Abstract
Different possible applications of ion exchange resins in the framework of biorefinery catalytic applications are discussed in this article. Three case studies were selected for this approach, connected to three main routes for biomass upgrading: syngas upgrading to high-value chemicals, biomass hydrolysate upgrading, and direct upgrading of oily fraction. The tailored acidic properties of these materials, as well as their stability in the presence of water, have made them promising catalysts for applications such as obtaining biodiesel from activated sludge wastes in batch reactors and obtaining polyoxymethylene methyl ether from syngas (via formaldehyde and methylal, and working in a continuous fixed bed reactor). However, the acidity of these materials may still be too low for acid-catalyzed aldol condensation reactions in the aqueous phase.
    1. Introduction
The new environmental regulations derived from climate change issues, as well as the subsequent decrease in the production of conventional oil-derived fuels, is a challenge for the current industrial chemical processes. Most of the raw materials used in industrial organic chemistry (polymers, pharmaceuticals, solvents, etc.) derive from refinery by-products of the fuels manufacture in a conventional oil refinery. Once the total production of naphtha and diesel fuels declines, the production of these commodity chemicals (alkenes, aromatics, etc.) will also decrease. Due to these reasons, the development of processes for obtaining organic chemicals from alternative resources is a challenging issue []. This issue is also in connection to other concomitant approaches, such as the development of processes for waste upgrading (trying to obtain resources from these wastes, in the broader context of the circular economy) or the efforts conducted in the last decades for manufacturing drop-in biofuels [].
However, replacing the oil (an organic liquid with high carbon and hydrogen content) with biomass (mostly solid, with high water content and high oxygen concentration in the organic fraction) leads to important adaptations from the point of view of the processes engineering []. In general terms, biomass-based processes can follow two main different routes, the thermochemical and the hydrolytic ones. In the first ones, the biomass is transformed in syngas via reaction with water or sub-stoichiometric amounts of air at high temperatures (gasification), or it is transformed into a pyrolysis oil by thermal treatment in the absence of any oxidant. Gasification allows the transformation of the whole biomass in syngas, which can be used for obtaining a plethora of chemicals, with methanol as the starting point. Among methanol upgrading reactions, etherification reactions play a key role in obtaining heavier compounds, such as dimethoxy methane and derived ethers, with promising applications as solvents and diesel additives []. Different approaches are proposed in the literature, with the common point of using acid catalysts [].
Concerning hydrolytic approaches, they involve an initial cleavage of the o-glycosidic bonds of cellulose and hemicellulose, releasing single sugars, and a subsequent dehydration of these sugars, yielding furanic compounds (as furfural or 5-hydroxymethylfurfural). Alternatively, sugar solutions can be fermented for obtaining bioethanol, which can be further transformed into other chemicals via catalytic reactions. Regarding furanic chemicals, these platform molecules are the starting point for many catalytic applications to obtain fuels, fuel additives, and chemicals. In general, all the alternatives proposed involve reducing the content of oxygen as well as the C=C unsaturations and increasing the carbon length. For these aims, dehydrations, aldol condensations, and hydrogenations, are the most useful alternatives and acid catalysts play a key role in most of them [].
An older but still interesting strategy is using specific parts of biomass for obtaining fuels and chemicals, being first-generation ethanol and biodiesel as typical examples. Although most of these strategies tend to be discontinued because they compete with food-related purposes, these technologies are the basis of more competitive processes such as the manufacture of second-generation bioethanol or algae- or sludge-derived biodiesel. Biodiesel was initially obtained by homogeneous base-catalyzed transesterification, but heterogeneous acid catalysts are attractive alternatives, mainly in the presence of free fatty acids, to prevent undesired saponification [].
Summarizing, biomass-based technologies require a completely different chemistry from that developed in the traditional chemical industry, and the advance of biorefinery-based processes relies on the development of catalysts able to work at operation conditions far from those typical in petrochemical processes. Among these differential features, the ubiquitous presence of water (as reaction medium or as reaction by-products since biobased molecules high larger oxygen contents than organics of petrochemical origin), and the need of working at milder conditions (derived from the lower stability of the molecules and the more complex reaction schemes) stand out as the most important ones.
Cation exchange resins (such as Amberlyst® Purolite® or Nafion® materials) are very attractive catalysts for reactions performed either in aqueous media or with the release of water during the reaction. Operation temperatures of these resins are high enough for biorefinery applications: 120–140 °C for the styrene-based Amberlyst, and up to 220 °C for perfluorinated resins such as Nafion® [,]. In addition, these materials also show a wide range of acidities, from −2 to −11 (Hammett scale). Due to these reasons, ion exchange resins have been used in several reactions, such as the etherification of olefins with alcohols, dehydration of alcohols to olefins, alkylations, etc. [,,,].
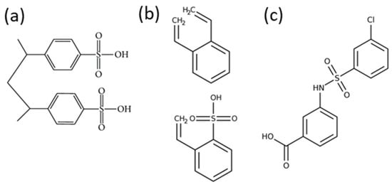
For this study, three different ion-exchange resins have been considered: Amberlyst 15 (A-15), Amberlyst 36 (A-36) and Amberlite IR-120 (IR-120). Their structures are shown in Figure 1, observing a very similar framework in the three cases, based on crosslinked styrene vinylbenzene polymers with sulfonic acids and, in the case of IR-120, chlorine atoms, Obtaining macroreticular polymeric resins with strongly acidic characters.
 
      
    
    Figure 1.
      Chemical structure of (a) Amberlyst 15; (b) Amberlyst 36; and (c) Amberlite IR-120.
  
These three resins were chosen based on the interesting results published in the literature for different processes that could be integrated into a biorefinery. Thus, the A-36 shows a high activity for acetins synthesis through continuous esterification of glycerol [], the isosorbide production from sorbitol dehydration [], or the production of active pharmaceutical ingredients from resorcinol [], among others. The A-15 resin is often used in organic chemistry for different etherification reactions, as reviewed in []. As to IR-120, it has been successfully tested for levulinic acid hydrogenation [] or the formylation of amines [].
The scope of this paper is to illustrate the potential of these materials for three very different reactions encountered in a biorefinery: the gas–phase synthesis of poly(oxymethylene) dimethyl ethers (fuel additives), the aqueous phase condensation of bioplatform molecules (namely furfural and levulinic acid), and the transesterification of the lipid phase of sludge to produce biodiesel.
2. Results and Discussion
2.1. Dimethylether Oligomerization to Obtain POMDME (Polyoxymethylene Dimethyl Ether)
Poly(oxymethylene) dimethyl ethers (POMDME) are a family of oxygenated compounds formed of a chain of oxymethylene units (CH2O) with methyl and methoxyl groups at the ends. In recent years, these compounds have been proposed as fuel additives to reduce the gaseous emissions of diesel fuels (e.g., particulate matter, CO, and hydrocarbons). POMDMEs with chain lengths (n) between 3 and 5 oxymethylene units present physicochemical properties closer to diesel fuels, so they are preferred for blending [,].
POMDME are synthesized in the liquid phase from methanol and formaldehyde (50–80 °C). The reaction mechanism involves a first reaction to produce dimethoxy methane (Equation (1)). Then, this intermediate reacts with additional formaldehyde molecules to generate POMDMEn of different numbers of oxymethylene units (n), (Equation (2)) [,]:
      
        
      
      
      
      
    
      
        
      
      
      
      
    
These reactions can be performed together in the same reactor since both are catalyzed by acidic materials, such as sulfuric acid, ionic liquids, heteropolyacids, aluminosilicates, or ion-exchange resins [,,]. However, the generation of stoichiometric amounts of water in the first reaction causes an inhibitory effect due to the preferential adsorption of this water reduces the number of active sites available for the main reaction []. In addition, undesired byproducts, such as hemiformals and glycols are formed, being present in a huge range of yields as a function of the amount of water present in the reaction media [,]. When using anhydrous reactants, water is only present because it is formed as a reaction product. In this case, the yield of these by-products can be up to 4%. To solve this issue, two different strategies are proposed. One alternative implies a two-step process based on separating the dimethoxy methane (step 1) and the POMDME syntheses (step 2) in two reactors with a water removal step (distillation) placed in-between. Other configurations are based on the use of reactive distillation for the synthesis of dimethoxy methane. The presence of an azeotrope (92.2% dimethoxy methane and 7.8% methanol) is the main restriction of this alternative, the two-step process being the most promising one.
The source of formaldehyde used in the POMDME synthesis is also important to guarantee that the reaction takes place in anhydrous conditions. One of the most promising alternatives is the use of trioxane (trioxymethylene, (CH2O)3). Trioxane is produced from formaldehyde, which is obtained by partial oxidation of methanol. Hence, the use of sustainable feedstocks can be easily incorporated through methanol manufacturing processes (for example through waste gasification syngas). Trioxane decomposes to formaldehyde at reaction conditions in a reaction catalyzed by the same acid catalyst used in the POMDME synthesis. The trioxane decomposition is suggested as the limiting step of this approach. Table 1 summarizes the main results published in terms of trioxane conversion and POMDME global selectivity [].
 
       
    
    Table 1.
    Comparison of catalysts for POMDME synthesis from dimethoxy methane and trioxane (2:1) in a batch reactor [].
  
In this work, the activity of the A-15 resin for the synthesis of POMDE using trioxane as a formaldehyde chemical source was analyzed. Figure 2 shows the main results obtained in a fixed-bed reactor at different operating conditions (45–80 °C, space-time 1.6–3.2 kg h/m3). As observed, POMDME2 is the main product at low trioxane conversions, with a marked decreasing trend at increasing conversions justified by the formation of the most interesting fraction (POMDME3–5). This fraction represents more than 50% of the total products at the maximum conversion reached (73%). This value is close to the equilibrium one (57.6%), according to data obtained in batch autoclave reactor at 80 °C and high reaction times (30 h). The selectivity of the heaviest fraction (not desired because of its high trend to solidify) is negligible for conversions lower than 40%, obtaining final values close to the equilibrium ones (12%).
 
      
    
    Figure 2.
      Selectivity of POMDME2 (●), POMDME3–5 (♦) and POMDME>5 (▲) measured as a function of trioxane conversion in a fixed-bed reactor for A-15 (1.6–3.2 kg h/m3) []. The intensity of the colors corresponds to the reaction temperature, from 45 to 80 °C (45, 50, 55, 60, 65, and 80 °C).
  
As observed by the common trend of all the experimental points, the selectivity distribution only depends on the conversion and not on the operating conditions required to reach it. According to these data, the maximum selectivity to the target fraction preventing the formation of POMDME>5 requires 50% of trioxane conversion, the value that can be achieved at intermediate temperatures (60–65 °C) with a space-time range of 2.3–2.7 kg h/m3. A kinetic model was derived from the reaction mechanism and fitted to experimental data. The kinetic modeling confirms that the opening of the trioxane ring is the rate-determining step (activation energy of 108.4 kJ/mol) []. The further growth of the oxomethylene chain is faster and, subsequently, in equilibrium.
Experiments in batch configuration at high reaction times (30 h) allow analyzing the influence of the reaction temperature on the maximum trioxane conversion (equilibrium) with the subsequent products’ distribution, data required to evaluate the mechanism of chain propagation. As indicated before, a minimum temperature of 60 °C is required to guarantee the optimum products’ distribution. This temperature is significantly lower than those proposed in the literature when using other catalysts (up to 130 °C when using zeolites, see Table 1), resins being the optimum ones from the point of view of sustainability. Lower reaction temperatures (Figure 3a shows the distribution obtained at 50 °C) limit the equilibrium conversion, with the subsequent negative effect on the products distribution, obtaining a mixture enriched in POMDME2. The evaluation of the evolution of the mass fraction composition agrees with the Schulz-Flory distribution for polymerization reactions, Wn = Cn·αn, where Wn is the weight fraction of the polymers with chain length n, and α is the propagation probability factor defined as the ratio of chain growth rate to the sum of chain growth and termination rates. A value of α = 0.35 has been determined by fitting the previous equation to the product distribution, as shown in Figure 3. This fact confirms that the chain is formed stepwise by the insertion of formaldehyde units [].
 
      
    
    Figure 3.
      (a) Equilibrium concentrations of POMDME as a function of the chain length, (b) evaluation of the Schulz-Flory distribution. Results obtained in batch reactor with A-15 (50 °C, 20% wt. trioxane and 1.6 kgcat/m3).
  
The direct comparison of these results with the literature is not easy, considering the different conditions tested, the formaldehyde source chosen, and because most references only evaluate the results by a global selectivity, involving the total chain length range (2–8), see Table 1. In any case, A-15 is demonstrated to be an optimum material for this reaction, obtaining POMDME2–8 selectivities close to 100% when the reaction is performed over 60 °C (this selectivity being enriched in the target one, POMDME3–5). These results are significantly better than those obtained with different mineral acids, ionic liquids, carbon materials, and solid superacids (total selectivities lower than 55% even when working at 130 °C) []. Only the HZSM-5 zeolite could be comparable, obtaining 88.5% of POMDME2–8 selectivity after 0.75 h at 130 °C.
2.2. Furfural-Levulinic Acid Aldol Condensation for the Production of Liquid Fuel Additives and Precursors
Aldol condensation is a very versatile reaction to generate new carbon-carbon bonds in which two carbonyl moieties (of aldehydes or ketones) react to form a β-hydroxyaldehyde or β-hydroxyketone. This condensation can occur by two different mechanisms, as a function of the presence of basic or acid catalysts. In the presence of acid sites, this compound is very unstable, suffering a fast dehydration, obtaining the conjugated enone and releasing water. Thus, this reaction is interesting since it allows increasing the length of the carbon chain of the chemicals involved, reducing their content in oxygen. Moreover, it occurs under mild conditions, a positive aspect from the sustainability point of view that guarantees its application to different biomass-derived chemicals (furfural, 5-hydroxymethylfurfural, cyclopentanone, etc.) that can suffer denaturalization or polymerization under more severe conditions. Thus, several authors have published promising studies about the application of this reaction to produce liquid fuels (diesel range, C8-C15) and different chemicals [,]. The basic route is the most developed one (including oxides, mixed oxides, and basic resins) since, in general, acid catalysts demonstrate a lower activity, reaching lower conversions and yields []. However, the acidic mechanism is required to guarantee good selectivity when using reactants with more than one functional group due to the competence of aldol condensation with other side reactions. As an example of this situation, this work evaluates the reaction between furfural (FFL) and levulinic acid (LA) []. FFL and LA are two of the most relevant platform molecules obtained by the acidic hydrolysis of hemicellulose and cellulose, respectively []. Their cross condensation is then an interesting route for the simultaneous valorization of biomass without requiring a purification step after the hydrolytic dehydration of these polymers, obtaining C10 compounds with interesting properties as fuel additives or precursors, polymers, and fine chemicals. The reaction network is depicted in Scheme 1. As shown in this scheme, the desired condensation competes with the possible oligomerization of both reactants, which reduces the possible temperature range of the reaction (oligomerization is promoted at high temperatures). In addition, as a function of the type of active sites of the catalysts, both, reactants, and products, can keep adsorbed on their surface, with the subsequent decrease in the carbon balance and a possible reduction in the catalytic activity by the partial blockage of the active sites. The relevance of this undesired effect increases as the temperature decreases, defining a narrow temperature range for this study (80–150 °C).
The competition between the ketone and the carboxylic functional group in the LA reduces the interest in the basic mechanism because of the competence with cyclization and other undesired reactions, yielding angelica lactone and dimmers []. To guarantee the desired condensation, the carboxylic group must be neutralized. In a previous work, two different approaches were studied, its neutralization with an inorganic salt (Na2CO3) and its esterification with ethanol []. The desired condensation was only reached with the first option, because the esterification is partially reversible at reaction conditions.
 
      
    
    Scheme 1.
      Reaction network for FFL-LA aldol condensation. Adapted from [].
  
Considering the microporosity of these catalysts, results obtained are conditioned by diffusional limitations, suggesting that the substitution of these materials by meso- or microporous solids with acidic functionalities could be an interesting approach to enhance the results obtained. With this aim, Figure 4 compares the results obtained with two typical acidic resins, IR-120 and A-36, with those obtained with an acidic zeolite, the H-β-25, after 8 h of reaction at 125 °C [].
 
      
    
    Figure 4.
      Conversion and yields obtained of LA/FFL aldol condensation after 8 h at 125 °C using different catalysts (7.2 g/L). Data correspond to IR-120 resin (red), A-36 resin (blue), and β-zeolite (yellow) [,].
  
The results obtained are strongly conditioned by the LA adsorption, as observed by the discrepancy between the LA conversions obtained and the yield of both products. The relevance of this adsorption is quite similar when using A-36 and β-zeolite (similar discrepancies) and significantly more relevant when using the IR-120 resin. IR-120 is more acidic than A-36 (2.6 and 2.2 meq H+·g−1, respectively, according to titration with NaOH results, see Section 3), justifying the highest adsorption observed with this material. However, the acidity of the H-β-25 is significantly lower (1.7 meq H+·g−1). This fact is congruent with a relevant contribution of the molecular sieve effect of this microporous material (average pore diameter of 10.2 Å), not observed when working with macroporous resins (pore diameter > 20 nm in both cases, see Section 3). This hypothesis is confirmed when observing the furfural total conversion. The lack of acidic functional groups justifies the lower adsorption of this molecule observed when using resins (better correspondence between conversion and yields). On the contrary, the conversion observed with the zeolite (30.2%) is almost double that the ones with resins (<17.5%), whereas the C10 productions do not justify these differences.
As a consequence of these adsorptions, the carbon balance closure obtained with the β-zeolite is the lowest (81.7%), whereas values higher than 88% are obtained with the resins (88.6 and 88.2%, with IR-120 and A-36, respectively).
As to the target products, the three materials mainly produce the branched adduct (β-C10), in good agreement with Zaitsev’s rule (prevalence of the most substituted olefinic compound in condensations), whereas the linear adduct only appears as traces in the case of the zeolite (yield of 0.5%). The prevalence of this adduct is justified by the higher stability of intermediates involving highly substituted carbons, as well as prevalence adsorption of the linear adduct, both aspects being discussed in the literature []. Small differences between the resins and the zeolite are observed, with final yields of 6.1, 7.8, and 9.0%, with IR-120, A-36, and β-zeolite, respectively. These results demonstrate that resins cannot be discarded for these applications, despite the previous literature suggesting that the acidic mechanism of aldol condensation is conditioned by the Lewis acidity and not by the Brønsted one, which is the main type of acidity in this type of materials [,].
2.3. Valorization of the Lipidic Fraction from Sewage Sludge for Biodiesel Production
The worldwide production of sewage sludge is growing every year because of the increasing environmental restrictions and the subsequent development of biological processes for wastewater treatment. Its treatment and disposal imply an important cost both, in economic and environmental terms. Thus, the valorization of this waste has attracted attention during the last few years. Nowadays, its transformation in compost or energy (biomethane obtained via anaerobic digestion) is well-stablished. However, the development of processes to obtain high-value products is more interesting in the context of the circular economy. Considering its chemical composition, enriched in lipids and quite similar to microalgae, sewage sludge could be considered as an alternative raw material for biodiesel production.
Biodiesel production can occur via esterification of free fatty acids with a simple alcohol (generally methanol) or via transesterification when these lipids take part of a more complex structure (mono-, di- and triglycerides) being linked to a glycerine molecule. The second route is the most common one since the highest proportion of lipids in animal fats and vegetable oils correspond to glycolipids. This reaction requires the addition of an acid, base, or enzymatic catalyst.
The use of acid ion exchange resins for biodiesel production was studied by several authors, using oil or fat as raw material obtaining promising results []. Using sludge, the initial lipid extraction from the complex cell structure is an additional drawback that increases the complexity of the reaction. Thus, the conventional method involves two different steps, the lipid extraction, and the transesterification of these lipids to obtain the esters. This sequential configuration allows the individual optimization of each stage, considering a purification step between them to guarantee the purest lipid stream for the transesterification, in the absence of water and other elements extracted from the sludge cells. This purification step reduces the economic viability of this approach []. As an alternative configuration, the in-situ transesterification combines lipid extraction and conversion as a single step. This approach has been proposed for microalgae, using zeolites [].
We have evaluated the activity of three different ion exchange resins, A-15, A-36, and IR-120 for the in-situ transesterification of sludge []. Before these reactions, the industrial samples were deeply characterized, to identify the initial properties and to know the maximum potential biodiesel that could be obtained. These analyses, deeply studied in a previous work [], demonstrate an average lipid concentration of 19.6% with a very low solid concentration (2.7%). The high moisture of these samples required previous centrifugation to obtain the dry solids, preventing the negative role of water in this procedure.
Figure 5 compares the biodiesel yield (calculated as the mass of methyl esters obtained by the mass of dry sludge) obtained with these materials with other studies despite the reaction conditions are not the same. In our case, the in-situ transesterification was performed with a MeOH/sludge ratio of 33:1 and a sludge/catalyst ratio of 2:1, at 120 °C for 21 h. These conditions were chosen based on a previous optimization [].
The best results using the in-situ configuration were proposed by Wu et al., using KOH/activated carbon as catalyst, with a maximum biodiesel yield of 6.8% []. Melero et al., studied both configurations: the two-step process and the in-situ one using Zr-SBA-15 obtaining very similar yields (5.9 and 6.0%, respectively). The highest yield reported considers the two-step process and a sludge-based granular activated carbon (SB-GAC), with a maximum yield of 17.3% [].
 
      
    
    Figure 5.
      Comparison of heterogeneous catalysts for biodiesel production using sewage sludge as raw material. ■ in situ transesterification and ■ two-step process [,,,]. Reactions performed in a batch autoclave reactor at 120 °C. Data corresponding to Amberlyst-15 (A-15), Amberlyst 36 (A-36), Amberlite IR-120 (IR-120), Amberlite IR-120 after sonication (IR-120 + US_O), Active carbon modified with KOH (KOH-AC), Zr supported on SBA molecular sieve (Zr-SBA15), and a sludge-based granular active carbon (SB-GAC).
  
As to the resins, the trend obtained (IR-120 > A-36 > A-15) is in good agreement with their acidity (2.6, 2.2, 1.0 meq H+/g, respectively) and swelling capacity, with a maximum yield of 4.3%. Considering the lipid composition of the sludge (37, 22, and 10%, respectively, see Section 3), this yield corresponds to the transformation of 21.2% of the maximum amount of lipids. However, the temporal evolution of these fatty acids methyl esters (FAMEs) indicates a flat yield after the first 16 h, and analysis of the reaction mixture discards the presence of free lipids, suggesting that the process is limited by the first stage (lipid extraction) that, only with the stirring and temperature, is not complete.
Trying to improve the initial results obtained with the resins and considering that the lipid extraction is the limiting step, different pretreatments were evaluated. The main aim of these pretreatments is to break the complex structure of the cell walls, making easier the contact between solvent and lipids, highlighting the good results obtained with sonication (US) []. The improvement observed by applying in this pretreatment is quite relevant (relative increase in the biodiesel yield of 55%). This yield (6.7%, a value that corresponds to the transformation of 33.3% of the total lipids) is directly comparable with the maximum one proposed in the literature for this configuration (KOH, 6.8%) [].
The reusability of this resin was tested in many consecutive cycles, recovering the catalyst by filtration and without any regeneration treatment. The IR-120 + US_O shows perfect stability after the first six cycles, with a slow decrease in yield (2%) after eight cycles. The stability is then a relevant advantage of these materials. This aspect is not commonly analyzed in the literature, the comparison with other materials being quite difficult. However, the lack of stability is a disadvantage of SB-GAC. Authors indicate a 14.2% of decrease after nine cycles [].
As to the quality of the biodiesel obtained, the chemical analysis indicates a mixture of C12-C24 FAMEs, with the prevalence of palmitic and stearic acid methyl esters (C16:0, C18:0, almost 40% each one) and a global degree of unsaturation of 14.85 []. Based on the chemical analysis of the FAMEs obtained, the quality of the biodiesel produced was evaluated and compared with the international standards obtaining good values for most of the properties required for its commercialization, such as the saponification value (190.4 mg KOH/g), the cold filter plugging point (64.2 °C), the cetane number (68.8) and the kinematic viscosity (2.01 mm2/s). On the contrary, the density obtained was slightly higher than the optimum one (907 kg/m3, whereas the ASTM D975 indicates that this value must be close to 890 kg/m3) suggesting that the heaviest FAMEs must be removed in a purification step. All these properties have been obtained by applying the corresponding mathematical models suggested in the literature [].
To sum up, these results corroborate that resins have a relevant activity, selectivity, and stability for high-quality biodiesel production using sewage sludge as raw material.
3. Materials and Methods
Amberlyst 15, Amberlyst 36, and Amberlite IR-120 (dry, hydrogen form) were supplied as spherical pellets (<300 µm) by Sigma Aldrich, St. Louis, MO, USA. The acidity of these materials was measured by titration with NaOH, whereas the morphological properties were estimated by N2 physisorption at −196 °C in an ASAP 2020 (Micromeritics, Norcross, GA, USA). The swelling capacity was measured according to the procedure proposed by Özbay et al. []. The main results obtained are summarized in Table 2.
 
       
    
    Table 2.
    Main morphological and acidic properties of the three ion-exchange resins used in this work.
  
POMDE synthesis in a continuous fixed bed reactor was performed in a stainless-steel tube with a 10.9 mm inner diameter and 600 mm length using 0.9 g of catalyst located in between two glass beds (20 mm) placed to guarantee a good distribution of the feed over the cross-section. The reactor is placed inside an electric oven and has a PID to control the temperature (40–90 °C, as required), whereas the pressure (8.5 bar) was chosen to prevent the evaporation of the reactants or products. The feed consisted of mixtures of methylal (in excess, acting as reactant and solvent) and trioxane (values given in the Section 2). Both reactants were supplied by Sigma Aldrich, St. Louis, MO, USA. Samples were obtained by accumulation and analyzed by gas chromatography using a Shimadzu GC-2010 (Shimadzu Corporation, Kyoto, Japan) with an FID detector, using a CP-Sil 8 CB capillary column as stationary phase. As to the batch experiments, they were performed in a 0.5 L stirred autoclave reactor, loading 0.25 L of the reactant solution and 0.4 g of the resin. The reactor was pressurized with 8 bar of nitrogen. The same GC-2010 was used for the analysis. More details about the analytical methods are described in previous works [,].
Furfural (FFL) and levulinic acid (LA) aldol condensation was performed in a 0.5 L stirred batch autoclave reactor equipped with a PID temperature controller and a backpressure regulator. LA was previously neutralized with Na2CO3. The reactor was loaded with 0.25 L of an aqueous solution of FFL (Sigma Aldrich, St. Louis, MO, USA, 99%) and NaLe solution (5% wt. of reactants), introducing 1.8 g of catalyst (average diameter of 50–80 µm). The evolution of the reaction was followed by taking the liquid samples from a sample port equipped with a filter to prevent the extraction of catalysts and possible solids formed during the reaction. Samples were analyzed by GC-FID after extraction with ethyl acetate because of instrumental requirements. Further details about the operation and analytical procedure are given in [].
Secondary sludge samples used as raw material for this study were collected from the floating unit of the secondary sludge treatments of a municipal wastewater plant in Villapérez, Asturias (NW Spain). The lipid content of the sewage sludge was determined using chloroform as a solvent, with a dry sludge/solvent ratio of 1 g/25 mL at 75 °C for 4 h under stirring. After extraction, the samples were filtered and centrifugated at 3000× g rpm for 5 min. The solvent was removed, and the lipids were calculated by weight. Transesterification of the secondary sludge lipids was performed in the same batch autoclave reactor used for the aldol condensation at 120 °C. The reactor was loaded with 0.3 L of methanol, and MeOH/sludge ratio of 33:1 and a sludge/catalyst ratio of 2:1. These conditions were chosen considering the previous optimization published in the literature for a similar raw material []. Reaction products were analyzed by GC-MS, according to the procedure outlined in []. The sample pretreated by microwaves was obtained after 10 min at 2450 MHz, whereas the sonication pretreatment was carried out for 50 min at 10 kHz, in both cases, without stirring. These conditions were optimized in a previous work [].
4. Conclusions
Ion exchange resins have emerged as an appealing class of catalysts for biorefinery operations, demonstrating effectiveness in aqueous, organic solvent, and gas phase reactions. The ability of ion exchange resins to remain stable in the presence of water and their mesoporous nature, which overcomes limitations associated with zeolitic materials when processing heavy bioplatform molecules, are among the key factors that promote their utilization in these applications. Moreover, their significant activity under mild conditions further underscores their potential as a catalyst.
In this article, we investigated the use of ion exchange resins in three distinct biorefinery applications, including the production of biodiesel from activated sludge wastes and the synthesis of POMDME through syngas or aqueous phase condensation of bioplatform molecules, such as furfural and levulinic acid. Our findings indicate that these applications open up new avenues for employing ion exchange resins in biomass upgrading processes.
Author Contributions
Conceptualization, L.F. and S.O.; methodology, Y.P., L.F. and P.M.; validation, Y.P., L.F. and P.M.; formal analysis, all authors; investigation, Y.P., R.P. and J.C.; resources, S.O. and E.D.; writing—original draft preparation, all authors; writing—review and editing, S.O.; funding acquisition, S.O. All authors have read and agreed to the published version of the manuscript.
Funding
This work was supported by the Asturian Government (contract GRUPIN AYUD/2021/50450, CRC Research Group).
Data Availability Statement
Reported data will be available on request.
Conflicts of Interest
The authors declare no conflict of interest.
References
- Bozzell, J.P.; Petersen, J.R. Technology development for the production of biobased products from biorefinery carbohydrates—The US Department of Energy’s “Top 10”. Green Chem. 2010, 12, 539–554. [Google Scholar] [CrossRef]
- Faba, L.; Díaz, E.; Ordóñez, S. Recent developments on the catalytic technologies for the transformation of biomass into biofuels: A patent survey. Renew. Sustain. Energy Rev. 2015, 51, 273–287. [Google Scholar] [CrossRef]
- Ahorsu, R.; Fedina, F.; Constantí, M. Significance and Challenges of biomass as suistable feedstock for bioenergy and biochemical production: A review. Energies 2018, 11, 3366. [Google Scholar] [CrossRef]
- Arias, S.; Agudelo, J.R.; Ramos, A.; Lapuerta, M. Emissions from a Euro 6 engine using polyoxymethylene dimethyl ethers: Chemical effects vs. mapping strategy. Fuel 2023, 335, 127017. [Google Scholar] [CrossRef]
- Bringue, R.; Ramirez, E.; Iborra, M.; Tejero, J.; Cunill, F. Kinetics of 1-hexanol etherification on Amberlyst 70. Chem. Eng. J. 2014, 246, 71–78. [Google Scholar] [CrossRef]
- De Maria, P.d.; Guajardo, N. Biocatalytic valorization of furans: Opportunities to inherently unstable substrates. ChemSusChem 2017, 10, 4123–4134. [Google Scholar] [CrossRef] [PubMed]
- Patino, Y.; Mantecón, L.G.; Polo, S.; Faba, L.; Diaz, E.; Ordonez, S. Effect of sludge features and extraction-esterification technology on the synthesis of biodiesel from secondary wastewater treatment sludges. Bioresour. Technol. 2018, 247, 209–216. [Google Scholar] [CrossRef]
- Gelbard, G. Organic synthesis by catalysis with ion-exchange resins. Ind. Eng. Chem. Res. 2005, 44, 8468–8498. [Google Scholar] [CrossRef]
- Harmer, M.A.; Sun, Q. Solid acid catalysis using ion-exchange resins. Appl. Catal. A Gen. 2001, 221, 45–62. [Google Scholar] [CrossRef]
- Săpunaru, O.V.; Sterpu, A.E.; Brînzei, M.; Pascu, S.; Koncsag, C.I. Etherification of olefins from catalytic cracking gasoline to increase its octane number. Chem. Eng. Process. 2023, 188, 109374. [Google Scholar] [CrossRef]
- Frija, L.M.T.; Afonso, C.A.M. Amberlyst®-15: A reusable heterogeneous catalyst for the dehydration of tertiary alcohols. Tetrahedron 2012, 68, 7414–7421. [Google Scholar] [CrossRef]
- Bringué, R.; Fité, C.; Iborra, M.; Tejero, J.; Cunill, F. Dehydration of 1-octanol to di-n-octyl ether in liquid phase with simultaneous water removal over ion exchange resins: Effect of working-state morphologies. Appl. Catal. A 2017, 545, 10–16. [Google Scholar] [CrossRef]
- Wang, R.; Wan, J.; Li, Y.; Sun, H. A further catalysis mechanism study on Amberlyst 35 resins application in alkylation desulfurization of gasoline. Chem. Eng. Sci. 2015, 137, 59–68. [Google Scholar] [CrossRef]
- Aghbashlo, M.; Tabatabaei, M.; Rastegari, H.; Ghaziaskar, H.S. Exergy-based sustainability analysis of acetins synthesis through continuous esterification of glycerol in acetic acid using Amberlyst®36 as catalyst. J. Clean. Prod. 2018, 183, 1265–1275. [Google Scholar] [CrossRef]
- Kamaruzaman, M.R.; Jiang, X.X.; Hu, X.D.; Chin, S.Y. High yield of isosorbide production from sorbitol dehydration catalysed by Amberlyst 36 under mild conditions. Chem. Eng. J. 2020, 388, 124186. [Google Scholar] [CrossRef]
- Sabou, R.; Hoelderich, W.F.; Ramprasad, D.; Weinand, R. Synthesis of 7-hydroxy-4-methylcoumarin via the Pechmann reaction with Amberlyst ion-exchange resins as catalysts. J. Catal. 2005, 232, 34–37. [Google Scholar] [CrossRef]
- Pal, R.; Sarkar, T.; Khasnobis, S. Amberlyst-15 in organic synthesis. Arkivoc 2012, 1, 570–609. [Google Scholar] [CrossRef]
- Delgado, J.; Vasquez Salcedo, W.N.V.; Bronzetti, G.; Moreno, V.C.; Mignot, M.; Legros, J.; Held, C.; Grénman, H.; Leveneur, S. Kinetic model assessment for the synthesis of γ-valerolactone from n-butyl levulinate and levulinic acid hydrogenation over the synergy effect of dual catalysts Ru/C and Amberlite IR-120. Chem. Eng. J. 2022, 430, 133053. [Google Scholar] [CrossRef]
- Reddy, M.; Bhojegowd, M.; Nizam, A.; Pasha, M.A. Amberlite IR-120: A Reusable Catalyst for N-Formylation of Amines with Formic Acid Using Microwaves. Chin. J. Catal. 2010, 31, 518–520. [Google Scholar]
- Baranowski, C.J.; Bahmanpour, A.M.; Kröcher, O. Catalytic synthesis of polyoxymethylene dimethyl ethers (OME): A review. Appl. Catal. B 2017, 217, 407–420. [Google Scholar] [CrossRef]
- Schmitz, N.; Burger, J.; Hasse, H. Reaction kinetics of the formation of poly(oxymethylene) dimethyl ethers from formaldehyde and methanol in aqueous solutions. Ind. Eng. Chem. Res. 2015, 54, 12553–12560. [Google Scholar] [CrossRef]
- Burger, J.; Ströfer, E.; Hasse, H. Chemical Equilibrium and Reaction Kinetics of the Heterogeneously Catalyzed Formation of Poly(oxymethylene) Dimethyl Ethers from Methylal and Trioxane. Ind. Eng. Chem. Res. 2012, 51, 12751–12761. [Google Scholar] [CrossRef]
- Zhang, J.; Shi, M.; Fang, D.; Liu, D. Reaction kinetics of the production of polyoxymethylene dimethyl ethers from methano and formaldehyde with acid cation exchange resin catalyst. React. Kinet. Mech. Catal. 2014, 113, 459–470. [Google Scholar] [CrossRef]
- Oestreich, D.; Lautenschütz, L.; Arnold, U.; Sauer, J. Reaction kinetics and equilibrium parameters for the production of oxymethylene dimethyl ethers (OME) from methanol and formaldehyde. Chem. Eng. Sci. 2017, 163, 92–104. [Google Scholar] [CrossRef]
- Ziyang, Z.; Hidajat, K.; Ray, A.K. Determination of adsorption and kinetic parameters for methyl tert-butyl ether synthesis from tert-butyl alcohol and methanol. J. Catal. 2001, 200, 209–221. [Google Scholar] [CrossRef]
- Peláez, R.; Marín, P.; Ordóñez, S. Effect of formaldehyde precursor and water inhibition in dimethoxymethane synthesis from methanol over acidic ion exchange resins: Mechanism and kinetics. Biofuel Bioprod. Biorefin. 2021, 15, 1696–1708. [Google Scholar] [CrossRef]
- Peláez, R.; Marín, P.; Ordóñez, S. Synthesis of poly(oxymethylene) dimethyl ethers from methylal and trioxane over acidic ion exchange resins: A kinetic study. Chem. Eng. J. 2020, 396, 125305. [Google Scholar] [CrossRef]
- He, J.; Qiang, Q.; Liu, S.M.; Song, K.; Zhous, X.W.; Guo, J.; Zhang, B.; Li, C.Z. Upgrading of biomass-derived furanic compounds into high-quality fuels involving aldol condensation strategy. Fuel 2021, 306, 121765. [Google Scholar] [CrossRef]
- Wu, L.P.; Moteki, T.; Gokhale, A.; Flaherty, D.W.; Toste, F.D. Production of fuels and chemicals from biomass: Condensation reactions and beyond. Chem 2016, 1, 32–58. [Google Scholar] [CrossRef]
- Zhang, X.; Li, Y.Q.; Qian, C.; An, L.; Wang, W.; Li, X.F.; Shao, X.Z.; Li, Z.Z. Research progress of catalysts for aldol condensation of biomass based compounds. RSC Adv. 2023, 13, 9466–9478. [Google Scholar] [CrossRef]
- Faba, L.; Cueto, J.; Díaz, E.; Ordóñez, S. From lignocellulosic biomass to chemical precursors: Simultaneous valorization of furfural and levulinic acid over mesoporous acid Catalysts. Ind. Crop. Prod. 2022, 188, 115692. [Google Scholar]
- Jian, Z.W.; Hu, D.; Zhao, Z.Y.; Yi, Z.X.; Chen, Z.; Yan, K. Mini-review on the synthesis of furfural and levulinic acid from lignocellulosic biomass. Processes 2021, 9, 1234. [Google Scholar] [CrossRef]
- Faba, L.; Díaz, E.; Ordóñez, S. Base-catalyzed condensation of levulinic acid: A new biorefinery upgrading approach. ChemCatChem 2016, 8, 1490–1494. [Google Scholar] [CrossRef]
- Cueto, J.; Korobka, V.; Faba, L.; Díaz, E.; Ordóñez, S. Aldol condensation of biomass-derived levulinic acid and furfural over acid zeolites. ACS Sustain. Chem. Eng. 2020, 8, 4371–4383. [Google Scholar] [CrossRef]
- Liang, G.; Wang, A.; Zhao, X.; Lei, N.; Zhang, T. Selective aldol condensation of bioimass-derived levulinic acid and furfural in aqueous-phase over MgO and ZnO. Green Chem. 2016, 18, 3430–3438. [Google Scholar] [CrossRef]
- Soto, R.; Oktar, N.; Fité, C.; Ramirez, E.; Bringué, R.; Tejero, J. Experimental study on the liquid-phase adsorption equilibrium of n-butanol over AmberlystTM 15 and contribution of diffusion resistances. Chem. Eng. Technol. 2021, 44, 2210–2219. [Google Scholar] [CrossRef]
- Orege, J.I.; Oderinde, O.; Kifle, G.A.; Ibikunle, A.A.; Raheem, S.A.; Ejeromedoghene, O.; Okeke, E.S.; Olukowi, O.M.; Orege, O.B.; Fagbohun, E.O.; et al. Recent advances in heterogeneous catalysis for green biodiesel production by transesterification. Energ. Conv. Manag. 2022, 258, 115406. [Google Scholar] [CrossRef]
- Go, A.W.; Sutanto, S.; Ong, L.K.; Tran-Nguyen, P.L.; Ismadji, S.; Ju, Y. Developments in in-situ (trans) esterification for biodiesel production: A critical review. Renew. Sustain. Energy Rev. 2016, 60, 284–305. [Google Scholar] [CrossRef]
- Carrero, A.; Vicente, G.; Rodríguez, R.; Linares, M.; del Peso, G.L. Hierarchical zeolites as catalysts for biodiesel production from Nannochloropsis microalga oil. Catal. Today 2011, 167, 148–153. [Google Scholar] [CrossRef]
- Patiño, Y.; Faba, L.; Díaz, E.; Ordóñez, S. Biodiesel production from wastewater sludge using exchange resins as heterogeneous acid catalyst: Catalyst selection and sludge pre-treatments. J. Water Process Eng. 2021, 44, 102335. [Google Scholar] [CrossRef]
- Siddiquee, M.; Rohani, S. Experimental analysis of lipid extraction and biodiesel production from wastewater sludge. Fuel Process. Technol. 2011, 92, 2241–2251. [Google Scholar] [CrossRef]
- Wu, X.; Zhu, F.; Qi, J.; Zhao, L. Biodiesel Production from Sewage Sludge by Using Alkali Catalyst Catalyze. Procedia Environ. Sci. 2016, 31, 26–30. [Google Scholar] [CrossRef]
- Melero, J.A.; Sánchez-Vázquez, R.; Vasiliadou, R.A.; Martínez Castillejo, F.; Bautista, L.F.; Iglesias, J.; Morales, G.; Molina, R. Municipal sewage sludge to biodiesel by simultaneous extraction and conversion of lipids. Energ. Conv. Manag. 2015, 103, 111–118. [Google Scholar] [CrossRef]
- Hatami, B.; Ebrahimi, A.A.; Ehrampoush, M.H.; Salmani, S.; Fatemeh Tamaddon, M.H.; Mokhtari, M. An efficient heterogeneous solid acid catalyst derived from sewage sludge for the catalytic transformation of sludge into biodiesel: Preparation, characterization, and arylation process modeling. J. Clean. Prod. 2022, 355, 131809. [Google Scholar] [CrossRef]
- Özbay, N.; Oktar, N.; Tapan, N.A. Esterification of free fatty acids in waste cooking oils (WCO): Role of ion-exchange resins. Fuel 2008, 87, 1789–1798. [Google Scholar] [CrossRef]
- Patiño, Y.; Faba, L.; Ordóñez, S. Effect of pretreatments and catalytic route in the quality and productivity of biodiesel obtained from secondary sludge. Biomass Bioenerg. 2021, 152, 106195. [Google Scholar] [CrossRef]
| Disclaimer/Publisher’s Note: The statements, opinions and data contained in all publications are solely those of the individual author(s) and contributor(s) and not of MDPI and/or the editor(s). MDPI and/or the editor(s) disclaim responsibility for any injury to people or property resulting from any ideas, methods, instructions or products referred to in the content. | 
© 2023 by the authors. Licensee MDPI, Basel, Switzerland. This article is an open access article distributed under the terms and conditions of the Creative Commons Attribution (CC BY) license (https://creativecommons.org/licenses/by/4.0/).
