Abstract
Dihydroquinolin-2(1H)-ones (DHQOs) represent a class of valuable bioactive compounds with six-membered nitrogen-containing heterocyclic structures. The development of simple, mild, and efficient synthetic methods has been widely considered by synthetic chemists. In this review, we have summarized a series of different synthetic strategies for the synthesis of DHQOs via the catalytic annulation of α,β-unsaturated N-arylamides in the past decade, including covering electrophilic cyclization, radical initiated cyclization, and photochemical cyclization reactions. Additionally, the substrate scope and mechanistic details are also discussed. This paper provides a useful reference for the development of diverse synthesis methodologies of DHQO.
1. Introduction
A dihydroquinolin-2(1H)-one (DHQO) skeleton is an important nitrogen-containing heterocyclic structural unit that widely exists in natural products, drugs, and other bioactive compounds [1,2,3,4,5,6]. In the past few years, functionalized DHQOs have been synthesized and applied to antibiotics and anticancer, antiviral, and other important drugs. As shown in Figure 1, selected bioactive compounds containing DHQOs have been listed.
Figure 1.
Examples of medicinally active compounds containing DHQOs.
For example, (+)-Scandine is an alkaloid compound isolated from the twigs and leaves of Melodinus suaveolens and has been used in the treatment of atherosclerosis [1]. Research also showed that HIV-1 reverse transcriptase inhibitors B could improve antiviral activity against single (K103N) and double (K103N/L100I) mutant viruses [2]. Additionally, (−)-Pinolinone, separated from the roots of boronia pinnata, could strengthen inhibitory effects on the Epstein-Barr virus in early antigen (EBV-EA) activation [3]. CYP11B2 (aldosterone synthase) offered possible treatment for breast cancer and coinstantaneous cardiovascular diseases [4]. Furthermore, Yaequinolones J1, which was extracted from Penicillium sp. FKI-2140, showed toxicity against artemia salina (brine shrimp) [5]. 1-Aryl-3,4-dihydroquinolin-2(1H)-one was discovered as a potent norepinephrine reuptake inhibitor [6], and so on. Therefore, the synthesis of DHQO skeleton compounds provides more opportunities for the discovery of new bioactive molecules.
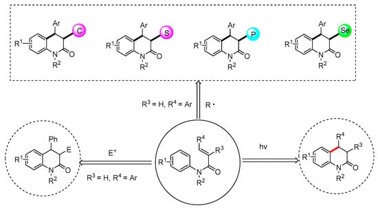
The importance of this skeleton compound has stimulated activities of the synthesis community to develop new transformation strategies that can obtain DHQO compounds. In the past decades, some new synthetic methods have been continuously developed, such as the Pd-catalyzed Heck reduction-cyclization reaction [7], Pd-catalyzed cyclopropane ring expansion [8], Mn-mediated intramolecular cyclization [9], Rh-mediated Michael-addition (1,4-additions) of the boronic acid to enone [10], Ru catalyzed cyclization of 1,4,2-dioxazol-5-ones [11], photoredox strategy from anilines, oxalyl chloride and electron-deficient alkenes [12], and so on [13,14,15,16,17,18,19]. Among these, using α,β-unsaturated N-arylamides as the key substrates via different cyclization reactions has been shown as a fast, simple, and atom-economic strategy. The advantage of α,β-unsaturated N-arylamides was that it was easy to synthesize, it did not require tedious multi-step synthesis, and the raw material price was relatively lower. Although α,β-unsaturated N-arylamides had been widely used for the synthesis of five-member oxindoles [20,21], the synthesis of six-membered rings was still rare. This review focuses on the synthesis of DHQOs by using α,β-unsaturated N-arylamides, as the key substrates in the last decade, and these methodologies include electrophilic cyclization reaction, radical initiated cyclization reaction, and photochemical cyclization reaction (Figure 2). We hope this review will serve as a useful reference for organic chemists to discover more novel strategies for the synthesis of DHQOs.
Figure 2.
Synthesis of different DHQOs by using α,β-unsaturated N-arylamides as the key substrates.
2. Synthesis of DHQOs via Electrophilic Cyclization Reactions
The synthesis of DHQOs via intramolecular Friedel-Crafts alkylation using α,β-unsaturated N-arylamides as the key substrate has been achieved. Some Brønsted acids, such as H2SO4 [22], TsOH [23], CF3COOH [24], polyphosphoric acid (PPA) [25], and Lewis acid AlCl3 [26], were used for the construction of DHQOs, in which trifluoroacetic acid (TFA) was the most suitable acid for this reaction (Figure 3). However, the disadvantages of these reactions are the use of excessively strong acids or high temperature and the limited range of substrates, especially for the synthesis of 3-substituted DHQOs. Therefore, it is still necessary to develop new synthesis methods under mild conditions.
Figure 3.
Trifluoroacetic acid-mediated hydroarylation for the synthesis of DHQOs.
In 2017, a mild and effective methodology was developed by Zhang’s group for the synthesis of cis-4-aryl-3-arylthio-substituted DHQOs via electrophilic sulfenylation and cyclization of N-arylcinnamamides with N-arylthiosuccinimides in the presence of BF3·OEt2 (Figure 4) [27]. Except for the BF3·OEt2, BBr3 was also effective for the reaction. The reaction showed a broad substrate scope. A series of N-methyl-N-arylcinnamamides were found to be effective in this reaction, and the cis-4-aryl-3-arylthio-3,4-dihydroquinolin-2(1H)-ones 4 were obtained in moderate to excellent yields with high stereoselectivity. N-arylcinnamamides 1, having F, Cl, Br, Me, and MeO groups on the phenyl ring of the cinnamoyl group, were well tolerated in this reaction. An electrophilic cyclization mechanism was proposed, as shown in Figure 4. Firstly, the reaction of N-thiosuccinimides 3 reacted with BF3·OEt2 to generate the electrophilic thio intermediate 5. Then, 5 was added to the C=C bond of N-arylcinnamamides 1 via an electrophilic addition process to produce intermediate 7, which further went through intramolecular cyclization to form intermediate 8. Finally, product 4 was formed through the release of a proton.
Figure 4.
The synthesis of cis-4-aryl-3-arylthio-3,4-dihydroquinolin-2(1H)-ones via the electrophilic sulfenylation and cyclization of N-arylcinnamamides with N-arylthiosuccinimides.
Reducing the emission of waste to the environment and developing green and atomic economy synthesis technologies are the long-term development goals of synthetic chemists. In 2022, the Oxone-mediated direct arylhydroxylation of N-arylcinnamamides was developed by He’s group for the synthesis of hydroxyl-containing DHQOs (Figure 5) [28]. Oxone is a cheap, stable, and nontoxic inorganic reagent that acts as an oxidant for the epoxidation of alkenes and the proton source for the subsequent ring-opening Friedel-Crafts alkylation. This reaction provided an atom-economy strategy for the synthesis of 3-hydroxyl-substituted DHQOs. The reaction showed a wide functional group tolerance. The substrates with a methyl or n-butyl group on the nitrogen atom worked smoothly, providing the desired products in good to excellent yields. N-arylcinnamamides with an electron-donating substituent on the phenyl ring of the cinnamoyl group gave higher yields under the given conditions. N-arylcinnamamides substrates with alkyl substituents on the β-position of vinyl group gave the desired products in good yields. However, acrylamide substrates with a methyl group on both the α- and β-position of the vinyl group afforded a mixture of unidentified products. An epoxidation and subsequent Friedel-Crafts alkylation mechanism was proposed.
Figure 5.
The oxone-mediated direct arylhydroxylation of N-arylcinnamamides for the synthesis of hydroxyl-containing DHQOs.
3. Synthesis of DHQOs via Different Free Radicals Initiated Cyclization Reactions
3.1. Synthesis of DHQOs Using Carbon Center Free Radicals
3.1.1. Synthesis of DHQOs Using Alkyl Radicals
Carboxylic Acids as Alkyl Radical Precursors
Carboxylic acid is an easily obtained chemical raw material that is widely used in organic synthesis because of its stable nature and easy treatment. More importantly, in the presence of oxidants, carboxylic acids are easy to decarboxylate and produce alkyl radicals [29]. In 2014, Mai and co-workers reported the synthesis of DHQOs by the decarboxylation of N-arylcinnamamides and aliphatic carboxylic acid using AgNO3 as the catalyst, K2S2O8 as the oxidant, and MeCN/H2O (1:1) as the solvent (Figure 6) [30].
Figure 6.
The synthesis of DHQOs by the decarboxylation of N-arycinamamides with aliphatic carboxylic acids.
Various primary, secondary, and tertiary aliphatic carboxylic acids were tolerated in the reaction, delivering the desired trans-product in moderate to good yields with excellent diastereoselectivity. The mechanism showed that the reaction might undergo a free radical process. Firstly, Ag+ was oxidized by the S2O82− to produce Ag2+, sulfate radical anion, and sulfate anion. NO3− combined with a proton to produce HNO3. Then, Ag2+ obtained a single electron from carboxylic acid 14 to produce carboxylic radical 16, which further underwent a decarboxylation process to provide the alkyl radical 17. Then, 17 was added to the substrate 1 and further went through intramolecular cyclization to form intermediate 19. Finally, the sulfate radical anion abstracted a hydrogen from 19 for the final product 15.
In order to avoid the use of silver salts, a milder method for the synthesis of alkylated DHQOs was developed by Du’s group [31]. The inexpensive FeCl2·4H2O was used as a catalyst and DMF was used as the solvent in the reaction, and the peresters (or peroxides), easily prepared from aliphatic acids, were used as alkylating reagents and single electron oxidants (Figure 7). A series of alkylated DHQOs were obtained in moderate to excellent yields (up to 91%) with excellent diastereoselectivity (dr > 20:1). Peresters prepared from primary acids or secondary acids were effective for this reaction. However, the use of tertiary perester led to only a trace amount of isolated product due to steric hindrance. Peroxides also worked well under the given conditions, delivering the desired alkylated products with good diastereoselectivity. The mechanism showed that the reaction underwent a free radical process. The single-electron transfer (SET) from Fe(II) to perester resulted in the breaking of the O–O bond of perester to produce alkyl radical 22, CO2, and tBuO−. Then, 22 reacted with α,β-unsaturated amide 1 via a radical addition/cyclization and re-aromatization process for the final product.
Figure 7.
The FeCl2-catalyzed decarboxylative radical alkylation/cyclization of N-phenylcinnamamide for the preparation of DHQOs.
Alkyl Halides as Alkyl Radical Precursors
Alkyl halides are commercially available and accessible substrates and have been widely used in various organic reactions. The alkyl halides containing α,β-hydrogen might be suitable as alkyl radical precursors in the palladium-catalyzed difunctionalization of activated alkenes [32,33,34].
In 2016, Duan’s group developed a palladium-catalyzed alkylarylation of acrylamides with unactivated alkyl halides for the synthesis of DHQO and a variety of functionalized oxindoles [35]. PdCl2 was used as the catalyst, dppf (1,1′-bis(diphenylphosphino)ferrocene) was used as the ligand, and diglyme was used as the solvent (Figure 8). The N-methyl-N-phenylcinnamamide 1 reacted with cyclohexyl bromide to provide the desired trans-DHQO in a 39% yield. Mechanistic investigation revealed that this reaction underwent a cascade radical pathway.
Figure 8.
Pd-catalyzed alkylarylation of acrylamides with unactivated alkyl halides for the synthesis of dihydroquinolinone DHQOs.
Recently, excited-state palladium photocatalysis has become a powerful reagent for inducing single-electron transfer (SET) reactions involving unactivated alkyl C–X bonds (X = Br, I). The photoexcitation of Pd(0) is conducive to forming alkyl radical Pd(I) intermediate by the single-electron oxidative addition of alkyl C–X bonds [36,37]. In this regard, in 2021, Zhang’s group reported the visible-light-induced Pd-catalyzed intermolecular radical cascade reaction of N-phenylcinnamamide with cyclohexyl bromide for the preparation of DHQOs (Figure 9) [38]. The optimization results of test conditions showed that Xantphos (9,9-Dimethyl-4,5-bis(diphenylphosphino)xanthene) was proven to be the most suitable ligand and that Cs2CO3 was the best base for the reaction. N-arylcinnamamides bearing a -Cl or -Me group on the phenyl ring of the anilide group were found to be effective under the given conditions, and the corresponding products were smoothly afforded in moderate yields with good dr values.
Figure 9.
The visible-light-induced Pd-catalyzed intermolecular radical cascade reaction of N-phenylcinnamamide with cyclohexyl bromide for the preparation of DHQOs.
A free radical mechanism was proposed in Figure 10. Firstly, the Pd(0) complex underwent a single electron transfer process with cyclohexyl bromide under the condition of LEDS irradiation to produce the cyclohexane Pd(I) radical species. Then, cyclohexane radical 28 was added to the double bond of substrate 1 to generate intermediate 29, which underwent an intramolecular cyclization and deprotonation process to obtain the final product 27 and regenerate the Pd(0) catalyst.
Figure 10.
The mechanism of the Pd-catalyzed intermolecular radical cascade reaction of N-phenylcinnamamide with cyclohexyl bromide.
Hypervalent Iodine (III) Reagent (HIR) as Alkyl Radical Precursors
In the past decades, the strategic combination of transition-metal catalysts with hypervalent iodine(III) reagent (HIR) has been widely used in the bifunctionalization of olefins [39]. In 2020, Wang and co-workers described the rhenium-catalyzed alkylarylation of cinnamamides with PhI(O2CR)2 via a decarboxylation reaction for the synthesis of 3,3-disubstitued DHQOs using Re2(CO)10 as a catalyst (Figure 11) [40]. N-arylcinnamamides bearing electron-donating and electron-withdrawing substituents on the phenyl ring of the anilide group reacted smoothly with PhI(O2CiPr)2 to provide trans-DHQOs in moderate yields with excellent diastereoselectivity. The results showed that the different hypervalent iodine(III) reagents played an important role in diastereoselectivity. When PhI(OAc)2 was used under the given conditions, two different isomers 32f (8:1) were obtained in a 40% yield. The decrease of diastereoselectivity might be due to the lower steric hindrance of the methyl group in the product. However, when PhI(O2CtBu)2 was used as a reaction reagent, only trans-DHQO 32g was obtained in a lower yield due to the larger steric hindrance of the tBu group. The mechanism showed that the reaction underwent a free radical process. Firstly, the I–O bond in HIR broke to afford ionic species 33, then the rhenium catalyst transferred an electron to 33 to produce acyloxy intermediate 34, which further released CO2 to form isopropyl radical 35. Subsequently, 35 reacted with substrate 1 via radical addition, 6-endo cyclization, and re-aromatization processes to produce the product 32.
Figure 11.
The rhenium-catalyzed alkylarylation of cinnamamides with PhI(O2CR)2 via decarboxylation for the synthesis of 3,3-disubstitued DHQOs.
Aliphatic Aldehydes as Alkyl Radical Precursors
Aldehydes are cheap and easily available chemicals. They have great advantages to synthesize various organic compounds through the decarbonylation of aldehydes in the presence of oxidants [41,42]. In this regard, Yang and Pei’s groups developed an Fe-catalyzed decarbonylative cascade reaction of N-arylcinnamamides with aliphatic aldehydes for the synthesis of DHQOs (Figure 12) [43]. In this reaction, a series of iron salts, such as FeCl2, FeCl3, FeSO4, Fe2(SO4)3, Fe(acac)2, Fe(acac)3, FeBr2, and Fe(OAc)2·4H2O, were scanned, and Fe(acac)2 was the best choice. DTBP (di-tert-butyl peroxide) was used as the oxidant and PhCl was used as the solvent. The reaction showed a wide range of substrates. N-arylcinnamamides bearing electron-withdrawing or electron-donating substituents on the phenyl ring of the anilide group or cinnamoyl group were well tolerated, and the corresponding trans-3,4-disubstituted DHQOs could be obtained in good yields. The reaction showed excellent diastereoselectivity, and the sole trans-DHQOs were obtained in this transformation. The steric hindrance and electron effect of substituents were not obvious for this cascade reaction. Interestingly, when N-methyl-N-(pyridin-4-yl)cinnamamide was used as the substrate, the desired product 39h was obtained in a moderate yield. Different aliphatic aldehydes were also tested, and secondary and tertiary alkyl aldehydes worked well in this reaction. However, when a primary alkyl aldehyde was used as the reactant, a lower yield was observed due to the self-aldol condensation and the poor stability of the primary radicals. Electron-donating groups on the N atom, such as Me, Et, Ph, n-Bu, and Bn were effective. However, when the substrate had the Ac group on the N atom, the reaction failed to give the desired product. The mechanism study showed that the reaction involved a free radical process. Firstly, the iron catalyst accelerated the homolytic cleavage of DTBP to generate a tert-butoxy radical 40, which abstracted a hydrogen atom from aldehyde 38 to produce the radical intermediate 41. Then, radical 41 released CO to form isopropyl radical 42. Subsequently, 42 reacted with substrate 1 via radical addition, 6-endo-trig cyclization, and re-aromatization processes to obtain the final product 39.
Figure 12.
The Fe-catalyzed decarbonylative cascade reaction of N-arylcinnamamides with aliphatic aldehydes for the synthesis of DHQOs.
At the same time, Luo and Liu’s groups described a metal-free method for the synthesis of alkyl-substituted DHQOs through the cascade oxidative decarbonylative radical addition/cyclization of N-arylcinnamamides with aliphatic aldehydes in PhF (Figure 13) [44]. The advantage of this reaction was that no transition metal catalyst was used. The reaction also showed a wide range of substrates. The N-arylcinnamamides with electron-donating or electron-withdrawing substituents on the phenyl ring of the anilide group or cinnamoyl group were well tolerated, and the trans-DHQOs were obtained in moderate to good yields with excellent diastereoselectivity. N-Me and N-nBu-substituted N-cinnamamides reacted well in this transformation, affording the target products in moderate yields. However, the N-H substrate failed to obtain the expected product. Interestingly, when N-methyl-N-phenyl-3-(pyridin-2-yl) acrylamide was used as a substrate, the corresponding product 46f was obtained in a 62% yield. However, when oxygen heterocyclic acrylic amide was used, only trace product could be detected. A variety of aliphatic aldehydes were compatible in this reaction.
Figure 13.
A metal-free catalyzed method for the synthesis of alkyl-substituted DHQOs by the reaction of N-arylcinnamamides with aliphatic aldehydes in PhF.
Cyclohexanone Oxime Ester as Alkyl Radical Precursors
Recently, cyclohexanone oxime ester has been used in organic synthesis as a precursor of cyanoalkyl radicals [45].
In 2018, the copper-catalyzed cyclization of N-methyl-N-arylcinnamamides with cyclobutanone O-acyl oximes was developed by Guo’s group for the synthesis of cyanoalkylated DHQOs (Figure 14) [46]. N-methyl-N-arylcinnamamides with electron-withdrawing or electron-donating groups on the phenyl rings of the cinnamoyl group gave the desired trans-DHQOs in moderate to good yields. N-methyl-N-arylcinnamamides bearing a methoxyl group at the para position of the anilide moiety were also compatible in this reaction, delivering the desired product in a 51% yield. A reasonable reaction mechanism was proposed. Firstly, the Cu(I) catalyst transferred an electron to cyclohexanone oxime ester 47 to obtain the iminyl radical 49, which underwent β-scission to produce the cyanoalkyl radical 50. Then, the radical 50 reacted with substrate 1, producing intermediate 51, which was followed by intramolecular cyclization and was deprotonated to obtain the desired product 48.
Figure 14.
The Cu-catalyzed cyanoalkylarylation of N-arylcinnamamides with cyclobutanone oxime esters for the synthesis of DHQOs.
Organoboronic Acid as Alkyl Radical Precursors
Although trialkylboranes [47] and organotrifluoroborates [48] have been used as sources of alkyl radicals in organic chemistry, the development of directly commercially available alkyl boronic acids was relatively limited. Only a few studies used boronic acid as alkyl radical precursors, mainly because boronic acid has a high oxidation potential [49].
In 2018, Liu’s group described an alkylating method for the synthesis of alkyl-substituted DHQOs using cyclohexyl boronic acid as the cyclohexyl radical precursor and oxygen as the oxidant (Figure 15) [50]. The advantage of this reaction was that no transition metal catalyst was used. A series of N-methyl-N-arylcinnamamides were found to be effective substrates, and the corresponding alkylated trans-DHQOs were obtained in moderate to good yields with excellent chemoselectivity. Only anti-isomers of 3-cyclohexyl-1-methyl-4-aryl-3,4-dihydroquinolin-2(1H)-ones were observed under the given conditions. The mechanism showed that the reaction might undergo a free radical process. The reaction of cyclohexyl boronic acid and molecular oxygen produced the key cyclohexyl radical 56, which was added to olefin to further form radical intermediate 58 after cyclization. Subsequently, a hydrogen atom transferred (HAT) from 58 to 55 obtained product 54 and peroxyboronic acid, which led to the formation of boronic acid finally.
Figure 15.
The synthesis of alkyl-substituted DHQOs using cyclohexyl boronic acid as the cyclohexyl radical precursor and dioxygen as the oxidant.
Breaking C (sp3)-H Bonds as Alkyl Radical Precursors
Breaking various sp3 C–H bonds, such as C–H bonds of alkanes, C–H bonds adjacent to heteroatoms, benzyl and allyl C–H bonds, and carbonyl compounds, makes it easy to generate relatively stable free radicals.
In 2014, Mai’s group developed a metal-free protocol for the synthesis of 3,4-disubstituted dihydroquinolin-2(1H)-ones through the tandem cyclization of the reaction of N-arylcinnamamides with pentane-2,4-dione, using K2S2O8 as the oxidant and MeCN/H2O (3:3) as the solvent (Figure 16) [51]. The advantage of this reaction was that no transition metal catalyst was used. Both electron withdrawing and electron donating at the phenyl ring of cinnamic acid were well tolerated, and the corresponding trans-DHQOs could be obtained in moderate yields. Except for the methyl group, other groups, such as -Bz and -CH2CH2CN at the N atom (R2), were also investigated under the given conditions, and the reaction still proceeded well. Pyridine substituents in substrate 1 were also compatible in this reaction, delivering the desired product 60h in a 46% yield. When ethyl 3-oxobutanoate or 1-phenylbutane-1,3-dione were used as substrates, the expected products were not obtained.
Figure 16.
The tandem cyclization of N-arylcinnamamide with pentane-2,4-diones for the synthesis of DHQOs.
In 2014, Duan’s group developed a copper-catalyzed tandem method for the synthesis of dihydroquinolin-2(1H)-ones through the cascade radical addition/cyclization of N-arylcinnamamides with benzyl hydrocarbons (Figure 17) [52]. Cu2O was used as the catalyst and tert-butylperoxy benzoate (TBPB) as the oxidant. The reaction tolerated a series of substituted N-phenylcinnamamides and toluene derivatives, leading to the desired DHQOs in moderate to good yields. The sole trans-DHQO was obtained in this transformation. The mechanism study showed that the reaction underwent a free radical process. The homolytic cleavage of the TBPB in the presence of the Cu2O catalyst produced a tert-butoxyl radical 64, which abstracted a hydrogen from the toluene to generate the key benzyl radical 65. Then, the 65 reacted with substrate 1, producing the intermediate 66, which was followed by an intramolecular cyclization, single-electron oxidation, and a deprotonated process to obtain the final product. The excellent regioselectivity of the reaction might be attributed to the specific stability of 66.
Figure 17.
Copper-catalyzed tandem method for the synthesis DHQOs by the cascade radical addition/cyclization of N-arylcinnamamides with benzyl hydrocarbons.
Further, other types of substrates, such as cyclohexane, cyclopentane, 1,4-dioxane, tetrahydrofuran, and isopropanol, were all effective under the given conditions, and the corresponding products were obtained in moderate to good yields [52]. However, when cyclohexene was used as the substrate, only a trace amount of the desired product was observed (Figure 18).
Figure 18.
Copper-catalyzed tandem method for the synthesis of dihydroquinolin-2(1H)-ones by the cascade radical addition/cyclization of N-arylcinnamamides with ether, alcohols, and alkanes.
Recently, Zhang’s group developed the photo-induced oxidative radical cascade cyclization of N-methyl-N-arylcinnamamides with methanol at room temperature (Figure 19) [53]. The reaction avoided the use of expensive photocatalysts and was carried out under very mild conditions. The corresponding hydroxy-alkylated trans-DHQO was obtained in a 45% yield. A reasonable reaction mechanism was proposed. Under the irradiation of LEDs, (NH4)2S2O8 underwent homolytic cleavage to form sulfate radical anions, which abstracted the α-H from the methanol to obtain the hydroxyalkyl radical 72. Then, 72 reacted with substrate 1 via an addition/cyclization process to obtain intermediate 74, which was further oxidized by sulfate radical and deprotonated anion in the presence of Na2CO3 to obtain the desired product 71.
Figure 19.
Photo-induced C(sp3)–H functionalization for the synthesis of trans-DHQOs.
Liu’s group reported the novel palladium-catalyzed oxidative arylalkylation of alkenes to construct cyano-substituted oxindoles and DHQO using 2,2’-bipyrimidine 75 as the ligand, PhI(O2CtBu)2 as the oxidant, and AgF as the additive (Figure 20) [54]. It was found that the AgF was indispensable to the reaction, and AgF played a role in promoting the C(sp3)–H bond cleavage in acetonitrile. Only one example was reported for cyano-containing dihydroquinolinone. The desired trans-product 76 was obtained in a 77% yield.
Figure 20.
The palladium-catalyzed oxidative arylalkylation of alkenes to construct cyano-substituted oxindoles and 3,4-dihydroquinolin-2(1H)-one.
In 2018, Luo and Zhang’s groups described a silver-induced tandem radical addition/cyclization of N-arylcinnamamides in CH3CN for the synthesis of cyano-containing DHQOs (Figure 21) [55]. The reaction exhibited good functional group compatibility. The electron-withdrawing groups at the para position of the substrate 83 gave better results compared to that with the electron-donating groups. Different groups with the N atom (R2) were also investigated under the given conditions, and the N-phenyl-substituted substrate gave a yield of 61%. Interestingly, the unprotected or -Ts protected substrate on the N atom was also suitable for this reaction. Although lower yields of products were obtained, it was noteworthy that these products were not easy to obtain through the usual free radical addition/cyclization process. The mechanism indicated that the reaction underwent a free radical process. Firstly, CH3CN reacted with AgOAc to generate AgCH2CN species. There might be two pathways to produce radical 81. One was that AgCH2CN cleaved Ag(0) to form ·CH2CN, which was added to substrate 1 to produce 81. The other was that AgCH2CN was added to the double bond of 1 to provide intermediate 80, followed by a silver-induced formation of 81. Then, 81 further went through an intramolecular radical cyclization process to form the intermediate 82. Finally, 82 was oxidized by AgOAc to obtain the product 77.
Figure 21.
Silver-induced tandem radical addition/cyclization for the synthesis of DHQOs.
In 2018, Huang and Hu’s groups developed a Nickel-catalyzed reaction of N-arylcinnamamides with tertiary benzylamines via C–N bond activation for the synthesis of DHQOs (Figure 22) [56]. NiI2 and I2 were used as catalysts, 9,9-dimethyl-4,5-bis(diphenylphosphino)xanthene 84 was used as the ligand, and anisole was used as the solvent. Tertiary benzylamine 1 with different substituents on the phenyl ring worked well, leading to the six-membered ring DHQO 85 in good to excellent yields. Apart from phenyl-substituted amines, naphthyl-substituted amines and thienyl- substituted amines were also compatible in this reaction, providing the corresponding products in good yields. The reaction went through a free radical reaction process. Firstly, tertiary benzylamines reacted with I2 to form the amine-I2 charge-transfer complex 86, which extracted a single electron from Ni(0) to generate benzyl radical 87. Then, 87 reacted with substrate 1 and underwent an addition/cyclization process to produce intermediate 89. Finally, 89 was oxidized by Ni(I) via single-electron transfer (SET) to obtain product 85 and regenerate the Ni(0)-catalyst.
Figure 22.
Nickel-catalyzed tandem radical addition/cyclization for the synthesis of DHQOs.
3.1.2. Synthesis of DHQOs Using Fluoroalkyl Radicals
Using CF3SO2Na or HCF2SO2Na as Fluorine Sources
Trifluoromethyl-substituted organic compounds have been widely used in medicine, pesticides, and materials. Therefore, it is of great research value to develop efficient and practical synthetic methods to prepare trifluoromethyl-substituted organic compounds. Langlois’ reagent (CF3SO2Na) is a stable and cheap free radical trifluoromethylation reagent. It has been widely used in the trifluoromethylation reaction of olefins and aromatics in recent years [57,58]. Under oxidation conditions, the reagent usually undergoes single electron transfer, resulting in C–S bond breaking to generate trifluoromethyl radicals and SO2. Therefore, in organic synthesis, it can be used as a donor of trifluoromethyl radical to realize diversified trifluoromethylation conversion. In 2014, Mai and co-workers described the silver-catalyzed method for the synthesis of CF3-containing trans-DHQOs using the CF3SO2Na as a donor of trifluoromethyl radical sources (Figure 23) [30]. AgNO3 was used as the catalyst, K2S2O8 was used as the oxidant, and CH3CN/H2O (1:1) was used as the solvent. Various N-arylcinnamamides reacted smoothly with CF3SO2Na, affording the desired trifluoromethylated products in moderate yields with excellent diastereoselectivity. However, when (E)-1-(3,4-dihydroquinolin-1(2H)-yl)-3- phenylprop-2-en-1-one was used as the substrate, the mixture products 91f and 91f′ were obtained as two stereoisomers under the same reaction conditions.
Figure 23.
Silver-catalyzed method for synthesizing CF3-containing DHQOs using CF3SO2Na as the CF3 radical source.
In 2019, Deng and coworkers reported the metal-free, air oxidation difluoromethylation of N-methyl-N-phenylcinnamamide using Eosin B as the photocatalyst and HCF2SO2Na as the difluoromethyl source (Figure 24) [59]. Only one example of synthesizing DHQO was reported. The HCF2-containing DHQO 93 was obtained in a 33% yield. A plausible photo-induced reaction mechanism was proposed. Firstly, the excited Eosin B* species was formed under the irradiation of white LED light; then, an electron was transferred from HCF2SO2Na to [Eosin B]* to produce [Eosin B]•- and difluoromethyl radical 95. After that, 95 reacted with substrate 1 by an addition/cyclization process to afford intermediate 97. One electron was transferred from [Eosin B]•- to O2 to obtain the peroxide radical anion (O2•−) and regenerate the Eosin B catalyst. Then, 97 was oxidized by the peroxide radical anion (O2•−) and deprotonated to obtain product 93. In the ESR experiment, the species of peroxide radical anion was observed, which further proved the rationality of this mechanism.
Figure 24.
A white LED light-induced reaction of N-arylacrylamides with HCF2SO2Na using the Eosin B as photocatalyst.
In 2019, Ruan and coworkers developed the electrochemical di- and trifluoromethylation/cyclization of N-substituted N-arylcinnamamide for the synthesis of trans-DHQOs (Figure 25) [60]. The reaction was performed in an undivided cell equipped with a graphite anode and a Ni plate cathode by using nBu4NPF6 as the electrolyte under a constant current of 4 mA and MeCN as the reaction solvent. Control experiments showed that the reaction might undergo a free radical process. Firstly, CF3SO2Na lost one electron on the anodic to generate intermediate 101, which further released SO2 to produce the trifluoromethyl radical 102. Then, 102 reacted with N-methyl-N-(p-tolyl)cinnamamide 1 to generate intermediate 104 through an addition/cyclization process. Then, 104 underwent anodic oxidation to generate intermediate 105, which was deprotonated to obtain the desired product 106.
Figure 25.
The di− and trifluoromethylation/cyclization of N-substituted acrylamides for the synthesis of DHQOs by an electrochemical method.
Using Ph3PCH2FI as Fluorine Sources
Although precious metal catalysts and photocatalysts have been widely used in organic synthesis, it is still necessary to develop protocols using non-photocatalysts and transition metal catalysts due to the fact that these catalysts inevitably produce pollutants. In 2021, Chen and Wang’s groups developed a simple photolysis procedure to realize Monofluoromethylated quinolin-one (Figure 26) [61].
Figure 26.
The blue LED light-induced mono-luoromethylation of phenylcinnamamide using phosphonium salt 107 as the fluorine source.
In this transformation, Monofluoromethylated quinolin-one was obtained in a 52% yield with a 88:12 dr ratio. This strategy avoided the use of oxidants and photocatalysts, promoting SET to generate the corresponding CH2F radicals by using the σ-hole effect of phosphonium salt 107 because of its lower reduction potential and much lower stability than its similar CHF2 and CF3 groups. Hence, this reaction provided a new strategy to produce a CH2F radical by a simple method.
Using Togni’s Reagents as Fluorine Sources
Togni’s reagent is a kind of trifluoromethylation reagent with high reactivity. It has been widely used to synthesize trifluoromethyl-containing organic compounds [62,63,64]. In 2015, a copper-catalyzed method was developed by Wang and co-workers for the synthesis of trifluoromethylated DHQOs by the cascade radical addition/cyclization of N-phenylcinnamamides with Togni’s reagents using CuI as the catalyst and CHCl3 as the solvent (Figure 27) [65]. The reaction showed a wide functional group tolerance. Different N-substituted groups, such as Me, Et, i-Pr, Bn, t-butyloxycarbonyl (Boc), and CH2COOEt, were compatible with this reaction, and the desired trans-products were obtained in moderate to good yields. However, when the N-Ts(N-para-toluenesulfonyl) protected substrate was tested, almost no target product was obtained. N-Arylcinnamamides bearing an electron-withdrawing substituent on the phenyl ring of the cinnamoyl group, such as -F, -CF3, -CN, or Br groups, in the ortho, meta, or para position worked well under the given conditions, affording the expected products in good yields. However, N-arylcinnamamides with electron-donating substituents on the phenyl ring of the anilide group mainly provided by-products of oxytrifluoromethylation, along with low yields of cyclization products. The substrates with two electron-donating substituents in the aniline ring afforded the higher yields compared to those substrates with no substituent or only one methoxy substituent. A reasonable reaction mechanism was proposed in Figure 27. Initially, CuI reacted with Togni’s reagents to generate a trifluoromethyl radical, and then the trifluoromethyl radical was added to the double bond of substrate 1 to produce free radical intermediate 113. Further, 113 was oxidized to carbocation 114 by Cu(II) via a single electron transfer process. Finally, 114 underwent an intramolecular electrophilic cyclization and deprotonation process to obtain the final product 110. However, 114 was attacked by 2-iodobenzoate, obtaining the oxytrifluoromethylation byproduct 111 via a nucleophilic addition process.
Figure 27.
A CuI-catalyzed protocol for the synthesis of trifluoromethylated DHQOs.
In 2015, Xia and his colleagues developed the visible-light induced cascade reaction of N-arylcinnamamides with Togni’s reagent for the synthesis of CF3-containing 3,4-disubstituted DHQOs and 1-azaspiro[4,5] decanes using fac-Ir(ppy)3 as the photocatalyst (Figure 28) [66]. The substituent of N-arylcinnamamides affected the final product. The N-arylcinnamamides with different groups, such as Me, Cl, Br, and F, on the para position of the anilide group were tolerated under the reaction conditions, providing the dihydroquinolinones in moderate yields. However, when the para position of the anilide group was substituted by the -OH or -OTBS group, 3,4-disubstituted 1-azaspiro[4,5] decanes were obtained in moderate to good yields. Ortho-Me substituent on the para-position of the anilide group obtained the relatively lower yield due to steric hindrance. Substrates with different N-protecting groups, such as Me, Et, Ph, and Bn, were effective under the given conditions and provided the desired products in moderate to good yields. A plausible mechanism was described in Figure 28. Firstly, the excited state [fac-IrIII (ppy)3]* was generated under the irradiation of blue LEDs. Then, [fac-IrIII(ppy)3]* transferred an electron to Togni’s reagent, which led to the trifluoromethyl radical and generated the fac-IrIV(ppy)3 species. Subsequently, the trifluoromethyl radical was added to the double bond of substrate 1 to generate the radical intermediate 118, which was further cyclized by the different processes to produce the intermediate 119 and 121. Finally, 119 or 121 was oxidized by fac-IrIV(ppy)3 and lost H+ or R+ to obtain the desired product 116 or 117.
Figure 28.
Visible light-induced reaction of N-arylcinnamamides with Togni’s reagent for the synthesis of CF3-containing 3,4-disubstituted DHQOs and 1-azaspiro[4,5] decanes. (* represents the excited state).
Using BrCF2COOEt as a CF2 Source
Except for Togni’s reagent, BrCF2COOEt has been widely used as a CF2 source in organic synthesis [67,68]. A visible light-induced method was also developed by Zhu’s group for the synthesis of HCF2COOEt-containing 3,4-disubstituted trans-DHQOs and 1-azaspiro[4,5]decanes (Figure 29) [69].
Figure 29.
Visible light-induced cascade reaction of N-arylcinnamamides for the synthesis of HCF2COOEt-containing 3,4-disubstituted DHQOs and 1-azaspiro[4,5]decanes.
It has been found that the position of the substituent on the cinnamic ring had a great influence on diastereoselectivity. When the cinnamic ring had a meta or ortho substituent, two pairs of enantiomers could be observed due to steric hindrance. When there was no or only one para substituent on the cinnamic ring, only trans diastereoisomers were obtained. For the para position-substituted anilines with the F or CF3 group, the reaction also worked well, providing the desired products in good yields. However, for the para-position of anilines substituted by the OH or OCH3 group, 3,4-disubstituted 1-azaspiro[4,5]decanes 124 were obtained in moderate yields.
3.1.3. Synthesis of DHQOs Using Chloroalkyl Radicals
Chloromethyl groups are found in many bioactive natural products. The introduction of chloromethyl into organic molecules is of great significance for the synthesis of diverse organic molecules. A Cu-catalyzed cross-dehydrogenative coupling of N-arylcinnamamides with chloroform was developed by Yu and coworkers using tert-butyl peroxybenzoate as the oxidant (Figure 30) [70]. Trichloromethyl-substituted DHQOs were obtained in a 78% yield. This mechanism indicated that the trichloromethyl radical might be involved in this cyclization process.
Figure 30.
Copper-catalyzed cross-dehydrogenative coupling of N-arylcinnamamides with chloroform for the synthesis of DHQOs.
Tang and co-workers developed the Mn(OAc)3-mediated radical dichloromethylation of arylacrylamides or N-phenylcinnamamide for the preparation of chloro-containing oxindoles or DHQO (Figure 31) [71]. When N-methyl-N-phenylcinnamamide was used, the desired trans-DHQO was obtained in a 39% yield. The cheap and easily prepared Mn(OAc)3·2H2O was used in this reaction. The reaction mechanism was manganese (III)-o-tolylboronic acid-mediated radical oxidative dichloromethylation and cyclization of N-phenylcinnamamide with dichloromethane.
Figure 31.
Mn(OAc)3-mediated radical dichloromethylation of N-phenylcinnamamide for the preparation of chloro-containing DHQOs.
3.1.4. Synthesis of DHQOs Using Acyl Radicals
In 2015, Wallentin and coworkers reported a visible-light photocatalytic tandem acylarylation of olefins by using carboxylic acids as acyl radical precursors for the synthesis of different heterocyclic compounds (Figure 32) [72]. When N-phenylcinnamamide reacted with benzoic acid in the presence of the fac-Ir(ppy)3 photocatalyst, 2,6-lutidine, and DMDC (dimethyl dicarbonate) under visible-light irradiation, the corresponding trans-DHQO was obtained in a 32% yield. The mechanism showed that the reaction underwent a free radical process. Benzoic acid reacted with dimethyl dicarbonate (DMDC) to form a mixed anhydride intermediate 138, which could be transferred to key acyl radical 140 through a single-electron reduction pathway, along with CO2 and methanoate as byproducts.
Figure 32.
Photo-induced C(sp3)–H functionalization for the synthesis of DHQOs.
In 2014, Mai and co-workers developed a silver-catalyzed protocol for the synthesis of trans-3-acyl-4-aryldihydroquinolin-2(1H)-ones or 3-acyl-4-arylquinolin-2(1H)-ones via the intermolecular radical addition/cyclization of N-phenylcinnamamide with α-keto acids in CH3CN/H2O media (Figure 33) [73]. It was found that 3-acyl-4-aryldihydroquinolin-2(1H)-ones 144 or 3-acyl-4-arylquinolin-2(1H)-ones 145 could be selectively obtained by adjusting the amount of K2S2O8. The reaction showed a wide range of substrates. Electron-withdrawing and -donating substituting groups on the phenyl ring of cinnamic acid worked well, affording the corresponding products in moderate yields. Different protective groups on the nitrogen atom, such as -Me, -Bn, and -CH2CH2CN, were effective in this reaction, providing the final products in moderate yields. Both aliphatic and aromatic keto acids were compatible in this reaction.
Figure 33.
A silver-catalyzed protocol for the synthesis of DHQOs or quinolin-2(1H)-ones via the intermolecular radical addition/cyclization of N-phenylcinnamamide with keto acids.
At the same time, a similar result was reported by Duan’s group [74]. In this transformation, the decarboxylation coupling/cyclization reaction occurred using acetone/H2O as the solvent under much milder conditions (Figure 34).
Figure 34.
A silver-catalyzed protocol for the synthesis of DHQOs via the radical addition/cyclization of N-phenylcinnamamide with keto acids.
The reaction showed a broad substrate scope and excellent functional group tolerance. A variety of valuable substituted dihydroquinolinones could be easily obtained in moderate to excellent yields with high stereoselectivity. When free radical scavengers such as 2,2,6,6-tetramethylpiperidine oxide (TEMPO) and butylated hydroxytoluene (BHT) were added to the reaction under the standard conditions, the reaction was significantly inhibited, which indicated that the reaction might undergo a free radical reaction process. Ag (I) transferred one electron to keto acid to obtain free radical intermediate 144, which was further decarboxylated to obtain the key acyl radical 140. Then, 140 reacted with substrate 1 via a radical addition/cyclization and re-aromatization process to obtain the final product 147. This high stereoselectivity could be explained by the intermediate 146, which led to the trans-isomer due to minimizing the strain of benzoyl and phenyl groups on the six-membered ring.
In 2015, a metal-free catalyzed method was reported by Mai and co-workers for the synthesis of trans-3-acyl-4-aryl-substituted DHQOs by the cascade radical addition/cyclization of N-arylcinnamamides with aldehyde (Figure 35) [75]. In this reaction, TBAB (tetrabutylammonium bromide) was used as the catalyst, and K2S2O8 was used as the oxidant. Different solvents, such as DCE, DMF, CH3CN, EtOAc, dioxane, and EtOH, were tested for this transformation, and DCE gave the best results. The reaction also showed a wide range of substrates. The substrate scope revealed that the aromatic aldehyde bearing electron-donating groups gave a higher yield than those with electron-withdrawing groups on the phenyl ring. When the aromatic aldehydes with strong electron-withdrawing groups, such as -CF3 and -NO2, were used as substrates, no desired products were detected. Except for aromatic aldehydes, aliphatic aldehydes such as acetaldehyde and propyl aldehyde were also compatible in this reaction, affording the target products in moderate yields. The N-arylcinnamamides with electron-donating and electron-withdrawing groups on the various positions on the phenyl ring of the cinnamoyl group were tolerated in this reaction, delivering the corresponding trans-DHQOs in moderate yields. A possible mechanism was proposed. Firstly, using the catalyst of TBAB, the homolytic cleavage of the S2O82- produced the sulfate radical anions. Then, the sulfate radical anion abstracted a hydrogen atom from aldehyde to generate acyl radical 140. Subsequently, 140 reacted with substrate 1 via a radical addition, 6-endo-trig cyclization, and re-aromatization process to obtain the final product 149.
Figure 35.
n-Bu4NBr catalyzed method for the synthesis of 3-acyl-4-aryl-substituted DHQOs by the cascade radical addition/cyclization of N-arylcinnamamides with aldehyde.
Oxime esters have been widely used as important building blocks in the synthesis of nitrogen-containing compounds [76]. In 2019, Fan and co-workers developed a photocatalytic method for the C–C bond activation of oxime ester to generate an acyl radical using fac-Ir(ppy)3 as the catalyst under mild conditions (Figure 36) [77]. Only one example was reported, in which trans-DHQO 153 was obtained in a 34% yield. A free radical mechanism was involved in the reaction process. Under the irradiation of a blue LED light, the photocatalyst fac-Ir(ppy)3 was converted to the excited state [fac-Ir(ppy)3] *, which further transferred an electron to oxime ester 151, leading to the N–O bond of oxime ester being dissociated to form iminyl radicals, which underwent fast C–C bond homolysis and the elimination of 1 molecule of CH3CN to produce the key acyl radical 154. Next, the addition of 154 to substrate 1 gave the radical intermediate 155, which further underwent an intramolecularcyclization process to form intermediate 156. Finally, 156 was oxidized by the Ir(V)+ species to obtain product 153 and regenerate the Ir(III) catalyst.
Figure 36.
A photocatalytic strategy for the synthesis of DHQO from N-methyl-N-arylcinnamamides with oxime ester.
3.2. Synthesis of DHQOs Using Phosphorus-Containing Free Radicals
Phosphorus-containing compounds widely exist in organic compounds, such as drugs, natural products, and materials [78,79]. In 2016, a silver-catalyzed cascade cyclization of cinnamamides with diphenylphosphine oxide was developed by Zhu’s group for the synthesis of DHQOs (Figure 37) [80]. Different silver salts, such as AgNO3, Ag2CO3, and AgOAc, were screened, and AgNO3 gave the best results. Mg(NO3)2·6H2O was a more effective additive, and 0.3 equiv was found to be the ideal amount for the use of the additive. MeCN was the most suitable solvent, and the optimized reaction temperature was 100 °C. A broad range of N-Arylcinnamamides bearing electron-donating and electron-withdrawing groups were well tolerated under the given conditions, providing the corresponding trans-DHQOs 158 in moderate to good yields. Different N-substituted groups, such as Me, Et, iPr, nBu, and Bn, were compatible in this reaction, and the desired products were obtained in moderate to good yields. When radical inhibitor 2,2,6,6-tetramethylpiperidine oxide (TEMPO) was added to the reaction system, the reaction was significantly inhibited, indicating that the reaction experienced a free radical process. The key phosphonyl radical 159 was formed through the reaction of P(O)H compound 157 with Ag(I) salt. The products could be transferred through the demethylation process, providing N-H DHQOs.
Figure 37.
Silver-catalyzed cascade cyclization of N-arylcinnamamides with diphenylphosphine oxide for the synthesis of DHQOs.
3.3. Synthesis of DHQOs Using Sulphur-Containing Free Radicals
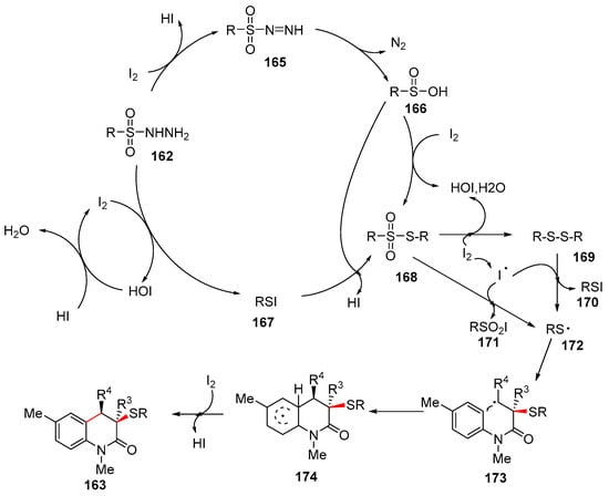
In 2015, Wang and Tian reported the tandem sulfenylation/cyclization of N-arylacrylamides with sulfonyl hydrazides in the presence of iodine for the selective synthesis of 3-(sulfenylmethyl)oxindoles and 3-sulfenyl-substituted DHQOs (Figure 38) [81]. In this reaction, iodine played multiple roles as an oxidant, a reductant, and a radical initiator. β-substituted N-arylacrylamides reacted with sulfonyl hydrazides, followed by 6-endo-trig cyclization, to afford 3-sulfenyl-substituted DHQOs in good yields. A reasonable reaction mechanism is proposed in Figure 39. At the beginning, sulfonyl hydrazide 162 reacted with I2 to obtain sulfinic acid 166 and sulfenyl iodide 167. There are be two pathways to producing thiosulfonate 168. One was that sulfinic acid 166 was reduced by I2 to form thiosulfonate 168. The other was that 166 nucleophilicly attacked sulfenyl iodide 167 to obtain 168. Further, 168 was reduced by I2 to obtain disulfide 169. After that, both 168 and 169 were attacked by an iodine radical generated from iodine upon heating to obtain sulfenyl radical 172, which reacted with α,β-unsaturated amide 1 via a radical addition/cyclization and re-aromatization process to obtain the final product 163.
Figure 38.
The tandem sulfenylation/cyclization of N-arylacrylamides with sulfonyl hydrazides for the synthesis of 3-sulfenyl-substituted DHQOs.
Figure 39.
The mechanism for the synthesis of 3-sulfenyl-substituted DHQOs.
Sulfonates and sulfonic acids have been widely used in organic synthesis, material science, natural products, and pharmaceutical chemistry [82]. In this context, in 2022, Mn(OAc)3·2H2O-promoted radical sulfonation from N-phenylcinnamamides and potassium metabisulfite (K2S2O5) was developed by Liang’s group for the synthesis of sulfonyl-containing DHQOs (Figure 40) [83]. The substrate scope revealed that withdrawing groups at the para position of the anilines obtained excellent yields. The electron-donating or -withdrawing groups on the aromatic ring of the cinnamoyl group that was located at the beta-position of double bonds were well tolerated, affording the corresponding products in excellent yields. The sulfonyl-containing substituted DHQOs could be further converted to aldehyde 177 in DMF. This reaction probably proceeded via the elimination of sulfonyl moiety followed by the in situ Vilsmeier–Hack formylation.
Figure 40.
Mn(OAc)3-promoted radical sulfonation of N-arylcinnamamide for the preparation of DHQOs.
3.4. Synthesis of DHQOs Using Selenyl Free Radicals
In the past few years, electrochemistry has become an attractive method in the field of organic synthesis due to its environmental friendliness and practicality. Because of the use of electrons as oxidation or reduction reagents, synthetic electrochemistry can achieve oxidation and reduction reactions without the need for transition metal catalysts or toxic reagents.
In this regard, in 2020, Chen and coworkers successfully developed an electrochemical approach for the synthesis of functionalized DHQOs 179 through the cascade selenylation/cyclization of N-arylcinnamamides with diphenyl diselenide 178 (Figure 41) [84]. The reaction was performed in an undivided cell equipped with a platinum anode and an Fe plate cathode by using nBu4NPF6 as the electrolyte under a constant current of 8 mA and MeCN as the solvent. An evaluation of substrate scope revealed that a series of substituted N-arylcinnamamides were smoothly converted to the selenylated trans-DHQOs in moderate to good yields with excellent diastereoselectivity.
Figure 41.
Cascade selenylation/cyclization of N-arylcinnamamides with diphenyl diselenide for the synthesis of functionalized DHQOs.
A possible mechanism is proposed in Figure 42. PhSeSePh lost one electron on the anodic to form the selenium free radical 181 and selenium cation 182. The selenium free radical 181 was added to the double bond of substrate 1 to generate radical intermediate 183, which underwent an intramolecular cyclization to lead to radical intermediate 184. Finally, 184 underwent anodic oxidation and deprotonation to produce the final product 179 (path a). In another way, selenium cation 182 was added to the double bond of substrate 1 to generate the cation intermediate 186, which underwent intramolecular cyclization and deprotonation, leading to the formation of product 179 (path b). The excellent regioselectivity of the reaction might be attributed to the specific stability of radical intermediate 183 and cation intermediate 186.
Figure 42.
An electrochemical protocol for the synthesis of DHQO via the tandem cyclization of N-arylcinnamamide with diselenides.
In 2021, Pan’s group also reported an electrochemical protocol for the construction of a C–Se bond via the tandem cyclization of N-arylcinnamamide with diselenides (Figure 42) [85]. In this transformation, platinum plates were used as anodes, graphite rods were used as cathodes, nBu4NPF6 was used as the electrolyte under a constant current of 15 mA, and CH3CN/1,1,1,3,3,3-hexafluoro-2-propanol (HFIP) was used as the co-solvent. The following example was reported: the 1-methyl-4-phenyl-3-(phenylselanyl)- 3,4-dihydroquinolin-2(1H)-one 180 was obtained in a 35% yield along with the formation of 1-methyl-4-phenylquinolin-2(1H)-one 187 with a yield of 50%.
4. Synthesis of DHQOs Using Photoredox Cyclization
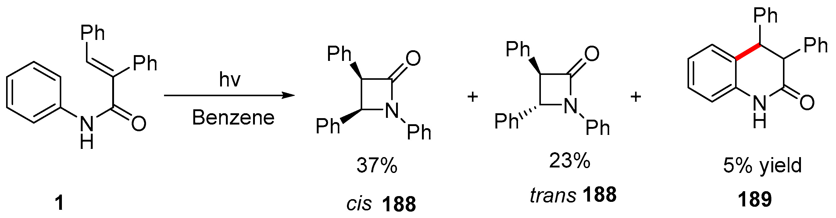
The photocyclization of substituted N-aryl-acrylamides 1 to the corresponding DHQO 190 was first described by Chapman and coworkers [86]. The mixed products were obtained, and only a 5% yield of DHQO was obtained (Figure 43).
Figure 43.
The photocyclization of substituted N-aryl-acrylamides 1 to the corresponding DHQO.
In 2009, Sivaguru and coworkers reported the 6π-photocyclization of o-tert-butylacrylanilides for the synthesis of DHQO using high-energy UV light stimulation with high pressure Hg lamps. Interestingly, the N-Me-substituted o-tert-butylacrylanilides cyclized at the ortho-position, bearing the tert-butyl with the loss of 2-methylpropene; however, when N-H substituted substrates were used, the cyclization reaction occurred at the unsubstituted ortho-position [87] (Figure 44).
Figure 44.
Photocyclization of substituted N-aryl-acrylamides 1.
In 2021, Huang and Ji’s groups reported a visible light-induced photocatalytic system for the synthesis of oxindoles by the intramolecular hydroarylation of N-arylacrylamides with high 5-exo-trig selectivity (Figure 45). Ir(dF(CF3)ppy)2(dtbpy)PF6 191 was used as the photocatalyst. A small amount of DHQO was determined by the GC analysis [88].
Figure 45.
The photocyclization of substituted N-aryl-acrylamides 1 for the synthesis of oxindoles and DHQOs.
Hence, developing a general and simple system was still desired for the preparation of DHQOs. In this regard, in 2021, Chi and co-workers developed a photo-induced 6π cyclization of N-arylacrylamides for the synthesis of DHQOs using luminescent platinum (II) complex Pt-2 192 as the photocatalyst (Figure 46) [89]. It was found that additives played a very important role in this reaction. Inorganic bases, such as Cs2CO3, Na2CO3, K2CO3, and K3PO4, as additives could dramatically improve the product yield. The reaction showed a broad substrate scope and good functional group compatibility. Substrates with both electron-withdrawing and electron-donating substituents on the para-position of the anilide group were well tolerated, providing the corresponding DHQOs in 30–99% yields. Although N-arylamides bearing meta substituents on the phenyl ring of the anilide group exhibited good reactivity as well, a mixture of products was obtained, albeit with poor regioselectivity. Substrates with other alkyl and aromatic substituents on nitrogen atoms were also effective in this transformation. Substrates with a phenyl group at the α and β position of N-arylamides also afforded products in good yields. Heteroaromatic substrates such as quinoline, benzothiazole, 1,2,3,4-tetrahydroquinoline, and indoline worked well under the given conditions, providing the desired products in good to excellent yields. Further applying this method to the total synthesis of natural products (+)-SIPI6360 was realized [90].
Figure 46.
The photo-induced 6π cyclization of N-arylacrylamides for the synthesis of DHQOs.
Although the use of expensive metal catalysts has achieved great success, there is still a strong desire for chemists to develop a metal-free method for these important transformations due to people’s attention to environmental issues and saving synthetic costs. In 2021, Petersen’s group described a thioxanthone-catalyzed method for the synthesis of DHQOs via a 6π-photocyclization process (Figure 47) [91].
Figure 47.
A thioxanthone-catalyzed method for the synthesis of DHQOs via a 6π-photocyclization process (* represents the the excited state).
In this transformation, three thioxanthones (TX) catalyst (2-chloro-9H-thioxanthen-9-one 195a, 2-iodo-9H-thioxanthen-9-one 195b, and 2-isopropyl-9H-thioxanthen-9-one 195c) were tested, and 195a gave the best choice. N-methyl-N-phenylacrylamide, bearing electron-withdrawing or electron-donating substituents on the phenyl ring of the cinnamoyl group, such as -F, -Cl, -Br, -I, or -OMe, was well tolerated using 195a as a catalyst, providing the target products in good yields. However, substrates with strong electron-withdrawing groups on the phenyl ring of the anilide group gave poor yields. N-methyl-2-phenyl-N-(pyridin-2-yl) acrylamide also reacted smoothly with a good yield. Variations of the aromatic groups at the 3-position were also well tolerated, affording the desired products in good to excellent yields. Switching the aromatic substitution to the 4- position, only a 32% isolated yield was obtained with a 1:2 E/Z ratio. A proposed mechanism is shown in Figure 47. Under the light irradiation, the ground state 2-TX was transferred to the excited state 12-TX*, which further underwent internal conversion and rapid intersystem crossing (ISC) to produce its triplet state 32-TX*. Then, 32-TX* transferred the energy to substrate 1 via a triplet energy transfer (TET) process to produce the triplet state of substrate 197 and to return the catalyst to its ground state 2-TX. Subsequently, 197 went through a 6π-electrocyclization to obtain intermediate 198, which transferred product 200 either by a direct [1,5]-H shift process or via a two-step re-aromatization–tautomerization process. The mechanism of free radicals might also be involved in the photochemical process [92,93].
In 2022, Huang and Ji’s groups developed a visible light-induced photoredox cyclization of N-arylacrylamides for the synthesis of DHQOs (Figure 48) [94]. 4CzIPN (1,2,3,5-tetrakis(carbazol-9-yl)-4,6-dicyanobenzene) was used as a photosensitizer, and acetonitrile was used as reaction solvent. Cinnamamides bearing different groups in the para position on the phenyl ring of the cinnamoyl group were tolerated under the given conditions, affording the expected products in good to excellent yields. 2-phenylacrylamides reacted smoothly to obtain 3-arylquinolinone derivatives in moderate to excellent yields. N-methyl-N-aryl-2-methyl-acrylamides with electron-donating groups on the anilide group gave better results. Substrates derived from 1-naphthylamine and 2-naphthylamine showed high reactivity. Firstly, under the visible light irradiation, the triplet state of substrate 205 was generated via triplet energy transfer (TET) from the photosensitizer. Then, the addition to the aniline moiety generated the 1,4-diradical intermediate 206, which underwent an internal conversion and rapid intersystem crossing (ISC) to generate intermediate 207, followed by the process of deprotonation to obtain the desired product (path a). Alternatively, the [1,3]-H shift of 206 proceeded to form the triplet state of intermediate 208, which further underwent an internal conversion and rapid intersystem crossing (ISC) process to obtain the final product 204 (path b).
Figure 48.
A visible light-induced photoredox cyclization of N-Arylacrylamides for the synthesis of DHQOs using 4CzIPN as the catalyst.
The application of 6π-photocyclization methods was also applied for the synthesis of DHQOs in the field of asymmetric synthesis. A thiourea/urea catalytic method for the 6π-photocyclization of acrylanilides has been reported for the synthesis of DHQO [95]. However, poor enantioselectivity was observed in this reaction. Recently, the application of the “axial to point chirality transfer” strategy has been shown to be effective for the synthesis of DHQOs with high enantioselectivity [96,97,98]. However, the substrate scope was limited. In 2023, the catalytic enantioselective 6π-photocyclization of acrylanilides was developed by Paton and Smith’s groups using Ir((5-CF3)(4′-t-Bu)ppy)3 211 as the photocatalyst in the presence of Sc(OTf)3 and chiral ligand (Figure 49) [99]. In this reaction, a chiral Lewis acid complex that was generated through the reaction of Sc(OTf)3 with a chiral ligand, played a very important role and could enable selective energy transfer from a photosensitizer to facilitate enantioselective triplet state reactions. Three benzothiazole-containing photocatalysts, such as Ir(phbt)2acac 212 Ir((4-F)phbt)2 acac 213, and Ir((4-CF3)phbt)2acac 214), were also used in this reaction, but low yields were obtained (8–33%). A series of substituted DHQOs were obtained in moderate to excellent yields with high diastereoselectivity and enantioselectivity. The acrylanilides with various alkyl groups on the N atom, such as Me, Bn, n-Pr, isobutyl, allyl, and PMB, were well compatible with the reaction. By introducing a 3-substitued group on the aniline ring, cyclization onto the ortho position was viable, resulting in the formation of two regioisomers. For the para-position substituted anilines with a variety of functional groups, the substrates bearing electron-donating substituents gave higher yields under the given conditions.
Figure 49.
Catalytic enantioselective 6π-photocyclization of acrylanilides using Ir((5-CF3)(4′-t-Bu)ppy)3 as the photocatalyst in the presence of chiral Lewis acid complexes.
5. Conclusions
The synthetic methods of 3,4-dihydroquinolin-2(1H)-one derivatives were reviewed in this paper. Using α,β-unsaturated N-arylamide as the key substrate by applying simple and mild reaction conditions to synthesize 3,4-dihydroquinoline-2 (1H)-one is an effective strategy. In these synthesis methods, the application of electrophilic cyclization reaction, free radical initiated cyclization, and 6π photochemical cyclization provides a sustainable choice for the synthesis of 3,4-dihydroquinoline-2 (1H)-one.
Despite that significant progress has been made in this field and that it has shown its potential application, there are still some key problems to be solved in this field: (1) the development of efficient photochemical catalysts and high regioselective synthesis methods is still in demand; (2) the development of green synthesis protocols by using non-toxic organic reagents is still a challenging area for the synthesis of organic molecules with biological activity; (3) the expansion of the field of asymmetric synthesis to synthesize chiral molecules and natural products with pharmaceutical activity has a broad space. Therefore, it is a long-term development goal in this field to design new and cheap catalytic systems and to apply them to the synthesis of natural products, functional materials, and drug molecules under mild conditions.
Author Contributions
The manuscript was written by Y.-N.N., L.-S.T., H.-Z.L. and P.-G.L. gave advice and participated in the modification of the manuscripts. All authors have read and agreed to the published version of the manuscript.
Funding
The authors gratefully acknowledge the financial support of this work by Science and Technology Plan Projects in Huai’an (HAB202065, HASZ201650); Grain Processing, Storage Inspection Technology Service Platform in Huai’an (HAP202108), and High-level talented person cultivating 333 project of Jiangsu province.
Data Availability Statement
Not applicable.
Conflicts of Interest
The authors declare no conflict of interest.
References
- Gao, X.-H.; Fan, Y.-Y.; Liu, Q.-F.; Cho, S.-H.; Pauli, G.F.; Chen, S.-N.; Yue, J.-M. Unprecedented dimeric quinoline alkaloids with antimycobacterial activity from melodinus suaveolens. Org. Lett. 2019, 21, 7065–7068. [Google Scholar] [CrossRef] [PubMed]
- Patel, M.; McHugh, R.J.; Cordova, B.C.; Klabe, R.M.; Bacheler, L.T.; Erickson-Viitanen, S.; Rodgers, J.D. Synthesis and evaluation of novel quinolinones as HIV-1 reverse transcriptase inhibitors. Bioorg. Med. Chem. Lett. 2001, 11, 1943–1945. [Google Scholar] [CrossRef]
- Ito, C.; Itoigawa, M.; Otsuka, T.; Tokuda, H.; Nishino, H.; Furukawa, H. Constituents of boronia pinnata. J. Nat. Prod. 2000, 63, 1344–1348. [Google Scholar] [CrossRef] [PubMed]
- Hu, Q.; Yin, L.; Hartmann, R.W. Selective dual inhibitors of CYP19 and CYP11B2: Targeting cardiovascular diseases hiding in the shadow of breast cancer. J. Med. Chem. 2012, 55, 7080–7089. [Google Scholar] [CrossRef] [PubMed]
- Uchida, R.; Imasato, R.; Shiomi, K.; Tomoda, H.; Omura, S. Yaequinolones J1 and J2, novel insecticidal antibiotics from penicillium sp. FKI-2140. Org. Lett. 2005, 7, 5701–5704. [Google Scholar] [CrossRef] [PubMed]
- Beadle, C.D.; Boot, J.; Camp, N.P.; Dezutter, N.; Findlay, J.; Hayhurst, L.; Masters, J.J.; Penariol, R.; Walter, M.W. 1-Aryl-3,4-dihydro-1H-quinolin-2-one derivatives, novel and selective norepinephrine reuptake inhibitors. Bioorg. Med. Chem. Lett. 2005, 15, 4432–4437. [Google Scholar] [CrossRef]
- François, X.F.; Jérôme, C.; Cécile, Z.; Eric, F. Preparation of 2-quinolones by sequential Heck reduction–cyclization (HRC) reactions by using a multitask palladium catalyst. Chem. Eur. J. 2009, 15, 7238–7245. [Google Scholar]
- Tsuritani, T.; Yamamoto, Y.; Kawasaki, M.; Mase, T. Novel approach to 3,4-dihydro-2(1H)-quinolinone derivatives via cyclopropane ring expansion. Org. Lett. 2009, 11, 1043–1045. [Google Scholar] [CrossRef] [PubMed]
- Tsubusaki, T.; Nishino, H. Manganese(III)-mediated facile synthesis of 3,4-dihydro-2(1H)-quinolinones: Selectivity of the 6-endo and 5-exo cyclization. Tetrahedron 2009, 65, 9448–9459. [Google Scholar] [CrossRef]
- Joachim, H.; Ho, Y.L.; Stephen, P.M.; Adam, N.; Rachel, J.S.; Amanda, J.C.; David, H.; Gordon, G.W. Convergent synthesis of dihydroquinolones from o-aminoarylboronates. Tetrahedron 2009, 65, 9002–9007. [Google Scholar]
- Sun, W.; Ling, C.-H.; Au, C.-M.; Yu, W.-Y. Ruthenium-catalyzed intramolecular arene C(sp2)–H amidation for synthesis of 3,4-dihydroquinolin-2(1H)-ones. Org. Lett. 2021, 23, 3310–3314. [Google Scholar] [CrossRef] [PubMed]
- He, J.-Y.; Bai, Q.-F.; Li, X.; Shou, J.; Feng, G. Photoredox one-pot synthesis of 3,4-dihydroquinolin-2(1H)-ones. Synlett 2022, 33, 679–683. [Google Scholar]
- Fujita, K.; Takahashi, Y.; Owaki, M.; Yamamoto, K.; Yamaguchi, R. Synthesis of five-, six-, and seven-membered ring lactams by Cp*Rh complex-catalyzed oxidative N-heterocyclization of amino alcohols. Org. Lett. 2004, 6, 2785–2788. [Google Scholar] [CrossRef] [PubMed]
- Correia, J.T.M.; Santos, M.S.; Pissinati, E.F.; da Silva, G.P.; Paixo, M.W. Recent advances on photoinduced cascade strategies for the synthesis of N-heterocycles. Chem. Rec. 2021, 21, 2666–2687. [Google Scholar] [CrossRef]
- Xu, C.-H.; Li, Y.; Li, J.-H.; Xiang, J.-N.; Deng, W. Recent advances in radical-mediated [2+2+m] annulation of 1,n-enynes. Sci China Chem. 2019, 62, 1463–1475. [Google Scholar] [CrossRef]
- Mieriņa, I.; Jure, M.; Stikute, A. Synthetic approaches to 4-(het)aryl-3,4-dihydroquinolin-2(1H)-ones. Chem. Heterocycl. Com. 2016, 52, 509–523. [Google Scholar]
- Yang, X.; Wang, L.; Hu, F.; Xu, L.; Li, S.; Li, S.-S. Redox-triggered switchable synthesis of 3,4-dihydroquinolin- 2(1H)-one derivatives via hydride transfer/N-dealkylation/N-acylation. Org. Lett. 2021, 23, 358–364. [Google Scholar] [CrossRef]
- Wang, S.; Zhang, J.; Wang, J.-S.; Ying, J.; Wu, X.-F. Palladium-catalyzed cascade carbonylative synthesis of perfluoroalkyl and carbonyl-containing 3,4-Dihydroquinolin-2(1H)-one Derivatives. Org. Lett. 2022, 24, 8843–8847. [Google Scholar] [CrossRef]
- Shen, M.; Zhao, J.; Xu, Y.; Zhang, X.; Fan, X. Synthesis of Dihydroquinolinone Derivatives via the Cascade Reaction of o-Silylaryl Triflates with Pyrazolidinones. J. Org. Chem. 2021, 86, 15203–15216. [Google Scholar] [CrossRef]
- Li, C.-C.; Yang, S.-D. Various difunctionalizations of acrylamide: An efficient approach to synthesize oxindoles. Org. Biomol. Chem. 2016, 14, 4365–4377. [Google Scholar] [CrossRef]
- Singha, J.; Sharma, A. visible light mediated synthesis of oxindoles. Adv. Synth. Catal. 2021, 363, 4284–4308. [Google Scholar] [CrossRef]
- Kraus, J.M.; Tatipaka, H.B.; McGuffin, S.A.; Chennamaneni, N.K.; Karimi, M.; Arif, J.; Verlinde, C.L.M.J.; Buckner, F.S.; Gelb, M.H. Second generation analogues of the cancer drug clinical candidate tipifarnib for anti-chagas disease drug discovery. J. Med. Chem. 2010, 53, 3887–3898. [Google Scholar] [CrossRef]
- Safina, L.Y.; Selivanova, G.A.; Koltunov, K.Y.; Shteingarts, V.D. Synthesis of polyfluorinated 4-phenyl-3,4-dihydroquinolin-2-ones and quinolin-2-ones via superacidic activation of N-(polyfluorophenyl)cinnamamides. Tetrahedron Lett. 2009, 50, 5245–5247. [Google Scholar] [CrossRef]
- Li, K.; Foresee, L.N.; Tunge, J.A. Trifluoroacetic acid-mediated hydroarylation: Synthesis of dihydrocoumarins and dihydroquinolones. J. Org. Chem. 2005, 70, 2881–2883. [Google Scholar] [CrossRef] [PubMed]
- Liu, X.; Zhang, Q.; Zhang, D.; Xin, X.; Zhang, R.; Zhou, F.; Dong, D. PPA-Mediated C–C bond formation: A synthetic route to substituted indeno[2,1-c]quinolin-6(7H)-ones. Org. Lett. 2013, 15, 776–779. [Google Scholar]
- Lee, E.; Han, S.; Jin, G.H.; Lee, H.J.; Kim, W.-Y.; Ryu, J.-H.; Jeon, R. Synthesis and anticancer activity of aminodihydroquinoline analogs: Identification of novel proapoptotic agents. Bioorg. Med. Chem. Lett. 2013, 23, 3976–3978. [Google Scholar] [CrossRef]
- Ren, H.; Zhang, M.; Zhang, A. Synthesis of 4-aryl-3-arylthio-3,4-dihydroquinolin-2(1H)-ones via cyclization of N-arylcinnamamides with N-thiosuccinimides. Synlett 2017, 49, 575–582. [Google Scholar]
- Zhang, M.-Z.; Liu, L.; Gou, Q.; Wang, Q.; Li, Y.; Li, W.-T.; Luo, F.; Yuan, M.; Chen, T.; He, W.-M. Synthesis of hydroxyl-containing oxindoles and 3,4-dihydroquinolin-2-ones through oxone-mediated cascade arylhydroxylation of activated alkene. Green Chem. 2020, 22, 8369–8374. [Google Scholar] [CrossRef]
- Xia, X.-F.; Zhu, S.-L.; Chen, C.; Wang, H.; Liang, Y.-M. Silver-catalyzed decarboxylative addition/cyclization of activated alkenes with aliphatic carboxylic acids. J. Org. Chem. 2016, 81, 1277–1284. [Google Scholar] [CrossRef]
- Mai, W.-P.; Wang, J.-T.; Yang, L.-R.; Yuan, J.-W.; Xiao, Y.-M.; Mao, P.; Qu, L.-B. Silver-catalyzed radical tandem cyclization for the synthesis of 3,4-disubstituted dihydroquinolin-2(1H)-ones. Org. Lett. 2014, 16, 204–207. [Google Scholar] [CrossRef] [PubMed]
- Cui, Z.; Du, D.-M. FeCl2-catalyzed decarboxylative radical alkylation/cyclization of cinnamamides: Access to dihydroquinolinone and pyrrolo[1,2-a]indole analogues. J. Org. Chem. 2018, 83, 5149–5159. [Google Scholar] [CrossRef]
- Chuentragool, P.; Kurandina, D.; Gevorgyan, V. Catalysis with palladium complexes photoexcited by visible light. Angew. Chem. Int. Ed. 2019, 58, 11586–11598. [Google Scholar] [CrossRef]
- Zhou, W.-J.; Zhang, Y.; Cao, G.; Liu, H.; Yu, D.-G. Palladium-catalyzed radical-type transformations of alkyl halides. Chin. J. Org. Chem. 2017, 37, 1322–1337. [Google Scholar] [CrossRef]
- Fan, J.-H.; Wei, W.-T.; Zhou, M.-B.; Song, R.-J.; Li, J.-H. Palladium-catalyzed oxidative difunctionalization of alkenes with α-carbonyl alkyl bromides initiated through a Heck-type insertion: A route to indolin-2-ones. Angew. Chem. Int. Ed. 2014, 53, 6650–6654. [Google Scholar] [CrossRef] [PubMed]
- Wang, H.; Guo, L.-N.; Duan, X.-H. Palladium-catalyzed alkylarylation of acrylamides with unactivated alkyl halides. J. Org. Chem. 2016, 81, 860–867. [Google Scholar] [CrossRef] [PubMed]
- Zhou, W.-J.; Cao, G.-M.; Zhang, Z.-P.; Yu, D.-G. Visible light-induced palladium-catalysis in organic synthesis. Chem. Lett. 2019, 48, 181–191. [Google Scholar] [CrossRef]
- Wu, Z.; Ma, D.; Zhou, B.; Ji, X.; Ma, X.; Wang, X.; Zhang, Y. Palladium-Catalyzed Alkylation with Alkyl Halides by C(sp3)–H Activation. Angew. Chem. 2017, 129, 12288–12291. [Google Scholar] [CrossRef] [PubMed]
- Du, J.; Wang, X.; Wang, H.; Wei, J.; Huang, X.; Song, J.; Zhang, J. Photoinduced palladium-catalyzed intermolecular radical cascade cyclization of N-arylacrylamides with unactivated alkyl bromides. Org. Lett. 2021, 23, 5631–5635. [Google Scholar] [CrossRef]
- Ciesielski, J.; Dequirez, G.; Retailleau, P.; Gandon, V.; Dauban, P. Rhodium-catalyzed alkene difunctionalization with nitrenes. Chem. Eur. J. 2016, 22, 9338–9347. [Google Scholar]
- Zhang, L.; Wang, Y.; Yang, Y.; Zhang, P.; Wang, C. Rhenium-catalyzed alkylarylation of alkenes with PhI(O2CR)2 via decarboxylation to access indolinones and dihydroquinolinon. Org. Chem. Front. 2020, 7, 3234–3241. [Google Scholar] [CrossRef]
- Tang, R.-J.; He, Q.; Yang, L. Metal-free oxidative decarbonylative coupling of aromatic aldehydes with arenes: Direct access to biaryls. Chem. Commun. 2015, 51, 5925–5928. [Google Scholar]
- Tang, R.-J.; Kang, L.; Yang, L. Metal-free oxidative decarbonylative coupling of aliphatic aldehydes with azaarenes: Successful Minisci-type alkylation of various heterocycles. Adv. Synth. Catal. 2015, 357, 2055–2060. [Google Scholar] [CrossRef]
- Gao, R.-X.; Luan, X.-Q.; Xie, Z.-Y.; Yang, L.; Pei, Y. Fe-catalyzed decarbonylative cascade reaction of N-aryl cinnamamides with aliphatic aldehydes to construct 3,4-dihydroquinolin-2(1H)-ones. Org. Biomol. Chem. 2019, 17, 5262–5268. [Google Scholar] [CrossRef] [PubMed]
- Xu, X.; Luo, Z.; Liu, C.-F.; Wang, X.; Deng, L.; Gao, J. Metal-free synthesis of 3,4-dihydroquinolin-2(1H)-ones via cascade oxidative decarbonylative radical alkylation/cyclization of cinnamamides with aliphatic aldehydes. Asian J. Org. Chem. 2019, 8, 1903–1906. [Google Scholar] [CrossRef]
- Yu, X.-Y.; Zhao, Q.-Q.; Chen, J.; Xiao, W.-J.; Chen, J.-R. When light meets nitrogen-centered radicals: From reagents to catalysts. Acc. Chem. Res. 2020, 53, 1066–1083. [Google Scholar] [CrossRef] [PubMed]
- Wu, J.; Zhang, J.-Y.; Gao, P.; Xu, S.-L.; Guo, L.-N. Copper-catalyzed redox-neutral cyanoalkylarylation of activated alkenes with cyclobutanone oxime esters. J. Org. Chem. 2018, 83, 1046–1055. [Google Scholar] [CrossRef]
- Sanzone, J.R.; Hu, C.T.; Woerpel, K.A. Uncatalyzed carboboration of seven-membered-ring trans-alkenes: Formation of air-stable trialkylboranes. J. Am. Chem. Soc. 2017, 139, 8404–8407. [Google Scholar] [CrossRef]
- Darses, S.; Genet, J.P. Potassium Organotrifluoroborates: New perspectives in organic synthesis. Chem. Rev. 2008, 108, 288–325. [Google Scholar]
- Seiple, I.B.; Su, S.; Rodriguez, R.A.; Gianatassio, R.; Fujiwara, Y.; Sobel, A.L.; Baran, P.S. Direct C-H arylation of electron deficient heterocycles with arylboronic acids. J. Am. Chem. Soc. 2010, 132, 13194–13196. [Google Scholar] [CrossRef]
- Ling, A.; Zhang, L.; Tan, R.X.; Liu, Z.-Q. Molecular oxygen-promoted general and site-specific alkylation with organoboronic acid. J. Org. Chem. 2018, 83, 14489–14497. [Google Scholar] [CrossRef]
- Wang, H.; Sun, B.; Yang, J.; Wang, J.; Mao, P.; Yang, L.; Mai, W. The synthesis of 3,4-disubstituted dihydroquinolin-2(1H)-one under metal free conditions in aqueous solution. J. Chem. Res. 2014, 38, 542–545. [Google Scholar] [CrossRef]
- Zhou, S.-L.; Guo, L.-N.; Wang, S.; Duan, X.-H. Copper-catalyzed tandem oxidative cyclization of cinnamamides with benzyl hydrocarbons through cross-dehydrogenative coupling. Chem. Commun. 2014, 50, 3589–3591. [Google Scholar] [CrossRef]
- Xu, D.; Yu, Y.; Huang, F.; Zhou, S.; Zhang, W. Photo-induced C(sp3)–H functionalization for the synthesis of 3,3-disubstituted oxindoles. Asian J. Org. Chem. 2022, 11, e202200131. [Google Scholar] [CrossRef]
- Wu, T.; Mu, X.; Liu, G. Palladium-catalyzed oxidative arylalkylation of activated alkenes: Dual C–H bond cleavage of an arene and acetonitrile. Angew. Chem. Int. Ed. 2011, 50, 12578–12581. [Google Scholar] [CrossRef]
- Wang, K.; Chen, X.; Yuan, M.; Yao, M.; Zhu, H.; Xue, Y.; Luo, Z.; Zhang, Y. Silver-mediated cyanomethylation of cinnamamides by direct C(sp3)–H functionalization of acetonitrile. J. Org. Chem. 2018, 83, 1525–1531. [Google Scholar] [CrossRef] [PubMed]
- Yu, H.; Hu, B.; Huang, H. Nickel-catalyzed alkylarylation of activated alkenes with benzylamines via C–N bond activation. Chem. Eur. J. 2021, 24, 7114–7117. [Google Scholar] [CrossRef] [PubMed]
- Lu, M.-J.; Liu, Z.-J.; Zhang, J.-W.; Tian, Y.; Qin, H.-G.; Huang, M.-Q.; Hua, S.-R.; Cai, S.-Y. Synthesis of oxindoles through trifluoromethylation of N-aryl acrylamides by photoredox catalysis. Org. Biomol. Chem. 2018, 16, 6564–6568. [Google Scholar] [CrossRef]
- Wang, S.; Dai, P.; Yan, Z.; Wang, Y.; Shao, J.; Wu, Y.; Deng, C.; Zhang, W. Metal-free, visible-light-induced radical trifluoromethylation/cyclization of N-benzamides with CF3SO2Na to synthesize CF3-containing isoquinoline-1,3-diones. Chemistryselect 2019, 4, 10329–10333. [Google Scholar] [CrossRef]
- Shao, J.; Wang, Y.; Chen, S.; Wang, S.; Wu, Y.; Li, X.; Zhang, W.; Deng, C. Synthesis of CF2H-containing isoquinoline-1,3-diones through metal-free, visible-light and air-promoted radical difluoromethylation/cyclization of N-benzamides. Tetrahedron 2021, 79, 131822. [Google Scholar] [CrossRef]
- Ruan, Z.; Huang, Z.; Xu, Z.; Mo, G.; Tian, X.; Yu, X.-Y.; Ackermann, L. Catalyst-free, direct electrochemical tri- and difluoroalkylation/cyclization: Access to functionalized oxindoles and quinolinones. Org. Lett. 2019, 21, 1237–1240. [Google Scholar] [CrossRef]
- Liu, Q.; Lu, Y.; Sheng, H.; Zhang, C.-S.; Su, X.-D.; Wang, Z.-X.; Chen, X.-Y. Visible-light-induced selective photolysis of phosphonium iodide salts for monofluoromethylations. Angew. Chem. Int. Ed. 2021, 60, 25477–25484. [Google Scholar] [CrossRef]
- Chen, J.-Y.; Huang, J.; Sun, K.; He, W.-M. Recent advances in transition-metal-free trifluoromethylation with Togni’s reagents. Org. Chem. Front. 2022, 9, 1152–1164. [Google Scholar] [CrossRef]
- Chen, Z.-M.; Bai, W.; Wang, S.-H.; Yang, B.-M.; Tu, Y.-Q.; Zhang, F.-M. Copper-catalyzed tandem trifluoromethylation/semipinacol rearrangement of allylic alcohols. Angew. Chem. Int. Ed. 2013, 52, 9781–9785. [Google Scholar] [CrossRef]
- Zhang, B.; Mück-Lichtenfeld, C.; Daniliuc, C.G.; Studer, A. 6-Trifluoromethyl-phenanthridines through radical trifluoromethylation of isonitriles. Angew. Chem. Int. Ed. 2013, 52, 10792–10795. [Google Scholar] [CrossRef] [PubMed]
- Wang, Q.; Han, G.; Liu, Y.; Wang, Q. Copper-catalyzed aryltrifluoromethylation of N-phenylcinnamamides: Access to trifluoromethylated 3,4-dihydroquinolin-2(1H)-ones. Adv. Synth. Catal. 2015, 357, 2464–2468. [Google Scholar] [CrossRef]
- Gao, F.; Yang, C.; Gao, G.-L.; Zheng, L.; Xia, W. Visble-light induced trifluoromethylation of N-arylcinnamamides for the synthesis of CF3-containing 3,4-disubstituted dihydroquinolinones and 1-azaspiro[4,5]decanes. Org. Lett. 2015, 14, 3478–3481. [Google Scholar] [CrossRef]
- Nguyen, J.D.; Tucker, J.W.; Konieczynska, M.D.; Stephenson, C.R.J. Intermolecular atom transfer radical addition to olefins mediated by oxidative quenching of photoredox catalysts. J. Am. Chem. Soc. 2011, 133, 4160–4163. [Google Scholar] [CrossRef] [PubMed]
- Wallentin, C.J.; Nguyen, J.D.; Finkbeiner, P.; Stephenson, C.R.J. Visible light-mediated atom transfer radical addition via oxidative and reductive quenching of photocatalysts. J. Am. Chem. Soc. 2012, 134, 8875–8884. [Google Scholar] [CrossRef]
- Gu, Z.; Zhang, H.; Xu, P.; Cheng, Y.; Zhu, C. Visible-light-induced radical tandem aryldifluoroacetylation of cinnamamides: Access to difluoroacetylated quinolone-2-ones and 1-azaspiro[4,5]decanes. Adv. Synth. Catal. 2015, 357, 3057–3063. [Google Scholar] [CrossRef]
- Chan, C.W.; Lee, P.Y.; Yu, W.Y. Copper-catalyzed cross-dehydrogenative coupling of N-arylacrylamides with chloroform using tert-butyl peroxybenzoate as oxidant. Tetrahedron Lett. 2015, 56, 2559–2563. [Google Scholar] [CrossRef]
- Li, X.; Xu, J.; Gao, Y.; Fang, H.; Tang, G.; Zhao, Y. Cascade arylalkylation of activated alkenes: Synthesis of chloroand cyano-containing oxindole. J. Org. Chem. 2015, 80, 2621–2626. [Google Scholar] [CrossRef] [PubMed]
- Bergonzini, G.; Cassani, C.; Wallentin, C.-J. Acyl radicals from aromatic carboxylic acids by means of visible-light photoredox catalysis. Angew. Chem. Int. Ed. 2015, 54, 14066–14069. [Google Scholar] [CrossRef] [PubMed]
- Mai, W.-P.; Sun, G.-C.; Wang, J.-T.; Song, G.; Mao, P.; Yang, L.-R.; Yuan, J.-W.; Xiao, Y.-M.; Qu, L.-B. Silver-catalyzed radical tandem cyclization: An approach to direct synthesis of 3-acyl-4-arylquinolin-2(1H)-ones. J. Org. Chem. 2014, 79, 8094–8102. [Google Scholar] [CrossRef] [PubMed]
- Yang, H.; Guo, L.-N.; Duan, X.-H. Silver-catalyzed tandem radical acylarylation of cinnamamides in aqueous media. RSC Adv. 2014, 4, 52986–52990. [Google Scholar] [CrossRef]
- Mai, W.-P.; Wang, J.-T.; Xiao, Y.-M.; Mao, P.; Lu, K. A novel direct synthesis of 3-acyl-4-aryldihydroquinolin-2(1H)-ones via metal-free radical tandem cyclization between N-arylcinnamamides and aldehydes. Tetrahedron 2015, 71, 8041–8051. [Google Scholar] [CrossRef]
- Walton, J.C. Functionalised oximes: Emergent precursors for carbon-, nitrogen- and oxygen-centred radicals. Molecules 2016, 21, 63. [Google Scholar] [CrossRef]
- Fan, X.; Lei, T.; Chen, B.; Tung, C.-H.; Wu, L.-Z. Photocatalytic C–C bond activation of oxime ester for acyl radical generation and application. Org. Lett. 2019, 21, 4153–4158. [Google Scholar] [CrossRef]
- McManus, H.A.; Guiry, P.J. Recent developments in the application of oxazoline-containing ligands in asymmetric catalysis. Chem. Rev. 2004, 104, 4151–4202. [Google Scholar] [CrossRef]
- Baumgartner, T.; Réau, R. Organophosphorus π-conjugated materials. Chem. Rev. 2006, 106, 4681–4727. [Google Scholar] [CrossRef]
- Zhang, H.; Gu, Z.; Li, Z.; Pan, C.; Li, W.; Hu, H.; Zhu, C. Silver-catalyzed cascade radical cyclization: A direct approach to 3,4-disubstituted dihydroquinolin-2(1H)-ones through activation of the P–H bond and functionalization of the C(sp2)–H bond. J. Org. Chem. 2016, 81, 2122–2127. [Google Scholar] [CrossRef]
- Wang, F.-X.; Tian, S.-K. Cyclization of N-arylacrylamides via radical arylsulfenylation of carbon–carbon double bonds with sulfonyl hydrazides. J. Org. Chem. 2015, 80, 12697–12703. [Google Scholar] [CrossRef]
- Zhao, C.; Rakesh, K.P.; Ravidar, L.; Fang, W.-Y.; Qin, H.-L. Pharmaceutical and medicinal significance of sulfur (SVI)-containing motifs for drug discovery: A critical review. Eur. J. Med. Chem. 2019, 162, 679–734. [Google Scholar] [CrossRef] [PubMed]
- Han, B.; Ding, X.; Zhang, Y.; Gu, X.; Qi, Y.; Liang, S. Mn(OAc)3-promoted sulfonation-cyclization cascade via the SO3− radical: The synthesis of heterocyclic sulfonates. Org. Lett. 2022, 24, 8255–8260. [Google Scholar] [CrossRef] [PubMed]
- Cheng, X.; Hasimujiang, B.; Xu, Z.; Cai, H.; Chen, G.; Mo, G.; Ruan, Z. Direct electrochemical selenylation/cyclization of alkenes: Access to functionalized benzheterocycles. J. Org. Chem. 2021, 86, 16045–16058. [Google Scholar] [CrossRef] [PubMed]
- Wang, X.-Y.; Zhong, Y.-F.; Mo, Z.-Y.; Wu, S.-H.; Xu, Y.-L.; Tang, H.-T.; Pan, Y.-M. Synthesis of seleno oxindoles via electrochemical cyclization of N-arylacrylamides with diorganyl diselenides. Adv. Synth. Catal. 2021, 363, 208–214. [Google Scholar] [CrossRef]
- Chapman, O.L.; Adams, W.R. Photochemical transformations. XXII. Photoisomerization of substituted acrylic acids and acrylamides to beta-lactones and beta-lactams. J. Am. Chem. Soc. 1968, 90, 2333–2342. [Google Scholar]
- Ayitou, A.J.; Ugrinov, A.; Sivaguru, J. 6π-Photocyclization of O-tert-butylacrylanilides. N-substitution dictates the regiochemistry of cyclization. Photochem. Photobiol. Sci. 2009, 8, 751–754. [Google Scholar] [CrossRef]
- Liu, Z.; Zhong, S.; Ji, X.; Deng, G.-J.; Huang, H. Hydroarylation of activated alkenes enabled by proton-coupled electron transfer. ACS Catal. 2021, 11, 4422–4429. [Google Scholar] [CrossRef]
- Cheng, H.; Lam, T.-L.; Liu, Y.; Tang, Z.; Che, C.-M. Photoinduced hydroarylation and cyclization of alkenes with luminescent platinum(II) complexes. Angew. Chem. Int. Ed. 2021, 60, 1383–1389. [Google Scholar] [CrossRef]
- Chen, X.-W.; Liu, Y.; Jin, X.-Q.; Sun, Y.-Y.; Gu, S.-L.; Fu, L.; Li, J.-Q. Development and kilogram-scale synthesis of a D2/5-HT2A receptor dual antagonist (±)-SIPI 6360. Org. Process Res. Dev. 2016, 20, 1662–1667. [Google Scholar] [CrossRef]
- Oddy, M.J.; Kusza, D.A.; Petersen, W.F. Visible-light mediated metal-free 6π-photocyclization of N-acrylamides: Thioxanthone triplet energy transfer enables the synthesis of 3,4-dihydroquinolin-2-ones. Org. Lett. 2021, 23, 8963–8967. [Google Scholar] [CrossRef]
- Popescu, M.V.; Mekereeya, A.; Alegre-Requena, J.V.; Paton, R.S.; Smith, M.D. Visible-light-mediated heterocycle functionalization via geometrically interrupted [2 + 2] cycloaddition. Angew. Chem. Int. Ed. 2020, 59, 23020–23024. [Google Scholar] [CrossRef]
- Münster, N.; Parker, N.A.; van Dijk, L.; Paton, R.S.; Smith, M.D. Visible light photocatalysis of 6π heterocyclization. Angew. Chem. Int. Ed. 2017, 56, 9468–9472. [Google Scholar] [CrossRef] [PubMed]
- Liu, Z.; Zhong, S.; Ji, X.; Deng, G.-J.; Huang, H. Photoredox cyclization of N-arylacrylamides for synthesis of dihydroquinolinones. Org. Lett. 2022, 24, 349–353. [Google Scholar] [CrossRef] [PubMed]
- Raghunathan, R.; Jockusch, S.; Sibi, M.P.; Sivaguru, J. Evaluating thiourea/urea catalyst for enantioselective 6π-photocyclization of acrylanilides. J. Photochem. Photobiol. A Chem. 2016, 331, 84–88. [Google Scholar] [CrossRef]
- Kumarasamy, E.; Ayitou, A.J.L.; Vallavoju, N.; Raghunathan, R.; Iyer, A.; Clay, A.; Kandappa, S.K.; Sivaguru, J. Tale of twisted molecules. Atropselective photoreactions: Taming light induced asymmetric transformations through non-biaryl atropisomers. Acc. Chem. Res. 2016, 49, 2713–2724. [Google Scholar] [CrossRef] [PubMed]
- Ayitou, A.J.L.; Sivaguru, J. Light-induced transfer of molecular chirality in solution: Enantiospecific photocyclization of molecularly chiral acrylanilides. J. Am. Chem. Soc. 2009, 131, 5036–5037. [Google Scholar] [CrossRef] [PubMed]
- Iyer, A.; Ugrinov, A.; Sivaguru, J. Understanding conformational preferences of atropisomeric hydrazides and its influence on excited state transformations in crystalline media. Molecules 2019, 24, 3001. [Google Scholar] [CrossRef]
- Jones, B.A.; Solon, P.; Popescu, M.V.; Du, J.-Y.; Paton, R.; Smith, M.D. Catalytic enantioselective 6π photocyclization of acrylanilides. J. Am. Chem. Soc. 2023, 145, 171–178. [Google Scholar] [CrossRef]
Disclaimer/Publisher’s Note: The statements, opinions and data contained in all publications are solely those of the individual author(s) and contributor(s) and not of MDPI and/or the editor(s). MDPI and/or the editor(s) disclaim responsibility for any injury to people or property resulting from any ideas, methods, instructions or products referred to in the content. |
© 2023 by the authors. Licensee MDPI, Basel, Switzerland. This article is an open access article distributed under the terms and conditions of the Creative Commons Attribution (CC BY) license (https://creativecommons.org/licenses/by/4.0/).
















































