Stereoselective Approach to Hydroxyalkyl-1,2,3-triazoles Containing Cyclooctane Core and Their Use for CuAAC Catalysis
Abstract
1. Introduction
2. Results and Discussion
3. Materials and Methods
3.1. General Remarks
3.2. Ring-Opening of Oxirane 1
3.3. Synthesis of 1,2,3-Triazoles (General Procedure)
3.4. Model CuAAC Reactions (General Procedure)
3.5. Synthesis of Salt 16
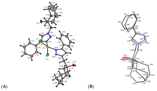
3.6. X-ray Diffraction Analysis of Compound 16
4. Conclusions
Supplementary Materials
Author Contributions
Funding
Data Availability Statement
Acknowledgments
Conflicts of Interest
References
- Haldón, E.; Nicasio, M.C.; Pérez, P.J. Copper-catalysed azide–alkyne cycloadditions (CuAAC): An update. Org. Biomol. Chem. 2015, 13, 9528. [Google Scholar] [CrossRef] [PubMed]
- De Nino, A.; Maiuolo, L.; Costanzo, P.; Algieri, V.; Jiritano, A.; Olivito, F.; Tallarida, M.A. Recent Progress in Catalytic Synthesis of 1,2,3-Triazoles. Catalysts 2021, 11, 1120. [Google Scholar] [CrossRef]
- Vala, D.P.; Vala, R.M.; Patel, H.M. Versatile Synthetic Platform for 1,2,3-Triazole Chemistry. ACS Omega 2022, 7, 36945–36987. [Google Scholar] [CrossRef] [PubMed]
- Bonandi, E.; Christodoulou, M.S.; Fumagalli, G.; Perdiccha, D.; Rastelli, G.; Passarella, D. The 1,2,3-triazole ring as a bioisostere in medicinal chemistry. Drug Discov. 2017, 22, 1572–1581. [Google Scholar] [CrossRef] [PubMed]
- Agalave, S.G.; Maujan, S.R.; Pore, V.S. Click chemistry: 1,2,3-triazoles as pharmacophores. Chem. Asian J. 2011, 6, 2696–2718. [Google Scholar] [CrossRef]
- Kumar, S.; Sharma, B.; Mehra, V.; Kumar, V. Recent accomplishments on the synthetic/biological facets of pharmacologically active 1H-1,2,3-triazoles. Eur. J. Med. Chem. 2021, 212, 113069. [Google Scholar] [CrossRef]
- Meng, G.; Guo, T.; Ma, T.; Zhang, J.; Shen, Y.; Sharpless, K.B.; Dong, J. Modular click chemistry libraries for functional screens using a diazotizing reagent. Nature 2019, 574, 86–89. [Google Scholar] [CrossRef]
- Prasher, P.; Sharma, M. Tailored therapeutics based on 1,2,3-1H-triazoles: A mini review. Med. Chem. Commun. 2019, 10, 1302–1328. [Google Scholar] [CrossRef]
- Matin, M.M.; Matin, P.; Rahman, M.R.; Ben Hadda, T.; Almalki, F.A.; Mahmud, S.; Ghoneim, M.M.; Alruwaily, M.; Alshehri, S. Triazoles and Their Derivatives: Chemistry, Synthesis, and Therapeutic Applications. Front. Mol. Biosci. 2022, 9, 864286. [Google Scholar] [CrossRef]
- Forezi, L.d.S.M.; Lima, C.G.S.; Amaral, A.A.P.; Ferreira, P.G.; de Souza, M.C.B.V.; Cunha, A.C.; da Silva, F.d.C.; Ferreira, V.F. Bioactive 1,2,3-Triazoles: An Account on their Synthesis, Structural Diversity and Biological Applications. Chem. Rec. 2021, 21, 2782–2807. [Google Scholar] [CrossRef]
- Nazarova, A.A.; Sedenkova, K.N.; Vasilenko, D.A.; Grishin, Y.K.; Kuznetsova, T.S.; Averina, E.B. 4-Azidotetrahydroquinazoline derivatives in CuAAC reaction. Mendeleev Commun. 2020, 30, 714–716. [Google Scholar] [CrossRef]
- Malik, M.S.; Ahmed, S.A.; Althagafi, I.I.; Ansari, M.A.; Kamal, A. Application of triazoles as bioisosteres and linkers in the development of microtubule targeting agents. RSC Med. Chem. 2020, 11, 327–348. [Google Scholar] [CrossRef]
- Bozorov, K.; Zhao, J.; Aisa, H.A. 1,2,3-Triazole-containing hybrids as leads in medicinal chemistry: A recent overview. Bioorg. Med. Chem. 2019, 27, 3511–3531. [Google Scholar] [CrossRef]
- Alam, M.M. 1,2,3-Triazole hybrids as anticancer agents: A review. Arch. Pharm. 2022, 355, e2100158. [Google Scholar] [CrossRef]
- Rani, A.; Singh, G.; Singh, A.; Maqbool, U.; Kaur, G.; Singh, J. CuAAC-ensembled 1,2,3-triazole-linked isosteres as pharmacophores in drug discovery: Review. RSC Adv. 2020, 10, 5610–5635. [Google Scholar] [CrossRef]
- Arévalo-Ruiz, M.; Amrane, S.; Rosu, F.; Belmonte-Reche, E.; Peñalver, P.; Mergny, J.-L.; Morales, J.C. Symmetric and dissymmetric carbohydrate-phenyl ditriazole derivatives as DNA G-quadruplex ligands: Synthesis, biophysical studies and antiproliferative activity. Bioorg. Chem. 2020, 99, 103786. [Google Scholar] [CrossRef]
- Antoni, F.; Wifling, D.; Bernhardt, G. Water-soluble inhibitors of ABCG2 (BCRP)—A fragment-based and computational approach. Eur. J. Med. Chem. 2021, 210, 112958. [Google Scholar] [CrossRef]
- Guo, H.-Y.; Chen, Z.-A.; Shen, Q.-K.; Quan, Z.-S. Application of triazoles in the structural modification of natural products. J. Enzyme Inhib. Med. Chem. 2021, 36, 1115–1144. [Google Scholar] [CrossRef]
- Zhang, X.; Zhang, S.; Zhao, S.; Wang, X.; Liu, B.; Xu, H. Click Chemistry in Natural Product Modification. Front. Chem. 2021, 9, 774977. [Google Scholar] [CrossRef]
- Rammohan, A.; Venkatesh, B.C.; Basha, M.B.; Zyryanov, G.V.; Nageswararao, M. Comprehensive review on natural pharmacophore tethered 1,2,3-triazoles as active pharmaceuticals. Chem. Biol. Drug Des. 2022, 101, 1181–1203. [Google Scholar] [CrossRef]
- Pereira, D.; Pinto, M.; Correia-da-Silva, M.; Cidade, H. Recent Advances in Bioactive Flavonoid Hybrids Linked by 1,2,3-Triazole Ring Obtained by Click Chemistry. Molecules 2022, 27, 230. [Google Scholar] [CrossRef] [PubMed]
- Agouram, N.; El Hadrami, E.M.; Bentama, A. 1,2,3-Triazoles as Biomimetics in Peptide Science. Molecules 2021, 26, 2937. [Google Scholar] [CrossRef] [PubMed]
- Best, M.D. Click Chemistry and Bioorthogonal Reactions: Unprecedented Selectivity in the Labeling of Biological Molecules. Biochemistry 2009, 48, 6571–6584. [Google Scholar] [CrossRef] [PubMed]
- Hameed, A.; Farooq, T. Chapter 6—Triazoles in Nanotechnology in Advances in Triazole Chemistry; Farooq, T., Ed.; Elsevier: Amsterdam, The Netherlands, 2021; pp. 143–167. [Google Scholar]
- Astruc, D.; Liang, L.; Rapakousiou, A.; Ruiz, J. Click Dendrimers and Triazole-Related Aspects: Catalysts, Mechanism, Synthesis, and Functions. A Bridge between Dendritic Architectures and Nanomaterials. Acc. Chem. Res. 2012, 45, 630–640. [Google Scholar] [CrossRef] [PubMed]
- Arseneault, M.; Wafer, C.; Morin, J.-F. Recent Advances in Click Chemistry Applied to Dendrimer Synthesis. Molecules 2015, 20, 9263–9294. [Google Scholar] [CrossRef]
- Deraedt, C.; Astruc, D. Supramolecular nanoreactors for catalysis. Coord. Chem. Rev. 2016, 324, 106–122. [Google Scholar] [CrossRef]
- Liu, Y.; Lopes, R.P.; Lüdtke, T.; Di Silvio, D.; Moya, S.; Hamon, J.-R.; Astruc, D. “Click” dendrimer-Pd nanoparticle assemblies as enzyme mimics: Catalytic o-phenylenediamine oxidation and application in colorimetric H2O2 detection. Inorg. Chem. Front. 2021, 8, 3301–3307. [Google Scholar] [CrossRef]
- Gao, C.; Lyu, F.; Yin, Y. Encapsulated Metal Nanoparticles for Catalysis. Chem. Rev. 2021, 121, 834–881. [Google Scholar] [CrossRef]
- Mazzotta, S.; Berastegui-Cabrera, J.; Vega-Holm, M.; García-Lozano, M.d.R.; Carretero-Ledesma, M.; Aiello, F.; Vega-Pérez, J.M.; Pachón, J.; Iglesias-Guerra, F.; Sánchez-Céspedes, J. Design, synthesis and in vitro biological evaluation of a novel class of anti-adenovirus agents based on 3-amino-1,2-propanediol. Bioorg. Chem. 2021, 114, 105095. [Google Scholar] [CrossRef]
- Vijai Kumar Reddy, T.; Jyotsna, A.; Prabhavathi Devi, B.L.A.; Prasad, R.B.N.; Poornachandra, Y.; Ganesh Kumar, C. Design, synthesis and in vitro biological evaluation of short-chain C12-sphinganine and its 1,2,3-triazole analogs as potential antimicrobial and anti-biofilm agents. Eur. J. Med. Chem. 2016, 118, 98–106. [Google Scholar] [CrossRef]
- Neibert, K.; Gosein, V.; Sharma, A.; Khan, M.; Whitehead, M.A. “Click” Dendrimers as Anti-inflammatory Agents: With Insights into Their Binding from Molecular Modeling Studies. Mol. Pharmaceutics 2013, 10, 2502–2508. [Google Scholar] [CrossRef]
- Ko, E.; Liu, J.; Perez, L.M.; Lu, G.; Schaefer, A.; Burgess, K. Universal Peptidomimetics. J. Am. Chem. Soc. 2011, 133, 462–477. [Google Scholar] [CrossRef]
- Schuster, E.M.; Botoshansky, M.; Gandelman, M. Pincer Click Ligands. Angew. Chem. Int. Ed. 2008, 47, 4555–4558. [Google Scholar] [CrossRef]
- Hosseinnejad, T.; Ebrahimpour-Malmir, F.; Fattahi, B. Computational investigations of click-derived 1,2,3-triazoles as keystone ligands for complexation with transition metals: A review. RSC Adv. 2018, 8, 12232–12259. [Google Scholar] [CrossRef]
- Maisonial, A.; Serafin, P.; Traïkia, M.; Debiton, E.; Théry, V.; Aitken, D.J.; Lemoine, P.; Viossat, B.; Gautier, A. Click Chelators for Platinum-Based Anticancer Drugs. Eur. J. Inorg. Chem. 2008, 2008, 298–305. [Google Scholar] [CrossRef]
- Huanga, D.; Zhaoa, P.; Astruc, D. Catalysis by 1,2,3-triazole- and related transition-metal complexes. Coord. Chem. Rev. 2014, 272, 145–165. [Google Scholar] [CrossRef]
- Chan, T.R.; Hilgraf, R.; Sharpless, K.B.; Fokin, V.V. Polytriazoles as Copper(I)-Stabilizing Ligands in Catalysis. Org. Lett. 2004, 6, 2853–2855. [Google Scholar] [CrossRef]
- Su, Y.; Li, L.; Wang, H.; Wang, X.; Zhang, Z. All-in-One azides: Empowered click reaction for in vivo labeling and imaging of biomolecules. Chem. Commun. 2016, 52, 2185–2188. [Google Scholar] [CrossRef]
- Etayo, P.; Ayatsa, C.; Pericàs, M.A. Synthesis and catalytic applications of C3-symmetric tris(triazolyl)methanol ligands and derivatives. Chem. Commun. 2016, 52, 1997–2010. [Google Scholar] [CrossRef]
- Hu, Y.-J.; Li, L.-X.; Han, J.-C.; Min, L.; Li, C.-C. Recent Advances in the Total Synthesis of Natural Products Containing Eight-Membered Carbocycles (2009–2019). Chem. Rev. 2020, 120, 5910–5953. [Google Scholar] [CrossRef]
- Clarke, A.K.; Unsworth, W.P. A happy medium: The synthesis of medicinally important medium-sized rings via ring expansion. Chem. Sci. 2020, 11, 2876–2881. [Google Scholar] [CrossRef] [PubMed]
- Doyle, L.R.; Galpin, M.R.; Furfari, S.K.; Tegner, B.E.; Martínez-Martínez, A.J.; Whitwood, A.C.; Hicks, S.A.; Lloyd-Jones, G.C.; Macgregor, S.A.; Weller, A.S. Inverse Isotope Effects in Single-Crystal to Single-Crystal Reactivity and the Isolation of a Rhodium Cyclooctane σ-Alkane Complex. Organometallics 2022, 41, 284–292. [Google Scholar] [CrossRef] [PubMed]
- Li, L.; Huang, S.; Shang, T.; Zhang, B.; Guo, Y.; Zhu, G.; Zhou, D.; Zhang, G.; Zhu, A.; Zhang, L. Medium Rings Bearing Bitriazolyls: Easily Accessible Structures with Superior Performance as Cu Catalyst Ligands. J. Org. Chem. 2018, 83, 13166–13177. [Google Scholar] [CrossRef] [PubMed]
- Sedenkova, K.N.; Ryzhikova, O.V.; Stepanova, S.A.; Averin, A.D.; Kositov, S.V.; Grishin, Y.K.; Gloriozov, I.P.; Averina, E.B. Bis(oxiranes) Containing Cyclooctane Core: Synthesis and Reactivity towards NaN3. Molecules 2022, 27, 6889. [Google Scholar] [CrossRef] [PubMed]
- Karen, W.; Quinodoz, P.; Drouillat, B.; Couty, F. A one carbon staple for orthogonal copper-catalyzed azide–alkyne cycloadditions. Chem. Commun. 2017, 53, 321–323. [Google Scholar]
- Nemallapudi, B.R.; Guda, D.R.; Ummadi, N.; Avula, B.; Zyryanov, G.V.; Reddy, C.S.; Gundala, S. New Methods for Synthesis of 1,2,3-Triazoles: A Review. Polycycl. Aromat. Compd. 2022, 42, 3874–3892. [Google Scholar] [CrossRef]
- Saini, P.; Sonika; Singh, G.; Kaur, G.; Singh, J.; Singh, H. Robust and Versatile Cu(I) metal frameworks as potential catalysts for azide-alkyne cycloaddition reactions: Review. Mol. Catal. 2021, 504, 111432. [Google Scholar] [CrossRef]
- Ozkal, E.; Llanes, P.; Bravo, F.; Ferrali, A.; Pericàs, M.A. Fine-Tunable Tris(triazolyl)methane Ligands for Copper(I)-Catalyzed Azide–Alkyne Cycloaddition Reactions. Adv. Synth. Catal. 2014, 356, 857–869. [Google Scholar] [CrossRef]
- Zheng, L.; Wang, Y.; Meng, X.; Chen, Y. Pyridinyl-triazole ligand systems for highly efficient CuI-catalyzed azide-alkyne cycloaddition. Catal. Commun. 2021, 148, 106165. [Google Scholar] [CrossRef]
- Hein, J.E.; Fokin, V.V. Copper-catalyzed azide–alkyne cycloaddition (CuAAC) and beyond: New reactivity of copper(I) acetylides. Chem. Soc. Rev. 2010, 39, 1302–1315. [Google Scholar] [CrossRef]
- Uppal, B.S.; Booth, R.K.; Ali, N.; Lockwood, C.; Rice, C.R.; Elliott, P.I. Elliott. Synthesis and characterisation of luminescent rhenium tricarbonyl complexes with axially coordinated 1,2,3-triazole ligands. Dalton Trans. 2011, 40, 7610–7616. [Google Scholar] [CrossRef]
- Neumajer, G.; Tóth, G.; Béni, S.; Noszál, B. Novel ion-binding C3 symmetric tripodal triazoles: Synthesis and characterization. Cent. Eur. J. Chem. 2014, 12, 115–125. [Google Scholar] [CrossRef]
- Xu, H.; Sun, Z. General Cycloaddition between a Trimethylsilyl-Capped Alkyne and an Azide Catalyzed by an N-Heterocyclic Carbene-Copper Complex and Pyridine-Biscarboxamide. Adv. Synth. Catal. 2016, 358, 1736–1740. [Google Scholar] [CrossRef]
- Zhou, Z.; He, C.; Yang, L.; Wang, Y.; Liu, T.; Duan, C. Alkyne Activation by a Porous Silver Coordination Polymer for Heterogeneous Catalysis of Carbon Dioxide Cycloaddition. ACS Catal. 2017, 7, 2248–2256. [Google Scholar] [CrossRef]
- Bahsis, L.; Ben El Ayouchia, H.; Anane, H.; Ramirez de Arellano, C.; Bentama, A.; El Hadrami, E.M.; Julve, M.; Domingo, L.R.; Stiriba, S.-E. Clicking Azides and Alkynes with Poly(pyrazolyl)borate-Copper(I) Catalysts: An Experimental and Computational Study. Catalysts 2019, 9, 687. [Google Scholar] [CrossRef]
- Sheldrick, G.M. A short history of SHELX. Acta Crystallogr. 2008, A64, 112–122. [Google Scholar] [CrossRef]
- Brandenburg, K. DIAMOND; Release 2.1d; Crystal Impact GbR: Bonn, Germany, 2000. [Google Scholar]
- Beletskaya, I.P.; Averin, A.D. Metal-catalyzed reactions for the C(sp2)–N bond formation: Achievements of recent years. Russ. Chem. Rev. 2021, 90, 1359–1396. [Google Scholar] [CrossRef]
- Fomenko, V.I.; Murashkina, A.V.; Averin, A.D.; Shesterkina, A.A.; Beletskaya, I.P. Unsupported Copper Nanoparticles in the Arylation of Amines. Catalysts 2023, 13, 331. [Google Scholar] [CrossRef]









![]() | |||||
|---|---|---|---|---|---|
| Entry | Catalytic System | Solvent | t, °C | T, h | Ratio 2a:3 1 (Yield 3, %) 2 |
| 1 | Cu(OAc)2·H2O (0.1 eq), Et3N, NaAsc | DCM | 20 | 20 | 0.1:1 |
| 2 | Cu(OAc)2·H2O (0.1 eq), Et3N, NaAsc | DCM | 20 | 40 | 0:1 |
| 3 | Cu(OAc)2·H2O (0.1 eq), Et3N, NaAsc | DCM | 40 | 9 | 0:1 3 |
| 4 | Cu(OAc)2·H2O (1 eq), Et3N, NaAsc | DCM | 20 | 9 | 2:1 |
| 5 | Cu(OAc)2·H2O (1 eq), Et3N, NaAsc | DCM | 20 | 96 | 0:1 3 |
| 6 | Cu(OAc)2·H2O (1 eq), Et3N, NaAsc | DCM | 40 | 9 | 0.2:1 3 |
| 7 | CuSO4·5H2O (0.1 eq), Et3N, NaAsc | DCM | 20 | 20 | 0:1 (82%) |
| 8 | CuSO4·5H2O (0.1 eq), Et3N, NaAsc | DCM | 40 | 9 | 0:1 (65%) |
| 9 | CuSO4·5H2O (0.1 eq), Et3N, NaAsc | CH3CN | 20 | 20 | 0.5:1 |
| 10 | CuSO4·5H2O (0.1 eq), Et3N, NaAsc | CH3CN | 80 | 9 | 0:1 3 |
| 11 | CuSO4·5H2O (0.1 eq), Et3N, NaAsc | DMF | 20 | 20 | 0.7:1 |
| 12 | CuSO4·5H2O (0.1 eq), Et3N, NaAsc | DMF | 100 | 9 | 0:1 (78%) |
| 13 | CuSO4·5H2O (0.1 eq), Et3N, NaAsc | DCE | 20 | 20 | 0.2:1 |
| 14 | CuSO4·5H2O (0.1 eq), Et3N, NaAsc | DCE | 80 | 9 | 0:1 3 |
| 15 | CuSO4·5H2O (0.1 eq), Et3N, NaAsc | THF | 20 | 20 | 1:0.01 |
| 16 | CuSO4·5H2O (0.1 eq), Et3N, NaAsc | THF | 80 | 9 | 0.7:1 3 |
| 17 | CuSO4·5H2O (0.1 eq), TBTA, NaAsc | n-BuOH/H2O | 20 | 48 | 0:1 (28%) |
| 18 | CuI | DCM | 20 | 20 | 1:0.15 |
| 19 | CuI | DCM | 40 | 9 | 1:1 |
| 20 | No catalyst | DCM | 40 | 9 | 1:0 |
| 21 | No catalyst | DMF | 100 | 9 | 1:0.02 |
| 22 | No catalyst | DMF | 100 | 115 | 1:1 |
| 23 | No catalyst | DMF | 100 (mw) | 1 | 1:0 |
![]() | ||
|---|---|---|
| Entry | Ligand | Yield 15a, % 1 |
| 1 | Et3N | 71 |
| 2 | 3 | 81 (64) 2 |
| 3 | 9 | 57 |
| 4 | 10 | 6 |
| 5 | 11 | 3 |
| 6 | 12 | 1 |
![]() | ||||
|---|---|---|---|---|
| Entry | Product | R | Ligand | Yield 15b–f, % 1 |
| 1 | 15b | CH2OH | Et3N | 18 |
| 2 | 3 | 13 | ||
| 3 | 9 | 21 | ||
| 4 | 15c | n-Bu | Et3N | 71 |
| 5 | 3 | 67 | ||
| 6 | 9 | 54 | ||
| 7 | 15d | COOEt | Et3N | 39 |
| 8 | 3 | 71 | ||
| 9 | 9 | 65 | ||
| 10 | 15e | 4-tBu-C6H4 | Et3N | 75 |
| 11 | 3 | 86 | ||
| 12 | 9 | 64 | ||
| 13 | 15f | 4-MeOOC-C6H4 | Et3N | 22 |
| 14 | 3 | 48 | ||
| 15 | 9 | 21 | ||
| D-H…A | d(D-H), Å | d(H…A), Å | d(D…A), Å | <(DHA), ° |
|---|---|---|---|---|
| C(3A)-H(3A)…Cl(1) 1 | 0.93 | 2.65 | 3.459(4) | 145.7 |
| C(3B)-H(3B)…O(1A) 2 | 0.93 | 2.36 | 3.161(5) | 144.6 |
| O(1A)-H(1A)…O(1B) 3 | 0.73(6) | 2.11(6) | 2.802(5) | 159(7) |
| O(1B)-H(1B)…Cl(2) 4 | 0.65(4) | 2.51(4) | 3.139(4) | 162(5) |
Disclaimer/Publisher’s Note: The statements, opinions and data contained in all publications are solely those of the individual author(s) and contributor(s) and not of MDPI and/or the editor(s). MDPI and/or the editor(s) disclaim responsibility for any injury to people or property resulting from any ideas, methods, instructions or products referred to in the content. |
© 2023 by the authors. Licensee MDPI, Basel, Switzerland. This article is an open access article distributed under the terms and conditions of the Creative Commons Attribution (CC BY) license (https://creativecommons.org/licenses/by/4.0/).
Share and Cite
Ryzhikova, O.V.; Sedenkova, K.N.; Kositov, S.V.; Tafeenko, V.A.; Grishin, Y.K.; Averina, E.B. Stereoselective Approach to Hydroxyalkyl-1,2,3-triazoles Containing Cyclooctane Core and Their Use for CuAAC Catalysis. Catalysts 2023, 13, 835. https://doi.org/10.3390/catal13050835
Ryzhikova OV, Sedenkova KN, Kositov SV, Tafeenko VA, Grishin YK, Averina EB. Stereoselective Approach to Hydroxyalkyl-1,2,3-triazoles Containing Cyclooctane Core and Their Use for CuAAC Catalysis. Catalysts. 2023; 13(5):835. https://doi.org/10.3390/catal13050835
Chicago/Turabian StyleRyzhikova, Olga V., Kseniya N. Sedenkova, Sergey V. Kositov, Victor A. Tafeenko, Yuri K. Grishin, and Elena B. Averina. 2023. "Stereoselective Approach to Hydroxyalkyl-1,2,3-triazoles Containing Cyclooctane Core and Their Use for CuAAC Catalysis" Catalysts 13, no. 5: 835. https://doi.org/10.3390/catal13050835
APA StyleRyzhikova, O. V., Sedenkova, K. N., Kositov, S. V., Tafeenko, V. A., Grishin, Y. K., & Averina, E. B. (2023). Stereoselective Approach to Hydroxyalkyl-1,2,3-triazoles Containing Cyclooctane Core and Their Use for CuAAC Catalysis. Catalysts, 13(5), 835. https://doi.org/10.3390/catal13050835




