Transformation of Furfural-Acetone Condensation Adduct over Mo/SBA-15 Catalysts under Atmospheric Pressure
Abstract
:1. Introduction
2. Results and Discussion
2.1. Catalyst Synthesis and Characterization
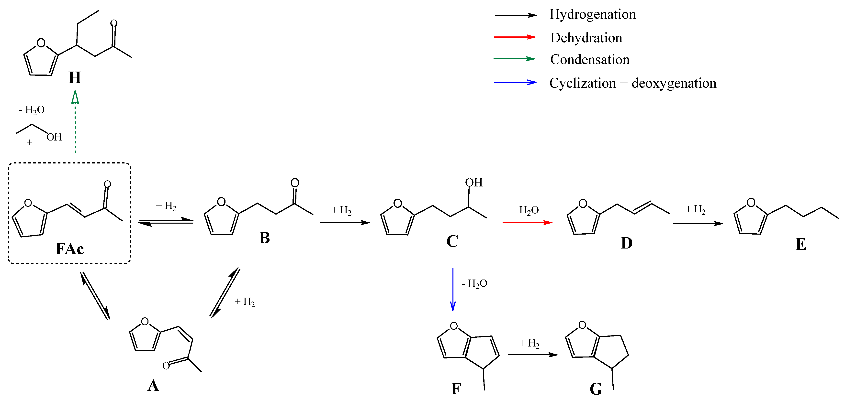
2.2. Catalytic Transformation of 4-(2-furyl)-3-buten-2-one
2.3. Catalyst Stability
3. Materials and Methods
3.1. Support Preparation
3.2. Catalyst Preparation
3.3. Catalyst Characterization
3.4. Transformation of FAc
4. Conclusions
Author Contributions
Funding
Data Availability Statement
Acknowledgments
Conflicts of Interest
References
- Patel, M.; Kumar, A. Production of Renewable Diesel through the Hydroprocessing of Lignocellulosic Biomass-Derived Bio-Oil: A Review. Renew. Sustain. Energy Rev. 2016, 58, 1293–1307. [Google Scholar] [CrossRef]
- Wong, S.S.; Shu, R.; Zhang, J.; Liu, H.; Yan, N. Downstream Processing of Lignin Derived Feedstock into End Products. Chem. Soc. Rev. 2020, 49, 5510–5560. [Google Scholar] [CrossRef] [PubMed]
- Kroyan, Y.; Wojcieszyk, M.; Kaario, O.; Larmi, M. Modeling the impact of sustainable aviation fuel properties on end-use performance and emissions in aircraft jet engines. Energy 2022, 255, 124470. [Google Scholar] [CrossRef]
- Gutiérrez-Antonio, C.; Gómez-Castro, F.I.; de Lira-Flores, J.A.; Hernández, S. A Review on the Production Processes of Renewable Jet Fuel. Renew. Sustain. Energy Rev. 2017, 79, 709–729. [Google Scholar] [CrossRef]
- Chen, S.; Zhou, G.; Miao, C. Green and Renewable Bio-Diesel Produce from Oil Hydrodeoxygenation: Strategies for Catalyst Development and Mechanism. Renew. Sustain. Energy Rev. 2019, 101, 568–589. [Google Scholar] [CrossRef]
- Huber, G.W.; Chheda, J.N.; Barrett, C.J.; Dumesic, J.A. Production of Liquid Alkanes by Aqueous-Phase Processing of Biomass-Derived Carbohydrates. Sci. New Ser. 2005, 308, 1446–1450. [Google Scholar] [CrossRef]
- West, R.M.; Liu, Z.Y.; Peter, M.; Dumesic, J.A. Liquid Alkanes with Targeted Molecular Weights from Biomass-Derived Carbohydrates. ChemSusChem 2008, 1, 417–424. [Google Scholar] [CrossRef]
- Xing, R.; Subrahmanyam, A.V.; Olcay, H.; Qi, W.; van Walsum, G.P.; Pendse, H.; Huber, G.W. Production of Jet and Diesel Fuel Range Alkanes from Waste Hemicellulose-Derived Aqueous Solutions. Green Chem. 2010, 12, 1933. [Google Scholar] [CrossRef]
- Fakhfakh, N.; Cognet, P.; Cabassud, M.; Lucchese, Y.; de Los Ríos, M.D. Stoichio-Kinetic Modeling and Optimization of Chemical Synthesis: Application to the Aldolic Condensation of Furfural on Acetone. Chem. Eng. Process. 2008, 47, 349–362. [Google Scholar] [CrossRef]
- Hora, L.; Kelbichová, V.; Kikhtyanin, O.; Bortnovskiy, O.; Kubička, D. Aldol Condensation of Furfural and Acetone over MgAl Layered Double Hydroxides and Mixed Oxides. Catal. Today 2014, 223, 138–147. [Google Scholar] [CrossRef]
- Desai, D.S.; Yadav, G.D. Green Synthesis of Furfural Acetone by Solvent-Free Aldol Condensation of Furfural with Acetone over La2O3–MgO Mixed Oxide Catalyst. Ind. Eng. Chem. Res. 2019, 58, 16096–16105. [Google Scholar] [CrossRef]
- Xu, M.; Célérier, S.; Comparot, J.-D.; Rousseau, J.; Corbet, M.; Richard, F.; Clacens, J.-M. Upgrading of Furfural to Biofuel Precursors via Aldol Condensation with Acetone over Magnesium Hydroxide Fluorides MgF2−x(OH)x. Catal. Sci. Technol. 2019, 9, 5793–5802. [Google Scholar] [CrossRef]
- Faba, L.; Díaz, E.; Ordóñez, S. Hydrodeoxygenation of Acetone–Furfural Condensation Adducts over Alumina-Supported Noble Metal Catalysts. App. Catal. B Environm. 2014, 160–161, 436–444. [Google Scholar] [CrossRef]
- Faba, L.; Díaz, E.; Ordóñez, S. Role of the Support on the Performance and Stability of Pt-Based Catalysts for Furfural–Acetone Adduct Hydrodeoxygenation. Catal. Sci. Technol. 2015, 5, 1473–1484. [Google Scholar] [CrossRef]
- Ramos, R.; Tišler, Z.; Kikhtyanin, O.; Kubička, D. Towards Understanding the Hydrodeoxygenation Pathways of Furfural–Acetone Aldol Condensation Products over Supported Pt Catalysts. Catal. Sci. Technol. 2016, 6, 1829–1841. [Google Scholar] [CrossRef]
- Xia, Q.-N.; Cuan, Q.; Liu, X.-H.; Gong, X.-Q.; Lu, G.-Z.; Wang, Y.-Q. Pd/NbOPO4 Multifunctional Catalyst for the Direct Production of Liquid Alkanes from Aldol Adducts of Furans. Angew. Chem. 2014, 126, 9913–9918. [Google Scholar] [CrossRef]
- Yang, J.; Li, S.; Zhang, L.; Liu, X.; Wang, J.; Pan, X.; Li, N.; Wang, A.; Cong, Y.; Wang, X.; et al. Hydrodeoxygenation of furans over Pd-FeOx/SiO2 catalyst under atmospheric pressure. App. Catal. B Environ. 2017, 201, 266–277. [Google Scholar] [CrossRef]
- Sirous-Rezaei, P.; Jae, J.; Ha, J.-M.; Ko, C.H.; Kim, J.M.; Jeon, J.-K.; Park, Y.-K. Mild hydrodeoxygenation of phenolic lignin model compounds over a FeReOx/ZrO2 catalyst: Zirconia and rhenium as efficient dehydration promoters. Green Chem. 2018, 20, 1472–1483. [Google Scholar] [CrossRef]
- Shetty, M.; Murugappan, K.; Prasomsri, T.; Green, W.H.; Román-Leshkov, Y. Reactivity and Stability Investigation of Supported Molybdenum Oxide Catalysts for the Hydrodeoxygenation (HDO) of m-Cresol. J. Catal. 2015, 331, 86–97. [Google Scholar] [CrossRef]
- Gonçalves, V.O.O.; Ciotonea, C.; Arrii-Clacens, S.; Guignard, N.; Roudaut, C.; Rousseau, J.; Clacens, J.-M.; Royer, S.; Richard, F. Effect of the Support on the Hydrodeoxygenation of m -Cresol over Molybdenum Oxide Based Catalysts. App. Catal. B Environm. 2017, 214, 57–66. [Google Scholar] [CrossRef]
- Yoon, B.S.; Kim, K.-J.; Cho, E.H.; Park, H.-R.; Roh, H.-S.; Ko, C.H. Enhanced Fe-Cr dispersion on mesoporous silica support using surfactant-assisted melt-infiltration for the water-gas shift reaction in waste-to-hydrogen processes. Int. J. Hydrogen Energy 2023, 48, 24894–24903. [Google Scholar] [CrossRef]
- Wu, S.; Han, Y.; Zou, Y.-C.; Song, J.-W.; Zhao, L.; Di, Y.; Liu, S.-Z.; Xiao, F.-S. Synthesis of heteroatom substituted SBA-15 by the “pH-adjusting” method. Chem. Mater. 2004, 16, 486–492. [Google Scholar] [CrossRef]
- Ungureanu, A.; Dragoi, B.; Hulea, V.; Cacciaguerra, T.; Meloni, D.; Solinas, V.; Dumitriu, E. Effect of aluminium incorporation by the “pH-adjusting” method on the structural, acidic and catalytic properties of mesoporous SBA-15. Microporous Mesoporous Mater. 2012, 163, 51–64. [Google Scholar] [CrossRef]
- Ungureanu, A.; Dragoi, B.; Chirieac, A.; Ciotonea, C.; Royer, S.; Duprez, D.; Mamede, A.S.; Dumitriu, E. Composition-dependent morphostructural properties of Ni-Cu oxide nanoparticles confined within the channels of ordered mesoporous SBA-15 silica. ACS Appl. Mater. Interfaces 2013, 5, 3010–3025. [Google Scholar] [CrossRef]
- Ciotonea, C.; Mazilu, I.; Dragoi, B.; Catrinescu, C.; Dumitriu, E.; Ungureanu, A.; Alamdari, H.; Petit, S.; Royer, S. Confining for stability: Heterogeneous catalysis with transition metal (oxide) nanoparticles confined in the secondary pore network of mesoporous scaffolds. ChemNanoMat 2017, 3, 233–237. [Google Scholar] [CrossRef]
- Sfeir, A.; Teles, C.A.; Marinova, M.; Vezin, H.; Dacquin, J.-P.; Lofberg, A.; Laassiri, S.; Rojer, S. Switching on/off molybdenum nitride catalytic activity in ammonia synthesis through modulating metal-support interaction. Faraday Discuss. 2023, 243, 126–147. [Google Scholar] [CrossRef]
- Regalbuto, J.R.; Ha, J.-W. A corrected procedure and consistent interpretation for temperature programmed reduction of supported MoO3. Catal. Lett. 1994, 29, 189–207. [Google Scholar] [CrossRef]
- Teles, C.A.; Ciotonea, C.; Gomes, N.; Gonçalves, V.O.O.; Ungureanu, A.; Catrinescu, C.; Marinova, M.; Clacens, J.-C.; Royer, S.; Noronha, F.B.; et al. Hydrodeoxygenation of m-cresol over Pd-Al-SBA-15 catalysts: Effect of Al content on the deoxygenation reaction pathways. App. Catal. A Gen. 2022, 641, 118686. [Google Scholar] [CrossRef]
- Panagiotopoulou, P.; Martin, N.; Vlachos, D.G. Effect of hydrogen donor on liquid phase catalytic transfer hydrogenation of furfural over a Ru/RuO2/C catalyst. J. Mol. Catal. A Chem. 2014, 392, 223–228. [Google Scholar] [CrossRef]
- Teles, C.A.; Ciotonea, C.; Le Valant, A.; Canaff, C.; Dhainaut, J.; Clacens, J.-M.; Noronha, F.B.; Richard, F.; Royer, S. Optimization of catalyst activity and stability in the m-cresol hydrodeoxygenation through Ni particle size control. Appl. Catal. B Environ. 2023, 338, 123030. [Google Scholar] [CrossRef]
- Li, Y.; Zhang, W.; Zhang, L.; Yang, Q.; Wei, Z.; Feng, Z.; Li, C. Direct synthesis of Al-SBA-15 mesoporous materials via hydrolysis-controlled approach. J. Phys. Chem. 2004, 108, 9739–9744. [Google Scholar] [CrossRef]
- Ramos, R.; Tišler, Z.; Kikhtyanin, O.; Kubička. Solvent effects in hydrodeoxygenation of furfural-acetone aldol condensation products over Pt/TiO2 catalyst. App. Catal. A Gen. 2017, 530, 174–183. [Google Scholar] [CrossRef]
- Prasomsri, T.; Shetty, M.; Murugappan, K.; Roman-Leshkov, Y. Insights into the catalytic activity and surface modification of MoO3 during the hydrodeoxygenation of lignin-derived model compounds into aromatic hydrocarbon under low hydrogen pressures. Energy Environ. Sci. 2014, 7, 2660–2669. [Google Scholar] [CrossRef]
- Prasomsri, T.; Nimmanwudipong, T.; Roman-Leshkov, Y. Effective hydrodeoxygenation of biomass-derived oxygenates into unsaturated hydrocarbons by MoO3 using low H2 pressures. Energy Environ. Sci. 2013, 6, 1732–1738. [Google Scholar] [CrossRef]
- Valencia, D.; Garcia-Cruz, I.; Ramirez-verduzco, L.F.; Aburto, J. Adsorption of biomass-derived products on MoO3: Hydrogen bonding interactions under the spotlight. ACS Omega 2018, 3, 14165–14172. [Google Scholar] [CrossRef] [PubMed]
- Farah, B.; Lancelot, C.; Blanchard, P.; Richard, F.; Lamonier, C. Beneficial effect of W incorporation in supported Mo-based catalysts for the HDO of m-cresol. ChemCatChem 2023, 15, e2022014. [Google Scholar] [CrossRef]
- Hashem, A.M.; Adbel-Ghany, A.E.; El-Tawil, R.S.; Indris, S.; Ehrenberg, H.; Mauger, A.; Julien, C.M. Amorphous Mo5O14-type/carbon nanocomposite with enhanced electrochemical capability for lithium-ion batteries. Nanomaterials 2020, 10, 8. [Google Scholar] [CrossRef]







| Sample | wt. (%) | SSA (m2 g−1) | Smicro (m2 g−1) | Vp (m3 g−1) | Vmicro (m3 g−1) | Dp (nm) | |||
|---|---|---|---|---|---|---|---|---|---|
| Mo | Zr | Fe | Al | ||||||
| SBA-15 | - | - | - | - | 817 | 225 | 1.23 | 0.019 | 9.0 |
| Mo/SBA | 33.7 | - | - | - | 213 | 18 | 0.42 | 0.007 | 7.7 |
| Zr-SBA | - | 3.8 | - | - | 621 | 101 | 0.88 | 0.044 | 6.4 |
| Mo/Zr-SBA | 36.3 | 2.4 | - | - | 195 | 36 | 0.34 | 0.017 | 6.4 |
| Fe-SBA | - | - | 4.2 | - | 721 | 157 | 0.97 | 0.068 | 6.6 |
| Mo/Fe-SBA | 36.1 | - | 2.7 | - | 132 | 24 | 0.27 | 0.011 | 7.0 |
| Al-SBA | - | - | - | 4.1 | 339 | 51 | 0.83 | 0.021 | 8.2 |
| Mo/Al-SBA | 34.0 | - | - | 2.7 | 86 | 25 | 0.20 | 0.012 | 7.5 |
| Sample | H2 Uptake (mmol g−1) | O2 Uptake c (µmol g−1) | Redox Mo d (%) | Total Acidity e (µmol g−1) | Acid Sites Distribution e (µmol g−1) | ||
|---|---|---|---|---|---|---|---|
| Exp. a | Cal. b | Brønsted | Lewis | ||||
| Mo/SBA | 10.5 | 10.4 | 56 | 2.8 | 93 (0) | 10 (0) | 83 (0) |
| Mo/Zr-SBA | 11.2 | 11.3 | 131 | 6.9 | 120 (106) | 31 (8) | 89 (98) |
| Mo/Fe-SBA | 11.9 | 11.3 | 56 | 2.8 | 90 (98) | 27 (14) | 63 (84) |
| Mo/Al-SBA | 11.4 | 10.6 | 51 | 3.0 | 100 (171) | 30 (37) | 70 (134) |
| Sample | X a (%) | Selectivity (mol %) b | |||||||
|---|---|---|---|---|---|---|---|---|---|
![]() | ![]() | ![]() | ![]() | ![]() | ![]() | ![]() | ![]() | ||
| A | B | C | D | E | F | G | H | ||
| Mo/SBA | 15 | 16 | 17 | - | - | - | 27 | 12 | 28 |
| Mo/Zr-SBA | 41 | 4 | 11 | 1 | - | - | 63 | 10 | 11 |
| Mo/Fe-SBA | 15 | 16 | 19 | - | - | - | 26 | 10 | 29 |
| Mo/Al-SBA | 32 | 7 | 32 | - | 1 | 1 | 30 | 15 | 14 |
Disclaimer/Publisher’s Note: The statements, opinions and data contained in all publications are solely those of the individual author(s) and contributor(s) and not of MDPI and/or the editor(s). MDPI and/or the editor(s) disclaim responsibility for any injury to people or property resulting from any ideas, methods, instructions or products referred to in the content. |
© 2023 by the authors. Licensee MDPI, Basel, Switzerland. This article is an open access article distributed under the terms and conditions of the Creative Commons Attribution (CC BY) license (https://creativecommons.org/licenses/by/4.0/).
Share and Cite
Teles, C.A.; Ciotonea, C.; Royer, S.; Richard, F. Transformation of Furfural-Acetone Condensation Adduct over Mo/SBA-15 Catalysts under Atmospheric Pressure. Catalysts 2023, 13, 1276. https://doi.org/10.3390/catal13091276
Teles CA, Ciotonea C, Royer S, Richard F. Transformation of Furfural-Acetone Condensation Adduct over Mo/SBA-15 Catalysts under Atmospheric Pressure. Catalysts. 2023; 13(9):1276. https://doi.org/10.3390/catal13091276
Chicago/Turabian StyleTeles, Camila A., Carmen Ciotonea, Sébastien Royer, and Frédéric Richard. 2023. "Transformation of Furfural-Acetone Condensation Adduct over Mo/SBA-15 Catalysts under Atmospheric Pressure" Catalysts 13, no. 9: 1276. https://doi.org/10.3390/catal13091276
APA StyleTeles, C. A., Ciotonea, C., Royer, S., & Richard, F. (2023). Transformation of Furfural-Acetone Condensation Adduct over Mo/SBA-15 Catalysts under Atmospheric Pressure. Catalysts, 13(9), 1276. https://doi.org/10.3390/catal13091276









