Cu and Cu-Fe Bi-Metal Nanoparticles Encapsulated in Hollow S-1 Zeolite for Reverse Water Gas Shift Reaction
Abstract
1. Introduction
2. Results and Discussion
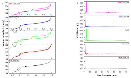
2.1. Textural Characteristics and N2 Physisorption
2.2. XRD and TEM Experiments
2.3. H2-TPR and CO2-TPD Experiments
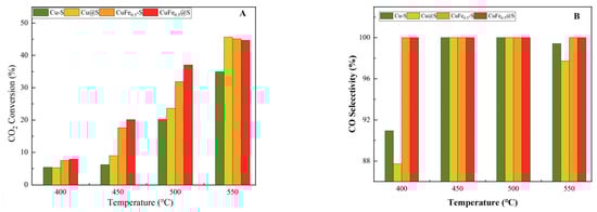
2.4. CO2 Hydrogenation Activity
3. Experimental Section
3.1. Materials
3.2. Catalysts Preparation
3.2.1. Synthesis Parent S-1 Zeolite
3.2.2. Preparation of Cu-S and CuFe0.5-S Catalysts
3.2.3. Preparation of Cu@S and CuFe0.5@S Catalysts
3.3. Catalysts Characterization
3.4. Catalytic Evaluation
4. Conclusions
Author Contributions
Funding
Conflicts of Interest
References
- Enthaler, S.; von Langermann, J.; Schmidt, T. Carbon dioxide and formic acid—The couple for environmental-friendly hydrogen storage? Energy Environ. Sci. 2010, 3, 1207–1217. [Google Scholar] [CrossRef]
- Ghoniem, A.F. Needs, resources and climate change: Clean and efficient conversion technologies. Prog. Energy Combust. Sci. 2011, 37, 15–51. [Google Scholar] [CrossRef]
- Saeidi, S.; Najari, S.; Hessel, V.; Wilson, K.; Keil, F.J.; Concepción, P.; Suib, S.L.; Rodrigues, A.E. Recent advances in CO2 hydrogenation to value-added products—Current challenges and future directions. Prog. Energy Combust. Sci. 2021, 85, 100905. [Google Scholar] [CrossRef]
- Pahija, E.; Panaritis, C.; Gusarov, S.; Shadbahr, J.; Bensebaa, F.; Patience, G.; Boffito, D.C. Experimental and Computational Synergistic Design of Cu and Fe Catalysts for the Reverse Water–Gas Shift: A Review. ACS Catal. 2022, 12, 6887–6905. [Google Scholar] [CrossRef]
- González-Castaño, M.; De Miguel, J.N.; Sinha, F.; Wabo, S.G.; Klepel, O.; Arellano-Garcia, H. Cu supported Fe-SiO2 nanocomposites for reverse water gas shift reaction. J. CO2 Util. 2021, 46, 101493. [Google Scholar] [CrossRef]
- Daza, Y.A.; Kuhn, J.N. CO2 conversion by reverse water gas shift catalysis: Comparison of catalysts, mechanisms and their consequences for CO2 conversion to liquid fuels. RSC Adv. 2016, 6, 49675–49691. [Google Scholar] [CrossRef]
- Jurković, D.L.; Prašnikar, A.; Pohar, A.; Likozar, B. Surface structure-based CO2 reduction reaction modelling over supported copper catalysts. J. CO2 Util. 2020, 41, 101234. [Google Scholar] [CrossRef]
- Vogt, C.; Groeneveld, E.; Kamsma, G.; Nachtegaal, M.; Lu, L.; Kiely, C.J.; Berben, P.H.; Meirer, F.; Weckhuysen, B.M. Unravelling structure sensitivity in CO2 hydrogenation over nickel. Nat. Catal. 2018, 1, 127–134. [Google Scholar] [CrossRef]
- Chen, C.-S.; Cheng, W.-H.; Lin, S.-S. Study of iron-promoted Cu/SiO2 catalyst on high temperature reverse water gas shift reaction. Appl. Catal. A Gen. 2004, 257, 97–106. [Google Scholar] [CrossRef]
- Joo, O.-S.; Jung, K.-D.; Moon, I.; Rozovskii, A.Y.; Lin, G.I.; Han, S.-H.; Uhm, S.-J. Carbon Dioxide Hydrogenation To Form Methanol via a Reverse-Water-Gas-Shift Reaction (the CAMERE Process). Ind. Eng. Chem. Res. 1999, 38, 1808–1812. [Google Scholar] [CrossRef]
- Yang, H.; Gao, P.; Zhang, C.; Zhong, L.; Li, X.; Wang, S.; Wang, H.; Wei, W.; Sun, Y. Core–shell structured Cu@m-SiO2 and Cu/ZnO@m-SiO2 catalysts for methanol synthesis from CO2 hydrogenation. Catal. Commun. 2016, 84, 56–60. [Google Scholar] [CrossRef]
- Zeng, B.; Hou, B.; Jia, L.; Wang, J.; Chen, C.; Li, D.; Sun, Y. The intrinsic effects of shell thickness on the Fischer–Tropsch synthesis over core–shell structured catalysts. Catal. Sci. Technol. 2013, 3, 3250–3255. [Google Scholar] [CrossRef]
- Prieto, G.; Tüysüz, H.; Duyckaerts, N.; Knossalla, J.; Wang, G.-H.; Schüth, F. Hollow Nano- and Microstructures as Catalysts. Chem. Rev. 2016, 116, 14056–14119. [Google Scholar] [CrossRef]
- Wu, S.M.; Yang, X.Y.; Janiak, C. Confinement Effects in Zeolite-Confined Noble Metals. Angew. Chem. Int. Ed. 2019, 58, 12340–12354. [Google Scholar] [CrossRef] [PubMed]
- Kwok, K.M.; Ong, S.W.D.; Chen, L.; Zeng, H.C. Transformation of Stöber Silica Spheres to Hollow Hierarchical Single-Crystal ZSM-5 Zeolites with Encapsulated Metal Nanocatalysts for Selective Catalysis. ACS Appl. Mater. Interfaces 2019, 11, 14774–14785. [Google Scholar] [CrossRef] [PubMed]
- Liu, Y.; Chen, Y.; Gao, Z.; Zhang, X.; Zhang, L.; Wang, M.; Chen, B.; Diao, Y.; Li, Y.; Xiao, D.; et al. Embedding high loading and uniform Ni nanoparticles into silicalite-1 zeolite for dry reforming of methane. Appl. Catal. B Environ. 2022, 307, 121202. [Google Scholar] [CrossRef]
- Zhang, F.; Zhou, W.; Xiong, X.; Wang, Y.; Cheng, K.; Kang, J.; Zhang, Q.; Wang, Y. Selective Hydrogenation of CO2 to Ethanol over Sodium-Modified Rhodium Nanoparticles Embedded in Zeolite Silicalite-1. J. Phys. Chem. C 2021, 125, 24429–24439. [Google Scholar] [CrossRef]
- Dai, C.; Zhang, A.; Luo, L.; Zhang, X.; Liu, M.; Wang, J.; Guo, X.; Song, C. Hollow zeolite-encapsulated Fe-Cu bimetallic catalysts for phenol degradation. Catal. Today 2017, 297, 335–343. [Google Scholar] [CrossRef]
- Zhu, C.; Zhang, M.; Huang, C.; Han, Y.; Fang, K. Controlled Nanostructure of Zeolite Crystal Encapsulating FeMnK Catalysts Targeting Light Olefins from Syngas. ACS Appl. Mater. Interfaces 2020, 12, 57950–57962. [Google Scholar] [CrossRef]
- Niu, X.; Li, X.; Yuan, G.; Feng, F.; Wang, M.; Zhang, X.; Wang, Q. Hollow Hierarchical Silicalite-1 Zeolite Encapsulated PtNi Bimetals for Selective Hydroconversion of Methyl Stearate into Aviation Fuel Range Alkanes. Ind. Eng. Chem. Res. 2020, 59, 8601–8611. [Google Scholar] [CrossRef]
- Fu, T.; Qi, R.; Wang, X.; Wan, W.; Li, Z. Facile synthesis of nano-sized hollow ZSM-5 zeolites with rich mesopores in shell. Microporous Mesoporous Mater. 2017, 250, 43–46. [Google Scholar] [CrossRef]
- Wang, Y.; Lin, M.; Tuel, A. Hollow TS-1 crystals formed via a dissolution–recrystallization process. Microporous Mesoporous Mater. 2007, 102, 80–85. [Google Scholar] [CrossRef]
- Wei, F.-F.; Liu, J.; Zhang, Q.-Y.; Zhang, Y.-T.; Zhang, X.; Cao, C.-Y.; Song, W.-G. Sharp size-selective catalysis in a liquid solution over Pd nanoparticles encapsulated in hollow silicalite-1 zeolite crystals. RSC Adv. 2016, 6, 89499–89502. [Google Scholar] [CrossRef]
- Dai, C.; Zhang, A.; Liu, M.; Guo, X.; Song, C. Hollow ZSM-5 with Silicon-Rich Surface, Double Shells, and Functionalized Interior with Metallic Nanoparticles and Carbon Nanotubes. Adv. Funct. Mater. 2015, 25, 7479–7487. [Google Scholar] [CrossRef]
- Bergeret, G.; Gallezot, P. Particle Size and Dispersion Measurements. In Handbook of Heterogeneous Catalysis; Wiley: Hoboken, NJ, USA, 2008; pp. 738–765. [Google Scholar]
- Liu, G.; Tian, Y.; Zhang, B.; Wang, L.; Zhang, X. Catalytic combustion of VOC on sandwich-structured Pt@ZSM-5 nanosheets prepared by controllable intercalation. J. Hazard. Mater. 2019, 367, 568–576. [Google Scholar] [CrossRef]
- Chen, C.-S.; Cheng, W.-H.; Lin, S.-S. Enhanced activity and stability of a Cu/SiO2 catalyst for the reverse water gas shift reaction by an iron promoter. Chem. Commun. 2001, 18, 1770–1771. [Google Scholar] [CrossRef]
- Li, S.; Tuel, A.; Laprune, D.; Meunier, F.; Farrusseng, D. Transition-Metal Nanoparticles in Hollow Zeolite Single Crystals as Bifunctional and Size-Selective Hydrogenation Catalysts. Chem. Mater. 2014, 27, 276–282. [Google Scholar] [CrossRef]






| Samples | SBET a (m2/g) | Smicro b (m2/g) | Smeso/ext c (m2/g) | Vtotal d (cm3/g) | Vmicro b (cm3/g) |
|---|---|---|---|---|---|
| Parent S-1 | 390.6 | 356.2 | 34.4 | 0.238 | 0.174 |
| Cu-S | 342.6 | 310.2 | 32.4 | 0.220 | 0.154 |
| Cu@S | 336.9 | 291.2 | 45.7 | 0.260 | 0.151 |
| CuFe0.5-S | 340.6 | 305.1 | 35.5 | 0.218 | 0.152 |
| CuFe0.5@S | 369.2 | 325.5 | 43.7 | 0.256 | 0.158 |
| Samples | Metal loading a/% | Cu/Si b | XPS/XRF | dCu (nm) | DCu (%) | ||
|---|---|---|---|---|---|---|---|
| Cu | Fe | XPS c | XRF | ||||
| Cu-S | 5.16 | 0.032 | 0.052 | 0.62 | 22.6 | 7.96 | |
| Cu@S | 5.64 | 0.021 | 0.058 | 0.36 | 12.83 ± 3.35 | 14.63 | |
| CuFe0.5-S | 5.26 | 0.53 | 0.048 | 0.054 | 0.89 | 23.2 | 7.74 |
| CuFe0.5@S | 6.82 | 0.70 | 0.037 | 0.072 | 0.51 | 17.74 ± 5.87 | 10.38 |
| Samples | Weak | Moderate | Strong | |||
|---|---|---|---|---|---|---|
| Peak 1 /°C | Peak 2 /°C | Peak 3 /°C | Peak 4 /°C | Peak 5 /°C | Peak 6 /°C | |
| Cu-S | 81.07 (20.52%) | 91.43 (14.52%) | 494.52 (59.65%) | 582.32 (5.31%) | ||
| Cu@S | 92.30 (15.59%) | 126.95 (30.69%) | 545.29 (53.72%) | |||
| CuFe0.5-S | 101.85 (2.89%) | 540.58 (40.27%) | 685.23 (56.84%) | |||
| CuFe0.5@S | 73.11 (2.92%) | 163.69 (8.67%) | 235.84 (22.74%) | 535.59 (31.13%) | 643.56 (34.54%) | |
Disclaimer/Publisher’s Note: The statements, opinions and data contained in all publications are solely those of the individual author(s) and contributor(s) and not of MDPI and/or the editor(s). MDPI and/or the editor(s) disclaim responsibility for any injury to people or property resulting from any ideas, methods, instructions or products referred to in the content. |
© 2023 by the authors. Licensee MDPI, Basel, Switzerland. This article is an open access article distributed under the terms and conditions of the Creative Commons Attribution (CC BY) license (https://creativecommons.org/licenses/by/4.0/).
Share and Cite
Hu, R.; Wang, T.; Li, H.; Zhu, Y.; Wang, Y.; Wen, F.; Xing, E.; Wu, Y.; Da, Z. Cu and Cu-Fe Bi-Metal Nanoparticles Encapsulated in Hollow S-1 Zeolite for Reverse Water Gas Shift Reaction. Catalysts 2023, 13, 1037. https://doi.org/10.3390/catal13071037
Hu R, Wang T, Li H, Zhu Y, Wang Y, Wen F, Xing E, Wu Y, Da Z. Cu and Cu-Fe Bi-Metal Nanoparticles Encapsulated in Hollow S-1 Zeolite for Reverse Water Gas Shift Reaction. Catalysts. 2023; 13(7):1037. https://doi.org/10.3390/catal13071037
Chicago/Turabian StyleHu, Rui, Tianye Wang, Hongwei Li, Yuan Zhu, Yifan Wang, Fuli Wen, Enhui Xing, Yu Wu, and Zhijian Da. 2023. "Cu and Cu-Fe Bi-Metal Nanoparticles Encapsulated in Hollow S-1 Zeolite for Reverse Water Gas Shift Reaction" Catalysts 13, no. 7: 1037. https://doi.org/10.3390/catal13071037
APA StyleHu, R., Wang, T., Li, H., Zhu, Y., Wang, Y., Wen, F., Xing, E., Wu, Y., & Da, Z. (2023). Cu and Cu-Fe Bi-Metal Nanoparticles Encapsulated in Hollow S-1 Zeolite for Reverse Water Gas Shift Reaction. Catalysts, 13(7), 1037. https://doi.org/10.3390/catal13071037
