Tetranuclear N-Heterocyclic Carbene Palladium Acetate—The Fast-Initiating Precatalyst of Suzuki Coupling
Abstract
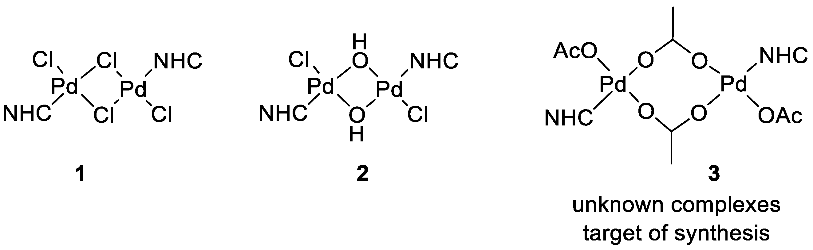
1. Introduction
2. Results and Discussion
3. Materials and Methods
3.1. General Methods and Chemicals
3.2. Methods
3.2.1. Synthesis of [{Pd(IMes)Cl(µ-Cl)}2] (1a)
3.2.2. Synthesis of Complex [{Pd2(IMes)(OAc)3}2] (4)
3.2.3. Synthesis of [Pd(IMes)(OAc)2(H2O)] (5a)
3.2.4. Synthesis of [Pd(IMes)(allyl)Cl] (9)
3.2.5. Suzuki–Miyaura Coupling—Catalytic Tests
3.2.6. Mercury Poisoning Experiment
3.2.7. Tetramethylthiourea (TMTU) Poisoning Experiment
3.2.8. General Procedure for the Synthesis of Suzuki Coupling Products
3.2.9. X-Ray Crystallography
4. Conclusions
Supplementary Materials
Author Contributions
Funding
Data Availability Statement
Conflicts of Interest
References
- Hopkinson, M.N.; Richter, C.; Schedler, M.; Glorius, F. An overview of N-heterocyclic carbenes. Nature 2014, 510, 485–496. [Google Scholar] [CrossRef] [PubMed]
- Nolan, S.P. N-Heterocyclic Carbenes: Effective Tools for Organometallic Synthesis, 1st ed.; Wiley-VCH: Hoboken, NJ, USA, 2014; ISBN 9783527334902. [Google Scholar]
- Diez-Gonzalez, S.; Marion, N.; Nolan, S.P. N-heterocyclic carbenes in late transition metal catalysis. Chem. Rev. 2009, 109, 3612–3676. [Google Scholar] [CrossRef] [PubMed]
- Nolan, S.P. N-Heterocyclic Carbenes in Synthesis; Wiley-VCH: Weinheim, Germany, 2006; ISBN 978-3-527-60940-6. [Google Scholar]
- Herrmann, W.A. A new concept in organometallic catalysis. Angew. Chem. Int. Ed. 2002, 41, 1290–1309. [Google Scholar] [CrossRef]
- Herrmann, W.A.; Elison, M.; Fischer, J.; Kocher, C.; Artus, G.R.J. Metal complexes of N-heterocyclic carbenes—A new structural principle for catalysts in homogeneous catalysis. Angew. Chem. Int. Ed. Engl. 1995, 34, 2371–2374. [Google Scholar] [CrossRef]
- Hoyos, M.; Guest, D.; Navarro, O. (N-Heterocyclic Carbene)-Palladium Complexes in Catalysis: In N-Heterocyclic Carbenes: Effective Tools for Organometallic Synthesis; Wiley-VCH: Weinheim, Germany, 2014; pp. 85–109. ISBN 9783527334902. [Google Scholar]
- Li, H.; Johansson Seechurn, C.C.C.; Colacot, T.J. Development of preformed Pd catalysts for cross-coupling reactions, beyond the 2010 Nobel Prize. ACS Catal. 2012, 2, 1147–1164. [Google Scholar] [CrossRef]
- Valente, C.; Calimsiz, S.; Hoi, K.-H.; Mallik, D.; Sayah, M.; Organ, M.G. The development of bulky palladium NHC complexes for the most-challenging cross-coupling reactions. Angew. Chem. Int. Ed. 2012, 51, 3314–3332. [Google Scholar] [CrossRef]
- Fortman, G.C.; Nolan, S.P. N-Heterocyclic carbene (NHC) ligands and palladium in homogeneous cross-coupling catalysis: A perfect union. Chem. Soc. Rev. 2011, 40, 5151–5169. [Google Scholar] [CrossRef] [PubMed]
- Firsan, S.J.; Sivakumar, V.; Colacot, T.J. Emerging Trends in Cross-Coupling: Twelve-Electron-Based L1Pd(0) Catalysts, Their Mechanism of Action, and Selected Applications. Chem. Rev. 2022, 122, 16983–17027. [Google Scholar] [CrossRef]
- Shaughnessy, K.H. Development of palladium precatalysts that efficiently generate LPd (0) active species. Isr. J. Chem. 2020, 60, 180–194. [Google Scholar] [CrossRef]
- Marion, N.; Nolan, S.P. Well-defined N-heterocyclic carbenes−palladium (II) precatalysts for cross-coupling reactions. Acc. Chem. Res. 2008, 41, 1440–1449. [Google Scholar] [CrossRef]
- Jensen, D.R.; Schultz, M.J.; Mueller, J.A.; Sigman, M.S. A well-defined complex for palladium-catalyzed aerobic oxidation of alcohols: Design, synthesis, and mechanistic considerations. Angew. Chem. Int. Ed. 2003, 42, 3810–3813. [Google Scholar] [CrossRef] [PubMed]
- Viciu, M.S.; Stevens, E.D.; Petersen, J.L.; Nolan, S.P. N-heterocyclic carbene palladium complexes bearing carboxylate ligands and their catalytic activity in the hydroarylation of alkynes. Organometallics 2004, 23, 3752–3755. [Google Scholar] [CrossRef]
- Saravanakumar, R.; Ramkumar, V.; Sankararaman, S. Synthesis and structure of 1, 4-diphenyl-3-methyl-1, 2, 3-triazol-5-ylidene palladium complexes and application in catalytic hydroarylation of alkynes. Organometallics 2011, 30, 1689–1694. [Google Scholar] [CrossRef]
- Singh, R.; Nolan, S.P. An efficient and mild protocol for the α-arylation of ketones mediated by an (imidazol-2-ylidene) palladium (acetate) system. J. Organomet. Chem. 2005, 690, 5832–5840. [Google Scholar] [CrossRef]
- Matsubara, K.; Okazaki, H.; Senju, M. Polycondensation of haloarylketones catalyzed by palladium compounds bearing N-heterocyclic carbene (NHC) ligands. J. Organomet. Chem. 2006, 691, 3693–3699. [Google Scholar] [CrossRef]
- Kumar, P.V.; Lin, W.-S.; Shen, J.-S.; Nandi, D.; Lee, H.M. Direct C5-arylation reaction between imidazoles and aryl chlorides catalyzed by palladium complexes with phosphines and N-heterocyclic carbenes. Organometallics 2011, 30, 5160–5169. [Google Scholar] [CrossRef]
- Dan Yuan, D.; Huynh, H.V. 1, 2, 3-Triazolin-5-ylidenes: Synthesis of hetero-bis (carbene) Pd (II) complexes, determination of donor strengths, and catalysis. Organometallics 2012, 31, 405–412. [Google Scholar] [CrossRef]
- Yang, J.; Zong, L.-L.; Zhu, X.-T.; Zhu, X.-Y.; Zhao, J.-Y. Well-defined (NHC)Pd(N–heterocyclic carboxylate)(OAc) complexes-catalyzed direct C2-arylation of free (NH)-indoles with arylsulfonyl hydrazides. Appl. Organomet. Chem. 2020, 34, e5985. [Google Scholar] [CrossRef]
- Campeau, L.-C.; Thansandote, P.; Fagnou, K. High-yielding intramolecular direct arylation reactions with aryl chlorides. Org. Lett. 2005, 7, 1857–1860. [Google Scholar] [CrossRef]
- Hsiao, T.-H.; Wu, T.-L.; Chatterjee, S.; Chiu, C.-Y.; Lee, H.M.; Bettucci, L.; Bianchini, C.; Oberhauser, W. Palladium acetate complexes bearing chelating N-heterocyclic carbene (NHC) ligands: Synthesis and catalytic oxidative homocoupling of terminal alkynes. J. Organomet. Chem. 2009, 694, 4014–4024. [Google Scholar] [CrossRef]
- Rogers, M.M.; Wendlandt, J.E.; Guzei, I.A.; Stahl, S.S. Aerobic intramolecular oxidative amination of alkenes catalyzed by NHC-coordinated palladium complexes. Org. Lett. 2006, 8, 2257–2260. [Google Scholar] [CrossRef] [PubMed]
- Scarborough, C.C.; Bergant, A.; Sazama, G.T.; Guzei, A.; Spencer, L.C.; Stahl, S.S. Synthesis of PdII complexes bearing an enantiomerically resolved seven-membered N-heterocyclic carbene ligand and initial studies of their use in asymmetric Wacker-type oxidative cyclization reactions. Tetrahedron 2009, 65, 5084–5092. [Google Scholar] [CrossRef] [PubMed]
- Singh, R.; Viciu, M.S.; Kramareva, N.; Navarro, O.; Nolan, S.P. Simple (imidazol-2-ylidene)-Pd-acetate complexes as effective precatalysts for sterically hindered Suzuki− Miyaura couplings. Org. Lett. 2005, 7, 1829–1832. [Google Scholar] [CrossRef]
- Han, Y.; Huynh, H.V.; Koh, L.L. Pd (II) complexes of a sterically bulky, benzannulated N-heterocyclic carbene and their catalytic activities in the Mizoroki–Heck reaction. J. Organomet. Chem. 2007, 692, 3606–3613. [Google Scholar] [CrossRef]
- Yeung, A.D.; Ng, P.S.; Huynh, H.V. Co-ligand effects in the catalytic activity of Pd(II)–NHC complexes. J. Organomet. Chem. 2011, 696, 112–117. [Google Scholar] [CrossRef]
- Guo, S.; Huynh, H.V. Dipalladium complexes with triazolidin-diylidene bridges and their catalytic activities. Organometallics 2012, 31, 4565–4573. [Google Scholar] [CrossRef]
- Kumar, A.; Gangwar, M.K.; Prakasham, A.P.; Mhatre, D.; Kalita, A.C.; Ghosh, P. Accessing a Biologically Relevant Benzofuran Skeleton by a One-Pot Tandem Heck Alkynylation/Cyclization Reaction Using Well-Defined Palladium N-Heterocyclic Carbene Complexes. Inorg. Chem. 2016, 55, 2882–2893. [Google Scholar] [CrossRef]
- Yang, J.; Lu, J.-Z.; Wang, T.; Zhao, Y.-Y.; Zhu, G.-H. A series of (NHC)Pd(N^O)(OAc) complexes: Synthesis, characterization and catalytic activities towards desulfinative Sonogashira coupling of arylsulfonyl hydrazides with arylalkynes. Appl. Organomet. Chem. 2020, 34, e5558. [Google Scholar] [CrossRef]
- Li, Y.-J.; Zhang, J.-L.; Li, X.-J.; Geng, Y.; Xu, X.-H.; Jin, Z. (IPr) Pd (pydc)(pydc= pyridine-2, 6-dicarboxylate)–A highly active precatalyst for the sterically hindered C–N coupling reactions. J. Organomet. Chem. 2013, 737, 12–20. [Google Scholar] [CrossRef]
- Zhu, Y.; Yang, S.; Zhou, T.; Szostak, M. [(NHC)Pd(OAc)2]: Highly Active Carboxylate Pd(II)–NHC (NHC = N-Heterocyclic Carbene) Precatalysts for Suzuki–Miyaura and Buchwald–Hartwig Cross-Coupling of Amides by N–C(O) Activation. J. Org. Chem. 2024, accepted. [Google Scholar] [CrossRef]
- Jensen, D.R.; Sigman, M.S. Palladium catalysts for aerobic oxidative kinetic resolution of secondary alcohols based on mechanistic insight. Org. Lett. 2003, 5, 63–65. [Google Scholar] [CrossRef] [PubMed]
- Ostrowska, S.; Lorkowski, J.; Kubicki, M.; Pietraszuk, C. [{Pd(μ-OH)Cl(IPr)}2]—A Highly Efficient Precatalyst for Suzuki–Miyaura Coupling also Able To Act under Base-Free Conditions. ChemCatChem 2016, 8, 3580–3583. [Google Scholar] [CrossRef]
- Ostrowska, S.; Rogalski, S.; Lorkowski, J.; Walkowiak, J.; Pietraszuk, C. Efficient homocoupling of aryl-and alkenylboronic acids in the presence of low loadings of [{Pd(μ–OH)Cl(IPr)}2]. Synlett 2018, 29, 1735–1740. [Google Scholar]
- Ostrowska, S.; Szymaszek, N.; Pietraszuk, C. Selective dimerization of terminal acetylenes in the presence of PEPPSI precatalysts and relative chloro- and hydroxo-bridged N-heterocyclic carbene palladium dimers. J. Organomet. Chem. 2018, 856, 63–69. [Google Scholar] [CrossRef]
- Ostrowska, S.; Rogalski, S.; Pietraszuk, C. Key Role of Water in Copper- and Base-free Sonogashira Coupling in Ethanol with [{Pd(μ-OH)Cl(IPr)}2] as a Highly Effective Precatalyst. ChemCatChem 2024, 16, e202400012. [Google Scholar] [CrossRef]
- Frith, A.; Clarke, A.K.; Heyam, A.; Lynam, J.M.; Newman, P.D.; Unsworth, W.P.; Willans, C.E. Silver−N-Heterocyclic Cabenes in π−Activation: Synergistic Effects between the Ligand Ring Size and the Anion. Organometallics 2024, 43, 598–604. [Google Scholar] [CrossRef]
- Viciu, M.S.; Navarro, O.; Germaneau, R.F.; Kelly III, R.A.; Sommer, W.; Marion, N.; Stevens, E.D.; Cavallo, L.; Nolan, S.P. Synthetic and Structural Studies of (NHC)Pd(allyl)Cl Complexes (NHC = N-heterocyclic carbene). Organometallics 2004, 23, 1629–1635. [Google Scholar] [CrossRef]
- D’Alterio, M.C.; Casals-Cruañas, È.; Tzouras, N.V.; Talarico, G.; Nolan, S.P.; Poater, A. Mechanistic aspects of the palladium-catalyzed Suzuki-Miyaura cross-coupling reaction. Chem. Eur. J. 2021, 27, 13481–13493. [Google Scholar]
- Drost, R.M.; Rosar, V.; Dalla Marta, S.; Lutz, M.; Demitri, N.; Milani, B.; de Bruin, B.; Elsevier, C.J. Pd-Catalyzed Z-Selective Semihydrogenation of Alkynes: Determining the Type of Active Species. ChemCatChem 2015, 7, 2095–2107. [Google Scholar] [CrossRef]
- Zhang, J.; Xu, J.; Xu, Y.; Sun, H.; Shen, Q.; Zhang, Y. Mixed NHC/Phosphine Ni(II) Complexes: Synthesis and Their Applications as Versatile Catalysts for Selective Cross-Couplings of ArMgX with Aryl Chlorides, Fluorides, and Methyl Ethers. Organometallics 2015, 34, 5792–5800. [Google Scholar] [CrossRef]
- Mayer, M.; Czaplik, W.M.; von Wangelin, A.J. Thieme Journal Awardees-Where Are They Now? On Cobalt-Catalyzed Biaryl Coupling Reactions. Synlett 2009, 18, 2919–2923. [Google Scholar]
- Tsuchiya, N.; Nojiri, T.; Nishikata, T. Oxazaborolidinones: Steric Coverage Effect of Lewis Acidic Boron Center in Suzuki–Miyaura Coupling Reactions. Chem. Eur. J. 2024, 30, e202303271. [Google Scholar] [CrossRef] [PubMed]
- Hu, Y.; Gao, Y.; Ye, J.; Ma, Z.; Juntao Feng, J.; Liu, X.; Lei, P.; Szostak, M. Suzuki−Miyaura Cross-Coupling of 2-Pyridyl Trimethylammonium Salts by N−C Activation Catalyzed by Air- and Moisture-Stable Pd−NHC Precatalysts: Application to the Discovery of Agrochemicals. Org. Lett. 2023, 25, 2975–2980. [Google Scholar] [CrossRef] [PubMed]
- Cervantes-Reyes, A.; Smith, A.C.; Chinigo, G.M.; Blakemore, D.C.; Szostak, M. Decarbonylative Pd–Catalyzed Suzuki Cross-Coupling for the Synthesis of Structurally Diverse Heterobiaryls. Org. Lett. 2022, 24, 1678–1683. [Google Scholar] [CrossRef]
- Zhang, G.; Yi, H.; Chen, H.; Bian, C.; Liu, C.; Lei, A. Trisulfur Radical Anion as the Key Intermediate for the Synthesis of Thiophene via the Interaction between Elemental Sulfur and NaOt-Bu. Org. Lett. 2014, 16, 6156–6159. [Google Scholar] [CrossRef]
- Ke, H.; Chen, X.; Zou, G. N-heterocyclic carbene-assisted, bis (phosphine) nickel-catalyzed cross-couplings of diarylborinic acids with aryl chlorides, tosylates, and sulfamates. J. Org. Chem. 2014, 79, 7132–7140. [Google Scholar] [CrossRef] [PubMed]
- Hong, Z.-S.; Kao, S.-C.; Cheng, Y.-T.; Chen, C.-J.; Wu, Y.-K. Photoinduced arylation of chloroarenes in flow: Synthesis of unsymmetrical biaryls. Org. Biomol. Chem. 2022, 20, 8212–8216. [Google Scholar] [CrossRef]
- Sheldrick, G.M. SHELXT-Integrated Space-Group and Crystal-Structure Determination. Acta Crystallogr. 2015, A71, 3–8. [Google Scholar] [CrossRef]
- Sheldrick, G.M. Crystal Structure Refinement with SHELXL. Acta Crystallogr. 2015, C71, 3–8. [Google Scholar]
- Dolomanov, O.V.; Bourhis, L.J.; Gildea, R.J.; Howard, J.A.K.; Puschmann, H. OLEX2: A Complete Structure Solution, Refinement and Analysis Program. J. Appl. Cryst. 2009, 42, 339–341. [Google Scholar] [CrossRef]








![]() | ||||||
|---|---|---|---|---|---|---|
| Entry | Loading Cat. [mol%] | Solvent | Base | Temp. [°C] | Time [h] | Conversion [%] a |
| 1 | 1 | i-PrOH | KOtBu | 25 | 2 | >99 |
| 2 | 1 | i-PrOH | KOH | 25 | 2 | >99 |
| 3 | 0.5 | i-PrOH | KOH | 25 | 2 | >99 |
| 4 | 0.25 | i-PrOH | KOH | 25 | 2 | 91 |
| 5 | 0.125 | i-PrOH | KOH | 25 | 2(24) | 46(50) |
| 6 | 0.125 | i-PrOH | KOH | 50 | 2 | 55 |
| 7 | 0.5 | EtOH | KOH | 25 | 2 | 95 |
| 8 | 0.5 | MeOH | KOH | 25 | 2 | 32 |
| 9 | 0.5 | H2O | KOH | 25 | 24 | NR |
| Compound | 4 |
|---|---|
| Formula | C54H66N4O12Pd4 |
| Formula weight | 1388.71 |
| Crystal system | monoclinic |
| Space group | P21/n |
| a (Å) | 14.4381(3) |
| b (Å) | 16.2457(2) |
| c (Å) | 14.5752(2) |
| β (°) | 107.948(2) |
| V(Å3) | 3252.35(10) |
| Z | 2 |
| Dx (g cm−3) | 1.418 |
| F(000) | 1396 |
| μ(mm−1) | 1.142 |
| Reflections: | |
| collected | 45,626 |
| unique (Rint) | 5717 (0.0284) |
| with I > 2σ(I) | 5153 |
| R(F) [I > 2σ(I)] | 0.0408 |
| wR(F2) [I > 2σ(I)] | 0.0874 |
| R(F) [all data] | 0.0455 |
| wR(F2) [all data] | 0.0888 |
| Goodness of fit | 1.072 |
| max/min Δρ (e·Å−3) | 0.44/−0.39 |
| CCDC deposition number | 2,382,539 |
Disclaimer/Publisher’s Note: The statements, opinions and data contained in all publications are solely those of the individual author(s) and contributor(s) and not of MDPI and/or the editor(s). MDPI and/or the editor(s) disclaim responsibility for any injury to people or property resulting from any ideas, methods, instructions or products referred to in the content. |
© 2024 by the authors. Licensee MDPI, Basel, Switzerland. This article is an open access article distributed under the terms and conditions of the Creative Commons Attribution (CC BY) license (https://creativecommons.org/licenses/by/4.0/).
Share and Cite
Ostrowska, S.; Rogalski, S.; Kubicki, M.; Pietraszuk, C. Tetranuclear N-Heterocyclic Carbene Palladium Acetate—The Fast-Initiating Precatalyst of Suzuki Coupling. Catalysts 2024, 14, 836. https://doi.org/10.3390/catal14110836
Ostrowska S, Rogalski S, Kubicki M, Pietraszuk C. Tetranuclear N-Heterocyclic Carbene Palladium Acetate—The Fast-Initiating Precatalyst of Suzuki Coupling. Catalysts. 2024; 14(11):836. https://doi.org/10.3390/catal14110836
Chicago/Turabian StyleOstrowska, Sylwia, Szymon Rogalski, Maciej Kubicki, and Cezary Pietraszuk. 2024. "Tetranuclear N-Heterocyclic Carbene Palladium Acetate—The Fast-Initiating Precatalyst of Suzuki Coupling" Catalysts 14, no. 11: 836. https://doi.org/10.3390/catal14110836
APA StyleOstrowska, S., Rogalski, S., Kubicki, M., & Pietraszuk, C. (2024). Tetranuclear N-Heterocyclic Carbene Palladium Acetate—The Fast-Initiating Precatalyst of Suzuki Coupling. Catalysts, 14(11), 836. https://doi.org/10.3390/catal14110836


