Next Article in Journal
Hard Template-Assisted Trans-Crystallization Synthesis of Hierarchically Porous Cu-SSZ-13 with Enhanced NH3-SCR Performance
Previous Article in Journal
Fischer–Tropsch Synthesis Catalysts for Selective Production of Diesel Fraction
Previous Article in Special Issue
An Efficient Strategy for Chemoenzymatic Conversion of Corn Stover to Furfuryl Alcohol in Deep Eutectic Solvent ChCl:PEG10000−Water Medium
 
 
Font Type:
Arial Georgia Verdana
Font Size:
Aa Aa Aa
Line Spacing:
Column Width:
Background:
Article

Efficient Conversion of Monosaccharides into 5-Hydroxymethylfurfural Using Acidic Deep Eutectic Solvents

by
Linh Ngoc To
1,2,†,
Trinh Hao Nguyen
1,2,†,
Thien Phuoc Nguyen
1,2,
Ha Bich Phan
1,2,3,
Linh Ho Thuy Nguyen
2,4,
Tan Le Hoang Doan
2,4,
Chinh Van Dang
3 and
Phuong Hoang Tran
1,2,*
1
Department of Organic Chemistry, Faculty of Chemistry, University of Science, Ho Chi Minh City 700000, Vietnam
2
Vietnam National University, Ho Chi Minh City 700000, Vietnam
3
Institute of Public Health, Ho Chi Minh City 700000, Vietnam
4
Center for Innovative Materials and Architectures (INOMAR), Ho Chi Minh City 700000, Vietnam
*
Author to whom correspondence should be addressed.
These authors contributed equally to this work.
Catalysts 2023, 13(8), 1216; https://doi.org/10.3390/catal13081216
Submission received: 30 June 2023 / Revised: 24 July 2023 / Accepted: 11 August 2023 / Published: 16 August 2023
(This article belongs to the Special Issue Catalysts in Neoteric Solvents II)

Abstract

:
In this study, a quick, simple, green method of converting carbohydrates into 5-hydroxymethylfurfural (HMF) with the use of deep eutectic solvents (DESs) was reported on. We synthesized 12 DESs for HMF conversion from carbohydrates which were studied under different conditions. Under optimal conditions, oxalic acid and citric acid with a choline chloride-based DES produced a maximum yield of HMF at 59 ± 2% and 62 ± 3% in 5 min at 120 °C, respectively. The efficiency of converting glucose to HMF in a short time (5 min) at 140 °C using CrCl3 with a choline chloride-based DES was around 37 ± 1%, which was higher than in previous work. This study demonstrates the significant potential of DESs as a combination for the continuous catalytic transformation of biomass in the synthesis of platform chemicals.

1. Introduction

Due to the rapid depletion of fossil fuel sources and increasing global warming concerns, the study of alternative biofuels and value-added chemicals from sustainable resources has attracted more attention [1,2,3,4]. As a result of these problems, scientists from all over the world are working to find and develop new, clean, and safe energy resources in order to reduce reliance on fossil fuels. Carbohydrates are a promising replacement for fossil resources in the production of valuable chemicals and fuel components because they are renewable resources. Among many types of high-value chemicals, 5-hydroxymethylfurfural (HMF) is one of the most promising alternative chemicals because it is an important building block for conversion into valuable derivatives, such as 2,5-dimethylfuran, 2,5-diformylfuran, 1,6-hexanediol, and levulinic acid [5,6,7,8,9]. The most straightforward route to produce HMF is via direct conversion from fructose due to its high yield and selectivity. Carbohydrate sources such as glucose or cellulose are preferred for the synthesis of HMF. Recently, the synthesis of HMF from carbohydrates has received significant attention. For example, Ly et al. demonstrated the continuous conversion of fructose into HMF in a home-built continuous flow system employing conventional homogeneous acid catalysts such as p-TsOH and Brønsted acidic ionic liquid. An HMF yield of 46% was obtained for p-TsOH/DMSO at the temperature of 130 °C within 5 min [10]. Souzanchi and co-workers reported niobium phosphate, synthetic sulfated niobium, and Amberlyst 36 were active and selective, resulting in HMF yields of 54–60% under ideal working conditions [11]. However, mineral acids involve equipment damage, energy costs, and environmental difficulties. To reduce negative environmental impacts, the study of deep eutectic solvents (DESs) as a catalyst has attracted scientists. DESs are composed of massive, nonsymmetric ions with low lattice energy and, as a result, low melting points. They are typically synthesized by complexing a quaternary ammonium salt with a metal salt or hydrogen bond donor (HBD). The charge delocalization caused by hydrogen bonding between, for example, a halide ion and a hydrogen-donor moiety is responsible for the mixture’s lower melting point in comparison to the melting points of the separate components [12]. DESs usually have lower thermal stability and leach more easily, but are less costly and easier to prepare than ionic liquids. At present, DESs have received much attention in the conversion of carbohydrates into HMF [13,14,15,16]. Chen et al. reported using sulfuric acid and DES catalyst systems to convert glucose into HMF under optimal conditions with an efficiency of 34.86%; however, the use of liquid catalyst makes it challenging to recover and reuse the catalyst system [17]. Vigier et al. (2012) examined the influence of natural deep eutectic solvents (NADESs) based on betaine hydrochloride on fructose dehydration. A mixture of betaine hydrochloride, choline chloride, and water (10/0.5/2) generated the highest HMF yields from fructose (84%) and inulin (52%) at 110 °C for 1 h [18]. In 2017, Delbecq et al. investigated HMF production using a water/MIBK biphasic system with a combination of betaine and formic acid as a catalyst. From fructose, the yield of HMF obtained was 82% at 160 °C for 60 min; from starch, 45% at 190 °C for 60 min; from glucose, 55% at 190 °C for 60 min; and from microcrystalline cellulose, 26% at 200 °C for 80 min [19]. Low yield and difficulty in product separation are two issues that arise throughout the process of converting glucose into HMF [20,21,22,23]. Glucose undergoes isomerization to form fructose, then fructose dehydration to form HMF (Scheme 1). Therefore, converting glucose into HMF has proven to be challenging due to the fact that the product of the reaction creates a by-product, which causes the yield to drop and results in a lack of selectivity.
The synthesis of HMF from carbohydrates (fructose and glucose) employing deep eutectic solvents (DESs) as a catalyst/solvent system under typical heating conditions was presented. The use of DESs in combination with conventional heating methods made it possible to convert carbohydrates into HMF in a short time while maintaining a high yield. Our work provides a simple method for the synthesis of DESs for HMF conversion.

2. Result

2.1. Characterization of DESs

In this part, we identified three DESs that provided the good yields of HMF from fructose/glucose, including [CholineCl][Oxalic acid], [CholineCl][CrCl3.6H2O], and [CholineCl][Citric acid] (please see characterizations of DESs in Supplementary Materials). Deep eutectic solvents were identified via FT-IR as shown in Figure 1. The choline chloride spectrum shows a characteristic signal for the C-N junction vibration at 1137 cm−1 of the quaternary ammonium salt. The signals at 2911 and 2895 cm−1 are assigned to stretching vibrations of H-Csp3 bonds, and signals at 1543 cm−1 are ascribed to alkyl groups. The presence of oxygen is confirmed by the absorption fringes of the C-O junction oscillation at 1031 cm−1. In addition, the -OH group has a stretching vibration in the region from 3000 to 3500 cm−1 [24,25,26]. The FT-IR spectrum of oxalic acid shows the appearance of peaks at 1186 cm−1, which is typical of the C-O bond oscillations. The peak at 1720 cm−1 is typical of the stretching vibrations of C=O. In addition, a wide bulb absorption band characteristic of the O-H group is observed at 3354 cm−1 [27]. Therefore, [CholineCl][Oxalic acid] was synthesized from choline chloride and oxalic acid in a 1:1 ratio; the FT-IR results showed the presence of characteristic oscillations for both components. The region ranges from 3100 to 3650 cm−1 bulb and is wider than that of both individual components. Similar to [CholineCl][Oxalic acid], [CholineCl][Citric acid] is synthesized from choline chloride and citric acid in 1:1 ratio, including characteristic signals of both components when compared on FT-IR spectra through the figure below. The carbonyl group at position 1722 cm−1 and the C-O group at position 1211 cm−1 are special signals from citric acid. In particular, the signal specific to the C-N junction vibration at 1142 cm−1 of quaternary ammonium salt is confirmed. The signal at 2920 cm−1 is assigned to the stretching oscillation of the H-Csp3. The presence of acid and alcohol O-H groups was observed at 3100–3650 cm−1 with a broad signal. In particular, the appearance of hydrogen bonding is noted by the shift of this signal towards a lower wave number [28]. When the FT-IR spectrum of [CholineCl][CrCl3.6H2O] and choline chloride was studied, it was found that the OH group shifted between 3500 and 3000 cm−1. This was noticed while comparing the two spectra; it is hypothesized that these alterations take place in [CholineCl][CrCl3.6H2O] because of the hydrogen interactions that take place between the functional groups [29].
Thermogravimetric analysis (TGA) was used to examine the stability of deep eutectic solvents, including [CholineCl][Citric acid] and [CholineCl][Oxalic acid], as depicted in Figure 2. According to the data provided by the TGA, the mass does not change much (approximately 10%) even at the first thermal decomposition step when the temperature is raised to 130 °C; nevertheless, previous work [27,28,30] has shown that when the temperature is increased from 200 °C to 300 °C, this fully disintegrates. At the final thermal degradation step, [CholineCl][Citric acid] completely decomposed in the temperature range from 300 °C to 450 °C, while the structure of [CholineCl][Oxalic acid] completely decomposed above 300 °C. Therefore, with the temperature that our study determined, the DES was still stable and had not decomposed. Moreover, 1H NMR and 13C NMR were used to identify DESs, which provided detailed Supporting information.

2.2. Effect of Brønsted Acidic Additives on the Conversion of Fructose into HMF

To evaluate the effect of Brønsted acidic additives, we conducted the conversion of HMF from fructose, using DESs as a catalyst system (Figure 3) with fructose (1 mmol) and DESs (5 mmol), at 100 °C, and various reaction times (5, 10, 20, 30 and 60 min). The reaction was carried out with fructose (1 mmol, 180 mg) and DESs (5 mmol). The yield of HMF for [CholineCl][Oxalic acid], [CholineCl][Citric acid], [CholineCl][Fumaric acid], [CholineCl][ Adipic acid], [CholineCl][Benzoic acid] and [CholineCl][Malonic acid] was over 50% in 30 min. Although [CholineCl][Fumaric acid] reached 42% HMF after 30 min, it tended to decline throughout the experiment. As can be seen, [CholineCl][Oxalic acid] generated the highest rate of HMF conversion at 74% after 30 min, while the yield of HMF was 45% from [CholineCl][Fumaric acid]. In general, the research on the conversion of fructose into HMF using DESs indicates that DESs tend to increase HMF yield efficiency with increasing reaction time under the same temperature conditions. Andera et al. reported the pH behavior of DESs, in which [CholineCl][Oxalic acid] has a lower pH than [CholineCl][Citric acid]. Therefore, [CholineCl][Oxalic acid]was more strongly acidic than [CholineCl][Citric acid]. Therefore, it speeds up the water splitting of fructose. Hence, the HMF yield of [CholineChloride][Oxalic acid] was higher than that of [CholineCl][Citric acid] at the same time. For the majority of the reaction time, [CholineCl][Malonic acid] performed better than [CholineCl][Fumaric acid]. This could be caused by the resonance effect in the fumaric acid structure, which made the Brønsted acid sites less active. As a result, their ability to dehydrate fructose was greatly reduced, and the product formation efficiency was significantly lower than [CholineCl][Malonic acid].
In a conventional procedure, we employed a succession of DESs made up of choline chloride and other chloride salts. The results were presented in Figure 4. The DESs [CholineCl][ZnCl2] and [CholineCl][CuCl2] produced the lowest yield. These are weak Lewis acids. They only contain one vacant s orbital to take electron pairs from elemental oxygen on fructose hydroxyl sites and then reduce the hydroxyl group. Meanwhile, other DESs with several vacant orbitals (p and d) in the central atom, such as [CholineCl][CrCl3.6H2O] and [CholineCl][FeCl3], give better efficiency. Nevertheless, the yield of the desired product from the DES [CholineCl][CrCl3.6H2O] exceeded 50% after 5 min. This demonstrates that the greater Lewis acidity, the easier it is to eliminate the hydroxyl groups of fructose.
In this section, the influence of the mass of catalyst loading, including [CholineCl][Oxalic acid] and [CholineCl][Citric acid], was investigated across a range including 1, 5, and 10 mmol in the synthesis of HMF from fructose over five different lengths of time (5, 10, 20, 30, and 60 min) for 100 °C. As illustrated in Figure 5, the use of 5 mmol catalysts [CholineCl][Oxalic acid] and [CholineCl][Citric acid] provided higher yield than those of 1 mmol and 10 mmol over different lengths of time (20, 30, and 60 min). Interestingly, with the increased amount of DES loading, the higher yield of HMF was observed up to 5 mmol with no further significant increase beyond 10 mmol. The main reason why increasing the amount of DES reduced the yield of the product could be due to the rise in the by-product from the polymerization of HMF. As the amount of catalyst increased, dehydration to produce the desired product was given priority. It seems evident that the higher yields of HMF were mainly observed in the presence of [CholineCl][Citric acid] than [CholineCl][Oxalic acid] as a catalyst. However, the synthesis of HMF using 5 mmol of [CholineCl][Oxalic acid] provided the highest yield with 72% after 30 min and then slightly decreased after prolonged reaction time (69%, 60 min). As a result, further studies were conducted with 5 mmol of [CholineCl][Oxalic acid] and [CholineCl][Citric acid] to optimize the synthesis of HMF from fructose.
Next, temperature is one of the most critical factors affecting HMF conversion yield. We conducted experiments at different temperatures, including 80, 100, and 120 °C for two DESs, namely [CholineCl][Citric acid] and [CholineCl][Oxalic acid] (Figure 6). At 80 °C and 100 °C, the yield of HMF increased with prolonged time for [CholineCl][Oxalic acid] and [CholineCl][Citric acid]. Significantly, 120 °C gave the highest yield within 5 min, which accounted for approximately 60% of HMF yields in the presence of [CholineCl][Citric acid] or [CholineCl][Oxalic acid]. In this case, the yield of HMF tended to decline with increased reaction time because HMF was polymerizing or becoming humin [31]. As expected, the rate of conversion accelerated with rising temperature. Lower temperatures, such as 80 and 100 °C, caused the reaction time to be extended to approximately 1 h, and the HMF conversion efficiency to begin to decline. Simultaneously, after only 10 min at 120 °C, the HMF conversion efficiency began to decline. The findings showed that the higher the temperatures that were used, the higher the yields that were obtained over short reaction times, and the activity of DESs decreased when the reaction time was prolonged. According to the aforementioned evaluation, a temperature of 120 °C was chosen as the most optimal temperature for future investigation of HMF conversion.
The production of HMF was limited by low selectivity and yield, particularly from glucose or cellulose substrates. Thus, various pathways have been studied as processes for preparing DFF from glucose or cellulose using different catalysts under various conditions. Therefore, the use of several DESs has recently been investigated for their potential as catalysts for biomass-to-HMF conversion. As shown in Figure 7, we evaluated the conversion of glucose to HMF using two different DESs (quaternary ammonium salt/metal chloride hydrate and quaternary ammonium salt/hydrogen bond donor). The HMF yield of the [CholineCl][Oxalic acid] solvent was very low at both temperatures, with the highest at 100 °C (5%). However, as the reaction time and temperature increased, the yields of HMF were reduced. This can be explained by the weak and easy decomposition of hydrogen bonds in these DESs at high temperatures. On the other hand, the obtained HMF yield in the [CholineCl][CrCl3] was significantly higher than from the previous DESs. At 100 °C, the HMF yield obtained was 19% after just 5 min. Furthermore, increasing the temperature to 140 °C (36%) for 5 min improved performance significantly. This type of DES is made up of coordination bonds to form a stable Cr3+ complex.
A recycling test of DESs was necessary for industrial processes. Thus, the recycling tests were carried out under optimal conditions with fructose (1 mmol, 180 mg) and [CholineCl[Citric acid] or [CholineCl][Oxalic acid] (5 mmol), for 10 min at 120 °C, and glucose (1 mmol, 180 mg) and [CholineCl][CrCl3.6H2O] (5 mmol), for 5 min at 140 °C. The results are shown in Figure 8. After completion of the reaction, the desired HMF was separated using a 1:1 mixture of diethyl ether and ethyl acetate (6 × 5 mL). The HMF yield of DESs produced from organic acids declined dramatically over the reusability periods (approximately 5–10%). This is due to the fact that when the reaction creates water, the water content of the DESs increases, and these DESs deteriorate with time, lowering the product conversion activity. The HMF yield was also somewhat lowered while utilizing DESs [CholineCl][CrCl3.6H2O] over reuses. This might be attributed to a reduction in the activity of the solvent or to a variation in the amount of fresh glucose added each time for [CholineCl][CrCl3.6H2O]. The reuse of the DES in these experiments caused the DES to degrade after it was recovered. In general, the reaction system can be reused up to three times, with a third yield of around 40% for [CholineCl][Citric acid], 35% for [CholineCl][Oxalic acid], and 20% for [CholineCl][CrCl3].

2.3. Mechanism Proposal

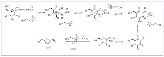
The conversion of glucose into HMF is composed of two processes, including the isomerization of glucose to fructose and the dehydration of fructose to HMF. The mechanism for fructose conversion into HMF through dehydration has been reported in previous literature [14,21,32]. In this work, we strongly proposed the mechanism for glucose conversion into HMF using [CholineCl][CrCl3.6H2O] as a catalyst (Scheme 2). Direct coordination of glucose with the Lewis acidic sites of CrCl3 supports the open-ring form of glucose. Moreover, Cr3+ complexes temporarily self-organize into dimers during the catalytic process, which aids in the glucose-to-fructose isomerization phase that ultimately determines HMF selectivity. In order to produce high HMF yields [33,34], it is necessary to have a reaction environment that allows for the free movement of the Cr complexes and the Cl sites [35]. Finally, fructose is dehydrated three H2O molecules under the influence of [CholineCl][CrCl3.6H2O] to form HMF.

2.4. The Comparison of This Work with Previous Work

Table 1 illustrates the comparison of this work on the conversion of glucose/fructose into HMF with previous work. Generally, the previous work provided a method for synthesizing HMF with different catalysts. For instance, Hou et al. reported a catalyst system that was synthesized from biomass and applied to converting fructose into HMF with an HMF yield of 81% after 60 min at 120 °C (entry 1). For glucose conversion (entries 2–5), the study investigated the catalytic system for synthesizing HMF with a yield of 27.5 to 51% HMF. It can be seen that glucose has to isomerize into fructose with a Lewis acid as a catalyst. In the next step, fructose was dehydrated to HMF using Brønsted acidic. Interestingly, our work provided a simple method for the conversion of glucose/fructose into HMF with a high yield in a short time using a green catalytic system (entry 7). The yields of HMF obtained from fructose conversion were 61% and 59% using [CholineCl][Citric acid] or [CholineCl][Oxalic acid], respectively. Moreover, the glucose conversion remarkably yielded 37% HMF at 140 °C after 5 min.

3. Materials and Methods

3.1. Chemical and Equipment

Choline Chloride (99%), oxalic acid (99%), citric acid (99%), benzoic acid (99%), malonic acid (99%), adipic acid (99%), fumaric acid (99%), chromium (III) chloride hexahydrate (99%), tin (II) chloride dihydrate (99%), copper dichloride dihydrate (99%), and iron (III) chloride (99%) were obtained from Sigma-Aldrich. 5-Hydroxymetylfurfural (99%), zinc dichloride (99%), and thin-layer chromatography (TLC) were collected from Merck. The purest reagents and chemicals were purchased from reliable vendors and used without additional purification.
Thermogravimetric analysis (TGA) with model TGA/DSC (Mettler, Toledo, Switzerland) was used to analyze and evaluate the thermal stability of DESs. Samples were calcined from room temperature to 800 °C with a scanning speed of 10 Kpm in N2. Fourier-transform infrared spectroscopy (FT-IR) was recorded on a Bruker’s VERTEX 70 series FT-IR spectrometers with a measuring range of 600 to 4000 cm−1.
The HMF was quantified via an Agilent Technologies 1260 Infinity HPLC with a DAD detector at wavelength 285 nm. An Inert Sustain C18 (5 µm, 4.6 mm × 150 mm) column was used to separate the components of the reaction mixture. The column temperature was maintained at 30 °C. A mixture of methanol (A) and 2.5 mM sulfuric acid (B) was used as eluent with a flow rate of 0.7 mL min−1, gradient as follows: 0–2.50 min, 100% B; 2.50–2.51 min, 85% B; 2.51–10.00 min, 50% B; 10.00–17 min, 100% B.

3.2. Synthesis of Deep Eutectic Solvents

In this study, DESs were synthesized using the procedure from previous studies [28,42,43]. In a typical experiment, choline chloride (10 mmol, 1.39 g), an HBD (such as oxalic acid, citric acid, fumaric acid, adipic acid, benzoic acid, malonic acid, zinc chloride, iron (III) chloride, chromium (III) chloride, or tin (II) chloride) was stirred at 100 °C until a homogeneous mixture was formed (Table 2).

3.3. Procedure of Synthesizing HMF

All reactions were carried out in a 10 mL glass vial equipped with a stirring bar. In the typical experiment, a mixture of fructose (1 mmol, 180 mg) and DES (5 mmol) was charged into the vial and heated via a magnetic hot plate stirrer with a closed-cap reaction tube. Subsequently, various catalysts/solvents, including [CholineChloride][Oxalic acid], [CholineCl][Citric acid], [CholineCl][Fumaric acid], [CholineCl][ Adipic acid], [CholineCl][Benzoic acid], [CholineCl][ Malonic acid], [CholineCl][Zinc Chloride], [CholineCl][Iron (III) Chloride], [CholineCl][Chromimun (III) Chloride], [CholineCl][Tin (II) Chloride], and [CholineCl][Copper (II) Chloride] were tested. The different conditions, such as reaction time (5, 10, 20, 30, and 60 min), catalyst dosage (1, 5, and 10 mmol), and substrate (fructose and glucose), were investigated to find optimal reaction conditions. After a set reaction time, the sample was weighed and diluted with ultrapure water, then filtered through 0.45 µm. Hence, the yield of HMF was determined via HPLC with a DAD detector. The calculation of HMF yield using an external standard calibration curve method is as follows (1):
% HMF = (mole of HMF/mole of initial fructose or initial glucose) × 100

4. Conclusions

In summary, we have successfully created a reliable process for the synthesis of 5-HMF from glucose/fructose by the combined use of DESs. An essential role for DESs in this biomass catalytic process was discovered, and the hypothesized mechanism for the synergistic action of quaternary ammonium ionic liquids and inorganic/organic salts was confirmed. For both carbohydrates evaluated, the best conditions for HMF synthesis were identified as (for fructose with [CholineCl][Citric acid] or [CholineCl][Oxalic acid] 120 °C for 5 min and glucose with [CholineCl][CrCl3] at 140 °C, 5 min). The catalytic system could be reused three times without changing the yield of HMF. Therefore, our work provided a simple procedure to synthesize HMF from glucose/fructose in a short time with a good yield.

Supplementary Materials

The following supporting information can be downloaded at: https://www.mdpi.com/article/10.3390/catal13081216/s1, Characterization of DES;1H & 13C-NMR spectra of HMF; HPLC analysis.

Author Contributions

Conceptualization and formal analysis, L.N.T. and T.H.N.; methodology, L.N.T. and T.H.N.; software, T.P.N.; validation, H.B.P., L.H.T.N. and T.L.H.D.; investigation, C.V.D.; writing—original draft preparation, L.N.T., T.H.N. and T.P.N.; writing—review and editing, L.N.T., T.H.N. and P.H.T., L.N.T. and T.H.N. contributed equally. All authors have read and agreed to the published version of the manuscript.

Funding

This research is funded by Vietnam National University, Ho Chi Minh City (VNU-HCM, Vietnam) under grant number 562-2022-18-03.

Data Availability Statement

In this manuscript, our characterizations were FT-IR, TGA, 1H NMR, 13C NMR, and HPLC. All data have been reported as images.

Acknowledgments

The authors express their sincere thanks to the Center for Innovative Materials & Architectures (INOMAR), Viet Nam National University, Ho Chi Minh City for their support in using the TGA and FT-IR measurements.

Conflicts of Interest

The authors declare no conflict of interest.

References

  1. Corma, A.; Iborra, S.; Velty, A. Chemical routes for the transformation of biomass into chemicals. Chem. Rev. 2007, 107, 2411–2502. [Google Scholar] [CrossRef] [PubMed]
  2. Mascal, M.; Nikitin, E.B. Direct, High-yield conversion of cellulose into biofuel. Angew. Chem. 2008, 120, 8042–8044. [Google Scholar] [CrossRef]
  3. Metzger, J.O. Production of liquid hydrocarbons from biomass. Angew. Chem. Int. Ed. 2006, 45, 696–698. [Google Scholar] [CrossRef] [PubMed]
  4. Román-Leshkov, Y.; Barrett, C.J.; Liu, Z.Y.; Dumesic, J.A. Production of dimethylfuran for liquid fuels from biomass-derived carbohydrates. Nature 2007, 447, 982–985. [Google Scholar] [CrossRef] [PubMed]
  5. Huang, H.; Denard, C.A.; Alamillo, R.; Crisci, A.J.; Miao, Y.; Dumesic, J.A.; Scott, S.L.; Zhao, H. Tandem catalytic conversion of glucose to 5-hydroxymethylfurfural with an immobilized enzyme and a solid acid. ACS Catal. 2014, 4, 2165–2168. [Google Scholar] [CrossRef]
  6. Lv, G.; Wang, H.; Yang, Y.; Deng, T.; Chen, C.; Zhu, Y.; Hou, X. Direct synthesis of 2, 5-diformylfuran from fructose with graphene oxide as a bifunctional and metal-free catalyst. Green Chem. 2016, 18, 2302–2307. [Google Scholar] [CrossRef]
  7. Rosatella, A.A.; Simeonov, S.P.; Frade, R.F.; Afonso, C.A. 5-Hydroxymethylfurfural (HMF) as a building block platform: Biological properties, synthesis and synthetic applications. Green Chem. 2011, 13, 754–793. [Google Scholar] [CrossRef]
  8. Salavati-fard, T.; Caratzoulas, S.; Lobo, R.F.; Doren, D.J. Catalysis of the Diels–Alder reaction of furan and methyl acrylate in Lewis acidic zeolites. ACS Catal. 2017, 7, 2240–2246. [Google Scholar] [CrossRef]
  9. Tuteja, J.; Choudhary, H.; Nishimura, S.; Ebitani, K. Direct synthesis of 1, 6-hexanediol from HMF over a heterogeneous Pd/ZrP catalyst using formic acid as hydrogen source. ChemSusChem 2014, 7, 96–100. [Google Scholar] [CrossRef]
  10. Ly, P.D.; Phan, H.B.; Le, Y.N.T.; Tran, P.H. Continuous-Flow Synthesis of 5-Hydroxymethylfurfural, Furfural from Monosaccharides: A Simple, Fast, and Practical Method. ChemistrySelect 2021, 6, 10827–10833. [Google Scholar] [CrossRef]
  11. Sonsiam, C.; Kaewchada, A.; Jaree, A. Synthesis of 5-hydroxymethylfurfural (5-HMF) from fructose over cation exchange resin in a continuous flow reactor. Chem Eng Process 2019, 138, 65–72. [Google Scholar] [CrossRef]
  12. Hansen, B.B.; Spittle, S.; Chen, B.; Poe, D.; Zhang, Y.; Klein, J.M.; Horton, A.; Adhikari, L.; Zelovich, T.; Doherty, B.W.; et al. Deep Eutectic Solvents: A Review of Fundamentals and Applications. Chemical Rev. 2021, 121, 1232–1285. [Google Scholar] [CrossRef]
  13. Lang, J.; Lu, J.; Lan, P.; Wang, N.; Yang, H.; Zhang, H. Preparation of 5-HMF in a DES/Ethyl N-Butyrate Two-Phase System. Catalysts 2020, 10, 636. [Google Scholar] [CrossRef]
  14. Tran, P.H.; Tran, P.V. A highly selective and efficient method for the production of 5-hydroxymethylfurfural from dehydration of fructose using SACS/DES catalytic system. Fuel 2019, 246, 18–23. [Google Scholar] [CrossRef]
  15. Marullo, S.; Rizzo, C.; D’Anna, F. Activity of a Heterogeneous Catalyst in Deep Eutectic Solvents: The Case of Carbohydrate Conversion into 5-Hydroxymethylfurfural. ACS Sustain. Chem. Eng. 2019, 7, 13359–13368. [Google Scholar] [CrossRef]
  16. Tao, S.; Hu, L.; Zhang, X.; Mai, Y.; Xian, X.; Zheng, X.; Lin, X. Insights into the Play of Novel Brønsted Acid-Based Deep Eutectic Solvents for the Conversion of Glucose into 5-Hydroxymethylfurfural without Additional Catalysts. Ind. Eng. Chem. Res. 2022, 61, 11645–11654. [Google Scholar] [CrossRef]
  17. Chen, W.-C.; Lin, Y.-C.; Chu, I.M.; Wang, L.-F.; Tsai, S.-L.; Wei, Y.-H. Feasibility of enhancing production of 5-hydroxymethylfurfural using deep eutectic solvents as reaction media in a high-pressure reactor. Biochem. Eng. J. 2020, 154, 107440. [Google Scholar] [CrossRef]
  18. Vigier, K.D.O.; Benguerba, A.; Barrault, J.; Jérôme, F. Conversion of fructose and inulin to 5-hydroxymethylfurfural in sustainable betaine hydrochloride-based media. Green Chem. 2012, 14, 285–289. [Google Scholar] [CrossRef]
  19. Delbecq, F.; Wang, Y.; Len, C. Various carbohydrate precursors dehydration to 5-HMF in an acidic biphasic system under microwave heating using betaine as a co-catalyst. J. Mol. Catal. 2017, 434, 80–85. [Google Scholar] [CrossRef]
  20. Phan, H.B.; Nguyen, T.H.; Le, D.D.; Nguyen, N.H.; Van Nguyen, T.; Tran, P.H. Continuous flow synthesis of HMF from glucose using gadolinium (III) trifluoromethanesulfonate in Brønsted acidic ionic liquid as a catalytic system. J. Flow Chem. 2022, 13, 121–132. [Google Scholar] [CrossRef]
  21. Phan, H.B.; Luong, C.M.; Nguyen, L.P.; Bui, B.T.; Nguyen, H.T.; Mai, B.V.; Mai, T.V.T.; Huynh, L.K.; Tran, P.H. Eco-Friendly Synthesis of 5-Hydroxymethylfurfural and Its Applications as a Starting Material to Synthesize Valuable Heterocyclic Compounds. ACS Sustain. Chem. Eng. 2022, 10, 8673–8684. [Google Scholar] [CrossRef]
  22. Phan, H.B.; Thi Nguyen, Q.B.; Luong, C.M.; Tran, K.N.; Tran, P.H. A green and highly efficient synthesis of 5-hydroxymethylfurfural from monosaccharides using a novel binary ionic liquid mixture. J. Mol. Catal. 2021, 503, 111428. [Google Scholar] [CrossRef]
  23. Zunita, M.; Yuan, D.M.; Syafi’ Laksono, A. Glucose conversion into hydroxymethylfurfural via ionic liquid-based processes. Adv. Chem. Eng. 2022, 11, 100307. [Google Scholar] [CrossRef]
  24. Nguyen, D.; Van Huynh, T.; Nguyen, V.S.; Cao, P.-L.D.; Nguyen, H.T.; Wei, T.-C.; Tran, P.H.; Nguyen, P.T. Choline chloride-based deep eutectic solvents as effective electrolytes for dye-sensitized solar cells. RSC Adv. 2021, 11, 21560–21566. [Google Scholar] [CrossRef]
  25. Nguyen, H.T.; Le, T.V.; Tran, P.H. AC-SO3H/[CholineCl][Urea]2 as a green catalytic system for the synthesis of pyrano[2,3-c]pyrazole scaffolds. J. Environ. Chem. Eng. 2021, 9, 105228. [Google Scholar] [CrossRef]
  26. Yue, J.; Zhu, Z.; Yi, J.; Li, H.; Chen, B.; Rao, J. One-step extraction of oat protein by choline chloride-alcohol deep eutectic solvents: Role of chain length of dihydric alcohol. Food Chem. 2022, 376, 131943. [Google Scholar] [CrossRef] [PubMed]
  27. Pham, P.T.; Nguyen, H.T.; Nguyen, T.T.; Nguyen, L.H.; Dang, M.-H.D.; Doan, T.L.; Pham, D.D.; Nguyen, C.T.; Tran, P.H. Rapid and Simple Microwave-Assisted Synthesis of Benzoxazoles Catalyzed by [CholineCl][Oxalic Acid]. Catalysts 2022, 12, 1394. [Google Scholar] [CrossRef]
  28. Nguyen, T.-H.T.; Phan, H.B.; Nguyen, T.H.; Tran, K.N.; Nguyen, L.H.T.; Doan, T.L.H.; Tran, P.H. Conversion of cellulose into valuable chemicals using sulfonated amorphous carbon in 1-ethyl-3-methylimidazolium chloride. RSC Adv. 2023, 13, 7257–7266. [Google Scholar] [CrossRef]
  29. Guo, X.; Zhu, H.; Si, Y.; Lyu, X.; Cheng, Y.; Zheng, L.; Wang, L.; Li, X. Conversion of Glucose to 5-Hydroxymethylfurfural in Deep Eutectic Solvent of Choline Chloride–Chromium Chloride. Ind. Eng. Chem. Res. 2022, 61, 7216–7224. [Google Scholar] [CrossRef]
  30. Song, X.; Wang, L.; Liu, L.; Li, J.; Wu, X. Impact of tea tree essential oil and citric acid/choline chloride on physical, structural and antibacterial properties of chitosan-based films. Food Control 2022, 141, 109186. [Google Scholar] [CrossRef]
  31. Zhou, L.; Liang, R.; Ma, Z.; Wu, T.; Wu, Y. Conversion of cellulose to HMF in ionic liquid catalyzed by bifunctional ionic liquids. Bioresour. Technol. 2013, 129, 450–455. [Google Scholar] [CrossRef] [PubMed]
  32. Olivito, F.; Algieri, V.; Tallarida, M.A.; Jiritano, A.; Costanzo, P.; Maiuolo, L.; De Nino, A. High-yield synthesis of HMF from glucose and fructose by selective catalysis with water-tolerant rare earth metal triflates assisted by choline chloride. Green Chem. 2023, 25, 1679–1689. [Google Scholar] [CrossRef]
  33. Pidko, E.A.; Degirmenci, V.; van Santen, R.A.; Hensen, E.J.M. Coordination Properties of Ionic Liquid-Mediated Chromium(II) and Copper(II) Chlorides and Their Complexes with Glucose. Inorg. Chem. Commun. 2010, 49, 10081–10091. [Google Scholar] [CrossRef] [PubMed]
  34. Meilleur, F.; Snell, E.H.; van der Woerd, M.J.; Judge, R.A.; Myles, D.A.A. A quasi-Laue neutron crystallographic study of d-xylose isomerase. Eur. Biophys. J. 2006, 35, 601–609. [Google Scholar] [CrossRef]
  35. Fenn, T.D.; Ringe, D.; Petsko, G.A. Xylose Isomerase in Substrate and Inhibitor Michaelis States:  Atomic Resolution Studies of a Metal-Mediated Hydride Shift. Biochemistry 2004, 43, 6464–6474. [Google Scholar] [CrossRef]
  36. Hou, Q.; Li, W.; Ju, M.; Liu, L.; Chen, Y.; Yang, Q. One-pot synthesis of sulfonated graphene oxide for efficient conversion of fructose into HMF. RSC Adv. 2016, 6, 104016–104024. [Google Scholar] [CrossRef]
  37. Rusanen, A.; Lahti, R.; Lappalainen, K.; Kärkkäinen, J.; Hu, T.; Romar, H.; Lassi, U. Catalytic conversion of glucose to 5-hydroxymethylfurfural over biomass-based activated carbon catalyst. Catal. 2020, 357, 94–101. [Google Scholar] [CrossRef]
  38. Parveen, F.; Upadhyayula, S. Efficient conversion of glucose to HMF using organocatalysts with dual acidic and basic functionalities—A mechanistic and experimental study. Fuel Process. Technol. 2017, 162, 30–36. [Google Scholar] [CrossRef]
  39. Marianou, A.A.; Michailof, C.M.; Pineda, A.; Iliopoulou, E.F.; Triantafyllidis, K.S.; Lappas, A.A. Effect of Lewis and Brønsted acidity on glucose conversion to 5-HMF and lactic acid in aqueous and organic media. Appl. Catal. 2018, 555, 75–87. [Google Scholar] [CrossRef]
  40. He, O.; Zhang, Y.; Wang, P.; Liu, L.; Wang, Q.; Yang, N.; Li, W.; Champagne, P.; Yu, H. Experimental and Kinetic Study on the Production of Furfural and HMF from Glucose. Catalysts 2021, 11, 11. [Google Scholar] [CrossRef]
  41. Huang, T.; Zhang, H.-X.; Zhang, X.-H.; Peng, D.-Y.; Nie, X.-L.; Chen, J.; Xiong, W.-M. Preparation of functionalized diallylimidazole ionic liquid and its application in conversion of D-fructose into HMF. J. Mol. Liq. 2022, 345, 118233. [Google Scholar] [CrossRef]
  42. Skulcova, A.; Russ, A.; Jablonsky, M.; Sima, J.J.B. The pH behavior of seventeen deep eutectic solvents. BioResources 2018, 13, 5042–5051. [Google Scholar] [CrossRef]
  43. Saha, S.K.; Dey, S.; Chakraborty, R. Effect of choline chloride-oxalic acid based deep eutectic solvent on the ultrasonic assisted extraction of polyphenols from Aegle marmelos. J. Mol. Liq. 2019, 287, 110956. [Google Scholar] [CrossRef]
Scheme 1. The procedure of synthesizing HMF from fructose/glucose.
Scheme 1. The procedure of synthesizing HMF from fructose/glucose.
Catalysts 13 01216 sch001
Figure 1. FT-IR spectra of deep eutectic solvents.
Figure 1. FT-IR spectra of deep eutectic solvents.
Catalysts 13 01216 g001
Figure 2. Thermogravimetric analysis of [CholineChloride][Citric acid] and [CholineChloride][Oxalic acid].
Figure 2. Thermogravimetric analysis of [CholineChloride][Citric acid] and [CholineChloride][Oxalic acid].
Catalysts 13 01216 g002
Figure 3. Effect of Brønsted acidic additives. Reaction condition: Fructose (1 mmol), DESs (5 mmol), 100 °C, various reaction times (5, 10, 20, 30, and 60 min, respectively).
Figure 3. Effect of Brønsted acidic additives. Reaction condition: Fructose (1 mmol), DESs (5 mmol), 100 °C, various reaction times (5, 10, 20, 30, and 60 min, respectively).
Catalysts 13 01216 g003
Figure 4. Effect of Lewis acidic additives. Reaction condition: fructose (1 mmol), DESs (5 mmol), 100 °C with various reaction times (5, 10, 20, 30, and 60 min, respectively).
Figure 4. Effect of Lewis acidic additives. Reaction condition: fructose (1 mmol), DESs (5 mmol), 100 °C with various reaction times (5, 10, 20, 30, and 60 min, respectively).
Catalysts 13 01216 g004
Figure 5. Effect of mass of catalyst loading including (a) [CholineChloride][Oxalic acid], (b) [CholineChloride][Citric acid]. Reaction condition: Fructose (1 mmol), DESs (5 mmol), 100 °C with various reaction times (5, 10, 20, 30, and 60 min).
Figure 5. Effect of mass of catalyst loading including (a) [CholineChloride][Oxalic acid], (b) [CholineChloride][Citric acid]. Reaction condition: Fructose (1 mmol), DESs (5 mmol), 100 °C with various reaction times (5, 10, 20, 30, and 60 min).
Catalysts 13 01216 g005
Figure 6. Effect of temperature on HMF conversion. (a) [CholineCl][Citric acid], (b) [CholineCl][Oxalic acid]. Reaction conditions: fructose (1 mmol), DESs (5 mmol), over various reaction times (5, 10, 20, 30, and 60 min, respectively).
Figure 6. Effect of temperature on HMF conversion. (a) [CholineCl][Citric acid], (b) [CholineCl][Oxalic acid]. Reaction conditions: fructose (1 mmol), DESs (5 mmol), over various reaction times (5, 10, 20, 30, and 60 min, respectively).
Catalysts 13 01216 g006
Figure 7. Effect of temperature on glucose conversion with (a) [CholineCl][Oxalic acid] and (b) [CholineCl][CrCl3.6H2O].
Figure 7. Effect of temperature on glucose conversion with (a) [CholineCl][Oxalic acid] and (b) [CholineCl][CrCl3.6H2O].
Catalysts 13 01216 g007
Figure 8. Reusability of (a) [CholineCl][Citric acid], (b) [CholineCl][Oxalic acid] and (c) [CholineCl][CrCl3].
Figure 8. Reusability of (a) [CholineCl][Citric acid], (b) [CholineCl][Oxalic acid] and (c) [CholineCl][CrCl3].
Catalysts 13 01216 g008
Scheme 2. Mechanism proposal.
Scheme 2. Mechanism proposal.
Catalysts 13 01216 sch002
Table 1. Comparison of this work of previous work.
Table 1. Comparison of this work of previous work.
EntrySubstratesReaction ConditionsTime/TemperatureYield of HMF
1Fructose [36]SGO/DMSO60 min/120 °C81
2Glucose [37]ACB2/THF-H2O8 h/160 °C51
3Glucose [38]Sulfanilic acid/MIBK-DMSO30 min/160 °C 44
4Glucose [39]Sn20/γ-Al2O3/H2O-DMSO60 min/150 °C27.5
5Glucose [40]SnSO4-H2SO410 min/170 °C34
6Fructose [41]DMSO-C2DAIMF10 min/195 °C73.71
7Fructose
(This work)
[CholineCl][Citric acid] or [CholineCl][Oxalic acid]5 min/120 °C62/59
Glucose
(This work)
[CholineCl][CrCl3]5 min/140 °C37
Table 2. Optimized conditions for the synthesis of DESs.
Table 2. Optimized conditions for the synthesis of DESs.
EntryHBAHBDRatioTime (min)
1Choline ChlorideOxalic acid1:15
2Citric acid1:110
3Fumaric acid2:125
4Adipic acid1:115
5Benzoic acid1:115
6Malonic acid1:120
7Zinc chloride1:315
8Iron (III) chloride1:115
9Chromium (III) chloride hexahydrate1:115
10Tin (II) chloride dihydrate1:220
11Copper dichloride dihydrate1:120
12Tin (II) chloride dihydrate1:15
Disclaimer/Publisher’s Note: The statements, opinions and data contained in all publications are solely those of the individual author(s) and contributor(s) and not of MDPI and/or the editor(s). MDPI and/or the editor(s) disclaim responsibility for any injury to people or property resulting from any ideas, methods, instructions or products referred to in the content.

Share and Cite

MDPI and ACS Style

To, L.N.; Nguyen, T.H.; Nguyen, T.P.; Phan, H.B.; Nguyen, L.H.T.; Doan, T.L.H.; Dang, C.V.; Tran, P.H. Efficient Conversion of Monosaccharides into 5-Hydroxymethylfurfural Using Acidic Deep Eutectic Solvents. Catalysts 2023, 13, 1216. https://doi.org/10.3390/catal13081216

AMA Style

To LN, Nguyen TH, Nguyen TP, Phan HB, Nguyen LHT, Doan TLH, Dang CV, Tran PH. Efficient Conversion of Monosaccharides into 5-Hydroxymethylfurfural Using Acidic Deep Eutectic Solvents. Catalysts. 2023; 13(8):1216. https://doi.org/10.3390/catal13081216

Chicago/Turabian Style

To, Linh Ngoc, Trinh Hao Nguyen, Thien Phuoc Nguyen, Ha Bich Phan, Linh Ho Thuy Nguyen, Tan Le Hoang Doan, Chinh Van Dang, and Phuong Hoang Tran. 2023. "Efficient Conversion of Monosaccharides into 5-Hydroxymethylfurfural Using Acidic Deep Eutectic Solvents" Catalysts 13, no. 8: 1216. https://doi.org/10.3390/catal13081216

APA Style

To, L. N., Nguyen, T. H., Nguyen, T. P., Phan, H. B., Nguyen, L. H. T., Doan, T. L. H., Dang, C. V., & Tran, P. H. (2023). Efficient Conversion of Monosaccharides into 5-Hydroxymethylfurfural Using Acidic Deep Eutectic Solvents. Catalysts, 13(8), 1216. https://doi.org/10.3390/catal13081216

Note that from the first issue of 2016, this journal uses article numbers instead of page numbers. See further details here.

Article Metrics

Back to TopTop