One-Pot Synthesis of Iron-Modified Zeolite X and Characterization of the Obtained Materials
Abstract
:1. Introduction
2. Results and Discussion
2.1. High Resolution Tramsmission Electron Microscopy and Energy Dispersive Spectroscopy
2.2. Inductively Coupled Plasma—Optical Emission Spectrometry
2.3. BET Analysis
2.4. X-ray Diffraction
2.5. XPS Analysis
2.6. Bandgap Analysis
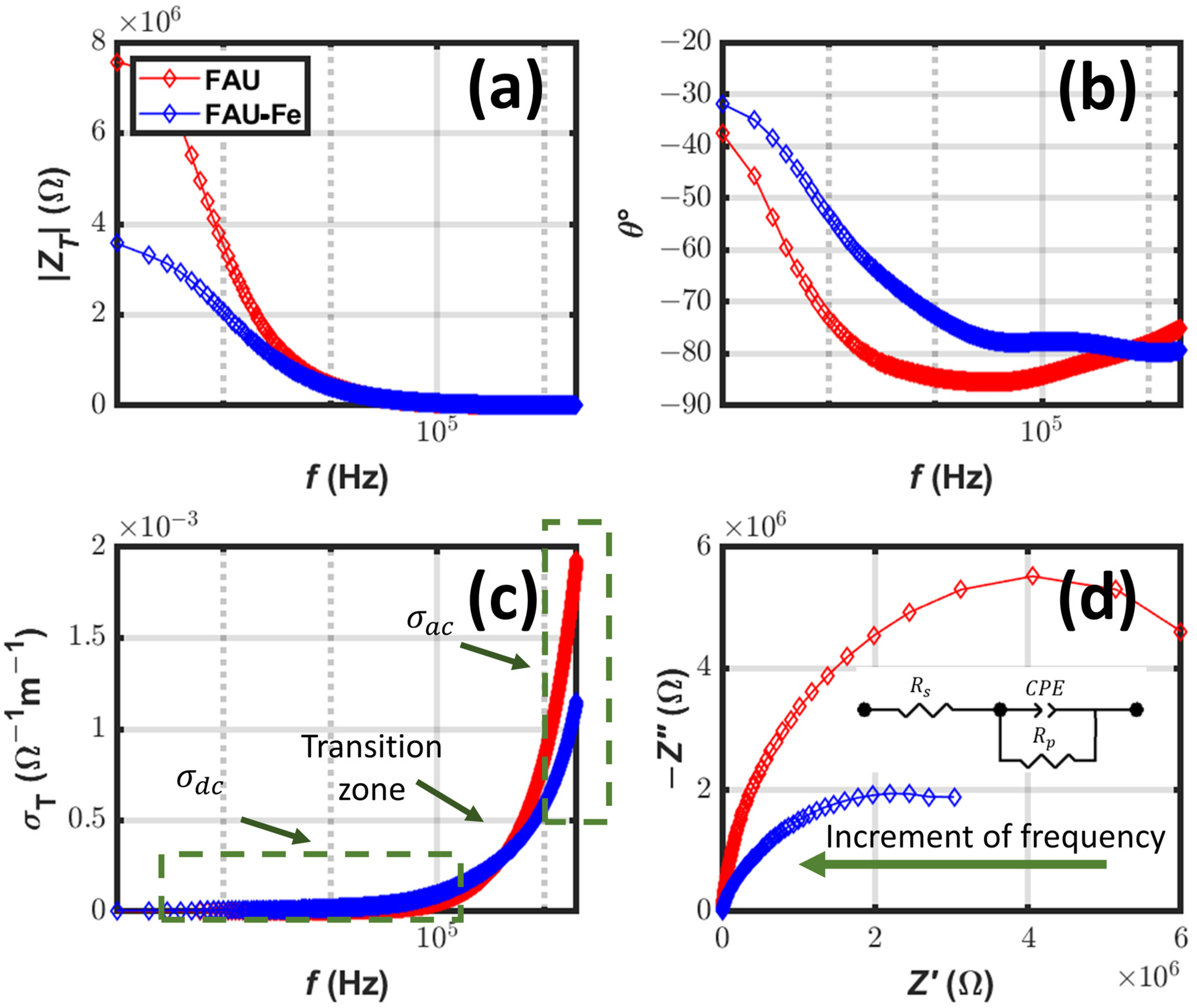
2.7. Electrochemical Impedance Spectroscopy
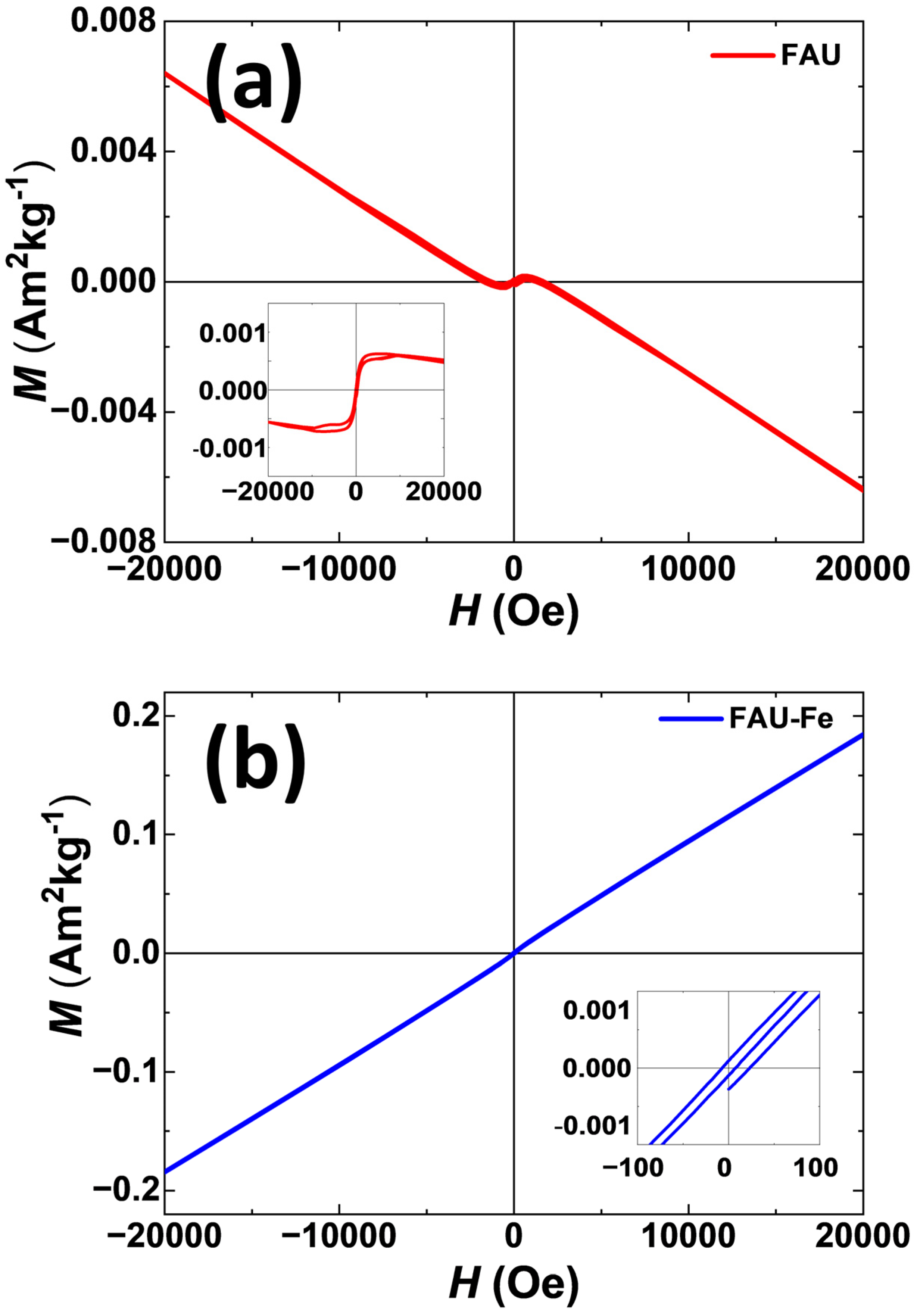
2.8. Magnetic Characterization
3. Materials and Methods
3.1. Preparation of Samples
3.2. Characterization
4. Conclusions
Author Contributions
Funding
Data Availability Statement
Acknowledgments
Conflicts of Interest
References
- Murrieta-Rico, F.N.; Antúnez-García, J.; Yocupicio-Gaxiola, R.I.; Galván, D.H.; González, J.C.; Petranovskii, V. Zeolites as initial structures for the preparation of functional materials. J. Appl. Res. Technol. 2022, 20, 92–116. [Google Scholar] [CrossRef]
- Antúnez-García, J.; Posada-Amarillas, A.; Galván, D.H.; Smolentseva, E.; Petranovskii, V.; Moyado, S.F. DFT study of composites formed by M2 metallic clusters (M = Ni, Cu, Fe and Au) embedded in faujasite. RSC Adv. 2016, 6, 79160–79165. [Google Scholar] [CrossRef]
- Antúnez-García, J.; Galván, D.H.; Petranovskii, V.; Murrieta-Rico, F.N.; Yocupicio-Gaxiola, R.I.; Fuentes-Moyado, S. Theoretical study of the effect of isomorphous substitution by Al3+ and/or Fe3+ cations to tetrahedral positions in the framework of a zeolite with erionite topology. J. Mater. Sci. 2019, 54, 13190–13199. [Google Scholar] [CrossRef]
- Antúnez-García, J.; Galván, D.H.; Petranovskii, V.; Murrieta-Rico, F.N.; Yocupicio-Gaxiola, R.I.; Shelyapina, M.G.; Fuentes-Moyado, S. The effect of chemical composition on the properties of LTA zeolite: A theoretical study. Comput. Mater. Sci. 2021, 196, 110557. [Google Scholar] [CrossRef]
- Knops-Gerrits, P.P.; Goddard, W.A., III. Methane partial oxidation in iron zeolites: Theory versus experiment. J. Mol. Catal. A Chem. 2001, 166, 135–145. [Google Scholar] [CrossRef]
- Lari, G.M.; Mondelli, C.; Pérez-Ramírez, J. Gas-phase oxidation of glycerol to dihydroxyacetone over tailored iron zeolites. ACS Catal. 2015, 5, 1453–1461. [Google Scholar] [CrossRef]
- Pour, A.N.; Zamani, Y.; Tavasoli, A.; Shahri, S.M.K.; Taheri, S. Study on products distribution of iron and iron–zeolite catalysts in Fischer–Tropsch synthesis. Fuel 2008, 87, 2004–2012. [Google Scholar] [CrossRef]
- Senamart, N.; Buttha, S.; Pantupho, W.; Koleva, I.Z.; Loiha, S.; Aleksandrov, H.A.; Vayssilov, G.N. Characterization and temperature evolution of iron-containing species in HZSM-5 zeolite prepared from different iron sources. J. Porous Mater. 2019, 26, 1227–1240. [Google Scholar] [CrossRef]
- Jin, Y.; Asaoka, S.; Zhang, S.; Li, P.; Zhao, S. Reexamination on transition metal substituted MFI zeolites for catalytic conversion of methanol into light olefins. Fuel Process. Technol. 2013, 115, 34–41. [Google Scholar] [CrossRef]
- Spinacé, E.V.; Cardoso, D.; Schuchardt, U. Incorporation of Iron (III) and Chromium (III) in SAPO-37. Zeolites 1997, 19, 6–12. [Google Scholar] [CrossRef]
- Guaya, D.; Cobos, H.; Camacho, J.; López, C.M.; Valderrama, C.; Cortina, J.L. LTA and FAU-X Iron-Enriched Zeolites: Use for Phosphate Removal from Aqueous Medium. Materials 2022, 15, 5418. [Google Scholar] [CrossRef]
- Zhang, J.; Tang, X.; Yi, H.; Yu, Q.; Zhang, Y.; Wei, J.; Yuan, Y. Synthesis, characterization and application of Fe-zeolite: A review. Appl. Catal. A Gen. 2021, 630, 118467. [Google Scholar] [CrossRef]
- Ma, B.; Fernandez-Martinez, A.; Mancini, A.; Lothenbach, B. Spectroscopic investigations on structural incorporation pathways of FeIII into zeolite frameworks in cement-relevant environments. Cem. Concr. Res. 2021, 140, 106304. [Google Scholar] [CrossRef]
- Lei, Q.; Wang, C.; Dai, W.; Wu, G.; Guan, N.; Li, L. Multifunctional heteroatom zeolites: Construction and applications. Front. Chem. Sci. Eng. 2021, 15, 1462–1486. [Google Scholar] [CrossRef]
- Zecchina, A.; Rivallan, M.; Berlier, G.; Lamberti, C.; Ricchiardi, G. Structure and nuclearity of active sites in Fe-zeolites: Comparison with iron sites in enzymes and homogeneous catalysts. Phys. Chem. Chem. Phys. 2007, 9, 3483–3499. [Google Scholar] [CrossRef]
- Ferdov, S. Conventional synthesis of layer-like zeolites with faujasite (FAU) structure and their pathway of crystallization. Microporous Mesoporous Mater. 2020, 303, 110263. [Google Scholar] [CrossRef]
- Li, L.; Shen, Q.; Li, J.; Hao, Z.; Xu, Z.P.; Lu, G.M. Iron-exchanged FAU zeolites: Preparation, characterization and catalytic properties for N2O decomposition. Appl. Catal. A Gen. 2008, 344, 131–141. [Google Scholar] [CrossRef]
- Aparicio, L.M.; Dumesic, J.A.; Fang, S.M.; Long, M.A.; Ulla, M.A.; Millman, W.S.; Hall, W.K. Mössbauer spectroscopy and catalytic studies of iron-exchanged, silicon-substituted Y-zeolite. J. Catal. 1987, 104, 381–395. [Google Scholar] [CrossRef]
- Baerlocher, C.; McCusker, L.B. Database of Zeolite Structures. Available online: http://www.izastructure.org/databases (accessed on 29 November 2022).
- Tanev, P.T.; Pinnavaia, T.J. Mesoporous silica molecular sieves prepared by ionic and neutral surfactant templating: A com-parison of physical properties. Chem. Mater. 1996, 8, 2068–2079. [Google Scholar] [CrossRef]
- Murrieta-Rico, F.N.; Petranovskii, V.; Antúnez-Garcia, J.; Yocupicio-Gaxiola, R.I.; Grishin, M.; Sarvadii, S. Analysis of the effect of crystallization time during growth on the properties of zeolite LTA film on quartz substrates. Mater. Today Proc. 2022, 67, 732–735. [Google Scholar] [CrossRef]
- Yan, Z.; Zhuxia, Z.; Tianbao, L.; Xuguang, L.; Bingshe, X. XPS and XRD study of FeCl3–graphite intercalation compounds prepared by arc discharge in aqueous solution. Spectrochim. Acta Part A Mol. Biomol. Spectrosc. 2008, 70, 1060–1064. [Google Scholar] [CrossRef]
- Tauc, J. Optical properties and electronic structure of amorphous Ge and Si. Mater. Res. Bull. 1968, 3, 37–46. [Google Scholar] [CrossRef]
- Belviso, C.; Kharchenko, A.; Agostinelli, E.; Cavalcante, F.; Peddis, D.; Varvaro, G.; Yaacoub, N.; Mintova, S. Red mud as aluminium source for the synthesis of magnetic zeolite. Microporous Mesoporous Mater. 2018, 270, 24–29. [Google Scholar] [CrossRef]
- Karthik, T.; Srinivas, A.; Kamaraj, V.; Chandrasekeran, V. Influence of in situ magnetic field pressing on the structural and multiferroic behaviour of BiFeO3 ceramics. Ceram. Int. 2012, 38, 1093–1098. [Google Scholar] [CrossRef]
- Loiola, A.R.; Bessa, R.A.; Freitas, A.D.; Soares, S.A.; Bohn, F.; Pergher, S.B. Magnetic zeolite composites: Classification, synthesis routes, and technological applications. J. Magn. Magn. Mater. 2022, 560, 169651. [Google Scholar] [CrossRef]










| Sample | Al2O3 % Mole | SiO2 % Mole | Fe2O3 % Mole | SiO2/Al2O3 Mole Ratio | SiO2/Fe2O3 Mole Ratio | SiO2/ (Al2O3 + Fe2O3) Mole Ratio |
|---|---|---|---|---|---|---|
| Fau | 27.6 | 72.4 | 0.05 | 2.6 | 1331 | 2.6 |
| FAU-Fe | 17.8 | 55.5 | 26.7 | 3.1 | 2.1 | 1.2 |
| Sample | ||||
|---|---|---|---|---|
| FAU | 0.24 | 0.28 | 502 | 934 |
| FAU-Fe | 0.14 | 0.18 | 461 |
| Sample | |||
|---|---|---|---|
| FAU | 1 | ||
| FAU Fe | 0.915 |
| Sample | ||||
|---|---|---|---|---|
| FAU | ||||
| FAU-Fe |
Disclaimer/Publisher’s Note: The statements, opinions and data contained in all publications are solely those of the individual author(s) and contributor(s) and not of MDPI and/or the editor(s). MDPI and/or the editor(s) disclaim responsibility for any injury to people or property resulting from any ideas, methods, instructions or products referred to in the content. |
© 2023 by the authors. Licensee MDPI, Basel, Switzerland. This article is an open access article distributed under the terms and conditions of the Creative Commons Attribution (CC BY) license (https://creativecommons.org/licenses/by/4.0/).
Share and Cite
Murrieta-Rico, F.N.; Antúnez-García, J.; Yocupicio-Gaxiola, R.I.; Zamora, J.; Serrato, A.R.; Petranovskii, V. One-Pot Synthesis of Iron-Modified Zeolite X and Characterization of the Obtained Materials. Catalysts 2023, 13, 1159. https://doi.org/10.3390/catal13081159
Murrieta-Rico FN, Antúnez-García J, Yocupicio-Gaxiola RI, Zamora J, Serrato AR, Petranovskii V. One-Pot Synthesis of Iron-Modified Zeolite X and Characterization of the Obtained Materials. Catalysts. 2023; 13(8):1159. https://doi.org/10.3390/catal13081159
Chicago/Turabian StyleMurrieta-Rico, Fabian N., Joel Antúnez-García, Rosario I. Yocupicio-Gaxiola, Jonathan Zamora, Armando Reyes Serrato, and Vitalii Petranovskii. 2023. "One-Pot Synthesis of Iron-Modified Zeolite X and Characterization of the Obtained Materials" Catalysts 13, no. 8: 1159. https://doi.org/10.3390/catal13081159
APA StyleMurrieta-Rico, F. N., Antúnez-García, J., Yocupicio-Gaxiola, R. I., Zamora, J., Serrato, A. R., & Petranovskii, V. (2023). One-Pot Synthesis of Iron-Modified Zeolite X and Characterization of the Obtained Materials. Catalysts, 13(8), 1159. https://doi.org/10.3390/catal13081159

