Google Scholar] [CrossRef] [PubMed]
- Kim, K.H.; Lee, S.; Lee, D.-W.; Ko, D.-H.; Ha, D.-C. Organocatalysis using protonated 1,2-diamino-1,2-diphenylethane for asymmetric Diels–Alder reaction. Tetrahedron Lett. 2005, 46, 5991–5994. [Google Scholar] [CrossRef]
- Wong, T.C.; Sultana, C.M.; Vosburg, D.A. A green, enantioselective synthesis of warfarin for the undergraduate organic laboratory. J. Chem. Educ. 2010, 87, 194–195. [Google Scholar] [CrossRef]
- Rogozińska-Szymczak, M.; Mlynarski, J. Unmodified primary amine organocatalysts for asymmetric Michael reactions in aqueous media. Eur. J. Org. Chem. 2015, 6047–6051. [Google Scholar] [CrossRef]
- Menjo, Y.; Hamajima, A.; Sasaki, N.; Hamada, Y. Asymmetric aziridination of cyclic enones using chiral diamine catalysts and its application to the total synthesis of (–)-agelastatin A. Org. Lett. 2011, 13, 5744–5747. [Google Scholar] [CrossRef]
- Ha, H.-J.; Jung, J.-H.; Lee, W.K. Application of regio- and stereoselective functional group transformations of chiral aziridine-2-carboxylates. Asian J. Org. Chem. 2014, 3, 1020–1035. [Google Scholar] [CrossRef]
- Wang, J.; Liu, X.; Dong, S.; Lin, L.; Feng, X. Asymmetric organocatalytic cyclopropanation of cinnamone derivatives with stabilized sulfonium ylides. J. Org. Chem. 2013, 78, 6322–6327. [Google Scholar] [CrossRef]
- Hiemstra, H.; Wynberg, H. Addition of aromatic thiols to conjugated cycloalkenones, catalyzed by chiral β-hydroxy amines. A mechanistic study of homogeneous catalytic asymmetric synthesis. J. Am. Chem. Soc. 1981, 103, 417–430. [Google Scholar] [CrossRef]
- Yu, J.-S.; Zhou, J. Asymmetric multifunctional catalysis. In Multicatalyst System in Asymmetric Catalysis; Zhou, J., Ed.; Wiley: Hoboken, NJ, USA, 2015; pp. 159–289. [Google Scholar]
- García Mancheño, O.; Waser, M. Recent developments and trends in asymmetric organocatalysis. Eur. J. Org. Chem. 2023, 26, e202200950. [Google Scholar] [CrossRef]
- Liu, Y.; Liu, X.; Wang, M.; He, P.; Lin, L.; Feng, X. Enantioselective synthesis of 3,4-dihydropyran derivatives via organocatalytic Michael reaction of α,β-unsaturated enones. J. Org. Chem. 2012, 77, 4136–4142. [Google Scholar] [CrossRef]
- Mei, R.-Q.; Xu, X.-Y.; Li, Y.-C.; Fu, J.-Y.; Huang, Q.-C.; Wang, L.-X. Highly effective and enantioselective Michael addition of 4-hydroxycoumarin to α,β-unsaturated ketones promoted by simple chiral primary amine thiourea bifunctional catalysts. Tetrahedron Lett. 2011, 52, 1566–1568. [Google Scholar] [CrossRef]
- Bastida, D.; Liu, Y.; Tian, X.; Escudero-Adán, E.; Melchiorre, P. Asymmetric vinylogous aldol reaction via H-bond-directing dienamine catalysis. Org. Lett. 2013, 15, 220–223. [Google Scholar] [CrossRef] [PubMed]
- Shim, J.H.; Lee, M.J.; Lee, M.H.; Kim, B.-S.; Ha, D.-C. Enantioselective organocatalytic Michael reactions using chiral (R,R)-1,2-diphenylethylenediamine-derived thioureas. RSC Adv. 2020, 10, 31808–31814. [Google Scholar] [CrossRef] [PubMed]
- Shim, J.H.; Park, S.J.; Ahn, B.K.; Lee, J.Y.; Kim, H.S.; Ha, D.-C. Enantioselective thiolysis and aminolysis of cyclic anhydrides using a chiral diamine-derived thiourea catalyst. ACS Omega 2021, 6, 34501–34511. [Google Scholar] [CrossRef] [PubMed]
- Chen, Z.; Yang, Q.-Q.; Du, W.; Chen, Y.-C. Asymmetric organocatalysis involving double activation. Tetrahedron Chem. 2022, 2, 100017. [Google Scholar] [CrossRef]
- Vera, S.; García-Urricelqui, A.; Mielgo, A.; Oiarbide, M. Progress in (thio)urea- and squaramide-based Brønsted base catalysts with multiple H-bond donors. Eur. J. Org. Chem. 2023, 26, e202201254. [Google Scholar] [CrossRef]
- Cruz, H.; Servín, F.A.; Aguirre, G.; Pérez, S.; Madrigal, D.; Chávez, D.; Cooksy, A.L.; Somanathan, R. Chiral C2-symmetric bis-thioureas as enzyme mimics in enantioselective Michael addition. Chirality 2022, 34, 877–886. [Google Scholar] [CrossRef]
- Zong, H.; Huang, H.; Bian, G.; Song, L. Fine-tuning the structures of chiral diamine ligands in the catalytic asymmetric aldol reactions of trifluoromethyl aromatic ketones with linear aliphatic ketones. J. Org. Chem. 2014, 79, 11768–11773. [Google Scholar] [CrossRef]
- Lim, Y.J.; Kim, D.Y. Enantioselective conjugate addition of 4-hydroxycoumarin to enones catalyzed by binaphthyl-modified primary amine organocatalyst. Bull. Korean Chem. Soc. 2012, 33, 1825–1826. [Google Scholar] [CrossRef][Green Version]
- Duan, H.-X.; Zhang, Y.; Zhang, Z.-Z.; Wang, Y.-Q. C2-symmetric 1,2-diphenylethane-1,2-diamine-derived primary−tertiary diamine-catalyzed asymmetric Mannich addition of cyclic N-sulfonyl trifluoromethylated ketimines. J. Org. Chem. 2020, 85, 11331–11339. [Google Scholar] [CrossRef]
- Zhao, B.-L.; Li, J.-H.; Du, D.-M. Squaramide-catalyzed asymmetric reactions. Chem. Rec. 2017, 17, 994–1018. [Google Scholar] [CrossRef] [PubMed]
- Malerich, J.P.; Hagihara, K.; Rawal, V.H. Chiral squaramide derivatives are excellent hydrogen bond donor catalysts. J. Am. Chem. Soc. 2008, 130, 14416–14417. [Google Scholar] [CrossRef] [PubMed]
- Alemán, J.; Parra, A.; Jiang, H.; Jørgensen, K.A. Squaramides: Bridging from molecular recognition to bifunctional organocatalysis. Chem. Eur. J. 2011, 17, 6890–6899. [Google Scholar] [CrossRef] [PubMed]
- Modrocká, V.; Veverkovaá, E.; Mečiarovaá, M.; Šebesta, R. Bifunctional amine-squaramides as organocatalysts in Michael/hemiketalization reactions of β,γ-unsaturated α-ketoesters and α,β-unsaturated ketones with 4-hydroxycoumarins. J. Org. Chem. 2018, 83, 13111–13120. [Google Scholar] [CrossRef] [PubMed]
- Nanjo, T.; Zhang, X.; Tokuhiro, Y.; Takemoto, Y. Divergent and scalable synthesis of α-hydroxy/keto-β-amino acid analogues by the catalytic enantioselective addition of glyoxylate cyanohydrin to imines. ACS Catal. 2019, 9, 10087–10092. [Google Scholar] [CrossRef]
- Halland, N.; Hansen, T.; Jørgensen, K.A. Organocatalytic asymmetric Michael reaction of cyclic 1,3-dicarbonyl compounds and α,β-unsaturated ketones—A highly atom-economic catalytic one-step formation of optically active warfarin anticoagulant. Angew. Chem. Int. Ed. 2003, 42, 4955–4957. [Google Scholar] [CrossRef]
- Kriis, K.; Martõnov, H.; Miller, A.; Erkman, K.; Järving, I.; Kaasik, M.; Kanger, T. Multifunctional catalysts in the asymmetric Mannich reaction of malononitrile with N-phosphinoylimines: Coactivation by halogen bonding versus hydrogen bonding. J. Org. Chem. 2022, 87, 7422–7435. [Google Scholar] [CrossRef]
- Pellissier, H. Chiral sulfur-containing ligands for asymmetric catalysis. Tetrahedron 2007, 63, 1297–1330. [Google Scholar] [CrossRef]
- Antenucci, A.; Dughera, S.; Renzi, P. Green chemistry meets asymmetric organocatalysis: A critical overview on catalysts synthesis. ChemSusChem 2021, 14, 2785–2853. [Google Scholar] [CrossRef]
- Saravanan, S.; Sadhukhan, A.; Khan, N.H.; Kureshy, R.I.; Abdi, S.H.R.; Bajaj, H.C. C2-symmetric recyclable organocatalyst for enantioselective Strecker reaction for the synthesis of α-amino acid and chiral diamine—An intermediate for APN inhibitor. J. Org. Chem. 2012, 77, 4375–4384. [Google Scholar] [CrossRef]
- Popik, O.; Pasternak-Suder, M.; Lesńiak, K.; Jawiczuk, M.; Górecki, M.; Frelek, J.; Mlynarski, J. Amine-catalyzed direct aldol reactions of hydroxy- and dihydroxyacetone: Biomimetic synthesis of carbohydrates. J. Org. Chem. 2014, 79, 5728–5739. [Google Scholar] [CrossRef] [PubMed]
- Markert, M.; Mahrwald, R. Total syntheses of carbohydrates: Organocatalyzed aldol additions of dihydroxyacetone. Chem. Eur. J. 2008, 14, 40–48. [Google Scholar] [CrossRef] [PubMed]
- Liu, Y.; Wang, Y.; Song, H.; Zhou, Z.; Tang, C. Asymmetric organocatalytic cascade Michael/hemiketalization/retro-aldol reaction of 2-[(E)-2-nitrovinyl]phenols with 2,4-dioxo-4-arylbutanoates: A convenient access to chiral α-keto esters. Adv. Synth. Catal. 2013, 355, 2544–2549. [Google Scholar] [CrossRef]
- Liu, T.-Y.; Long, J.; Li, B.-J.; Jiang, L.; Li, R.; Wu, Y.; Ding, L.-S.; Chen, Y.-C. Enantioselective construction of quaternary carbon centre catalysed by bifunctional organocatalyst. Org. Biomol. Chem. 2006, 4, 2097–2099. [Google Scholar] [CrossRef] [PubMed]
- Kokotos, C.G. Construction of tertiary alcohols bearing perfluoroalkyl chains catalyzed by prolinamide-thioureas. J. Org. Chem. 2012, 77, 1131–1135. [Google Scholar] [CrossRef]
- Fotaras, S.; Kokotos, C.G.; Tsandi, E.; Kokotos, G. Prolinamides bearing thiourea groups as catalysts for asymmetric aldol reactions. Eur. J. Org. Chem. 2011, 1310–1317. [Google Scholar] [CrossRef]
- Fotaras, S.; Kokotos, C.G.; Kokotos, G. A tripeptide-like prolinamide-thiourea as an aldol reaction catalyst. Org. Biomol. Chem. 2012, 10, 5613–5619. [Google Scholar] [CrossRef]
- Wang, C.-J.; Zhang, Z.-H.; Dong, X.-Q.; Wu, X.-J. Chiral amine-thioureas bearing multiple hydrogen bonding donors: Highly efficient organocatalysts for asymmetric Michael addition of acetylacetone to nitroolefins. Chem. Commun. 2008, 1431–1433. [Google Scholar] [CrossRef]
- Dong, X.-Q.; Teng, H.-L.; Wang, C.-J. Highly enantioselective direct Michael addition of nitroalkanes to nitroalkenes catalyzed by amine−thiourea bearing multiple hydrogen-bonding donors. Org. Lett. 2009, 11, 1265–1268. [Google Scholar] [CrossRef]
- Dong, X.-Q.; Teng, H.-L.; Tong, M.-C.; Huang, H.; Tao, H.-Y.; Wang, C.-J. Organocatalytic asymmetric Michael addition of α-aryl cyclopentanones to nitroolefins for construction of adjacent quaternary and tertiary stereocenters. Chem. Commun. 2010, 46, 6840–6842. [Google Scholar] [CrossRef]
- Wang, C.-J.; Dong, X.-Q.; Zhang, Z.-H.; Xue, Z.-Y.; Teng, H.-L. Highly anti-selective asymmetric nitro-Mannich reactions catalyzed by bifunctional amine-thiourea-bearing multiple hydrogen-bonding donors. J. Am. Chem. Soc. 2008, 130, 8606–8607. [Google Scholar] [CrossRef] [PubMed]
- Zhang, Z.-H.; Dong, X.-Q.; Tao, H.-Y.; Wang, C.-J. Asymmetric amination of cyclic β-keto esters catalyzed by aminethiourea bearing multiple hydrogen bonding donors. Arkivoc 2011, 137–150. [Google Scholar]
- Dong, X.-Q.; Fang, X.; Wang, C.-J. Organocatalytic asymmetric sulfa-Michael addition of thiols to 4,4,4-trifluorocrotonates. Org. Lett. 2011, 13, 4426–4429. [Google Scholar] [CrossRef] [PubMed]
- Dong, X.-Q.; Fang, X.; Tao, H.-Y.; Zhou, X.; Wang, C.-J. Highly efficient catalytic asymmetric sulfa-Michael addition of thiols to trans-4,4,4-trifluorocrotonoylpyrazole. Adv. Synth. Catal. 2012, 354, 1141–1147. [Google Scholar] [CrossRef]
- Fang, X.; Li, J.; Wang, C.-J. Organocatalytic asymmetric sulfa-Michael addition of thiols to α,β-unsaturated hexafluoroisopropyl esters: Expeditious access to (R)-thiazesim. Org. Lett. 2013, 15, 3448–3451. [Google Scholar] [CrossRef] [PubMed]
- Yao, L.; Liu, K.; Tao, H.-Y.; Qiu, G.-F.; Zhou, X.; Wang, C.-J. Organocatalytic asymmetric desymmetrization: Efficient construction of spirocyclic oxindoles bearing a unique all-carbon quaternary stereogenic center via sulfa-Michael addition. Chem. Commun. 2013, 49, 6078–6080. [Google Scholar] [CrossRef]
- Wang, X.-F.; Hua, Q.-L.; Cheng, Y.; An, X.-L.; Yang, Q.-Q.; Chen, J.-R.; Xiao, W.-J. Organocatalytic asymmetric sulfa-Michael/Michael addition reactions: A strategy for the synthesis of highly substituted chromans with a quaternary stereocenter. Angew. Chem. 2010, 122, 8557–8561. [Google Scholar] [CrossRef]
- Wang, X.-F.; Hua, Q.-L.; Cheng, Y.; An, X.-L.; Yang, Q.-Q.; Chen, J.-R.; Xiao, W.-J.; Lu, L.-Q.; Li, F.; An, J.; et al. Construction of Fused Heterocyclic Architectures by Formal [4+1]/[3+2] Cycloaddition Cascade of Sulfur Ylides and Nitroolefins. Angew. Chem. 2009, 121, 9706–9709. [Google Scholar]
- Wang, S.; Guo, Z.; Chen, S.; Jiang, Y.; Zhang, F.; Liu, X.; Chen, W.; Sheng, C. Organocatalytic asymmetric synthesis of spiro-tetrahydrothiophene oxindoles bearing four contiguous stereocenters by one-pot Michael–Henry-cascade–rearrangement reactions. Chem. Eur. J. 2018, 24, 62–66. [Google Scholar] [CrossRef]
- Kawada, M.; Nakashima, K.; Hirashima, S.; Yoshida, A.; Koseki, Y.; Miura, T. Asymmetric conjugate addition of nitroalkanes to enones using a sulfonamide−thiourea organocatalyst. J. Org. Chem. 2017, 82, 6986–6991. [Google Scholar] [CrossRef]
- Li, W.; Wu, W.; Yu, F.; Huang, H.; Liang, X.; Ye, J. Catalytic asymmetric Michael addition with curcumin derivative. Org. Biomol. Chem. 2011, 9, 2505–2511. [Google Scholar] [CrossRef] [PubMed]
- Zhao, M.-X.; Zhou, H.; Tang, W.-H.; Qu, W.-S.; Shi, M. Cinchona alkaloid-derived thiourea-catalyzed diastereo- and enantioselective [3+2] cycloaddition reaction of isocyanoacetates to isatins: A facile access to optically active spirooxindole oxazolines. Adv. Synth. Catal. 2013, 355, 1277–1283. [Google Scholar] [CrossRef]
- Li, T.-Z.; Wang, X.-B.; Sha, F.; Wu, X.-Y. Organocatalyzed enantioselective Mannich reaction of pyrazoleamides with isatin-derived ketimines. J. Org. Chem. 2014, 79, 4332–4339. [Google Scholar] [CrossRef] [PubMed]
- Gröger, H.; Berkessel, A. Asymmetric Organocatalysis: From Biomimetic Concepts to Applications in Asymmetric Synthesis; Wiley-VCH: Weinheim, Germany, 2005. [Google Scholar]
- Kauerhof, D.; Niemeyer, J. Functionalized macrocycles in supramolecular organocatalysis. ChemPlusChem 2020, 85, 889–899. [Google Scholar] [CrossRef] [PubMed]
- Guo, H.; Zhang, L.-W.; Zhou, H.; Meng, W.; Ao, Y.-F.; Wang, D.-X.; Wang, Q.-Q. Substrate-induced dimerization assembly of chiral macrocycle catalysts toward cooperative asymmetric catalysis. Angew. Chem. 2020, 132, 2645–2649. [Google Scholar] [CrossRef]
- Guo, H.; Ao, Y.-F.; Wang, D.-X.; Wang, Q.-Q. Bioinspired tetraamino-bisthiourea chiral macrocycles in catalyzing decarboxylative Mannich reactions. Beilstein J. Org. Chem. 2022, 18, 486–496. [Google Scholar] [CrossRef]
- Guo, L.; Lamb, K.J.; North, M. Recent developments in organocatalysed transformations of epoxides and carbon dioxide into cyclic carbonates. Green Chem. 2021, 23, 77–118. [Google Scholar] [CrossRef]
- D’Elia, V.; Kleij, A.W. Surface science approach to the heterogeneous cycloaddition of CO2 to epoxides catalyzed by site-isolated metal complexes and single atoms: A review. Green Chem. Eng. 2022, 3, 210–227. [Google Scholar] [CrossRef]
- Shaikh, R.R.; Pornpraprom, S.; D’Elia, V. Catalytic strategies for the cycloaddition of pure, diluted, and waste CO2 to epoxides under ambient conditions. ACS Catal. 2018, 8, 419–450. [Google Scholar] [CrossRef]
- Martín, C.; Fiorani, G.; Kleij, A.W. Recent advances in the catalytic preparation of cyclic organic carbonates. ACS Catal. 2015, 5, 1353–1370. [Google Scholar] [CrossRef]
- Mori, T.; Nishiyori, R.; Sumida, S.; Furuya, Y.; Shirakawa, S. Chiral organocatalysts in enantioselective CO2 utilization reactions. Eur. J. Org. Chem. 2023, 26, e202300551. [Google Scholar] [CrossRef]
- Fonseca-López, D.; Ezenarro-Salcedo, D.; Zapata-Rivera, J.; Rojas, R.S.; Hurtado, J.J. Salophen-type organocatalysts for the cycloaddition of CO2 and epoxides under solvent, halide, and metal-free conditions. ACS Omega 2024, 9, 19385–19394. [Google Scholar] [CrossRef] [PubMed]
- Kawka, A.; Bester, K.; Bukowska, A.; Bukowski, W. Salophen-type Schiff bases functionalized with pyridinium halide units as metal-free catalysts for synthesis of cyclic carbonates from carbon dioxide and terminal epoxides. Catalysts 2024, 14, 658. [Google Scholar] [CrossRef]
- Guo, C.-H.; Lianga, M.; Jiao, H. Cycloaddition mechanisms of CO2 and epoxide catalyzed by salophen—An organocatalyst free from metals and halides. Catal. Sci. Technol. 2021, 11, 2529–2539. [Google Scholar] [CrossRef]
- Yue, Z.; Pudukudy, M.; Chen, S.; Liu, Y.; Zhao, W.; Wang, J.; Shan, S.; Jia, Q. A non-metal Acen-H catalyst for the chemical fixation of CO2 into cyclic carbonates under solvent and halide-free mild reaction conditions. Appl. Catal. A. 2020, 601, 117646. [Google Scholar] [CrossRef]
- Chauhan, P.; Mahajan, S.; Kaya, U.; Hack, D.; Enders, D. Bifunctional amine-squaramides: Powerful hydrogen-bonding organocatalysts for asymmetric domino/cascade reactions. Adv. Synth. Catal. 2015, 357, 253–281. [Google Scholar] [CrossRef]
- Han, X.; Zhou, H.B.; Dong, C. Applications of chiral squaramides: From asymmetric organocatalysis to biologically active compounds. Chem. Rec. 2016, 16, 897. [Google Scholar] [CrossRef]
- Di Iorio, N.; Soprani, L.; Crotti, S.; Marotta, E.; Mazzanti, A.; Righi, P.; Bencivenni, G. Michael addition of oxindoles to N-(2-tert-butylphenyl) maleimides: Efficient desymmetrization for the synthesis of atropisomeric succinimides with quaternary and tertiary stereocenters. Synthesis 2017, 49, 1519–1530. [Google Scholar]
- Dajek, M.; Pruszczyńska, A.; Konieczny, K.A.; Kowalczyk, R. Cinchona squaramide-catalyzed intermolecular desymmetrization of 1,3-diketones leading to chiral 1,4-dihydropyridines. Adv. Synth. Catal. 2020, 362, 3613–3620. [Google Scholar] [CrossRef]
- Kochetkov, S.V.; Kucherenko, A.S.; Zlotin, S.G. Recyclable C2-symmetric tertiary amine-squaramide organocatalysts: Design and application to asymmetric synthesis of γ-nitrocarbonyl compounds. Tetrahedron 2018, 74, 4769–4776. [Google Scholar]
- Kochetkov, S.V.; Kucherenko, A.S.; Zlotin, S.G. Asymmetric synthesis of warfarin and its analogs catalyzed by C2-symmetric squaramide-based primary diamines. Org. Biomol. Chem. 2018, 16, 6423–6429. [Google Scholar] [CrossRef] [PubMed]
- Li, J.; Yu, B.; Lu, Z. Chiral imidazoline ligands and their applications in metal-catalyzed asymmetric synthesis. Chin. J. Chem. 2021, 39, 488–514. [Google Scholar] [CrossRef]
- Liu, H.; Du, D.-M. Recent advances in the synthesis of 2-imidazolines and their applications in homogeneous catalysis. Adv. Synth. Catal. 2009, 351, 489–519. [Google Scholar] [CrossRef]
- Tsogoeva, S.B.; Dürner, G.; Bolte, M.; Göbel, M.W. A C2-chiral bis(amidinium) catalyst for a Diels−Alder reaction constituting the key step of the Quinkert−Dane estrone synthesis. Eur. J. Org. Chem. 2003, 9, 1661–1664. [Google Scholar] [CrossRef]
- Akalay, D.; Dürner, G.; Bats, J.W.; Bolte, M.; Göbel, M.W. Synthesis of C2-symmetric bisamidines: a new type of chiral metal-free Lewis acid analogue interacting with carbonyl groups. J. Org. Chem. 2007, 72, 5618–5624. [Google Scholar] [CrossRef]
- Ahmad, S.M.; Braddock, D.C.; Cansell, G.; Hermitage, S.A.; Redmond, J.M.; White, A.J.P. Amidines as potent nucleophilic organocatalysts for the transfer of electrophilic bromine from N-bromosuccinimide to alkenes. Tetrahedron Lett. 2007, 48, 5948–5952. [Google Scholar] [CrossRef]
- Murai, K.; Fukushima, S.; Hayashi, S.; Takahara, Y.; Fujioka, H. C3-symmetric chiral trisimidazoline: Design and application to organocatalyst. Org. Lett. 2010, 12, 964–966. [Google Scholar] [CrossRef]
- Murai, K.; Matsushita, T.; Nakamura, A.; Fukushima, S.; Shimura, M.; Fujioka, H. Asymmetric bromolactonization catalyzed by a C3-symmetric chiral trisimidazoline. Angew. Chem. Int. Ed. 2010, 49, 9174–9177. [Google Scholar] [CrossRef]
- Goldberg, M.; Nakajima, M.; Bolte, M.; Göbel, M.W. Facile conversion of 1,2-dicyanobenzene into chiral bisamidines. Arkivoc 2022, 225–238. [Google Scholar] [CrossRef]
- Wang, Y.-H.; Cao, Z.-Y.; Li, Q.-H.; Lin, G.-Q.; Zhou, J.; Ping Tian, P. Activating pronucleophiles with high pKa values: Chiral organo-superbases. Angew. Chem. Int. Ed. 2020, 59, 8004–8014. [Google Scholar] [CrossRef]
- Taylor, J.E.; Bull, S.D.; Williams, J.M.J. Amidines, isothioureas, and guanidines as nucleophilic catalysts. Chem. Soc. Rev. 2012, 41, 2109–2121. [Google Scholar] [CrossRef] [PubMed]
- Hosoya, K.; Odagi, M.; Nagasaw, M. Guanidine organocatalysis for enantioselective carbon-heteroatom bond-forming reactions. Tetrahedron Lett. 2018, 59, 687–696. [Google Scholar] [CrossRef]
- Zhang, Y.; Ning, L.; Zhu, T.; Xie, Z.; Dong, S.; Feng, X.; Liu, X. Chiral guanidine catalyzed cyclization reactions of 1,3-enynes for lactone synthesis: Switchable H-bond catalysis. Org. Chem. Front. 2024, 11, 2897–2904. [Google Scholar] [CrossRef]
- Bartolo, G.; Della Ca’, N.; Mancuso, R.; Veltri, L.; Ziccarelli, I. Amidine– and guanidine–based synthetic methods for CO2 capture and utilization. Curr. Opin. Green Sustain. Chem. 2023, 41, 100793. [Google Scholar]
- Krawczyk, H.; Dzięgielewski, M.; Deredas, D.; Albrecht, A.; Albrecht, L. Chiral iminophosphoranes–an emerging class of superbase organocatalysts. Chem. Eur. J. 2015, 21, 10268–10277. [Google Scholar] [CrossRef]
- Vazdar, K.; Margetić, D.; Kovačević, B.; Sundermeyer, J.; Leito, I.; Jahn, U. Design of novel uncharged organic superbases: Merging basicity and functionality. Acc. Chem. Res. 2021, 54, 3108–3123. [Google Scholar] [CrossRef]
- Li, X.; Song, Q. Recent advances in asymmetric reactions catalyzed by chiral phosphoric acids. Chin. Chem. Lett. 2018, 29, 1201–1208. [Google Scholar] [CrossRef]
- Isobe, T.; Fukuda, K.; Yamaguchi, K.; Seki, H.; Tokunaga, T.; Ishikawa, T. Modified guanidines as potential chiral superbases. 3. Preparation of 1,4,6-triazabicyclooctene systems and 1,4-disubstituted 2-iminoimidazolidines by the 2-chloro-1,3-dimethylimidazolinium chloride-induced cyclization of guanidines with a hydroxyethyl substituent. J. Org. Chem. 2000, 65, 7779–7785. [Google Scholar]
- Isobe, T.; Fukuda, K.; Ishikawa, T. Simple preparation of chiral 1,3-dimethyl-2-iminoimidazolidines (monocyclic guanidines) and applications to asymmetric alkylative esterification. Tetrahedron Asymmetry 1998, 9, 1729–1735. [Google Scholar] [CrossRef]
- Ishikawa, T.; Araki, Y.; Kumamoto, T.; Seki, H.; Fukuda, K.; Isobe, T. Modified guanidines as chiral superbases: Application to asymmetric Michael reaction of glycine imine with acrylate or its related compounds. Chem. Commun. 2001, 245–246. [Google Scholar] [CrossRef]
- Matsumoto, M.; Harada, M.; Yamashita, Y.; Kobayashi, S. Catalytic imine−imine cross-coupling reactions. Chem. Commun. 2014, 50, 13041–13044. [Google Scholar] [CrossRef] [PubMed]
- Fu, X.; Loh, W.T.; Zhang, Y.; Chen, T.; Ma, T.; Liu, H.; Wang, J.; Tan, C.-H. Chiral guanidinium salt catalyzed enantioselective phospha-Mannich reactions. Angew. Chem. Int. Ed. 2009, 48, 7387–7390. [Google Scholar] [CrossRef] [PubMed]
- Ruan, S.; Lin, X.; Xie, L.; Lin, L.; Feng, X.; Liu, X. Asymmetric synthesis of 3-aminodihydrocoumarins via the chiral guanidine catalyzed cascade reaction of azlactones. Org. Chem. Front. 2018, 5, 32–35. [Google Scholar] [CrossRef]
- Yu, Z.; Liu, X.; Zhou, L.; Lin, L.; Feng, X. Bifunctional guanidine via an amino amide skeleton for asymmetric Michael reactions of β-ketoesters with nitroolefins: A concise synthesis of bicyclic β-amino acids. Angew. Chem. Int. Ed. 2009, 48, 5195–5198. [Google Scholar] [CrossRef] [PubMed]
- Dong, S.; Liu, X.; Chen, X.; Mei, F.; Zhang, Y.; Gao, B.; Lin, L.; Feng, X. Chiral bisguanidine-catalyzed inverse-electron-demand hetero-Diels−Alder reaction of chalcones with azlactones. J. Am. Chem. Soc. 2010, 132, 10650–10651. [Google Scholar] [CrossRef]
- Dong, S.; Liu, X.; Zhang, Y.; Lin, L.; Feng, X. Asymmetric synthesis of 3,4-diaminochroman-2-ones promoted by guanidine and bisguanidium salt. Org. Lett. 2011, 13, 5060–5063. [Google Scholar] [CrossRef]
- Yang, Y.; Dong, S.; Liu, X.; Lin, L.; Feng, X. Chiral guanidine-catalyzed asymmetric direct vinylogous Michael reaction of α,β-unsaturated γ-butyrolactams with alkylidene malonates. Chem. Commun. 2012, 48, 5040–5042. [Google Scholar] [CrossRef]
- Chen, X.; Dong, S.; Qiao, Z.; Zhu, Y.; Xie, M.; Lin, L.; Liu, X.; Feng, X. Guanidine organocatalyst for the asymmetric Mannich-type reaction between α-isothiocyanato imide and sulfonyl imines. Chem. Eur. J. 2011, 17, 2583–2586. [Google Scholar] [CrossRef]
- Dong, S.; Liu, X.; Zhu, Y.; He, P.; Lin, L.; Feng, X. Organocatalytic oxyamination of azlactones: Kinetic resolution of oxaziridines and asymmetric synthesis of oxazolin-4-ones. J. Am. Chem. Soc. 2013, 135, 10026–10029. [Google Scholar] [CrossRef]
- Takeda, T.; Terada, M. Development of a chiral bis(guanidino)iminophosphorane as an uncharged organosuperbase for the enantioselective amination of ketones. J. Am. Chem. Soc. 2013, 135, 15306–15309. [Google Scholar] [CrossRef]
- Hu, Q.; Kondoh, A.; Terada, M. Enantioselective direct Mannich-type reactions of 2-benzylpyridine N-oxides catalyzed by chiral bis(guanidino)iminophosphorane organosuperbase. Chem. Sci. 2018, 9, 4348–4351. [Google Scholar] [CrossRef] [PubMed]
- Kondoh, A.; Akahira, S.; Oishi, M.; Terada, M. Enantioselective formal [3+2] cycloaddition of epoxides with imines under Brønsted base catalysis: Synthesis of 1,3-oxazolidines with quaternary stereogenic center. Angew. Chem. Int. Ed. 2018, 57, 6299–6303. [Google Scholar] [CrossRef] [PubMed]
- Núňez, M.G.; Farley, A.J.M.; Dixon, D.J. Bifunctional iminophosphorane organocatalysts for enantioselective synthesis: Application to the ketimine nitro-Mannich reaction. J. Am. Chem. Soc. 2013, 135, 16348–16351. [Google Scholar] [CrossRef] [PubMed]























































Disclaimer/Publisher’s Note: The statements, opinions and data contained in all publications are solely those of the individual author(s) and contributor(s) and not of MDPI and/or the editor(s). MDPI and/or the editor(s) disclaim responsibility for any injury to people or property resulting from any ideas, methods, instructions or products referred to in the content. |
© 2024 by the authors. Licensee MDPI, Basel, Switzerland. This article is an open access article distributed under the terms and conditions of the Creative Commons Attribution (CC BY) license (https://creativecommons.org/licenses/by/4.0/).
Share and Cite
Oljira, S.B.; De Angelis, M.; Sorato, A.; Mazzoccanti, G.; Manetto, S.; D’Acquarica, I.; Ciogli, A. The Enantiopure 1,2-Diphenylethylenediamine (DPEDA) Motif in the Development of Organocatalysts for Asymmetric Reactions: Advances in the Last 20 Years. Catalysts 2024, 14, 915. https://doi.org/10.3390/catal14120915
Oljira SB, De Angelis M, Sorato A, Mazzoccanti G, Manetto S, D’Acquarica I, Ciogli A. The Enantiopure 1,2-Diphenylethylenediamine (DPEDA) Motif in the Development of Organocatalysts for Asymmetric Reactions: Advances in the Last 20 Years. Catalysts. 2024; 14(12):915. https://doi.org/10.3390/catal14120915
Chicago/Turabian StyleOljira, Shilashi Badasa, Martina De Angelis, Andrea Sorato, Giulia Mazzoccanti, Simone Manetto, Ilaria D’Acquarica, and Alessia Ciogli. 2024. "The Enantiopure 1,2-Diphenylethylenediamine (DPEDA) Motif in the Development of Organocatalysts for Asymmetric Reactions: Advances in the Last 20 Years" Catalysts 14, no. 12: 915. https://doi.org/10.3390/catal14120915
APA StyleOljira, S. B., De Angelis, M., Sorato, A., Mazzoccanti, G., Manetto, S., D’Acquarica, I., & Ciogli, A. (2024). The Enantiopure 1,2-Diphenylethylenediamine (DPEDA) Motif in the Development of Organocatalysts for Asymmetric Reactions: Advances in the Last 20 Years. Catalysts, 14(12), 915. https://doi.org/10.3390/catal14120915

