Feed Effects on Water–Gas Shift Activity of M/Co3O4-ZrO2 (M = Pt, Pd, and Ru) and Potassium Role in Methane Suppression
Abstract
1. Introduction
2. Results and Discussion
2.1. X-ray Diffraction and BET Measurements
2.2. Scanning Electron Microscopy and Transmission Electron Microscopy Studies
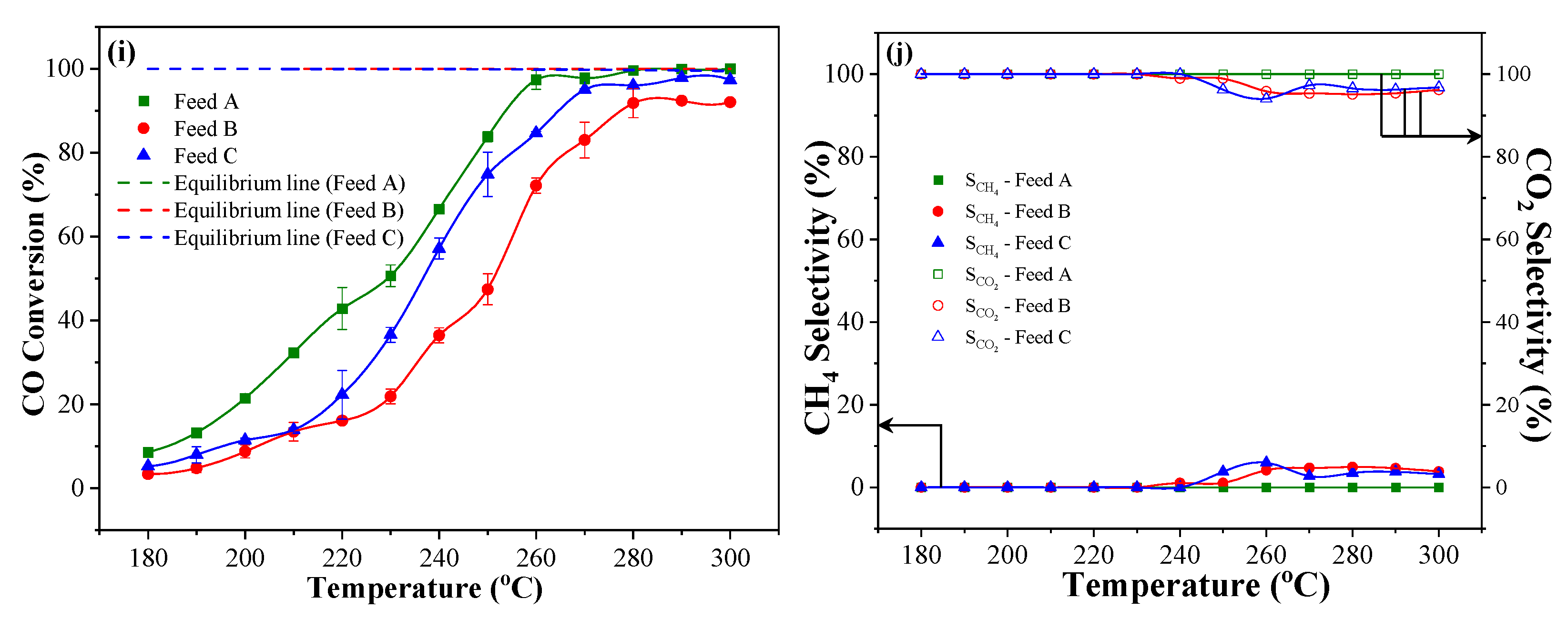
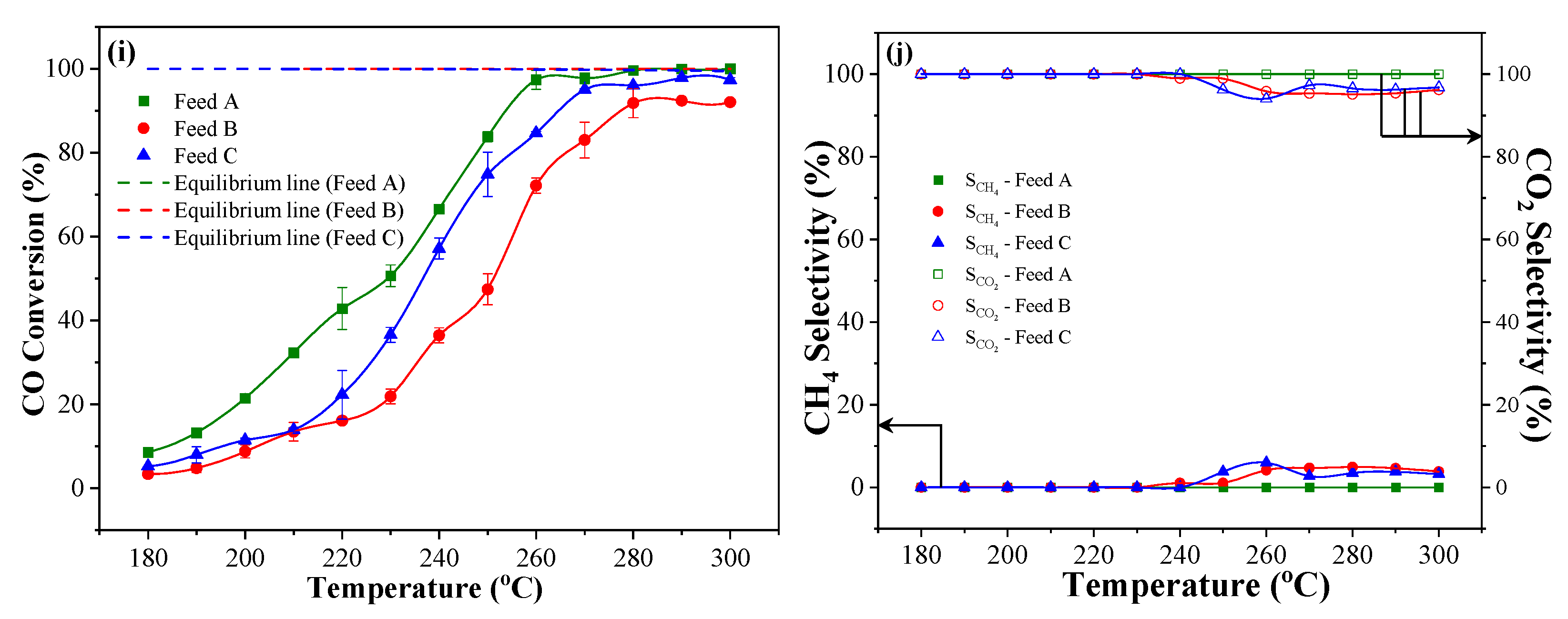
2.3. Catalytic Activity Studies
| Catalyst | Feed Details | Method of Synthesis | Temperature, °C | GHSV, h−1 | % Conversion of CO and % CH4, CO2 Selectivity | Reaction Rate, μmol g−1 s−1 | Ref. |
|---|---|---|---|---|---|---|---|
| Mn2.94Pt0.06O4-ö | CO:N2 = 2:98 vol % Flowrate at NTP: 100 mL/min Water flowrate at NTP = 0.1 mL/min 100 mg catalyst | Sonochemical | 250 | 48,000 (dry basis) | XCO = 100% SCH4 = 0 SCO2 = 100% | 12.24 | [46] |
| Ti0.84Pt0.01Fe0.15O4-ö | CO:N2 = 2:98 vol % Flowrate at NTP: 100 mL/min Water vapor flowrate at 150 °C = 55 mL/min 300 mg catalyst | Sonochemical | 280 | 48,000 (dry basis) | XCO = 56% SCH4 = 0 SCO2 = 100% | 2.59 | [47] |
| 1% Pt/Ceria | CO:H2O:H2:N2 = 1.5:50:40:8.5 vol % 300 mg catalyst | Incipient wet impregnation | 325 | - | XCO = 56% SCH4 = - SCO2 = - | - | [48] |
| Pd/Ce0.83Zr0.15O2 | CO:CO2:H2:N2 = 2:10:40:48 vol% Flowrate at NTP: 100 mL/min Water flowrate at NTP = 0.1 mL/min 500 mg catalyst | Solution combustion | 250 | 95,000 (dry basis) | XCO = 94% SCH4 = - SCO2 = - | - | [49] |
| Ce0.93Zn0.05Pt0.02O2-ö | CO:N2 = 2:98 vol% Flowrate at NTP: 100 mL/min Water flowrate at NTP = 0.05 mL/min 200 mg catalyst | Sol-gel | 300 | 48,000 (dry basis) | XCO = 94% SCH4 = - SCO2 = - | 8.33 | [27] |
| RuCZ (Feed A) | CO:N2 = 2:98 vol% Flowrate at NTP: 100 mL/min Water flowrate at NTP = 0.05 mL/min 150 mg catalyst | Sonochemical | 320 | 48,000 (dry basis) | XCO = 92% SCH4 = 0% SCO2 = 100% | 8.36 | Present Study |
| RuCZ (Feed B) | CO:H2:N2 = 2:35:63 vol% Flowrate at NTP: 100 mL/min Water flowrate at NTP = 0.05 mL/min 150 mg catalyst | Sonochemical | 320 | 48,000 (dry basis) | XCO = 96% SCH4 = 37% SCO2 = 63% | 8.72 | Present Study |
| RuCZ (Feed C) | CO:H2:CO2:N2 = 2:35:14:49 vol% Flowrate at NTP: 100 mL/min Water flowrate at NTP = 0.05 mL/min 150 mg catalyst | Sonochemical | 320 | 48,000 (dry basis) | XCO = 84% SCH4 = 47% SCO2 = 53% | 7.63 | Present Study |
| PdCZ (Feed A) | CO:N2 = 2:98 vol% Flowrate at NTP: 100 mL/min Water flowrate at NTP = 0.05 mL/min 150 mg catalyst | Sonochemical | 320 | 48,000 (dry basis) | XCO = 47% SCH4 = 0% SCO2 = 100% | 4.27 | Present Study |
| PdCZ (Feed B) | CO:H2:N2 = 2:35:63 vol% Flowrate at NTP: 100 mL/min Water flowrate at NTP = 0.05 mL/min 150 mg catalyst | Sonochemical | 320 | 48,000 (dry basis) | XCO = 73% SCH4 = 18% SCO2 = 82% | 6.63 | Present Study |
| PdCZ (Feed C) | CO:H2:CO2:N2 = 2:35:14:49 vol% Flowrate at NTP: 100 mL/min Water flowrate at NTP = 0.05 mL/min 150 mg catalyst | Sonochemical | 320 | 48,000 (dry basis) | XCO = 56% SCH4 = 13% SCO2 = 87% | 5.09 | Present Study |
| PtCZ (Feed A) | CO:N2 = 2:98 vol% Flowrate at NTP: 100 mL/min Water flowrate at NTP = 0.05 mL/min 150 mg catalyst | Sonochemical | 300 | 48,000 (dry basis) | XCO = 100% SCH4 = 0% SCO2 = 100% | 9.09 | Present Study |
| PtCZ (Feed B) | CO:H2:N2 = 2:35:63 vol% Flowrate at NTP: 100 mL/min Water flowrate at NTP = 0.05 mL/min 150 mg catalyst | Sonochemical | 300 | 48,000 (dry basis) | XCO = 96% SCH4 = 17% SCO2 = 83% | 8.72 | Present Study |
| PtCZ (Feed C) | CO:H2:CO2:N2 = 2:35:14:49 vol% Flowrate at NTP: 100 mL/min Water flowrate at NTP = 0.05 mL/min 150 mg catalyst | Sonochemical | 300 | 48,000 (dry basis) | XCO = 57% SCH4 = 26% SCO2 = 74% | 5.18 | Present Study |
| KPtCZ (Feed A) | CO:N2 = 2:98 vol% Flowrate at NTP: 100 mL/min Water flowrate at NTP = 0.05 mL/min 150 mg catalyst | Sonochemical | 300 | 48,000 (dry basis) | XCO = 100% SCH4 = 0% SCO2 = 100% | 9.09 | Present Study |
| KPtCZ (Feed B) | CO:H2:N2 = 2:35:63 vol% Flowrate at NTP: 100 mL/min Water flowrate at NTP = 0.05 mL/min 150 mg catalyst | Sonochemical | 300 | 48,000 (dry basis) | XCO = 98% SCH4 = 4% SCO2 = 96% | 8.9 | Present Study |
| KPtCZ (Feed C) | CO:H2:CO2:N2 = 2:35:14:49 vol% Flowrate at NTP: 100 mL/min Water flowrate at NTP = 0.05 mL/min 150 mg catalyst | Sonochemical | 300 | 48,000 (dry basis) | XCO = 93% SCH4 = 3.3% SCO2 = 96.7% | 8.45 | Present Study |
| Feed A | CO:N2 = 2:98 vol% Flowrate at NTP: 100 mL/min Water flowrate at NTP = 0.05 mL/min | No Catalyst | 300 | - | (with WGS alone) XCO = 99.94% SCH4 = 0% SCO2 = 100% (with side reactions) XCO = 99.92% SCH4 = 7.3% SCO2 = 92.7% | - | Equilibrium |
| Feed B | CO:H2:N2 = 2:35:63 vol% Flowrate at NTP: 100 mL/min Water flowrate at NTP = 0.05 mL/min | No Catalyst | 300 | - | (with WGS alone) XCO = 98.7% SCH4 = 0% SCO2 = 100% (with side reactions) XCO = 100% SCH4 = 100% SCO2 = 0% | - | Equilibrium |
| Feed C | CO:H2:CO2:N2 = 2:35:14:49 vol% Flowrate at NTP: 100 mL/min Water flowrate at NTP = 0.05 mL/min | No Catalyst | 300 | - | (with WGS alone) XCO = 89.3% SCH4 = 0% SCO2 = 100% (with side reactions) XCO = 99.48% SCH4 = 49.4% SCO2 = 50.6% (with WGS alone) | - | Equilibrium |
2.4. X-ray Photoelectron Spectroscopy Studies
2.5. H2–Temperature Programming Reduction (H2–TPR) Analysis
3. Materials and Methods
3.1. Materials
3.2. Catalyst Synthesis
3.3. WGS Experimental Conditions
3.4. Characterization Methods
3.5. H2-Temperature Programmed Reduction
4. Conclusions
Author Contributions
Funding
Data Availability Statement
Conflicts of Interest
References
- Reitz, W. Handbook of Fuel Cells: Fundamentals, Technology, and Applications; Vielstich, W., Lamm, A., Gasteiger, H.A., Eds.; John Wiley and Sons, Ltd.: Hoboken, NJ, USA, 2007; Volume 2, pp. 5–30. [Google Scholar]
- Reddy, G.K.; Smirniotis, P.G. Introduction about WGS reaction. In Water Gas Shift Reaction: Research Developments and Apllications, 2nd ed.; Reddy, G.K., Smirniotis, P.G., Eds.; Elsevier: Amsterdam, The Netherlands, 2015; pp. 1–20. [Google Scholar]
- Tonkovich, A.Y.; Zilka, J.L.; LaMont, M.J.; Wang, Y.; Wegeng, R.S. Microchannel reactors for fuel processing applications. I. Water gas shift reactor. Chem. Eng. Sci. 1999, 54, 2947–2951. [Google Scholar] [CrossRef]
- Potdar, H.S.; Jeong, D.-W.; Kim, K.-S.; Roh, H.-S. Synthesis of highly active nano-sized Pt/CeO2 catalyst via a cerium hydroxy carbonate precursor for water gas shift reaction. Catal. Lett. 2011, 141, 1268–1274. [Google Scholar] [CrossRef]
- Reddy, G.K.; Gunasekara, K.; Boolchand, P.; Smirniotis, P.G. Cr- and Ce-doped ferrite catalysts for the high temperature water−gas shift reaction: TPR and Mossbauer Spectroscopic Study. J. Phys. Chem. C 2011, 115, 920–930. [Google Scholar] [CrossRef]
- Soria, M.A.; Pérez, P.; Carabineiro, S.A.C.; Maldonado-Hódar, F.J.; Mendes, A.; Madeira, L.M. Effect of the preparation method on the catalytic activity and stability of Au/Fe2O3 catalysts in the low-temperature water–gas shift reaction. Appl. Catal. A Gen. 2014, 470, 45–55. [Google Scholar] [CrossRef]
- Bussche, K.M.V.; Froment, G.F. A steady-state kinetic model for methanol synthesis and the water gas shift reaction on a commercial Cu/ZnO/Al2O3 catalyst. J. Catal. 1996, 161, 1–10. [Google Scholar] [CrossRef]
- Bahmani, M.; Nazari, M.; Mehreshtiagh, M. A study on the mechanical strength of Fe2O3/Cr2O3/CuO catalyst for high temperature water gas shift reaction. J. Porous Mater. 2021, 28, 683–693. [Google Scholar] [CrossRef]
- Rodriguez, J.A.; Grinter, D.C.; Liu, Z.; Palomino, R.M.; Senanayake, S.D. Ceria-based model catalysts: Fundamental studies on the importance of the metal–ceria interface in CO oxidation, the water–gas shift, CO2 hydrogenation, and methane and alcohol reforming. Chem. Soc. Rev. 2017, 46, 1824–1841. [Google Scholar] [CrossRef]
- Mandapaka, R.; Natarajan, P.; Madras, G. Microkinetic model for WGS over ionic platinum substituted ceria under r-WGS conditions. Int. J. Hydrogen Energy 2017, 42, 23891–23898. [Google Scholar] [CrossRef]
- Chamnankid, B.; Föttinger, K.; Rupprechter, G.; Kongkachuichay, P. Cu/Ni-Loaded CeO2-ZrO2 catalyst for the water-gas shift reaction: Effects of loaded metals and CeO2 addition. Chem. Eng. Technol. 2014, 37, 2129–2134. [Google Scholar] [CrossRef]
- Guild, C.J.; Vovchok, D.; Kriz, D.A.; Bruix, A.; Hammer, B.; Llorca, J.; Xu, W.; El-Sawy, A.; Biswas, S.; Rodriguez, J.A.; et al. Water-Gas-Shift over metal-free nanocrystalline ceria: An experimental and theoretical study. ChemCatChem 2017, 9, 1373–1377. [Google Scholar] [CrossRef]
- Panagiotopoulou, P.; Kondarides, D.I. Effects of alkali promotion of TiO2 on the chemisorptive properties and water–gas shift activity of supported noble metal catalysts. J. Catal. 2009, 267, 57–66. [Google Scholar] [CrossRef]
- Silva, L.P.C.; Terra, L.E.; Coutinho, A.C.S.L.S.; Passos, F.B. Sour water–gas shift reaction over Pt/CeZrO2 catalysts. J. Catal. 2016, 341, 1–12. [Google Scholar] [CrossRef]
- Reina, T.R.; Ivanova, S.; Delgado, J.J.; Ivanov, I.; Idakiev, V.; Tabakova, T.; Centeno, M.A.; Odriozola, J.A. Viability of Au/CeO2–ZnO/Al2O3 catalysts for pure hydrogen production by the water–gas shift reaction. ChemCatChem 2014, 6, 1401–1409. [Google Scholar]
- Aranifard, S.; Ammal, S.C.; Heyden, A. On the importance of the associative carboxyl mechanism for the water-gas shift reaction at Pt/CeO2 interface sites. J. Phys. Chem. C 2014, 118, 6314–6323. [Google Scholar] [CrossRef]
- Li, Y.; Fu, Q.; Flytzani-Stephanopoulos, M. Low-temperature water-gas shift reaction over Cu- and Ni-loaded cerium oxide catalysts. Appl. Catal. B Environ. 2000, 27, 179–191. [Google Scholar] [CrossRef]
- Rodriguez, J.A.; Ma, S.; Liu, P.; Hrbek, J.; Evans, J.; Pérez, M. Activity of CeOx and TiOx nanoparticles grown on Au(111) in the water-gas shift reaction. Science 2007, 318, 1757–1760. [Google Scholar] [CrossRef]
- Fu, Q.; Saltsburg, H.; Flytzani-Stephanopoulos, M. Active nonmetallic Au and Pt species on ceria-based water-gas shift catalysts. Science 2003, 301, 935–938. [Google Scholar] [CrossRef]
- Sato, Y.; Terada, K.; Hasegawa, S.; Miyao, T.; Naito, S. Mechanistic study of water–gas-shift reaction over TiO2 supported Pt–Re and Pd–Re catalysts. Appl. Catal. A Gen. 2005, 296, 80–89. [Google Scholar] [CrossRef]
- Panagiotopoulou, P.; Kondarides, D.I. A comparative study of the water-gas shift activity of Pt catalysts supported on single (MOx) and composite (MOx/Al2O3, MOx/TiO2) metal oxide carriers. Catal. Today 2007, 127, 319–329. [Google Scholar] [CrossRef]
- Ang, M.L.; Oemar, U.; Kathiraser, Y.; Saw, E.T.; Lew, C.H.K.; Du, Y.; Borgna, A.; Kawi, S. High-temperature water–gas shift reaction over Ni/xK/CeO2 catalysts: Suppression of methanation via formation of bridging carbonyls. J. Catal. 2015, 329, 130–143. [Google Scholar] [CrossRef]
- Bang, G.; Moon, D.-K.; Kang, J.-H.; Han, Y.-J.; Kim, K.-M.; Lee, C.-H. High-purity hydrogen production via a water-gas-shift reaction in a palladium-copper catalytic membrane reactor integrated with pressure swing adsorption. Chem. Eng. J. 2021, 411, 128473. [Google Scholar] [CrossRef]
- Zhao, Z.; Wang, M.; Ma, P.; Zheng, Y.; Chen, J.; Li, H.; Zhang, X.; Zheng, K.; Kuang, Q.; Xie, Z.-X. Atomically dispersed Pt/CeO2 catalyst with superior CO selectivity in reverse water gas shift reaction. Appl. Catal. B Environ. 2021, 291, 120101. [Google Scholar] [CrossRef]
- Shinde, V.M.; Madras, G. Water gas shift reaction over multi-component ceria catalysts. Appl. Catal. B Environ. 2012, 123–124, 367–378. [Google Scholar] [CrossRef]
- Shinde, V.M.; Madras, G. Synthesis of nanosized Ce0.85M0.1Ru0.05O2−δ (M=Si, Fe) solid solution exhibiting high CO oxidation and water gas shift activity. Appl. Catal. B Environ. 2013, 138–139, 51–61. [Google Scholar] [CrossRef]
- Mandapaka, R.; Madras, G. Zinc and platinum co-doped ceria for WGS and CO oxidation. Appl. Catal. B Environ. 2017, 211, 137–147. [Google Scholar] [CrossRef]
- Mierczynski, P.; Maniukiewicz, W.; Maniecki, T.P. Comparative studies of Pd, Ru, Ni, Cu/ZnAl2O4 catalysts for the water gas shift reaction. Cent. Eur. J. Chem. 2013, 11, 912–919. [Google Scholar]
- Hu, J.; Guo, W.; Liu, Z.-H.; Lu, X.; Zhu, H.; Shi, F.; Yan, J.; Jiang, R. Unraveling the mechanism of the Zn-improved catalytic activity of Pd-based catalysts for water-gas shift reaction. J. Phys. Chem. C 2016, 120, 20181–20191. [Google Scholar] [CrossRef]
- Jacobs, G.; Ricote, S.; Graham, U.M.; Davis, B.H. Low Temperature Water-Gas Shift Reaction: Interactions of Steam and CO with Ceria Treated with Different Oxidizing and Reducing Environments. Catal. Lett. 2015, 145, 533–540. [Google Scholar] [CrossRef]
- Shinde, V.M.; Madras, G. Nanostructured Pd modified Ni/CeO2 catalyst for water gas shift and catalytic hydrogen combustion reaction. Appl. Catal. B Environ. 2013, 132, 28–38. [Google Scholar] [CrossRef]
- Vignatti, C.I.; Avila, M.S.; Apesteguía, C.R.; Garetto, T.F. Study of the water-gas shift reaction over Pt supported on CeO2–ZrO2 mixed oxides. Catal. Today 2011, 171, 297–303. [Google Scholar] [CrossRef]
- Ding, K.; Gulec, A.; Johnson, A.M.; Schweitzer, N.M.; Stucky, G.D.; Marks, L.D.; Stair, P.C. Identification of active sites in CO oxidation and water-gas shift over supported Pt catalysts. Science 2015, 350, 189–192. [Google Scholar] [CrossRef]
- Petallidou, K.C.; Kalamaras, C.M.; Efstathiou, A.M. The effect of La3+, Ti4+ and Zr4+ dopants on the mechanism of WGS on ceria-doped supported Pt catalysts. Catal. Today 2014, 228, 183–193. [Google Scholar] [CrossRef]
- Maneerung, T.; Hidajat, K.; Kawi, S. K-doped LaNiO3 perovskite for high-temperature water-gas shift of reformate gas: Role of potassium on suppressing methanation. Int. J. Hydrogen Energy 2017, 42, 9840–9857. [Google Scholar] [CrossRef]
- Watanabe, R.; Sakamoto, Y.; Yamamuro, K.; Tamura, S.; Kikuchi, E.; Sekine, Y. Role of alkali metal in a highly active Pd/alkali/Fe2O3 catalyst for water gas shift reaction. Appl. Catal. A Gen. 2013, 457, 1–11. [Google Scholar] [CrossRef]
- Singh, S.A.; Vishwanath, K.; Madras, G. Role of hydrogen and oxygen activation over Pt and Pd-doped composites for catalytic hydrogen combustion. ACS Appl. Mater. Interfaces 2017, 9, 19380–19388. [Google Scholar] [CrossRef]
- Xia, S.; Fang, L.; Meng, Y.; Zhang, X.; Zhang, L.; Yang, C.; Ni, Z. Water-gas shift reaction catalyzed by layered double hydroxides supported Au-Ni/Cu/Pt bimetallic alloys. Appl. Catal. B Environ. 2020, 272, 118949. [Google Scholar] [CrossRef]
- Mamontov, E.; Egami, T.; Brezny, R.; Koranne, M.; Tyagi, S. Lattice defects and oxygen storage capacity of nanocrystalline ceria and ceria-zirconia. J. Phys. Chem. B 2000, 104, 11110–11116. [Google Scholar] [CrossRef]
- Dvořák, F.; Farnesi Camellone, M.; Tovt, A.; Tran, N.-D.; Negreiros, F.R.; Vorokhta, M.; Skála, T.; Matolínová, I.; Mysliveček, J.; Matolín, V.; et al. Creating single-atom Pt-ceria catalysts by surface step decoration. Nat. Commun. 2016, 7, 10801. [Google Scholar] [CrossRef]
- Shadravan, V.; Bukas, V.J.; Gunasooriya, G.T.K.K.; Waleson, J.; Drewery, M.; Karibika, J.; Jones, J.; Kennedy, E.; Adesina, A.; Nørskov, J.K.; et al. Effect of manganese on the selective catalytic hydrogenation of COx in the presence of light hydrocarbons over Ni/Al2O3: An experimental and computational study. ACS Catal. 2020, 10, 1535–1547. [Google Scholar] [CrossRef]
- Utaka, T.; Okanishi, T.; Takeguchi, T.; Kikuchi, R.; Eguchi, K. Water gas shift reaction of reformed fuel over supported Ru catalysts. Appl. Catal. A Gen. 2003, 245, 343–351. [Google Scholar] [CrossRef]
- Faur Ghenciu, A. Review of fuel processing catalysts for hydrogen production in PEM fuel cell systems. Curr. Opin. Solid State Mater. Sci. 2002, 6, 389–399. [Google Scholar] [CrossRef]
- Ren, J.; Wang, Y.; Zhao, J.; Tan, S.; Petek, H. K atom promotion of O2 chemisorption on Au(111) surface. J. Am. Chem. Soc. 2019, 141, 4438–4444. [Google Scholar] [CrossRef] [PubMed]
- Uner, D.O.; Pruski, M.; Gerstein, B.C.; King, T.S. Hydrogen chemisorption on potassium promoted supported ruthenium catalysts. J. Catal. 1994, 146, 530–536. [Google Scholar] [CrossRef]
- Anil, C.; Madras, G. Catalytic behaviour of Mn2.94M0.06O4-δ (M=Pt, Ru and Pd) catalysts for low temperature water gas shift (WGS) and CO oxidation. Int. J. Hydrogen Energy 2020, 45, 10461–10474. [Google Scholar] [CrossRef]
- Shinde, V.M.; Madras, G. Low temperature CO oxidation and water gas shift reaction over Pt/Pd substituted in Fe/TiO2 catalysts. Int. J. Hydrogen Energy 2012, 37, 18798–18814. [Google Scholar] [CrossRef]
- Jacobs, G.; Williams, L.; Graham, U.; Thomas, G.A.; Sparks, D.E.; Davis, B.H. Low temperature water–gas shift: In situ DRIFTS-reaction study of ceria surface area on the evolution of formates on Pt/CeO2 fuel processing catalysts for fuel cell applications. Appl. Catal. A Gen. 2003, 252, 107–118. [Google Scholar] [CrossRef]
- Deshpande, P.A.; Hegde, M.S.; Madras, G. Pd and Pt ions as highly active sites for the water–gas shift reaction over combustion synthesized zirconia and zirconia-modified ceria. Appl. Catal. B Environ. 2010, 96, 83–93. [Google Scholar] [CrossRef]
- Weisz, P.B.; Prater, C.D. Interpretation of measurements in experimental catalysis. Adv. Catal. 1954, 6, 143–196. [Google Scholar]
- Singh, S.A.; Madras, G. Detailed mechanism and kinetic study of CO oxidation on cobalt oxide surfaces. Appl. Catal. A Gen. 2015, 504, 463–475. [Google Scholar] [CrossRef]
- Singh, S.A.; Mukherjee, S.; Madras, G. Role of CO2 methanation into the kinetics of preferential CO oxidation on Cu/Co3O4. Mol. Catal. 2019, 466, 167–180. [Google Scholar] [CrossRef]
- Ma, Y.; Liu, B.; Jing, M.; Zhang, R.; Chen, J.; Zhang, Y.; Li, J. Promoted potassium salts based Ru/AC catalysts for water gas shift reaction. Chem. Eng. J. 2016, 287, 155–161. [Google Scholar] [CrossRef]
- Yang, X.; Su, X.; Chen, X.; Duan, H.; Liang, B.; Liu, Q.; Liu, X.; Ren, Y.; Huang, Y.; Zhang, T. Promotion effects of potassium on the activity and selectivity of Pt/zeolite catalysts for reverse water gas shift reaction. Appl. Catal. B Environ. 2017, 216, 95–105. [Google Scholar] [CrossRef]
- Park, Y.M.; Son, M.; Park, M.-J.; Bae, J.W. Effects of Pt precursors on Pt/CeO2 to water-gas shift (WGS) reaction activity with Langmuir-Hinshelwood model-based kinetics. Int. J. Hydrogen Energy 2020, 45, 26953–26966. [Google Scholar] [CrossRef]
- Miao, D.; Cavusoglu, G.; Lichtenberg, H.; Yu, J.; Xu, H.; Grunwaldt, J.-D.; Goldbach, A. Water-gas shift reaction over platinum/strontium apatite catalysts. Appl. Catal. B Environ. 2017, 202, 587–596. [Google Scholar] [CrossRef]
- Mendes, D.; Chibante, V.; Zheng, J.-M.; Tosti, S.; Borgognoni, F.; Mendes, A.; Madeira, L.M. Enhancing the production of hydrogen via water–gas shift reaction using Pd-based membrane reactors. Int. J. Hydrogen Energy 2010, 35, 12596–12608. [Google Scholar] [CrossRef]
- Zhao, S.; Gorte, R.J. The activity of Fe–Pd alloys for the water–gas shift reaction. Catal. Lett. 2004, 92, 75–80. [Google Scholar] [CrossRef]
- Wang, Y.; Yang, X.; Hu, L.; Li, Y.; Li, J. Theoretical study of the crystal plane effect and ion-pair active center for C–H bond activation by Co3O4 nanocrystals. Chin. J. Catal. 2014, 35, 462–467. [Google Scholar] [CrossRef]
- Xie, S.; Dai, H.; Deng, J.; Liu, Y.; Yang, H.; Jiang, Y.; Tan, W.; Ao, A.; Guo, G. Au/3DOM Co3O4: Highly active nanocatalysts for the oxidation of carbon monoxide and toluene. Nanoscale 2013, 5, 11207–11219. [Google Scholar] [CrossRef]
- Gwag, J.S.; Sohn, Y.K. Interfacial Natures and Controlling morphology of Co oxide nanocrystal structures by adding spectator Ni ions. Bull. Korean Chem. Soc. 2012, 33, 505–510. [Google Scholar] [CrossRef]
- Guo, X.; Sun, T.-Q.; Cui, K. Darkening of zirconia: A problem arising from oxygen sensors in practice. Sens. Actuators B Chem. 1996, 31, 139–145. [Google Scholar]
- Colussi, S.; Gayen, A.; Boaro, M.; Llorca, J.; Trovarelli, A. Influence of different palladium precursors on the properties of solution-combustion-synthesized palladium/ceria catalysts for methane combustion. ChemCatChem 2015, 7, 2222–2229. [Google Scholar] [CrossRef]
- Duan, H.; Xu, D.; Li, W.; Xu, H. Study of the redox properties of noble metal/Co3O4 by electrical conductivity measurements. Catal. Lett. 2008, 124, 318–323. [Google Scholar] [CrossRef]
- Luo, J.-Y.; Meng, M.; Li, X.; Li, X.-G.; Zha, Y.-Q.; Hu, T.-D.; Xie, Y.-N.; Zhang, J. Mesoporous Co3O4–CeO2 and Pd/Co3O4–CeO2 catalysts: Synthesis, characterization and mechanistic study of their catalytic properties for low-temperature CO oxidation. J. Catal. 2008, 254, 310–324. [Google Scholar] [CrossRef]












| Catalyst | Surface Area, m2/g | Total Pore Volume, cm3/g | Mean Pore Diameter, nm | Crystallite Size, nm |
|---|---|---|---|---|
| CZ | 34 | 0.133 | 15.5 | 18.1 |
| RuCZ | 40 | 0.150 | 15.1 | 20.4 |
| PdCZ | 31 | 0.130 | 16.9 | 21.5 |
| PtCZ | 33 | 0.116 | 13.4 | 19.8 |
| KPtCZ | 74 | 0.248 | 13.5 | 24.2 |
| Catalyst | Maximum CO Conversion | Apparent Activation Energy, Ea kJ/mol | Temperature Range and Flow Rate, °C and mL/min | Catalyst Loading, mg | Ref. |
|---|---|---|---|---|---|
| Pt (NO)/CeO2 | ~92 | ~73.84 | 250–400, 100 | 200 | [55] |
| Pt/SrHAP-11 | ~95 | 70 | 250–450, 100 | 75 | [56] |
| Cu/Pd-Ag | ~95 | 10 | 200–300, 190 | 1500 | [57] |
| Pt-Re (2:3) | ~90 | 20 | 250, 500 | 120 | [20] |
| Pd/Ceria | - | 49 | 180 | 100 | [58] |
| Mn2.94Pt0.06O4-ö | 100 | 59 | 180–450 | 100 | [46] |
| CZ (Feed A) | ~28 | 70 ± 5 | 180–300, 100 | 150 | Present Study |
| CZ (Feed B) | ~16 | 140 ± 7 | 180–300, 100 | 150 | Present Study |
| CZ (Feed C) | ~12 | 78 ± 4 | 180–300, 100 | 150 | Present Study |
| PtCZ (Feed A) | ~100 | 63 ± 2 | 180–300, 100 | 150 | Present Study |
| PtCZ (Feed B) | ~98 | 75 ± 3 | 180–300, 100 | 150 | Present Study |
| PtCZ (Feed C) | ~50 | 72 ± 3 | 180–300, 100 | 150 | Present Study |
| KPtCZ (Feed A) | ~100 | 75 ± 4 | 180–300, 100 | 150 | Present Study |
| KPtCZ (Feed B) | ~100 | 78 ± 5 | 180–300, 100 | 150 | Present Study |
| KPtCZ (Feed C) | ~90 | 66 ± 3 | 180–300, 100 | 150 | Present Study |
Disclaimer/Publisher’s Note: The statements, opinions and data contained in all publications are solely those of the individual author(s) and contributor(s) and not of MDPI and/or the editor(s). MDPI and/or the editor(s) disclaim responsibility for any injury to people or property resulting from any ideas, methods, instructions or products referred to in the content. |
© 2023 by the authors. Licensee MDPI, Basel, Switzerland. This article is an open access article distributed under the terms and conditions of the Creative Commons Attribution (CC BY) license (https://creativecommons.org/licenses/by/4.0/).
Share and Cite
Singh, S.A.; Varun, Y.; Goyal, P.; Sreedhar, I.; Madras, G. Feed Effects on Water–Gas Shift Activity of M/Co3O4-ZrO2 (M = Pt, Pd, and Ru) and Potassium Role in Methane Suppression. Catalysts 2023, 13, 838. https://doi.org/10.3390/catal13050838
Singh SA, Varun Y, Goyal P, Sreedhar I, Madras G. Feed Effects on Water–Gas Shift Activity of M/Co3O4-ZrO2 (M = Pt, Pd, and Ru) and Potassium Role in Methane Suppression. Catalysts. 2023; 13(5):838. https://doi.org/10.3390/catal13050838
Chicago/Turabian StyleSingh, Satyapaul A., Yaddanapudi Varun, Priyanka Goyal, I. Sreedhar, and Giridhar Madras. 2023. "Feed Effects on Water–Gas Shift Activity of M/Co3O4-ZrO2 (M = Pt, Pd, and Ru) and Potassium Role in Methane Suppression" Catalysts 13, no. 5: 838. https://doi.org/10.3390/catal13050838
APA StyleSingh, S. A., Varun, Y., Goyal, P., Sreedhar, I., & Madras, G. (2023). Feed Effects on Water–Gas Shift Activity of M/Co3O4-ZrO2 (M = Pt, Pd, and Ru) and Potassium Role in Methane Suppression. Catalysts, 13(5), 838. https://doi.org/10.3390/catal13050838

