Novel Brønsted Acidic Ionic Liquids as High Efficiency Catalysts for Liquid-Phase Beckmann Rearrangement
Abstract
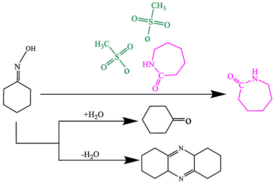
1. Introduction
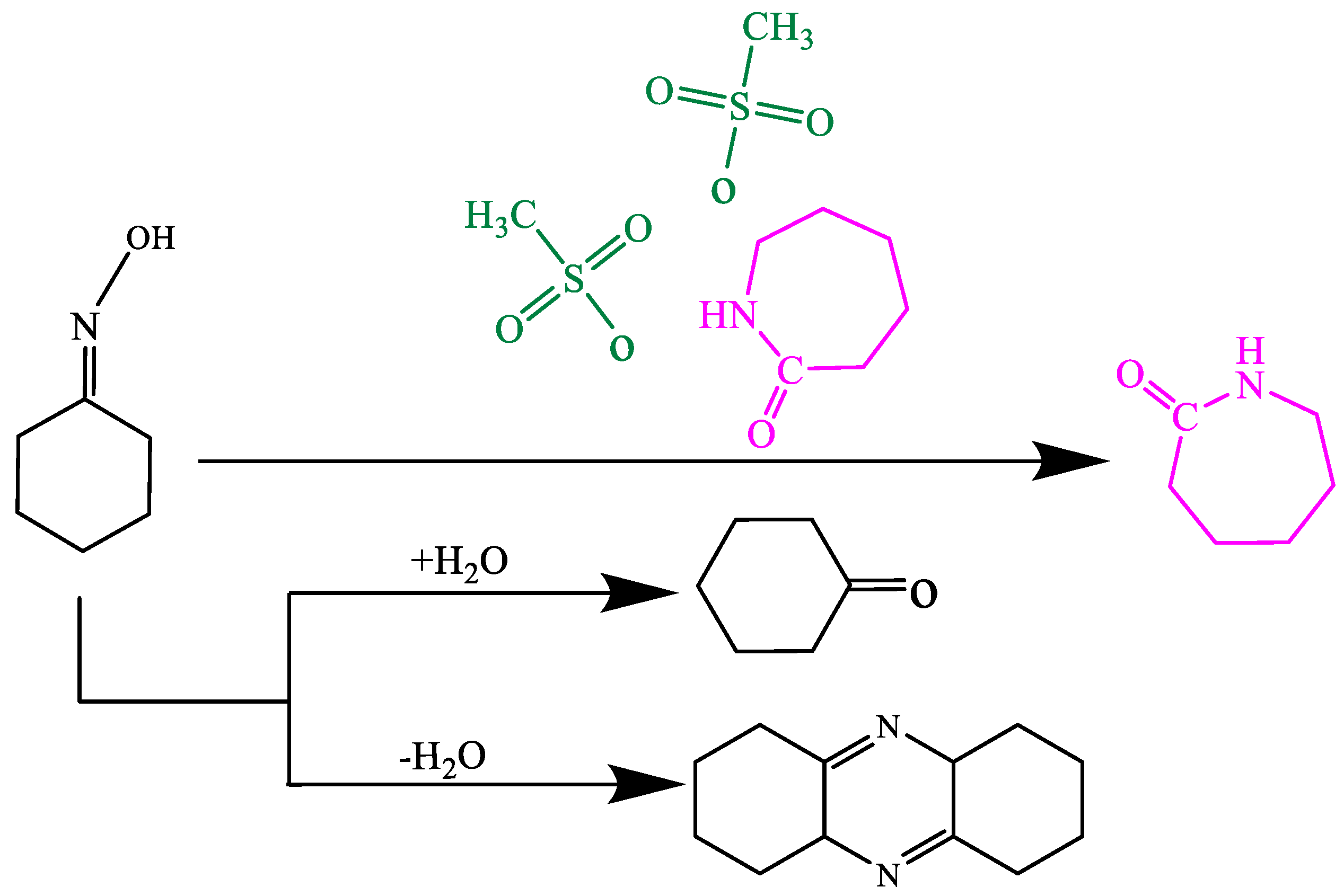
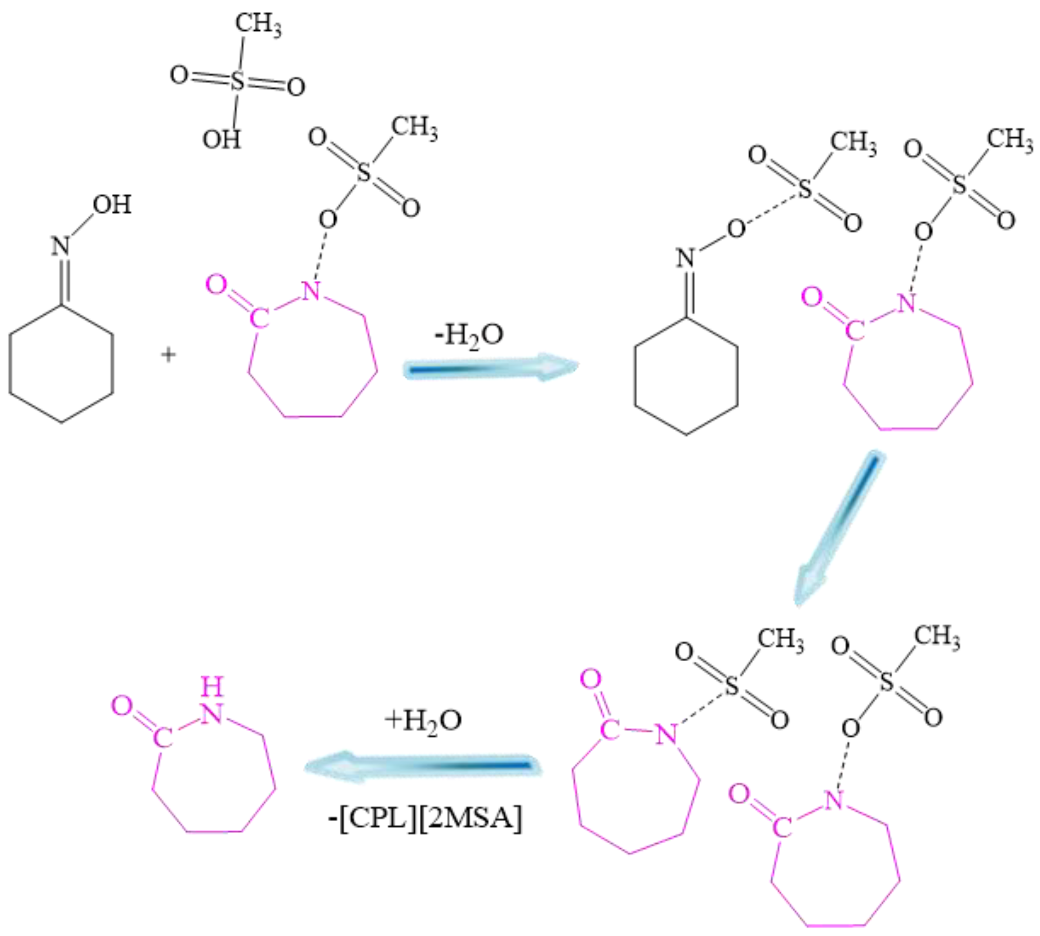
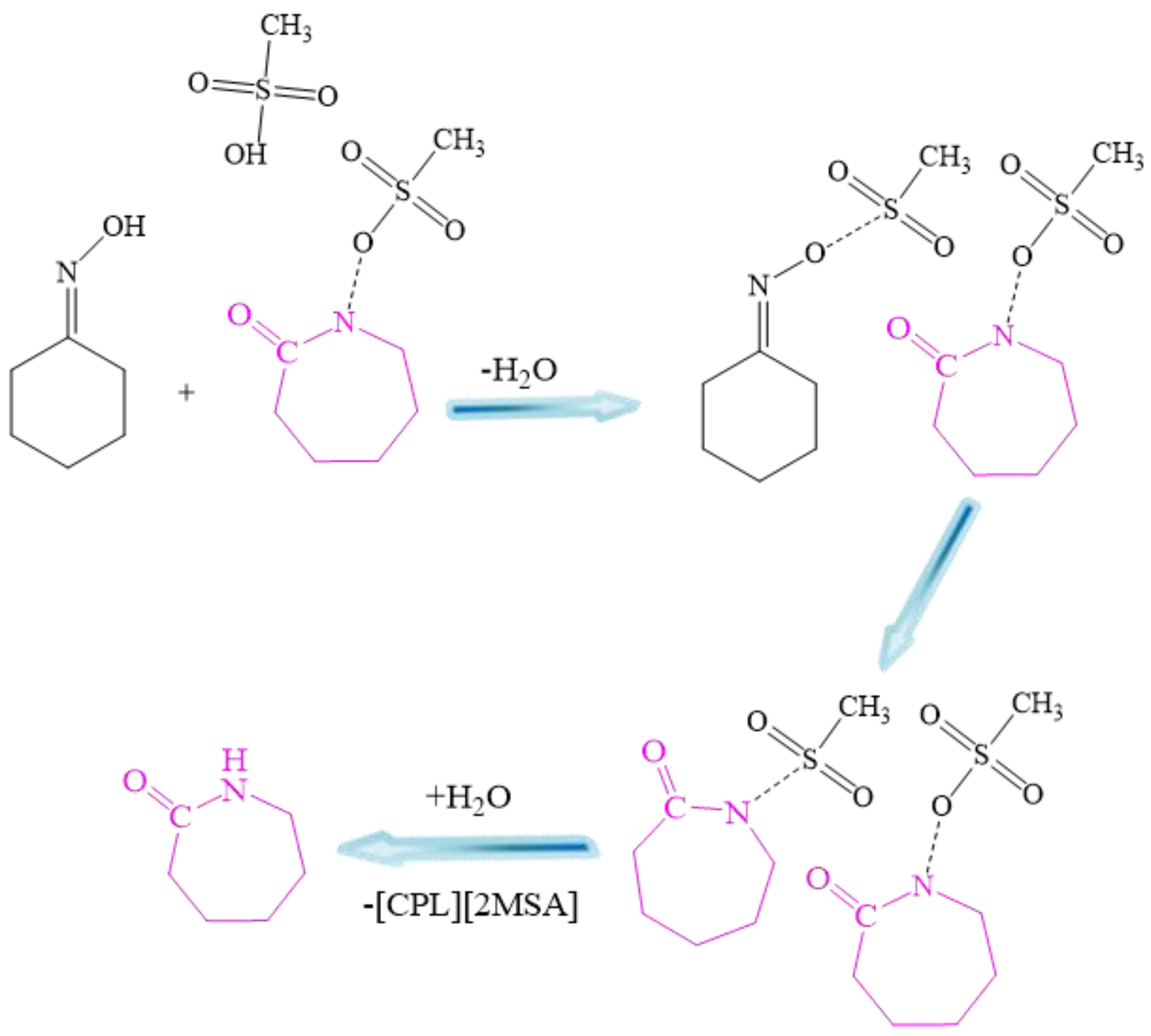
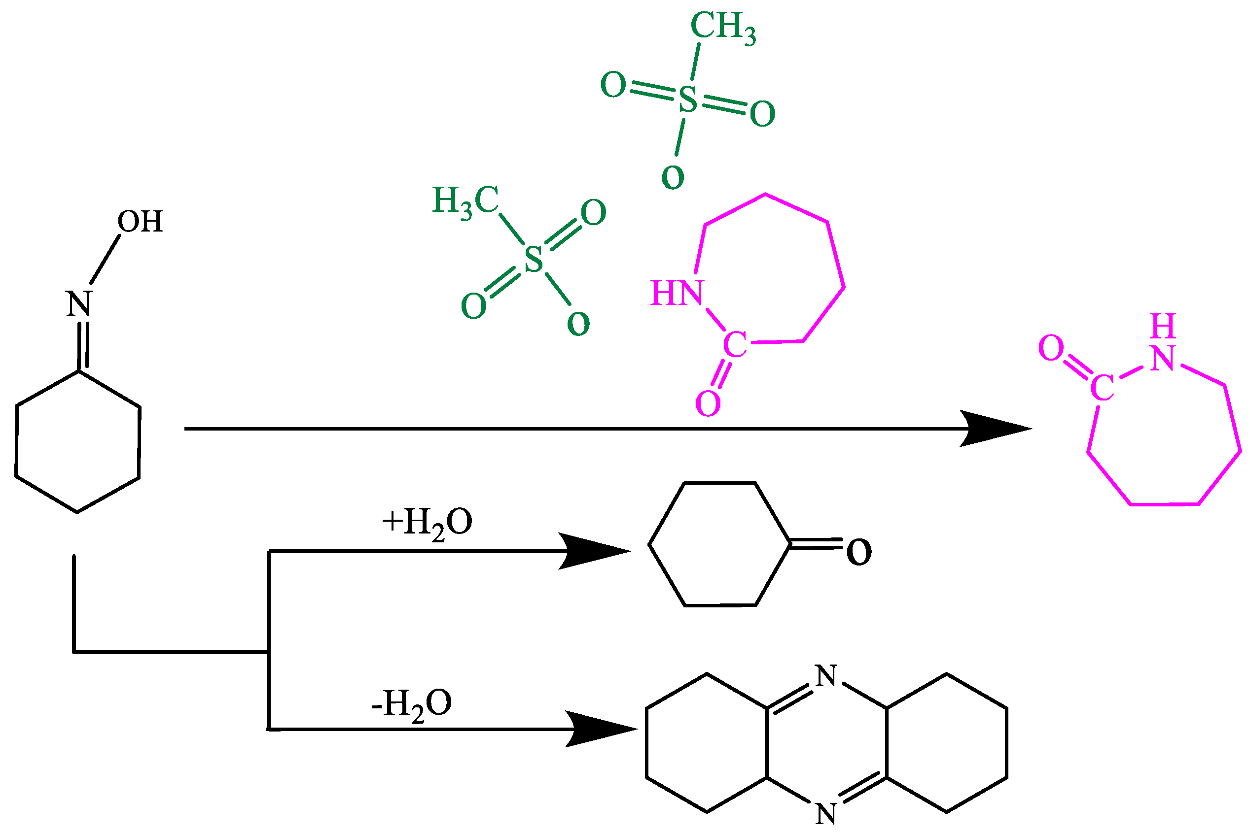
2. Results and Discussion
Characterization of the Synthesized [CPL][XMSA]
3. Materials and Methods
3.1. Chemicals
3.2. Synthesis of ILs ([CPL][XMSA])
3.3. Characterization
3.3.1. Nuclear Magnetic Resonance (NMR)
3.3.2. Fourier Transform Infrared (FT-IR) Spectrometer
3.3.3. In Situ FT-Raman
3.3.4. Thermogravimetric Analysis (TGA) and Differential Scanning Calorimetry (DSC)
3.4. Catalytic Reaction
3.5. Catalyst Recycling
3.6. COSMO-RS
3.7. DFT Calculation
4. Conclusions
Supplementary Materials
Author Contributions
Funding
Data Availability Statement
Conflicts of Interest
References
- Mokaya, R.; Poliakoff, M. A cleaner way to nylon? Nature 2005, 437, 1243–1244. [Google Scholar] [CrossRef]
- Zong, B.; Sun, B.; Cheng, S.; Mu, X.; Yang, K.; Zhao, J.; Zhang, X.; Wu, W. Green production technology of the monomer of nylon-6: Caprolactam. Engineering 2017, 3, 379–384. [Google Scholar] [CrossRef]
- Dahlhoff, G.; Niederer, J.P.M.; Hoelderich, W.F. ϵ-Caprolactam: New by-product free synthesis routes. Catal. Rev. 2001, 43, 381–441. [Google Scholar] [CrossRef]
- Ritz, J.; Fuchs, H.; Kieczka, H.; Moran, W.C. Caprolactam. In Ullmann’s Encyclopedia of Industrial Chemistry; Wiley–VCH: Ludwigshafen, Germany, 2011. [Google Scholar] [CrossRef]
- Du, C.; Zhang, J.; Li, L.; Wang, K.; Luo, G. A modified mixed-acid catalytic system for beckmann rearrangement of cyclohexanone oxime. AIChE J. 2019, 65, e16603. [Google Scholar] [CrossRef]
- Du, C.; Zhang, J.; Luo, G. Organocatalyzed beckmann rearrangement of cyclohexanone oxime in a microreactor: Kinetic model and product inhibition. AIChE J. 2018, 64, 571–577. [Google Scholar] [CrossRef]
- Zhang, J.; Wang, K.; Lu, Y.; Luo, G. Beckmann rearrangement in a microstructured chemical system for the preparation of ε-Caprolactam. AIChE J. 2012, 58, 925–931. [Google Scholar] [CrossRef]
- Maronna, M.M.; Kruissink, E.C.; Parton, R.F.; Tinge, J.T.; Hoelderich, W.F. Preparation of NbOx/SiO2-coated structured packing material and It’s catalytic performance in the gas-phase beckmann rearrangement of cyclohexanone oxime to ε-caprolactam. Catal. Commun. 2017, 90, 23–26. [Google Scholar] [CrossRef]
- Yin, C.; He, J.; Liu, S. Synthesis of mesoporous silicalite-1 zeolite for the vapor phase beckmann rearrangement of cyclohexanone oxime. Micropor. Mesopor. Mater. 2020, 307, 110517. [Google Scholar] [CrossRef]
- Maronna, M.M.; Kruissink, E.C.; Parton, R.F.; Tinge, J.T.; Soulimani, F.; Weckhuysen, B.M.; Hoelderich, W.F. NbOx/SiO2 in the gas-phase beckmann rearrangement of cyclohexanone oxime to ε-caprolactam: Influence of calcination temperature, niobia loading and silylation post-treatment. Appl. Catal. B Environ. 2016, 185, 272–280. [Google Scholar] [CrossRef]
- Wang, Z.; Ling, H.; Shi, J.; Stampfl, C.; Yu, A.; Hunger, M.; Huang, J. Acidity enhanced [Al]MCM-41 via ultrasonic irradiation for the beckmann rearrangement of cyclohexanone oxime to ɛ-caprolactam. J. Catal. 2018, 358, 71–79. [Google Scholar] [CrossRef]
- Kumar, R.; Chowdhury, B. Comprehensive study for vapor phase beckmann rearrangement reaction over zeolite systems. Ind. Eng. Chem. Res. 2014, 53, 16587–16599. [Google Scholar] [CrossRef]
- Cesana, A.; Palmery, S.; Buzzoni, R.; Spanò, G.; Rivetti, F.; Carnelli, L. Silicalite-1 deactivation in vapour phase beckmann rearrangement of cyclohexanone oxime to caprolactam. Catal. Today 2010, 154, 264–270. [Google Scholar] [CrossRef]
- Niu, Q.; Liu, M.; Xiao, Z.; Yuan, X.; Wu, J. In situ sulfonic acid-functionalized MIL-101(Cr) catalyzed liquid-phase beckmann rearrangement of cyclohexanone oxime. Micropor. Mesopor. Mater. 2020, 297, 110031. [Google Scholar] [CrossRef]
- Shiju, N.R.; Williams, H.M.; Brown, D.R. Cs exchanged phosphotungstic acid as an efficient catalyst for liquid-phase beckmann rearrangement of oximes. Appl. Catal. B Environ. 2009, 90, 451–457. [Google Scholar] [CrossRef]
- Blasco, T.; Corma, A.; Iborra, S.; Lezcano-González, I.; Montón, R. In situ multinuclear solid-state NMR spectroscopy study of beckmann rearrangement of cyclododecanone oxime in ionic liquids: The nature of catalytic sites. J. Catal. 2010, 275, 78–83. [Google Scholar] [CrossRef]
- Annath, H.; Chapman, S.; Donnelly, G.; Marr, P.C.; Marr, A.C.; Raja, R. Heterogenized ionic liquid-metal oxide hybrids: Enhanced catalytic activity in the liquid-phase beckmann rearrangement. ACS Sustain. Chem. Eng. 2018, 6, 16797–16805. [Google Scholar] [CrossRef]
- Zhang, J.S.; Riaud, A.; Wang, K.; Lu, Y.C.; Luo, G.S. Beckmann rearrangement of cyclohexanone oxime to ε-Caprolactam in a modified catalytic system of trifluoroacetic acid. Catal. Lett. 2014, 144, 151–157. [Google Scholar] [CrossRef]
- Li, Z.; Yang, Q.; Qi, X.; Xu, Y.; Zhang, D.; Wang, Y.; Zhao, X. A novel hydroxylamine ionic liquid salt resulting from the stabilization of NH2OH by a SO3H-functionalized ionic liquid. Chem. Commun. 2015, 51, 1930–1932. [Google Scholar] [CrossRef]
- Zicmanis, A.; Katkevica, S.; Mekss, P. Lewis acid-catalyzed beckmann rearrangement of ketoximes in ionic liquids. Catal. Commun. 2009, 10, 614–619. [Google Scholar] [CrossRef]
- Kore, R.; Srivastava, R. A simple, eco-friendly, and recyclable bi-functional acidic ionic liquid catalysts for beckmann rearrangement. J. Mol. Catal. A: Chem. 2013, 376, 90–97. [Google Scholar] [CrossRef]
- Li, D.; Mao, D.; Li, J.; Zhou, Y.; Wang, J. In situ functionalized sulfonic copolymer toward recyclable heterogeneous catalyst for efficient beckmann rearrangement of cyclohexanone oxime. App. Catal. A Gen. 2016, 510, 125–133. [Google Scholar] [CrossRef]
- Liu, X.; Xiao, L.; Wu, H.; Li, Z.; Chen, J.; Xia, C. Novel acidic ionic liquids mediated zinc chloride: Highly effective catalysts for the beckmann rearrangement. Catal. Commun. 2009, 10, 424–427. [Google Scholar] [CrossRef]
- Guo, S.; Du, Z.; Zhang, S.; Li, D.; Li, Z.; Deng, Y. Clean beckmann rearrangement of cyclohexanone oxime in caprolactam-based Brønsted acidic ionic liquids. Green Chem. 2006, 8, 296–300. [Google Scholar] [CrossRef]
- Li, Z.; Yang, Q.; Gao, L.; Xu, Y.; Zhang, D.; Wang, S.; Zhao, X.; Wang, Y. Reactivity of hydroxylamine ionic liquid salts in direct synthesis of caprolactam from cyclohexanone under mild conditions. RSC Adv. 2016, 6, 83619–83625. [Google Scholar] [CrossRef]
- Turgis, R.; Estager, J.; Draye, M.; Ragaini, V.; Bonrath, W.; Leveque, J.M. Reusable task-specific ionic liquids for a clean epsilon-caprolactam synthesis under mild conditions. ChemSusChem 2010, 3, 1403–1408. [Google Scholar] [CrossRef] [PubMed]
- Zhang, X.; Mao, D.; Leng, Y.; Zhou, Y.; Wang, J. Heterogeneous beckmann rearrangements catalyzed by a sulfonated imidazolium salt of phosphotungstate. Catal. Lett. 2012, 143, 193–199. [Google Scholar] [CrossRef]
- Matuszek, K.; Chrobok, A.; Coleman, F.; Seddon, K.; Swadźba-Kwaśny, M. Tailoring ionic liquid catalysts: Structure, acidity and catalytic activity of protonic ionic liquids based on anionic clusters, [(HSO4)(H2SO4)x]- (x = 0, 1, or 2). Green Chem. 2014, 16, 3463. [Google Scholar] [CrossRef]
- Wasserscheid, P.; Sesing, M.; Korth, W. Hydrogensulfate and tetrakis(hydrogensulfato)borate ionic liquids: Synthesis and catalytic application in highly Brønsted-acidic systems for friedel–crafts alkylation. Green Chem. 2002, 4, 134–138. [Google Scholar] [CrossRef]
- Yacovitch, T.; Wende, T.; Jiang, L.; Heine, N.; Meijer, G.; Neumark, D.; Asmis, K. Infrared spectroscopy of hydrated bisulfate anion clusters: HSO4-(H2O)(1–16). J. Phys. Chem. Lett. 2011, 2, 2135–2140. [Google Scholar] [CrossRef]
- Thomazeau, C.; Olivier-Bourbigou, H.; Magna, L.; Luts, S.; Gilbert, B. Determination of an acidic scale in room temperature ionic liquids. J. Am. Chem. Soc. 2003, 125, 5264–5265. [Google Scholar] [CrossRef]
- Tiwari, N.; Mishra, A. Computational perspectives on chlorpyrifos and its degradants as human glutathione s-transferases inhibitors: Dft calculations, molecular docking study and md simulations. Comput. Toxicol. 2023, 26, 100264. [Google Scholar] [CrossRef]
- Geng, F.; Zhang, R.; Wu, L.; Tang, Z.; Liu, H.; Liu, H.; Liu, Z.; Xu, C.; Meng, X. High-efficiency separation and extraction of naphthenic acid from high acid oils using imidazolium carbonate ionic liquids. Chin. J. Chem. Eng. 2022, 41, 252–259. [Google Scholar] [CrossRef]
- Thirumurugan, R.; Babu, B.; Anitha, K.; Chandrasekaran, J. Synthesis, growth, characterization and quantum chemical investigations of a promising organic nonlinear optical material: Thiourea-glutaric acid. J. Mol. Struct. 2018, 1171, 915–925. [Google Scholar] [CrossRef]
- O’Boyle, N.M.; Tenderholt, A.L.; Langner, K.M. Cclib: A library for package-independent computational chemistry algorithms. J. Comput. Chem. 2008, 29, 839–845. [Google Scholar] [CrossRef]
- Shkir, M.; Abbas, H. On the ground and excited state of glycine–glutaric acid: A new organic material. Spectrochim. Acta A 2014, 125, 453–457. [Google Scholar] [CrossRef]
- Martínez, J.; Maricarmen, H.R.; Abraham, M.A.; Guillermo, T.I.; Elvia, M.J.; María, I.N.V.; René, M.R. Computational studies of aflatoxin B1 (AFB1): A review. Toxins 2023, 15, 135. [Google Scholar] [CrossRef]
- Rezaei Motlagh, S.; Harun, R.; Awang Biak, D.R.; Hussain, S.A.; Wan Ab Karim Ghani, W.A.; Khezri, R.; Wilfred, C.D.; Elgharbawy, A.A.M. Screening of suitable ionic liquids as green solvents for extraction of eicosapentaenoic acid (EPA) from microalgae biomass using COSMO-RS model. Molecules 2019, 24, 713. [Google Scholar]
- Panić, M.; Radović, M.; Cvjetko Bubalo, M.; Radošević, K.; Rogošić, M.; Coutinho, J.A.P.; Radojčić Redovniković, I.; Jurinjak Tušek, A. Prediction of pH value of aqueous acidic and basic deep eutectic solvent using COSMO-RS σ Profiles’ molecular descriptors. Molecules 2022, 27, 4489. [Google Scholar] [CrossRef]
- Mohan, M.; Keasling, J.D.; Simmons, B.A.; Singh, S. In silico COSMO-RS predictive screening of ionic liquids for the dissolution of plastic. Green Chem. 2022, 24, 4140–4152. [Google Scholar] [CrossRef]
- Klamt, A.; Jonas, V.; Bürger, T.; Lohrenz, J.C.W. Refinement and parametrization of COSMO-RS. J. Phys. Chem. A 1998, 102, 5074–5085. [Google Scholar] [CrossRef]
- Han, J.; Dai, C.; Yu, G.; Lei, Z. Parameterization of COSMO-RS model for ionic liquids. Green Energy Environ. 2018, 3, 247–265. [Google Scholar] [CrossRef]
- Wang, J.; Song, Z.; Chen, L.; Xu, T.; Deng, L.; Qi, Z. Prediction of CO2 solubility in deep eutectic solvents using random forest model based on COSMO-RS-derived descriptors. Green Chem. Eng. 2021, 2, 431–440. [Google Scholar] [CrossRef]
- Yang, Z.; Ren, C.; Jiang, S.; Xin, Y.; Hu, Y.; Liu, Z. Theoretical predictions of compatibility of polyoxymethylene dimethyl ethers with diesel fuels and diesel additives. Fuel 2022, 307, 121797. [Google Scholar] [CrossRef]
- Xin, Y.; Hu, Y.; Wang, Y.; Jiang, S.; Li, M.; Chi, K.; Zhang, S.; Gao, F.; Ren, C.; Zhang, S.; et al. Alkylation catalyzed by H2SO4: Promoting effects of aso on the solubility of isobutane in acid phase. Fuel 2022, 326, 125034. [Google Scholar] [CrossRef]
- Wang, Y.; Xin, Y.; Gao, F.; Jiang, S.; Li, M.; Zhang, S.; Hu, Y.; Liu, Z. Solubility of isobutane in H2SO4 by the COSMO-RS model and mechanisms for additives to enhance the H2SO4 performance. Ind. Eng. Chem. Res. 2022, 61, 1503–1513. [Google Scholar] [CrossRef]
- Jordan, T.; Spiro, T.G. Uv resonance raman spectroscopy of cis-Amides. J. Raman Spectrosc. 1995, 26, 867–876. [Google Scholar] [CrossRef]
- Klamt, A.; Eckert, F. COSMO-RS: A novel and efficient method for the a priori prediction of thermophysical data of liquids. Fluid Phase Equilibr. 2000, 172, 43–72. [Google Scholar] [CrossRef]
- Constantinescu, D.; Rarey, J.; Gmehling, J. Application of COSMO-RS type models to the prediction of excess enthalpies. Ind. Eng. Chem. Res. 2009, 48, 8710–8725. [Google Scholar] [CrossRef]
- Gonzalez-Miquel, M.; Massel, M.; DeSilva, A.; Palomar, J.; Rodriguez, F.; Brennecke, J.F. Excess enthalpy of monoethanolamine + ionic liquid mixtures: How good are COSMO-RS predictions? J. Phys. Chem. B 2014, 118, 11512–11522. [Google Scholar] [CrossRef]
- Sun, S.; Liu, S.; Yu, F.; Zhang, J.; Xing, W.; Yu, S. High-yield and high-efficiency conversion of cyclohexanone oxime to ε-caprolactam in a green and facile reaction process over deep eutectic solvents. Chem. Eng. Sci. 2022, 253, 117519. [Google Scholar] [CrossRef]
- Zhang, D.; Wang, R.; Yang, X.; Yao, W. Vapor-phase beckmann rearrangement of cyclohexanone oxime over phosphorus modified si-MCM-41. Reac. Kinet. Mech. Cat. 2010, 101, 455–463. [Google Scholar] [CrossRef]
- Ge, C.; Li, Z.; Chen, G.; Qin, Z.; Li, X.; Dou, T.; Dong, M.; Chen, J.; Wang, J.; Fan, W. Kinetic study of vapor-phase beckmann rearrangement of cyclohexanone oxime over silicalite-1. Chem. Eng. Sci. 2016, 153, 246–254. [Google Scholar] [CrossRef]
- Zhang, J.S.; Wang, K.; Lu, Y.C.; Luo, G.S. Beckmann rearrangement of cyclohexanone oxime in a microchemical system: The role of SO3 and product inhibition. AIChE J. 2012, 58, 3156–3160. [Google Scholar] [CrossRef]
- Qi, X.; Cheng, G.; Lu, C.; Qian, D. Nitration of simple aromatics with NO2 under air atmosphere in the presence of novel Brønsted acidic ionic liquids. Synthetic Commun. 2008, 38, 537–545. [Google Scholar] [CrossRef]
- Zhang, C.; Yu, M.J.; Pan, X.Y.; Wu, G.; Jin, L.; Gao, W.D.; Du, M.; Zhang, J.C. Regioselective mononitration of chlorobenzene using caprolactam-based Brønsted acidic ionic liquids. J. Mol. Catal. A Chem. 2014, 383–384, 101–105. [Google Scholar] [CrossRef]
- Luo, H.; Yin, H.; Wang, R.; Fan, W.; Nan, G. Caprolactam-based Brønsted acidic ionic liquids for biodiesel production from jatropha oil. Catalysts 2017, 7, 102. [Google Scholar] [CrossRef]












| Entry | ILs | Amax | H0 | Acid Value (0.05 mol KOH/mL) |
|---|---|---|---|---|
| 1 | Blank | 2.73 | − | − |
| 2 | [CPL][MSA] | 2.63 | 2.43 | 10.87 |
| 3 | [CPL][2MSA] | 2.48 | 2.03 | 15.39 |
| 4 | [CPL][3MSA] | 2.39 | 1.89 | 18.25 |
| (H0 = pKa(I) + 1g[I]s/[HI+]s)[31], Amax (Maximum absorbance) | ||||
| Ionic Liquid | Tg (°C) | Td (°C) | Conductivity (S/cm−1) | Density (g/cm3) | Viscosity (cP) | E (V) | H2O a (ppm) | H2O b (ppm) |
|---|---|---|---|---|---|---|---|---|
| CPL | 10 | 259.3 | − | 1.03 | − | 1.7 | 87 | − |
| [CPL][MSA] | −4 | 271.2 | 6.67·10−4 | 1.18 | 78 | 1.8 | 187 | 186 |
| [CPL][2MSA] | −16 | 276.4 | 4.45·10−4 | 1.27 | 54 | 2.0 | 245 | 379 |
| [CPL][3MSA] | −22 | 287.7 | 3.24·10−4 | 1.33 | 37 | 2.1 | 319 | 567 |
| Ionic Liquid | E(V) | εLUMO | εHUMO | Free Energy (Hartree) | Dipole Moment (Debye) |
|---|---|---|---|---|---|
| CPL | 6.78 | −0.2314 | −7.0114 | −365.6195 | 4.4833 |
| [CPL][MSA] | 6.31 | −0.2709 | −6.5809 | −1029.6246 | 1.4170 |
| [CPL][2MSA] | 5.99 | −0.2914 | −6.2814 | −1694.2665 | 5.2633 |
| [CPL][3MSA] | 5.58 | −0.3183 | −5.8983 | −2358.6316 | 3.4694 |
| Entry | Catalysts | n (ILs: CHO) (mol) | T (°C) | t (h) | Conv. (%) | Sel. (%) |
|---|---|---|---|---|---|---|
| 1 | MSA | 3:1 | 90 | 2 | 100 | 29 |
| 2 | [CPL][MSA] | 3:1 | 90 | 2 | 100 | 47 |
| 3 | [CPL][2MSA] | 3:1 | 90 | 2 | 100 | 95.4 |
| 4 | [CPL][3MSA] | 3:1 | 90 | 2 | 100 | 65 |
| 5 | [CPL]Cl | 3:1 | 90 | 2 | 100 | 43 |
| 6 | [CPL][BF4] | 3:1 | 90 | 2 | 100 | 14 |
| 7 | [CPL][CSA] | 3:1 | 90 | 2 | 100 | 34 |
| 8 | [CPL][2Cl] | 3:1 | 90 | 2 | 100 | 47 |
| 9 | [CPL][2BF4] | 3:1 | 90 | 2 | 100 | 57 |
| 10 | [CPL][2CSA] | 3:1 | 90 | 2 | 100 | 84 |
| 11 | [CPL][2HSO4] | 3:1 | 90 | 2 | 100 | 37 |
| 12 | [CPL][2TsOH] | 3:1 | 90 | 2 | 100 | 71 |
| 13 | [CPL][2TfOH] | 3:1 | 90 | 2 | 100 | 64 |
| Catalysts | Experimental Conditions | Ea(kJ/mol) | Ref. |
|---|---|---|---|
| Trifluoroacetic acid (TFA) | 0.16 mol/L, TFA/acetonitrile = 2:1 | 93 (CHO), CPL (167) | [6] |
| Trifluoroacetic acid (TFA) | 0.16 mol/L, TFA/acetonitrile = 4:1 | 96 (CHO), CPL (159) | [6] |
| Trifluoroacetic acid (TFA) | 0.16 mol/L, TFA/acetonitrile = 9:1 | 92 (CHO), CPL (120) | [6] |
| Trifluoroacetic acid/oleum (T/A) | T/A ratio = 10, A/O ratio = 1.0 | 104.6 | [5] |
| Trifluoroacetic acid (TFA) | acetonitrile 15%wt., COX concentration 0.16 mol L−1 | 169 | [18] |
| [H2SO4] + [SO3] | ([H2SO4] + [SO3])/([caprolactam] + [cyclohexanone oxime] = 1.4 | 254 | [54] |
| [CPL][2MSA] | [CPL][2MSA]: CHO = 2:1 | 29.8 | This work |
| Entry | Oxime Substrate | Amide Product | Yield (%) |
|---|---|---|---|
| 1 | ![]() | ![]() | 96.2 |
| 2 | ![]() | ![]() | 98.4 |
| 3 | ![]() | ![]() | 92.7 |
| 4 | ![]() | ![]() | 94.9 |
| 5 | ![]() | ![]() | 95.1 |
Disclaimer/Publisher’s Note: The statements, opinions and data contained in all publications are solely those of the individual author(s) and contributor(s) and not of MDPI and/or the editor(s). MDPI and/or the editor(s) disclaim responsibility for any injury to people or property resulting from any ideas, methods, instructions or products referred to in the content. |
© 2023 by the authors. Licensee MDPI, Basel, Switzerland. This article is an open access article distributed under the terms and conditions of the Creative Commons Attribution (CC BY) license (https://creativecommons.org/licenses/by/4.0/).
Share and Cite
Ren, C.; Wang, Z.; Gao, Q.; Li, J.; Jiang, S.; Huang, Q.; Yang, Y.; Zhang, J.; Wang, Y.; Hu, Y.; et al. Novel Brønsted Acidic Ionic Liquids as High Efficiency Catalysts for Liquid-Phase Beckmann Rearrangement. Catalysts 2023, 13, 978. https://doi.org/10.3390/catal13060978
Ren C, Wang Z, Gao Q, Li J, Jiang S, Huang Q, Yang Y, Zhang J, Wang Y, Hu Y, et al. Novel Brønsted Acidic Ionic Liquids as High Efficiency Catalysts for Liquid-Phase Beckmann Rearrangement. Catalysts. 2023; 13(6):978. https://doi.org/10.3390/catal13060978
Chicago/Turabian StyleRen, Chunxiao, Zhiyuan Wang, Qingwei Gao, Jisheng Li, Siqi Jiang, Qizhong Huang, Ye Yang, Jiahui Zhang, Yajing Wang, Yufeng Hu, and et al. 2023. "Novel Brønsted Acidic Ionic Liquids as High Efficiency Catalysts for Liquid-Phase Beckmann Rearrangement" Catalysts 13, no. 6: 978. https://doi.org/10.3390/catal13060978
APA StyleRen, C., Wang, Z., Gao, Q., Li, J., Jiang, S., Huang, Q., Yang, Y., Zhang, J., Wang, Y., Hu, Y., Liu, Z., & Guo, X. (2023). Novel Brønsted Acidic Ionic Liquids as High Efficiency Catalysts for Liquid-Phase Beckmann Rearrangement. Catalysts, 13(6), 978. https://doi.org/10.3390/catal13060978










