Abstract
Pt nanoparticles and a CeMnOx composite were loaded on the surface of the natural diatomite material to generate the Pt/CeMnOx/diatomite using the redox precipitation and impregnation methods. The physicochemical properties of the catalysts were characterized by means of various techniques. The catalytic properties and resistance to H2O and SO2 of the catalysts were measured for the oxidation of typical volatile organic compounds (i.e., toluene and ethyl acetate). Among all of the as-prepared samples, Pt/CeMnOx/diatomite exhibited the highest catalytic activity: the temperatures (T90%) at a toluene or ethyl acetate conversion of 90% were 230 and 210 °C at a space velocity (SV) of 20,000 mL g−1 h−1, respectively, and the turnover frequency (TOFPt) at 220 °C was 1.04 μmol/(gcat s) for ethyl acetate oxidation and 1.56 μmol/(gcat s) for toluene oxidation. In particular, this sample showed a superior catalytic activity for ethyl acetate oxidation at low temperatures, with its T50% being 185 °C at SV = 20,000 mL g−1 h−1. In addition, the Pt/CeMnOx/diatomite sample possessed good sulfur dioxide resistance during the toluene oxidation process. In the presence of SO2, some of the SO2 molecules were adsorbed on diatomite, which protected the active sites from being poisoned by SO2 to a certain extent. The pathways of ethyl acetate and toluene oxidation over Pt/CeMnOx/diatomite or Pt/CeMnOx were as follows: The C–C and C–O bonds in ethyl acetate are first broken to form the CH3CH2O* and CH3CO* species or toluene is first oxidized to benzaldehyde and benzoic acid, and all of these intermediates are then converted to CO2 and H2O. This work can provide a strategy to develop efficient catalysts with high catalytic activity, durability, low cost, and easy availability under actual working conditions.
1. Introduction
Volatile organic compounds (VOCs) include a wide range of compounds, such as oxygenates, light hydrocarbons, aromatic hydrocarbons, and halogenated hydrocarbons. Most of the VOCs emitted from industries are harmful to public health and the atmosphere environment [1]. Among all the elimination methods, catalytic oxidation has been regarded as one of the most promising technologies to eliminate VOC emissions because of its high efficiency, low cost, and lower secondary pollution [2].
Transition-metal oxides or supported noble metal catalysts are active for the abatement of VOCs, among which supported noble metal catalysts have attracted much attention due to their excellent low-temperature catalytic activities and good resistance to poisoning. For instance, Zhang et al. [3] reported that the atomically dispersed Pt/MnO2 catalyst showed a complete conversion of toluene to CO2 at a temperature of 220 °C and a space velocity of 48,000 mL g−1 h−1. Although this type of catalyst exhibits excellent performance, its industrial application is greatly restricted due to its high cost. Usually, introducing the transition-metal oxides as the promoter can construct dual or even multiple active sites, thus enhancing the performance of the catalyst [4]. Recently, many researchers have focused on the development of metal oxide catalysts (e.g., MnOx, Co3O4, and CeO2) owing to their low cost, high thermal stability, and good oxygen storage capacity. Because of these outstanding characteristics, these types of catalysts have been widely used in VOC removal, especially for the elimination of oxygenated compounds. Lu et al. [5] prepared the ZrO2-supported Cu-Mn-Ce mixed oxide catalysts by an impregnation method and found that this catalyst possessed a good thermal stability even after calcination at 900 °C, and the formation of a Zr0.88Ce0.12O2 phase could improve the activity and thermal stability of the catalyst.
The choice of a support is another important factor affecting the catalytic performance of the supported catalyst. Diatomite is an amorphous silica material that consists of silicon dioxide (SiO2) along with small quantities of impurities, such as Al, Fe, Ca, Mg, etc. Diatomite has a porous structure, low density, and large specific surface area, and it is usually used as a support to disperse the active species [6,7,8,9]. For example, Wang et al. [10] used V-doped TiO2/diatomite as a photocatalyst for the degradation of rhodamine B. Nevertheless, there have been few reports on the use of diatomite as a catalyst for thermocatalysis. The surface of diatomite is negatively charged after hydrolysis, which inhibits the electrostatic adsorption and chemisorption of reactant molecules. Therefore, it is essential to modify the surface of diatomite to improve its adsorption activity. If diatomite is used as support to load the mixed transition-metal oxides and noble metals, one can expect to obtain efficient catalysts for the catalytic oxidation of VOCs. For instance, Zhou et al. [11] pointed out that the CeO2-modified diatomite with the anchoring of single Pt atoms showed a remarkable catalytic performance in the selective hydrogenation of phenylacetylene. Liu et al. [12] reported on TiO2@diatomite catalysts with various TiO2 loadings using a facile solvothermal method with anhydrous ethanol as solvent for the removal of VOCs. The results indicated that, after introducing diatomite, TiO2 nanoparticles were mostly square-like in morphology and uniformly immobilized on the diatomite surface. The TiO2@diatomite catalysts could effectively catalyze the removal of acetone and benzene, demonstrating their potential market applications and practical significance.
In the past few years, most of the research works have mainly focused on the catalytic removal of single components of VOCs. Under the actual operating conditions, however, most of the VOCs are present in the emissions as a mixture, and there have so far been no sufficient efforts to concurrently eliminate multicomponent VOCs. It is known that the oxidation of a VOC in a mixture differs from its single-component oxidation due to interactions of the different species with the catalyst. The mixture effect is tough to predict as either an inhibitive effect or a promotional effect and can be observed when the components of the VOC mixture are oxidized. Hence, it is necessary to assess the performance of catalysts for the removal of a multicomponent VOC mixture. For example, Lee et al. [13] prepared a 1 wt% Pt/TiO2 catalyst after a reduction pretreatment and observed that the tricomponent VOC mixture (formaldehyde, acetaldehyde, and toluene) was completely converted over this catalyst at a temperature of 200 °C and a space velocity of 24,000 mL g−1 h−1. Santos et al. [14] reported the effects of a VOC mixture on the activity and selectivity of the catalysts. It was observed that toluene inhibited both ethyl acetate and ethanol oxidation, which was more evident in ethyl acetate oxidation. The temperature for the complete conversion of ethyl acetate was about 210 °C when ethyl acetate was oxidized alone, but it was 250 °C or higher when ethyl acetate was oxidized in its mixture with toluene.
Considering the catalytic efficiency, anti-toxicity, and cost of the catalysts in actual industrial production, the CeMnOx composite was selected as the second active component to be dispersed on the surface of diatomite, together with the Pt nanoparticles also being dispersed on the surface of CeMnOx/diatomite. Hence, it was expected that the Pt/CeMnOx/diatomite catalyst would exhibit excellent activity and good sulfur dioxide resistance in the oxidation of toluene and ethyl acetate. The physical and chemical properties of Pt/CeMnOx/diatomite were determined by means of various characterization techniques. Furthermore, the catalytic oxidation of toluene and ethyl acetate as model reactions was employed to evaluate the catalytic activities of these materials. Industrial flue gas often contains certain concentrations of SO2 and H2O, which requires the catalysts to show a good tolerance to sulfur dioxide and moisture. Thus, we need to investigate the performance of the typical catalyst for the oxidation of VOCs in the presence of SO2 or H2O. Furthermore, Mn, Ce, and diatomite are cheap, easy to obtain, and environmentally friendly, and such formulated catalysts are of significance for industrial applications.
2. Results and Discussion
2.1. Crystal Phase Analysis
In order to clarify the crystal phase compositions of the samples, XRD and Raman characterization was made. The XRD results obtained by Figure 1A revealed that the composite oxides displayed obvious diffraction peaks of CeO2 at 2θ = 29.0°, 33.6°, 48.2°, and 57.0°, indicating that the CeO2 in the samples was of a fluorite-type cubic structure. The crystal phase of the Pt/CeMnOx/diatomite sample can be more clearly seen from Figure 1B. Two peaks at 2θ = 21.8°and 31.9° belonged to the amorphous SiO2 in diatomite (JCPDS PDF# 39-1425). Compared with the peak positions of the published XRD pattern of CeO2 (2 = 28.549°, 33.077°, 47.483°, and 56.342°) (JCPDS PDF# 34-0394), those of the as-obtained samples were slightly shifted to larger diffraction angles. Combined with no detection of the characteristic peaks of MnO2, it can be concluded that manganese ions enter the lattice of ceria to form a Ce–Mn-based solid solution or the MnOx is highly dispersed on the surface of CeO2. The possible reason for the slight shift in peak position was the incorporation of Mn ions to the lattice of CeO2, which made the lattice of ceria shrink ( = 0.53 Å, = 0.64 Å, and = 0.97 Å) [15]. In addition, the formation of a Ce–Mn solid solution was also proven by the changes in peak intensity and shape. The wide diffraction peaks, the decreased intensity, and the disappeared characteristic peaks were also evidence for the formation of a Ce–Mn solid solution. The formation of such a Ce–Mn solid solution increased oxygen vacancies [16,17], which was beneficial for the improvement in catalytic performance.
Figure 1.
(A,B) XRD patterns and (C) Raman spectra of the samples.
The Raman spectra of the samples were further recorded to examine their structural information. Figure 1C shows Raman spectra of the MnO2, CeO2, CeMnOx/diatomite, and Pt/CeMnOx/diatomite samples. As observed for the pure MnO2 sample, there were three bands at 180, 330, and 636 cm−1 [18]. For the pure CeO2 sample, there was an intense band at 462 cm−1. With the formation of the CeMnOx solid solution, the band in the pure CeO2 sample was shifted from 462 to 448 cm−1, implying the occurrence of lattice defects formed due to the incorporation of Mn ions into the CeO2 lattice and partial replacement of Ce ions by Mn ions. Compared with the pure CeO2 or MnO2 sample, the broadening and weakening of Raman bands indicate the formation of lattice defects. These results were consistent with the XRD results, further confirming the formation of a Ce–Mn solid solution.
2.2. Morphology
The surface morphologies of the as-prepared samples were characterized by the SEM technique. As can be seen from Figure 2, the raw diatomite possessed a disk-like morphology with a smooth surface, uniform ordered pore structures, and well-aligned channels. The diameters of the pores and disk were 20–40 nm and 8–10 μm, respectively. As shown in Figure 2c,d, the CeMnOx composite contained spherical and rod-like particles. After the CeMnOx was loaded on the surface of diatomite, the as-obtained sample was composed of disc-shaped diatomite and irregular CeMnOx particles, and the CeMnOx composite became more scattered on the diatomite surface (Figure 2e). The elemental mappings reveal that the Ce and Mn in CeMnOx were uniformly dispersed on the surface of diatomite (Figure 2f–i).
Figure 2.
SEM images of (a,b) diatomite, (c,d) CeMnOx, (e) CeMnOx/diatomite, and (f–i) elemental mappings of CeMnOx/diatomite.
2.3. Textural and Surface Properties
Surface areas, pore volumes, and pore-size distributions of the samples were analyzed using the BET technique, and their results are presented in Figure 3 and Table 1. The surface areas of the pure diatomite, CeMnOx, CeMnOx/diatomite, and Pt/CeMnOx/diatomite samples were 24.3, 128.2, 113.7, and 51.7 m2/g, respectively. From the pore diameter distributions and SEM images, it can be seen that the diatomite is a porous material with a disc-like morphology. The diatomite, CeMnOx, and CeMnOx/diatomite samples showed a type-IV isotherm. After the loading of CeMnOx, the surface areas and pore volumes of the as-obtained samples increased. However, there was no change in the pore size of the samples after the loading of CeMnOx. The surface area of Pt/CeMnOx/diatomite decreased with the loading of Pt nanoparticles, which was due to the deposition of Pt nanoparticles on the pores of diatomite.
Figure 3.
(A) Nitrogen adsorption–desorption isotherms and (B) pore-size distributions of the samples.
Table 1.
BET surface areas (SBET), pore volumes (Vpore), and pore diameters (dpore) of the samples.
XPS experiments were carried out to analyze the surface element compositions, metal oxidation states, and oxygen species of the as-prepared samples. The obtained XPS spectra of O 1s, Ce 3d, Mn 2p, and Pt 4f are shown in Figure 4.
Figure 4.
(A) O 1s, (B) Mn 2p, (C) Ce 3d, and (D) Pt 4f XPS spectra of (a) Pt/CeMnOx and (b) Pt/CeMnOx/diatomite.
The corresponding surface element compositions are listed in Table 2.
Table 2.
Surface element compositions and hydrogen consumption of the CeMnOx, CeMnOx/diatomite, Pt/CeMnOx, and Pt/CeMnOx/diatomite samples.
As can be seen from Figure 4A, the O 1s spectrum with binding energy (BE), located at 529.1−531.9 eV, contained three components that could be ascribed to the surface lattice oxygen (Olatt), adsorbed oxygen (Oads), and adsorbed molecular water () or carbonate species [19], respectively. The Oads/Olatt molar ratios on Pt/CeMnOx and Pt/CeMnOx/diatomite were 0.21 and 0.29 (Table 2), respectively, which were obtained by quantitative analysis of the O 1s peaks. The asymmetrical Mn 2p3/2 signal of each sample was composed of three components at BE = 640.1, 641.7, and 644.1 eV (Figure 4B), which could be attributed to the surface Mn2+, Mn3+, and Mn4+ species [20,21,22], respectively. It can be seen from Figure 4C that the Ce 3d orbits were divided into two groups of multi-peaks denoted as U and V. The V′ and U′ with BE = 895.6 and 904.34 eV were attributed to the Ce3+ species on the sample surface. As shown in Figure 4D, the Pt 4f XPS spectrum of each sample consisted of six components at BE = 71.6 and 74.7, 72.8 and 76.1, and 74.1 and 77.7 eV, which were assigned to the Pt0 [23], Pt2+ [24], and Pt4+ [25] on the surface of the sample.
The XPS results indicate that the molar ratio of Oads/Olatt increased due to the addition of diatomite, i.e., enhancing the ability to activate the oxygen molecules of the sample. In addition, the molar ratio of (Mn2+ + Mn3+)/Mn4+ and Ptδ+/Pt0 also increased from 2.27 and 2.91 to 3.83 and 4.23, respectively. The content of the Ce3+ species on the sample surface increased from 9.5 to 10.9%. That is to say, the concentration of Mn4+ species decreased while the Ce3+ species concentration increased. The above results demonstrate that there is an electron transfer (Mn4+ + Pt0 → Mn3+ + Ptδ+) [26,27] on the Pt/CeMnOx/diatomite sample, which made the Mn species with lower oxidation states be formed. In other words, there was a formation of oxygen vacancies in CeMnOx. Hence, the ability of the sample to adsorb and activate oxygen molecules was improved. A higher amount of the Oads species on the sample surface favored the oxidation of VOCs [28]. Hence, the Pt/CeMnOx/diatomite sample with a higher amount of the Oads species showed a much better performance than the Pt/CeMnOx sample with a lower amount of the Oads species for the oxidation of toluene and ethyl acetate.
2.4. Reducibility
The redox properties of the as-prepared samples were investigated by the H2-TPR technique. The H2-TPR profiles of the samples and their H2 consumption are shown in Figure 5 and Table 2, respectively. For the CeMnOx (Figure 5a) and CeMnOx/diatomite (Figure 5b) samples, the reduction peaks above 600 °C were assigned to the reduction of the bulk Ce species, while those in the range of 200–600 °C were related to the reduction of the surface Mn and Ce species [29,30]. The peaks in the range of 200–600 °C were decomposed into four peaks (denoted as peaks α, β, γ, and δ), as shown in Figure S4. For the CeMnOx sample, there were peak α at 269 °C, peak β at 301 °C, and peak γ at 369 °C, which were related to the reduction processes of MnO2 → Mn2O3, Mn2O3 → Mn3O4, and Mn3O4 → MnO [31,32], respectively. Peak δ at 437 °C was assigned to the reduction of Ce4+ → Ce3+ [33]. The reduction peak heights of CeMnOx/diatomite were slightly higher than those of CeMnOx; furthermore, the reduction temperatures of the former were lower than those of the latter. Such a result might be due to the high dispersion of CeMnOx on the surface of diatomite, which was favorable for the reduction of CeMnOx in the CeMnOx/diatomite sample. The reduction peaks of the samples were changed significantly after the loading of Pt. According to the previous literature, the reduction peaks in the low temperature are attributed to the reduction of PtOx. Combined with the obtained XPS results, we can realize that the Pt on the sample surface mainly exists in the form of metallic Pt0 species. Two reduction peaks of the Pt/CeMnOx/diatomite sample were observed in the range of 150–500 °C, while only one reduction peak was detected in the Pt/CeMnOx sample. The peaks in the range of 285–314 °C corresponded to the reduction of the adsorbed oxygen species, resulting from the interaction between the Pt species and the diatomite support. It is well known that the area of the reduction peak reflects the reducibility of a catalyst to some extent. According to the previous study [33], reducibility was an important factor affecting the catalytic performance of a catalyst. The H2 consumption can reflect the reducibility of the catalyst, and the reducibility is related to the adsorbed oxygen species on the sample surface. Good reducibility is beneficial for the redox cycle of the catalysts, thus rendering them to show high oxidation activities. We have conducted quantitative analysis on the reduction peaks in the H2-TPR profiles of the samples (the quantitative analysis method can be seen in the Supplementary Materials) and the reduction peaks were calibrated against that of the complete reduction of a known standard powered CuO (Aldrich, Saint Louis, American, 99.995%) sample. It can be seen from Table 2 that, although the H2 consumption of the samples was close, Pt/CeMnOx/diatomite exhibits the lowest reduction temperature. Hence, the Pt/CeMnOx/diatomite sample with the best low-temperature reducibility showed the best catalytic activity for the oxidation of VOCs.
Figure 5.
H2-TPR profiles of (a) CeMnOx, (b) CeMnOx/diatomite, (c) Pt/CeMnOx, and (d) Pt/CeMnOx/diatomite.
2.5. Oxygen, Sulfur Dioxide, and VOC Desorption Behaviors
The adsorption behaviors of the oxygen in the samples were measured by the O2-TPD technique, and their O2-TPD profiles are shown in Figure 6A. The peaks below 300 °C were assigned to the desorption of the surface adsorbed oxygen species, and the ones in the range of 300–600 °C and above 600 °C were attributed to the removal of the surface lattice oxygen species and the bulk lattice oxygen species [34], respectively. It is seen that there is a higher amount of oxygen desorption from the Pt/CeMnOx/diatomite sample than from the Pt/CeMnOx sample. Such a result was in good consistency with the result obtained by the previous XPS characterization.
Figure 6.
(A) O2-TPD, (B–D) (EA + toluene)-TPD, and (E) SO2-TPD profiles of the diatomite, Pt/CeMnOx/diatomite, and Pt/CeMnOx samples.
Figure 6B–D shows the results of the VOC (ethyl acetate + toluene)-TPD of the Pt/CeMnOx/diatomite and Pt/CeMnOx samples. It is observed that ethyl acetate and toluene are adsorbed on both samples after the oxygen pretreatment. As shown in Figure 6B, the adsorption of ethyl acetate on the Pt/CeMnOx/diatomite sample was detected with two desorption peaks at 183 and 381 °C, respectively. In contrast, for the Pt/CeMnOx sample, only one desorption peak was recorded at 440 °C. The desorption peak in the low temperature was assigned to the surface adsorption of ethyl acetate, while the ones at 381 and 440 °C were attributed to the chemical adsorption of ethyl acetate. Therefore, the Pt/CeMnOx/diatomite sample possessed better ethyl acetate adsorption behavior than the Pt/CeMnOx sample; thus, the former outperformed the latter for ethyl acetate oxidation. For the toluene adsorption (Figure 6C), the toluene adsorption capacities of the two samples were similar, and a prominent desorption peak was observed at 423 and 445 °C, respectively. Additionally, CO2 (m/z = 44) production signals were also detected, as shown in Figure 6D. It can be inferred that the formation of CO2 in the ranges of 200–400 and 400–600 °C is attributed to the reaction of adsorbed toluene and ethyl acetate with the surface adsorbed oxygen and surface lattice oxygen species, respectively. The locations of the CO2 desorption peaks from the two samples were similar, indicating that the paths of toluene and ethyl acetate oxidation over the two samples were also the same. That is to say, toluene and ethyl acetate were oxidized over the Pt/CeMnOx/diatomite and Pt/CeMnOx samples according to the same reaction mechanism. The TGA technique was used to analyze weight losses of the diatomite, Pt/CeMnOx, and Pt/CeMnOx/diatomite samples, and their TGA profiles are shown in Figure S5. From the TGA profiles (Figure S5), one can observe that there are gradual and small weight losses of about 1.0, 3.2, and 1.5 wt% in the RT–300 °C range of the diatomite, Pt/CeMnOx, and Pt/CeMnOx/diatomite samples, respectively, which are due to the removal of the adsorbed H2O and CO2 as well as the adsorbed oxygen species on the Pt/CeMnOx and Pt/CeMnOx/diatomite samples. Such a small weight loss means that no structural destruction takes place in the Pt/CeMnOx/diatomite. In other words, the Pt/CeMnOx/diatomite possessed good structural stability.
The SO2 desorption behaviors of the samples were measured using the SO2-TPD technique, and their results are shown in Figure 6E. For the diatomite support, there was one broad desorption peak in the range of 300−700 °C, which was assigned to the desorption of SO2 adsorbed on the surface of diatomite. One SO2 desorption peak at a similar temperature was also observed for the Pt/CeMnOx/diatomite sample, but no SO2 desorption peaks were detected for the diatomite-free Pt/CeMnOx sample. That is to say, a certain amount of SO2 was adsorbed on the diatomite support and no SO2 was adsorbed on the Pt/CeMnOx surface. This result reveals that the use of diatomite as a support was beneficial for protecting the active Pt and CeMnOx sites from being poisoned by SO2, thus enhancing the SO2 resistance of the Pt/CeMnOx/diatomite sample. In addition, the Pt/CeMnOx or Pt/CeMnOx/diatomite sample displayed a distinct high-temperature desorption peak at approximately 898 °C, which was due to the decomposition of the manganese sulfate species [35]. The stable manganese sulfate species could cover part of the active sites, thus leading to a partial deactivation of the catalysts.
2.6. In Situ DRIFTS Spectra of Toluene and Ethyl Acetate Oxidation
In situ DRIFTS characterization was performed to further analyze the detailed intermediates and products of catalytic toluene and ethyl acetate oxidation. The reactant mixture used in the in situ DRIFTS experiments was the same as that used in activity evaluation. After activation in an oxygen atmosphere for 1 h, in situ DRIFTS spectra of Pt/CeMnOx and Pt/CeMnOx/diatomite at different temperatures were recorded, respectively, and the results are shown in Figure 7. The characteristic band at 3033 cm−1 was attributed to the C–H bond stretching vibration of aromatic ring in toluene, and the one at 2927 cm−1 was assigned to the asymmetric stretching vibration of C–H bond in methyl group of toluene [36]. The characteristic band at 1512 cm−1 corresponded to the out-plane deformation vibration of the benzene ring in toluene [37]. The recording of the OH group interacting with the methyl group at 3680 and 3741 cm−1 confirms the adsorption of toluene on the surface of the sample [38]. The characteristic band at 1051 cm−1 was ascribed to the O–O stretching vibration of the chemically adsorbed oxygen species [39]. With the rise in temperature, the area of the band gradually increased. As can be seen from Figure 7, the intensity of the band for the Pt/CeMnOx/diatomite sample was stronger than that for the Pt/CeMnOx sample. This result shows that the adsorbed oxygen concentration on the former is higher than that on the latter, which is more conducive to the catalytic oxidation of toluene or ethyl acetate. The band at 1734 cm−1 was attributed to the C–O stretching vibration of ethyl acetate, the one at 1244 cm−1 was ascribed to the C–O stretching vibration of surface alcoholates, and the one at 1547 cm−1 was attributed to the COO– anti-symmetric stretching vibration of surface acetates [40,41]. The characteristic absorption band at 1685 cm−1 was due to the C=O stretching vibration of the aldehyde, and the one at 1762 cm−1 was owing to the C=O stretching vibration of the carboxylic acid. The result demonstrates that ethanol and acetaldehyde are produced in the oxidation of ethyl acetate. The band at 3568 cm−1 was due to the hydroxyl group on the sample surface [42], and the one at 3844 cm−1 was assigned to the bridged water [43]. H2O (with the bands at 3568, 3680, 3741, and 3844 cm−1) increased with the rise in temperature. Hence, the approximate pathways of ethyl acetate or toluene oxidation could be obtained. The C–C and C–O in ethyl acetate are first broken to form the CH3CH2O* and CH3CO* species. Then, the intermediates, such as ethanol and acetaldehyde, are produced, and these intermediates are finally converted to CO2 and H2O [44,45]. In the oxidation process of toluene, the intermediate products, such as benzaldehyde and benzoic acid, may be formed, which are finally oxidized to CO2 and H2O. It should be noted that the mechanisms of ethyl acetate or toluene oxidation were similar over the Pt/CeMnOx/diatomite and Pt/CeMnOx samples.
Figure 7.
In situ DRIFTS spectra of 1000 ppm toluene and 1000 ppm ethyl acetate oxidation over the Pt/CeMnOx/diatomite and Pt/CeMnOx samples (after activation treatment in an O2 flow at 300 °C) at different temperatures.
2.7. Catalytic Performance for Toluene and Ethyl Acetate Oxidation
Toluene and ethyl acetate are the typical VOCs in aromatics and esters, respectively, which are widely used in petroleum processing, coating, pharmaceutical, and automobile manufacturing industries. Such components usually exist in the mixture of VOCs emitted in the actual industrial production activities. Hence, taking toluene and ethyl acetate as the model VOCs for their oxidative removal is of significance for industrial applications. Catalytic activities of the samples were evaluated for the oxidation of a VOC mixture (i.e., 1000 ppm ethyl acetate and 1000 ppm toluene), and their results are shown in Figure 8A.
Figure 8.
(A) Ethyl acetate or toluene conversion, (B) acetaldehyde yield, and (C) ethanol yield as a function of reaction temperature over the Pt/CeMnOx and Pt/CeMnOx/diatomite samples.
In order to examine the effects of the Ce/Mn molar ratio or noble metal (Pt or Pd) on catalytic performance, we measured the catalytic activities of the samples with Ce/Mn molar ratios of 1:2, 1:1, and 2:1 or the supported Pt or Pd samples under the same reaction conditions, and their results are summarized in Table 3. We used the reaction temperatures (T50% and T90%) required for achieving toluene or ethyl acetate conversions of 50 and 90% to evaluate catalytic activities of the samples, respectively. the T90% over 0.32Pt/CeMnOx/diatomite was lower than that over 0.27Pd/CeMnOx/diatomite by 19 °C for ethyl acetate oxidation or 26 °C for toluene oxidation, indicating that the supported Pt sample outperformed the supported Pd sample for the two reactions. Over the samples with different Ce/Mn molar ratios, ethyl acetate conversion first increased and then decreased with the rise in Mn content. For toluene oxidation, the performance of the samples with Ce/Mn molar ratios of 0.5 and 1 was similar but better than the sample with a Ce/Mn molar ratio of 2. Therefore, the Pt/CeMnOx/diatomite sample with Ce/Mn molar ratio = 1 was used in the subsequent investigations.
Table 3.
Catalytic activities of the samples for ethyl acetate and toluene oxidation at SV = 20,000 mL g−1 h−1.
Figure 8A shows the catalytic activities of the Pt/CeMnOx/diatomite and Pt/CeMnOx samples for toluene and ethyl acetate oxidation. The reaction sequence of the mixed VOCs over the samples was reflected by the trend in the conversion of ethyl acetate and toluene. Ethyl acetate was first converted and toluene was then oxidized. Over the Pt/CeMnOx/diatomite sample, the catalytic activity of converting ethyl acetate in the VOC mixture at low temperatures was better than that over the Pt/CeMnOx sample. The T50% values over the Pt/CeMnOx/diatomite and Pt/CeMnOx samples were 185 and 200 °C, respectively, but the T90% values over the two samples were the same (210 °C) for the conversion of ethyl acetate. The above result indicates that the Pt/CeMnOx/diatomite sample exhibits better activity than the Pt/CeMnOx sample at low temperatures, which is related to the enhanced ethyl acetate adsorption capacity of the former sample. The oxidation of ethyl acetate over the samples obeyed a Mars–van Krevelen mechanism [46]. The Pt nanoparticles and oxygen vacancies on the surface of CeMnOx were the key active centers for the VOC oxidation. According to the XPS characterization results, one can realize that the Pt/CeMnOx/diatomite sample exhibits the strongest ability to adsorb and activate oxygen molecules, thus making this sample show the best catalytic performance for the VOC oxidation. However, there were no significant differences in toluene conversion over the Pt/CeMnOx and Pt/CeMnOx/diatomite samples, which displayed the close T50% (216 and 218 °C) and T90% (233 and 230 °C) values, respectively. Such a result was caused by the similar active sites with rather close Pt loadings (0.32–0.33 wt%). Figure 8B,C show the acetaldehyde and ethanol yields produced during the oxidation of ethyl acetate. The ethanol yields over the Pt/CeMnOx and Pt/CeMnOx/diatomite samples were close, but there was a significant difference in acetaldehyde yield over the two samples. The amount of acetaldehyde over the Pt/CeMnOx/diatomite sample was much lower than that over the Pt/CeMnOx sample. The diatomite has a surface with abundant hydroxyl groups and strong adsorption ability [12]. Some of the reactants and intermediates produced in ethyl acetate oxidation could be adsorbed on diatomite. Hence, the use of diatomite as a support would play an important role in improving the activity and selectivity of ethyl acetate oxidation over the diatomite-supported noble metal catalysts.
The turnover frequencies (TOFsPt or Pd) and specific reaction rates of the samples for the oxidation of ethyl acetate and toluene were calculated according to their activity data, as summarized in Table 3. Obviously, the 0.32Pt/CeMnOx/diatomite sample exhibited the highest TOFPt value and the highest specific reaction rate for the oxidation at 220 °C of ethyl acetate (1.04 μmol gcat−1 s−1) or toluene (1.56 μmol gcat−1 s−1). Table S1 summarizes the VOC oxidation activities of the catalysts presented in this work and reported in the literature. It can be found that the 0.32Pt/CeMnOx/diatomite catalyst prepared in the present work performed better than the previously reported catalysts in the oxidation of VOC mixtures.
In the past few years, there have been a lot of research works related to the kinetics of catalytic VOC oxidation. For example, Behar et al. [47] claimed that toluene combustion over Cu1.5Mn1.5O4 was first- and zero-order with respect to toluene and oxygen concentrations, respectively. Chen et al. [48] found that CH2Cl2 oxidation over Au/Co3O4 was first- and zero-order toward CH2Cl2 and O2 concentrations, respectively. In one of our previous works, a similar reaction mechanism over the Pd/meso-CoO and Pd/meso-Co3O4 catalysts was also confirmed [49]. Hence, it can be reasonably assumed that the oxidation of toluene and ethyl acetate in an excessive-oxygen (VOC/O2 molar ratio = 1/400) atmosphere obeys a first-order reaction mechanism with respect to VOC concentration (c): r = −kc = (−Aexp(−Ea/RT))c, where r, k, A, and Ea are the reaction rate (mol s−1), rate constant (s−1), pre-exponential factor, and apparent activation energy (kJ mol−1), respectively. The Arrhenius plots for the oxidation of toluene and ethyl acetate over the samples and the Ea values with standard deviations are shown in Figure S3. It should be noted that the standard deviations of the Ea values were 1.1–3.9 kJ mol−1 for toluene oxidation, while they were 2.9–5.2 kJ mol−1 for ethyl acetate oxidation over the Pt/CeMnOx, Pt/CeMn2Ox/diatomite, Pt/CeMnOx/diatomite, Pt/CeMn0.5Ox/diatomite, and Pd/CeMnOx/diatomite samples. The Ea value of toluene oxidation decreased in the order of 0.27Pd/CeMnOx/diatomite (76 kJ mol−1) > 0.30Pt/CeMn0.5Ox/diatomite (72 kJ mol−1) > 0.32Pt/CeMnOx/diatomite (69 kJ mol−1) > 0.33Pt/CeMn2Ox/diatomite (67 kJ mol−1) > 0.33Pt/CeMnOx (61 kJ mol−1). For ethyl acetate oxidation, it decreased in the sequence of 0.27Pd/CeMnOx/diatomite (55 kJ mol−1) > 0.30Pt/CeMn0.5Ox/diatomite (54 kJ mol−1) > 0.33Pt/CeMn2Ox/diatomite (50 kJ mol−1) > 0.33Pt/CeMnOx (42 kJ mol−1) > 0.32Pt/CeMnOx/diatomite (38 kJ mol−1), which was in good consistency with their activity changing trend.
2.8. Surface Element Compositions of the Samples after SO2 Treatment
The adsorbed oxygen species, surface element compositions, and metal oxidation state distributions of the samples before and after SO2 treatment were determined by the XPS technique, and their results are shown in Figure 9A–E and Table 4. After SO2 treatment, the Oads/Olatt molar ratio decreased, but the Mn2+/Mnδ+ (Mnδ+ = Mn2+ + Mn3+ + Mn4+) molar ratios on the Pt/CeMnOx and Pt/CeMnOx/diatomite samples increased. For the Pt/CeMnOx sample, the Mn2+/Mnδ+ molar ratio increased from 0.12 to 0.39, much higher than that (from 0.18 to 0.34) on the Pt/CeMnOx/diatomite sample. In addition, the Pt2+/Ptδ+ (Ptδ+ = Pt0 + Pt2+ + Pt4+) and S6+/S4+ molar ratios on the Pt/CeMnOx sample were also higher than those on the Pt/CeMnOx/diatomite sample. The results reveal that SO2 molecules attached to the Pt and Mn active sites tended to form a higher amount of sulfate on the surface of Pt/CeMnOx, as compared with the Pt/CeMnOx/diatomite sample surface. This also indicates that a certain amount of SO2 can be adsorbed by the diatomite. Hence, the use of diatomite as a support could protect the active sites in the sample to a certain extent.
Figure 9.
(A) O 1s, (B) Mn 2p, (C) Ce 3d, (D) Pt 4f, and (E) S 2p XPS spectra of (a) fresh Pt/CeMnOx, (b) Pt/CeMnOx after SO2 treatment, (c) fresh Pt/CeMnOx/diatomite, and (d) Pt/CeMnOx/diatomite after SO2 treatment.
Table 4.
Surface element compositions of the fresh and SO2-treated samples.
2.9. Sulfur Dioxide and Water Resistance
Sulfur oxide is a common component in industrial waste gas. Usually, SO2 can be strongly adsorbed on the surface of a catalyst by forming the sulfate species, occupying the active sites and hence resulting in catalyst deactivation. Such a deactivation is usually irreversible. Therefore, the existence of SO2 will significantly affect the lifetime of a catalyst. There was a competitive adsorption between reactants and sulfur dioxide during the VOC oxidation process in the presence of SO2. In the meanwhile, SO2 could also lead to the deactivation of the catalysts, thus influencing the oxidation of toluene or ethyl acetate. However, the catalysts with good SO2 resistance could still show high catalytic activities and stability in toluene and ethyl acetate oxidation in the presence of SO2.
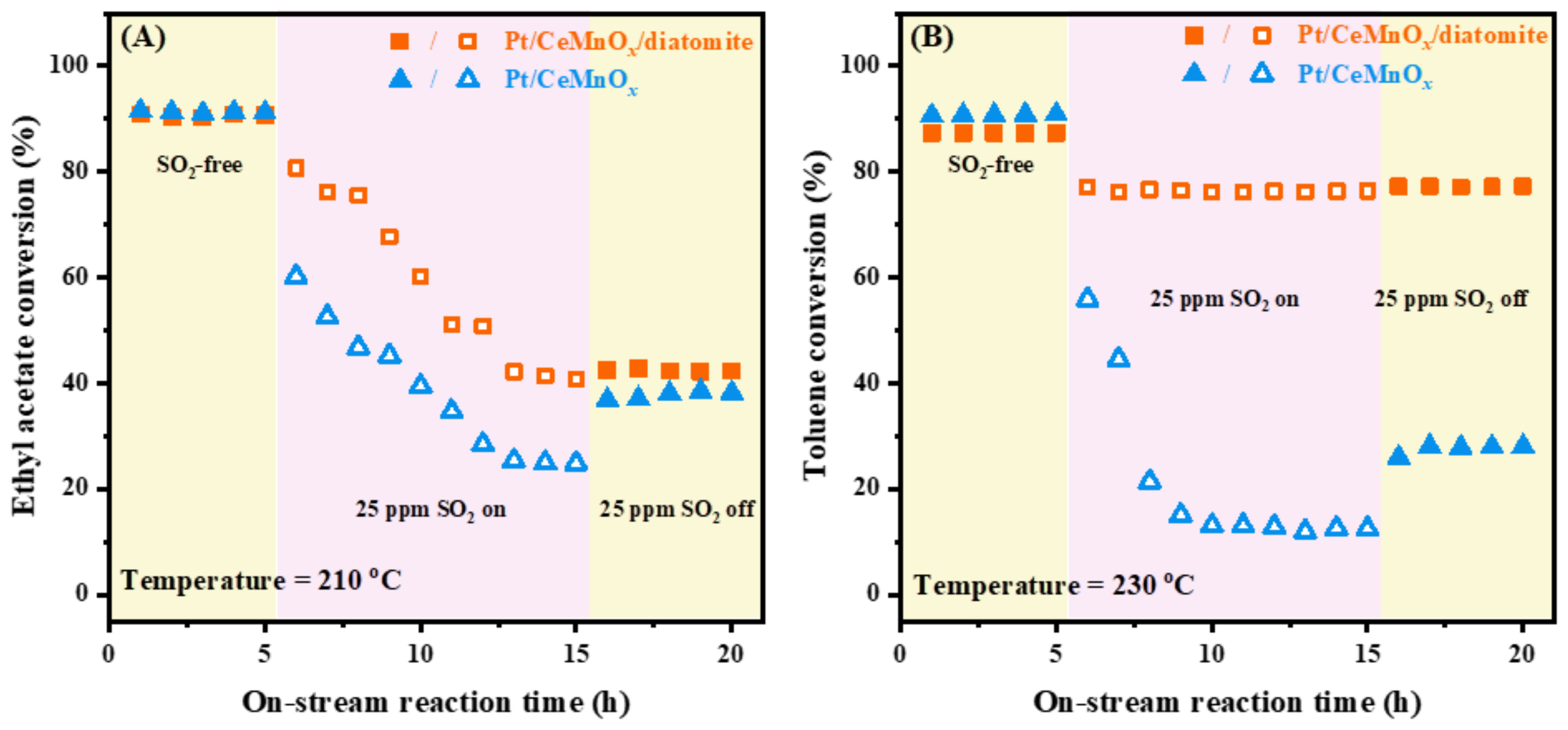
In order to explore the SO2 resistance of the typical samples, we measured the catalytic performance of Pt/CeMnOx and Pt/CeMnOx/diatomite for the oxidation of ethyl acetate and toluene in the presence of 25 ppm SO2. As shown in Figure 10A,B, 25 ppm SO2 was introduced to the mixed VOC feedstock at T90% (210 °C and 230 °C of ethyl acetate and toluene oxidation at SV = 20,000 mL g−1 h−1, respectively). Before the introduction of SO2, the conversions of VOCs over Pt/CeMnOx or Pt/CeMnOx/diatomite were stable at about 90%. When 25 ppm SO2 was added, ethyl acetate conversion over Pt/CeMnOx or Pt/CeMnOx/diatomite continued to decrease. After 8 h of on-stream reaction, ethyl acetate conversion was stabilized at 25 and 41%, respectively. After cutting off the SO2, ethyl acetate conversion over Pt/CeMnOx rose slightly to 37%, while that over Pt/CeMnOx/diatomite remained at about 41%.
Figure 10.
Effect of 25 ppm SO2 on catalytic activity of Pt/CeMnOx/diatomite and Pt/CeMnOx for (A) ethyl acetate oxidation at 210 °C or (B) toluene oxidation at 230 °C.
The SO2 resistance during the oxidation of toluene over the samples was tested at 230 °C with other conditions being the same as in activity evaluation, and the results are shown in Figure 9B. Ethyl acetate has already completely converted at this temperature, so SO2 exerted little effect on ethyl acetate conversion. However, the Pt/CeMnOx and Pt/CeMnOx/diatomite samples showed different sulfur dioxide resistance in toluene oxidation. Over the Pt/CeMnOx sample, catalytic activity decreased rapidly from 91 to 13% in 4 h after the introduction of SO2. When SO2 was cut off, toluene conversion was recovered to 29%, much lower than its initial conversion level. Over the Pt/CeMnOx/diatomite sample, however, toluene conversion decreased from 90 to 77% but was still stabilized at this level (about 77%) and not recovered when the SO2 was cut off. Combined with the XPS results, we can realize that SO2 is adsorbed on the surface of both samples by forming a large amount of sulfate species. Over the Pt/CeMnOx sample, the decrease in the conversion of ethyl acetate or toluene was owing to the generation of the stable sulfate species at different active sites. Over the Pt/CeMnOx/diatomite sample, except for forming manganese sulfate on the surface, some SO2 molecules were adsorbed on diatomite because of its good adsorption property. Therefore, the use of diatomite as a support could protect the active sites from being poisoned to a certain extent. In addition, the active component also existed on the inner surface of the pores due to the unique disc-shaped porous structure of diatomite. Such an active component could still play a catalytic role after adding SO2. Because of the pore size, the active component on the inner surface was mostly Pt. Pt is the preferential active site for toluene oxidation over the sample. Hence, this part of Pt in Pt/CeMnOx/diatomite might have governed the oxidation of toluene after the sample was treated with SO2.
Except for the SO2 effect, the influence of water vapor on catalytic performance cannot also be ignored. In order to examine the effect of H2O on the activity of the Pt/CeMnOx/diatomite and Pt/CeMnOx samples, we carried out toluene and ethyl acetate oxidation in the presence of 5.0 vol% H2O, and the results are shown in Figure 11A,B, respectively. Obviously, toluene or ethyl acetate conversions over the two samples decreased with the addition of water vapor. When water vapor was cut off, toluene or ethyl acetate conversions were gradually restored to the initial levels in the absence of water vapor. This phenomenon was attributable to the competitive adsorption between water vapor and the reactants’ molecules [50].
Figure 11.
Effect of 5.0 vol% H2O on catalytic activity of Pt/CeMnOx/diatomite and Pt/CeMnOx for (A) ethyl acetate oxidation at 210 °C or (B) toluene oxidation at 230 °C.
3. Materials and Methods
3.1. Chemical Reagents
Diatomite and H2PtCl6·6H2O were purchased from Macklin (Shanghai, China). Potassium permanganate (KMnO4), cerium chloride hexahydrate (CeCl3·7H2O), manganese chloride tetrahydrate (MnCl2·4H2O), and sodium hydroxide (NaOH) were purchased from Shanghai Aladdin Biochemical Technology Co., Ltd. All of the reagents were analytical-grade and used without further purification.
3.2. Preparation of CeMnOx/Diatomite
The CeMnOx/diatomite catalyst was prepared by the redox precipitation method [51]. Amounts of 1.00 g of diatomite, 0.63 g of KMnO4, 3.70 g of CeCl3·7H2O, and 1.20 g of MnCl2·4H2O were dissolved in 50 mL of deionized water and stirred for 1 h to be dispersed uniformly. Then, 0.2 mol L−1 of NaOH aqueous solution was added dropwise into the above mixed solution to adjust the pH value to 11.0 under stirring for 4 h. After the solution was centrifugated, the as-obtained solid was repeatedly washed with deionized water until the chloride was completely removed. Finally, the catalyst was dried at 80 °C for 12 h and further calcined in air at 500 °C for 4 h, thus obtaining the CeMnOx/diatomite catalyst. In order to compare the effect of Ce/Mn proportion in the CeMnOx composites on the catalytic activity of the catalysts, we selected Ce/Mn theoretical stoichiometric ratios of 0.5, 1, and 2, respectively. For comparison purposes, the CeMnOx, CeMn2Ox/diatomite, and CeMn0.5Ox/diatomite were also prepared by the same method.
3.3. Preparation of Pt/CeMnOx/Diatomite, Pt/CeMnOx, Pt/CeMn2Ox/Diatomite, Pt/CeMn0.5Ox/Diatomite, and Pd/CeMnOx/Diatomite
The Pt/CeMnOx/diatomite catalyst was prepared using a simple incipient wetness impregnation approach. An amount of 500 mg of the CeMnOx/diatomite support was impregnated with a certain amount of 0.01 mol L−1 H2PtCl6·6H2O aqueous solution (theoretical Pt loading = 0.5 wt%) at room temperature for 7 h. The as-obtained wet solid was first dried at 80 °C for 12 h and then calcined in air at 500 °C for 4 h, thus obtaining the Pt/CeMnOx/diatomite catalyst. For comparison purposes, the Pt/CeMnOx, Pt/CeMn2Ox/diatomite, Pt/CeMn0.5Ox/diatomite, and Pd/CeMnOx/diatomite catalysts were also prepared using the above same method. The concentration of the PdCl2 precursor solution was 0.01 mol L−1. The actual Pt and Pd loadings in Pt/CeMnOx/diatomite, Pt/CeMnOx, Pt/CeMn2Ox/diatomite, Pt/CeMn0.5Ox/diatomite, and Pd/CeMnOx/diatomite were 0.32, 0.33, 0.33, 0.30, and 0.27 wt%, respectively, as revealed by the inductively coupled plasma–atomic emission spectroscopic (ICP–AES) characterization results.
3.4. Catalyst Characterization
The physicochemical properties of the catalysts were characterized by ICP–AES (Thermo Electron IRIS Intrepid ER/S spectrometer, Waltham, MA, USA), powdered X-ray diffraction XRD, Bruker/AXS D8 Advance diffractometer, with Cu Kα radiation and nickel filter (λ = 0.15406 nm), Berlin, Germany), scanning electron microscopy (SEM, Gemini Zeiss Supra 55 apparatus, Oberkochen, Germany), N2 adsorption–desorption (BET, Micromeritics ASAP 2020 analyzer, Norcross, GA, USA), X-ray photoelectron spectroscopy (XPS, Thermo Fisher Scientific ESCALAB 250 Xi spectrometer, Waltham, MA, USA), H2 temperature-programmed reduction (H2-TPR, AutoChem II 2920, Micromeritics, Norcross, GA, USA), O2 temperature-programmed desorption (O2-TPD), and SO2 temperature-programmed desorption (SO2-TPD)(Autochem II 2920, Micromeritics, Norcross, GA, USA, respectively), thermogravimetric analysis (TGA, Setaram Labsys evo, Caluire, France), ethyl acetate or toluene temperature-programmed desorption (EA-TPD or toluene-TPD)(Autochem II 2920, Micromeritics, Norcross, GA, USA), and in situ diffuse reflectance infrared Fourier transform spectroscopy (in situ DRIFTS, Nicolet 6700 FT-IR spectrometer with a liquid-nitrogen-cooled MCT detector, Bruker, Berlin, Germany). The detailed characterization procedures can be seen in the Supplementary Materials.
3.5. Catalytic Performance Evaluation
Toluene and ethyl acetate oxidation performance was determined in a fixed-bed quartz tubular microreactor (i.d. = 6 mm). Amounts of 50 mg of the catalyst (40–60 mesh) and 0.25 g of quartz sand (40–60 mesh) were well mixed to minimize the effect of hot spots. Before the test, each sample was pretreated in O2 (20 mL min−1) at 250 °C for 1 h. The measurement conditions were as follows: the gas mixture was 1000 ppm toluene +1000 ppm ethyl acetate +40 vol% O2 + N2 (balance), the total flow rate was 16.7 mL min−1, and the space velocity (SV) was 20,000 mL g−1 h−1. When the SO2 or H2O was added, 25 ppm SO2 and 5.0 vol% H2O were introduced to the reaction system by a mass controller. The 25 ppm SO2 came from a gas cylinder, and the 5.0 vol% H2O was provided by a water saturator at 34 °C. Reactants and products were analyzed online by gas chromatography (GC-2014C, Shimadzu, Kyoto, Japan), equipped with a flame ionization detector (FID) and a thermal conductivity detector (TCD), using a stabilwax@-DA column (30 m in length) for VOC separation and a 1/8 in Carboxen 1000 column (3 m in length) for permanent gas separation. Two parameters (T50% and T90%) were used to measure activities of the samples, which refer to the temperatures achieving 50 and 90% conversions of toluene or ethyl acetate, respectively. Toluene or ethyl acetate conversion was calculated according to the formula: (cinlet − coutlet)/cinlet × 100%, where cinlet and coutlet are the inlet and outlet toluene or ethyl acetate concentrations, respectively.
4. Conclusions
The Pt/CeMnOx and Pt/CeMnOx/diatomite samples were prepared using the redox precipitation and incipient wetness impregnation methods. Among the as-prepared samples, Pt/CeMnOx/diatomite exhibited the best catalytic activity (T90% = 210 °C and 230 °C for ethyl acetate and toluene oxidation at SV = 20,000 mL g−1 h−1, respectively, and TOFPt at 220 °C = 1.04 μmol gcat−1 s−1 for ethyl acetate oxidation and 1.56 μmol gcat−1 s−1 toluene oxidation), as well as an excellent performance especially for ethyl acetate oxidation at low temperatures, with its T50% being 20 °C lower than that over the Pt/CeMnOx sample at SV = 20,000 mL g−1 h−1. Catalytic activity at low temperatures was improved since diatomite increased the ethyl acetate adsorption capacity of the sample. The Pt/CeMnOx/diatomite sample showed a better sulfur dioxide resistance than the Pt/CeMnOx sample during the toluene oxidation process due to the fact that the former possesses the unique disc-shaped porous structure and good adsorption property of diatomite. Some of the SO2 molecules were adsorbed on diatomite due to its excellent adsorption behavior, thus protecting the active sites on the sample surface from being poisoned by SO2. The mechanisms of ethyl acetate and toluene oxidation over the Pt/CeMnOx/diatomite and Pt/CeMnOx samples were as follows: (i) The C–C and C–O bonds in ethyl acetate are first broken to form the CH3CH2O* and CH3CO* species, and these intermediates are then converted to CO2 and H2O; (ii) toluene is first oxidized to benzaldehyde and benzoic acid, which are then converted to CO2 and H2O. This work combined the advantages of an active CeMnOx composite and natural diatomite. In addition, the preparation method adopted in this study was simple. The as-prepared Pt/CeMnOx/diatomite catalyst exhibited good activity for the oxidation of toluene and ethyl acetate. In particular, this catalyst showed good SO2 resistance in toluene oxidation. Therefore, the present study is of practical significance. We are sure that such a catalytic material is promising in the practical industrial applications of VOC removal.
Supplementary Materials
The following catalyst preparation procedures and catalytic evaluation procedures are available online at https://www.mdpi.com/article/10.3390/catal13040676/s1: Table S1, Comparison of catalytic activities for ethyl acetate and toluene oxidation of the Pt/CeMnOx/diatomite sample prepared in the present work and various catalysts reported in the literature; Figure S1, Ethyl acetate or toluene conversion as a function of reaction temperature over the Pd/CeMnOx/diatomite and Pt/CeMnOx/diatomite samples at SV = 20,000 mL g−1 h−1; Figure S2, Ethyl acetate or toluene conversion as a function of reaction temperature over the Pt/CeMnOx/diatomite samples with different Ce/Mn ratios at SV = 20,000 mL g−1 h−1; Figure S3, Ln k versus inverse temperature over (a) Pt/CeMnOx, (b) Pt/CeMn2Ox/diatomite, (c) Pt/CeMnOx/diatomite, (d) Pt/CeMn0.5Ox/diatomite, and (e) Pd/CeMnOx/diatomite for the oxidation of (A) toluene and (B) ethyl acetate at SV = 20,000 mL g−1 h−1; Figure S4, Deconvoluted reduction peaks in H2-TPR profiles of the CeMnOx and CeMnOx/diatomite samples; Figure S5, TGA curves of the Pt/CeMnOx/diatomite, Pt/CeMnOx, and diatomite samples and references [13,52,53,54,55,56,57,58,59].
Author Contributions
Conceptualization, H.D.; Methodology, Y.L. and H.D.; Software, J.D. and L.J.; Investigation, L.L.; Resources, H.D.; Data Curation, L.L., Y.L., J.D. and L.J.; Writing—Original Draft Preparation, L.L.; Writing—Review and Editing, J.D., L.J. and H.D.; Visualization, Z.H. and R.G.; Supervision, Y.L. and H.D.; Project Administration, H.D.; Funding Acquisition, H.D. All authors have read and agreed to the published version of the manuscript.
Funding
This work was supported by the National Natural Science Foundation Committee of China–Liaoning Provincial People’s Government Joint Fund (U1908204), National Natural Science Foundation of China (21876006 and 21976009), Natural Science Foundation of Beijing Municipal Commission of Education (KM201710005004), Development Program for the Youth Outstanding–Notch Talent of Beijing Municipal Commission of Education (CIT&TCD201904019), and Foundation on the Creative Research Team Construction Promotion Project of Beijing Municipal Institutions (IDHT20190503).
Data Availability Statement
All the relevant data used in this study have been provided in the form of figures and tables in the published article, and all data provided in the present manuscript are available to whomever they may concern.
Conflicts of Interest
The authors declare no conflict of interest.
References
- He, C.; Cheng, J.; Zhang, X.; Douthwaite, M.; Pattisson, S.; Hao, Z.P. Recent advances in the catalytic oxidation of volatile organic compounds: A review based on pollutant sorts and sources. Chem. Rev. 2019, 119, 4471–4568. [Google Scholar] [CrossRef] [PubMed]
- Xi, Y.; Reed, C.; Lee, Y.K.; Oyama, S.T. Acetone oxidation using ozone on manganese oxide catalysts. J. Phys. Chem. B 2005, 109, 17587–17596. [Google Scholar] [CrossRef] [PubMed]
- Zhang, H.Y.; Sui, S.H.; Zheng, X.M.; Cao, R.R.; Zhang, P.Y. One-pot synthesis of atomically dispersed Pt on MnO2 for efficient catalytic decomposition of toluene at low-temperatures. Appl. Catal. B 2019, 257, 117878. [Google Scholar] [CrossRef]
- Darif, B.; Ojala, S.; Pirault-Roy, L.; Bensitel, M.; Brahmi, R.; Keiski, R.L. Study on the catalytic oxidation of DMDS over Pt-Cu catalysts supported on Al2O3, AlSi2O and SiO2. Appl. Catal. B 2016, 181, 24–33. [Google Scholar] [CrossRef]
- Lu, H.F.; Zhou, Y.; Han, W.F.; Huang, H.F.; Chen, Y.F. High thermal stability of ceria based mixed oxide catalysts supported on ZrO2 for toluene combustion. Catal. Sci. Technol. 2013, 3, 1480. [Google Scholar] [CrossRef]
- Ezzatahmadi, N.; Bao, T.; Liu, H.M.; Millar, G.J.; Ayoko, G.A.; Zhu, J.X.; Zhu, R.L.; Liang, X.L.; He, H.P.; Xi, Y.F. Catalytic degradation of orange II in aqueous solution using diatomite-supported bimetallic Fe/Ni nanoparticles. RSC Adv. 2018, 8, 7687–7696. [Google Scholar] [CrossRef]
- Zhang, Z.H.; Wang, Z.Y. Diatomite-supported Pd nanoparticles: An efficient catalyst for Heck and Suzuki reactions. J. Org. Chem. 2006, 71, 7485–7487. [Google Scholar] [CrossRef]
- Wang, K.; Tang, Z.H.; Wu, W.; Xi, P.X.; Liu, D.; Ding, Z.Q.; Chen, X.N.; Wu, X.; Chen, S.W. Nanocomposites CoPt-x/diatomite-C as oxygen reversible electrocatalysts for zinc-air batteries: Diatomite boosted the catalytic activity and durability. Electrochim. Acta 2018, 284, 119–127. [Google Scholar] [CrossRef]
- Zhang, G.; Sun, Z.; Duan, Y.; Ma, R.; Zheng, S. Synthesis of nano-TiO2/diatomite composite and its photocatalytic degradation of gaseous formaldehyde. Appl. Surf. Sci. 2017, 412, 105–112. [Google Scholar] [CrossRef]
- Wang, B.; Zhang, G.X.; Leng, X.; Sun, Z.M.; Zheng, S.L. Characterization and improved solar light activity of vanadium doped TiO2/diatomite hybrid catalysts. J. Hazard. Mater. 2015, 285, 212–220. [Google Scholar] [CrossRef]
- Zhou, Y.; Xi, W.; Xie, Z.X.; You, Z.X.; Jiang, X.Z.; Han, B.; Lang, R.; Wu, C.D. High-loading Pt single-atom catalyst on CeO2-modified diatomite support. Chem. Asian J. 2021, 16, 2622–2625. [Google Scholar] [CrossRef]
- Liu, X.; He, Y.; Yang, B.; Qi, Y.; Yang, J. Highly efficient photo-degradation of gaseous organic pollutants catalyzed by diatomite-supported titanium dioxide. Catalysts 2020, 10, 380. [Google Scholar] [CrossRef]
- Lee, Y.J.; Vikrant, K.; Szulejko, J.E.; Kim, K.H.; Dong, F. Thermocatalytic oxidation of a three-component mixture of volatile organic compounds by a titanium dioxide-supported platinum catalyst. J. Clean. Prod. 2021, 325, 129279. [Google Scholar] [CrossRef]
- Santos, V.P.; Pereira, M.F.R.; Órfão, J.J.M.; Figueiredo, J.L. Mixture effects during the oxidation of toluene, ethyl acetate and ethanol over a cryptomelane catalyst. J. Hazard. Mater. 2011, 185, 1236–1240. [Google Scholar] [CrossRef]
- Hou, Z.Y.; Feng, J.; Lin, T.; Zhang, H.L.; Zhou, X.Y.; Chen, Y.Q. The performance of manganese-based catalysts with Ce0.65Zr0.35O2 as support for catalytic oxidation of toluene. Appl. Surf. Sci. 2018, 434, 82–90. [Google Scholar] [CrossRef]
- Ahn, C.W.; You, Y.W.; Heo, I.; Hong, J.S.; Jeon, J.K.; Ko, Y.D.; Kim, Y.; Park, H.; Suh, J.K. Catalytic combustion of volatile organic compound over spherical-shaped copper-manganese oxide. J. Ind. Eng. Chem. 2017, 47, 439–445. [Google Scholar] [CrossRef]
- Liu, P.; Wei, G.L.; Liang, X.L.; Chen, D.; He, H.P.; Chen, T.H.; Xi, Y.F.; Chen, H.L.; Han, D.H.; Zhu, J.X. Synergetic effect of Cu and Mn oxides supported on palygorskite for the catalytic oxidation of formaldehyde: Dispersion, microstructure, and catalytic performance. Appl. Clay Sci. 2018, 161, 265–273. [Google Scholar] [CrossRef]
- Chen, J.; Chen, X.; Xu, W.; Xu, Z.; Chen, J.; Jia, H.; Chen, J. Hydrolysis driving redox reaction to synthesize Mn-Fe binary oxides as highly active catalysts for the removal of toluene. Chem. Eng. J. 2017, 330, 281–293. [Google Scholar] [CrossRef]
- Liu, G.; Yu, J.; Chen, L.; Feng, N.; Meng, J.; Fang, F.; Zhao, P.; Wang, L.; Wan, H.; Guan, G. Promoting diesel soot combustion efficiency over hierarchical brushlike α-MnO2 and Co3O4 nanoarrays by improving reaction sites. Ind. Eng. Chem. Res. 2019, 58, 13935–13949. [Google Scholar] [CrossRef]
- Tseng, T.K.; Chu, H.; Hsu, H.H. Characterization of γ-alumina-supported manganese oxide as an incineration catalyst for trichloroethylene. Environ. Sci. Technol. 2003, 37, 171–176. [Google Scholar] [CrossRef]
- Zhang, D.S.; Zhang, L.; Shi, L.Y.; Fang, C.; Li, H.R.; Gao, R.H.; Huang, L.; Zhang, J.P. In situ supported MnOx–CeOx on carbon nanotubes for the low-temperature selective catalytic reduction of NO with NH3. Nanoscale 2013, 5, 1127–1136. [Google Scholar] [CrossRef] [PubMed]
- Baumer, M.; Freund, H.J. Metal deposits on well-ordered oxide films. Prog. Surf. Sci. 1999, 61, 127–198. [Google Scholar] [CrossRef]
- He, Y.B.; Li, G.R.; Wang, Z.L.; Ou, Y.N.; Tong, Y.X. Pt nanorods aggregates with enhanced electrocatalytic activity toward methanol oxidation. J. Phys. Chem. C 2010, 114, 19175–19181. [Google Scholar] [CrossRef]
- Prabhuram, J.; Zhao, T.S.; Wong, C.W.; Guo, J.W. Synthesis and physical/electro-chemical characterization of Pt/C nanocatalyst for polymer electrolyte fuel cells. J. Power Sources 2004, 134, 1–6. [Google Scholar] [CrossRef]
- Cheng, X.; Li, Y.H.; Zheng, L.R.; Yan, Y.; Zhang, Y.F.; Chen, G.; Sun, S.R.; Zhang, J.J. Highly active, stable oxidized platinum clusters as electrocatalysts for the hydrogen evolution reaction. Energy Environ. Sci. 2017, 10, 2450–2458. [Google Scholar] [CrossRef]
- Priolkar, K.R.; Bera, P.; Sarode, P.R.; Hegde, M.S.; Emura, S.; Kumashiro, R.; Lalla, N.P. Formation of CePdO solid solution in combustion-synthesized Pd/CeO2 catalyst: XRD, XPS, and EXAFS investigation. Chem. Mater. 2002, 14, 2120–2128. [Google Scholar] [CrossRef]
- Weng, X.L.; Sun, P.F.; Long, Y.; Meng, Q.J.; Wu, Z.B. Catalytic oxidation of chlorobenzene over MnxCe1–xO2/HZSM-5 catalysts: A study with practical implications. Environ. Sci. Technol. 2017, 51, 8057–8066. [Google Scholar] [CrossRef]
- Pei, W.B.; Liu, Y.X.; Deng, J.G.; Zhang, K.F.; Hou, Z.Q.; Zhao, X.T.; Dai, H.X. Partially embedding Pt nanoparticles in the skeleton of 3DOM Mn2O3: An effective strategy for enhancing catalytic stability in toluene combustion. Appl. Catal. B 2019, 256, 117814. [Google Scholar] [CrossRef]
- Zhang, L.; Zou, W.; Ma, K.; Cao, Y.; Xiong, Y.; Wu, S.; Tang, C.; Gao, F.; Dong, L. Sulfated temperature effects on the catalytic activity of CeO2 in NH3-selective catalytic reduction conditions. J. Phys. Chem. C 2015, 119, 1155–1163. [Google Scholar] [CrossRef]
- Ji, J.; Jing, M.; Wang, X.; Tan, W.; Guo, K.; Li, L.; Wang, X.; Song, W.; Cheng, L.; Sun, J. Activating low-temperature NH3-SCR catalyst by breaking the strong interface between acid and redox sites: A case of model Ce2(SO4)3–CeO2 study. J. Catal. 2021, 399, 212–223. [Google Scholar] [CrossRef]
- Shan, R.T.; Sheng, Z.T.; Hu, S.; Xiao, H.F.; Zhang, Y.H.; Zhang, J.H.; Wang, L.; Zhang, C.B.; Li, J.L. Enhancing oxidation reaction over Pt–MnO2 catalyst by activation of surface oxygen. J. Environ. Sci. 2023, in press. [CrossRef]
- Murugan, B.; Ramaswamy, A.V.; Srinivas, D.; Gopinath, C.S.; Ramaswamy, V. Nature of manganese species in Ce1−xMnxO2−δ solid solutions synthesized by the solution combustion route. Chem. Mater. 2005, 17, 3983–3993. [Google Scholar] [CrossRef]
- Zhao, H.J.; Dong, F.; Han, W.L.; Tang, Z.C. Study of morphology-dependent and crystal-plane effects of CeMnOx catalysts for 1,2-dichlorobenzene catalytic elimination. Ind. Eng. Chem. Res. 2019, 58, 18055–18064. [Google Scholar] [CrossRef]
- Tang, W.X.; Wu, X.F.; Li, D.Y.; Wang, Z.; Liu, G.; Liu, H.D.; Chen, Y.F. Oxalate route for promoting activity of manganese oxide catalysts in total VOCs’ oxidation: Effect of calcination temperature and preparation method. J. Mater. Chem. A 2014, 2, 2544–2554. [Google Scholar] [CrossRef]
- Hao, X.Q.; Deng, J.G.; Liu, Y.X.; Jing, L.; Wang, J.; Wang, Z.W.; Dai, H.X. Mesoporous NaxMnOy-supported platinum–cobalt bimetallic single-atom catalysts with good sulfur dioxide tolerance in propane oxidation. ACS Sustain. Chem. Eng. 2022, 10, 8326–8341. [Google Scholar] [CrossRef]
- Kim, S.C.; Shim, W.G. Catalytic combustion of VOCs over a series of manganese oxide catalysts. Appl. Catal. B 2010, 98, 180–185. [Google Scholar] [CrossRef]
- Du, H.; Wang, Y.; Arandiyan, H.; Younis, A.; Scott, J.; Qu, B.; Wan, T.; Lin, X.; Chen, J.; Chu, D. Design and synthesis of CeO2 nanowire/MnO2 nanosheet heterogeneous structure for enhanced catalytic properties. Mater. Today Commun. 2017, 11, 103–111. [Google Scholar] [CrossRef]
- Li, P.; He, C.; Cheng, J.; Ma, C.Y.; Dou, B.J.; Hao, Z.P. Catalytic oxidation of toluene over Pd/Co3AlO catalysts derived from hydrotalcite-like compounds: Effects of preparation methods. Appl. Catal. B 2011, 101, 570–579. [Google Scholar] [CrossRef]
- Zhao, S.; Hu, F.Y.; Li, J.H. Hierarchical core-shell Al2O3@Pd-CoAlO microspheres for low-temperature toluene combustion. ACS Catal. 2016, 6, 3433–3441. [Google Scholar] [CrossRef]
- Liao, Y.N.; Zhang, X.N.; Peng, R.S.; Zhao, M.Q.; Ye, D.Q. Catalytic properties of manganese oxide polyhedra with hollow and solid morphologies in toluene removal. Appl. Surf. Sci. 2017, 405, 20–28. [Google Scholar] [CrossRef]
- Li, J.; Na, H.; Zeng, X.; Zhu, T.; Liu, Z. In situ DRIFTS investigation for the oxidation of toluene by ozone over Mn/HZSM-5, Ag/HZSM-5 and Mn–Ag/HZSM-5 catalysts. Appl. Surf. Sci. 2014, 311, 690–696. [Google Scholar] [CrossRef]
- Zhang, X.; Dai, L.Y.; Liu, Y.X.; Deng, J.G.; Jing, L.; Wang, Z.W.; Pei, W.B.; Yu, X.H.; Wang, J.; Dai, H.X. Effect of support nature on catalytic activity of the bimetallic RuCo nanoparticles for the oxidative removal of 1,2-dichloroethane. Appl. Catal. B 2021, 285, 119804. [Google Scholar] [CrossRef]
- Bai, S.X.; Dai, Q.G.; Chu, X.X.; Wang, X.Y. Dehydrochlorination of 1,2-dichloroethane over Ba-modified Al2O3 catalysts. RSC Adv. 2016, 6, 52564–52574. [Google Scholar] [CrossRef]
- Liu, X.L.; Han, Q.Z.; Shi, W.B.; Zhang, C.; Li, E.; Zhu, T.Y. Catalytic oxidation of ethyl acetate over Ru–Cu bimetallic catalysts: Further insights into reaction mechanism via in situ FTIR and DFT studies. J. Catal. 2019, 369, 482–492. [Google Scholar] [CrossRef]
- Rainone, F.; Bulushev, D.A.; Kiwi-Minsker, L.; Renken, A. DRIFTS and transient-response study of vanadia/titania catalysts during toluene partial oxidation. Phys. Chem. Chem. Phys. 2003, 5, 4445–4449. [Google Scholar] [CrossRef]
- Naydenov, A.; Velinova, R.; Blin, J.-L.; Michelin, L.; Lebeau, B.; Kolev, H.; Karakirova, Y.; Karashanova, D.; Vidal, L.; Dotzeva, A.; et al. Reaction kinetics and mechanism of VOCs combustion on Mn-Ce-SBA-15. Catalysts 2022, 12, 583. [Google Scholar] [CrossRef]
- Behar, S.; Gómez-Mendoza, N.A.; Gómez-García, M.A.; Swierczynski, D.; Quignard, F.; Tanchoux, N. Study and modelling of kinetics of the oxidation of VOC catalyzed by nanosized Cu–Mn spinels prepared via an alginate route. Appl. Catal. A 2015, 504, 203–210. [Google Scholar] [CrossRef]
- Chen, B.; Bai, C.; Cook, R.; Wright, J.; Wang, C. Gold/cobalt oxide catalysts for oxidative destruction of dichloromethane. Catal. Today 1996, 30, 15–20. [Google Scholar] [CrossRef]
- Xie, S.H.; Liu, Y.X.; Deng, J.G.; Yang, J.; Zhao, X.T.; Han, Z.; Zhang, K.F.; Wang, Y.; Arandiyan, H.; Dai, H.X. Mesoporous CoO-supported palladium nanocatalysts with high performance for o-xylene combustion. Catal. Sci. Technol. 2018, 8, 806–816. [Google Scholar] [CrossRef]
- Wu, L.K.; Deng, J.G.; Liu, Y.X.; Jing, L.; Yu, X.H.; Zhang, X.; Gao, R.Y.; Pei, W.B.; Hao, X.Q.; Rastegarpanah, A.; et al. Pd/silicalite-1: Pd/silicalite-1: An highly active catalyst for the oxidative removal of toluene. J. Environ. Sci. 2022, 116, 209–219. [Google Scholar] [CrossRef]
- Niu, L.J.; Xian, G.; Long, Z.Q.; Zhang, G.M.; Zhou, N.Y. MnCeOx/diatomite catalyst for persulfate activation to degrade organic pollutants. J. Environ. Sci. 2020, 89, 206–217. [Google Scholar] [CrossRef]
- Liu, P.; He, P.; Wei, G.L.; Liu, D.; Liang, X.L.; Chen, T.H.; Zhu, J.X.; Zhu, R.L. An efficient catalyst of manganese supported on diatomite for toluene oxidation: Manganese species, catalytic performance, and structure activity relationship. Microporous Mesoporous Mater. 2017, 239, 101–110. [Google Scholar] [CrossRef]
- Jiang, Y.; Gao, J.; Zhang, Q.; Liu, Z.; Fu, M.; Wu, J.; Hu, Y.; Ye, D. Enhanced oxygen vacancies to improve ethyl acetate oxidation over MnOx–CeO2 catalyst derived from MOF template. Chem. Eng. J. 2019, 371, 78–87. [Google Scholar] [CrossRef]
- Li, Q.; Zhai, Z.; Xu, Y.; Jia, L.S.; Huang, J.L.; Sun, D.H.; Li, Q.B. Diatomite supported Pt nanoparticles as efficient catalyst for benzene removal. Ind. Eng. Chem. Res. 2019, 58, 14008–14015. [Google Scholar] [CrossRef]
- He, C.; Li, P.; Cheng, J.; Hao, Z.P.; Xu, Z.P. A Comprehensive study of deep catalytic oxidation of benzene, toluene, ethyl acetate, and their mixtures over Pd/ZSM-5 catalyst: Mutual effects and kinetics. Water Air Soil Pollut. 2010, 209, 365–376. [Google Scholar] [CrossRef]
- Dong, N.; Chen, M.Y.; Ye, Q.; Zhang, D.; Dai, H.X. An investigation on catalytic performance and reaction mechanisms of Fe/OMS-2 for the oxidation of carbon monoxide, ethyl acetate, and toluene. J. Environ. Sci. 2022, 112, 258–268. [Google Scholar] [CrossRef]
- Saper, S.M.; Kondarides, D.I.; Verykios, X.E. Catalytic oxidation of toluene over binary mixtures of copper, manganese and cerium oxides supported on γ-Al2O3. Appl. Catal. B 2011, 103, 275–286. [Google Scholar]
- Su, X.W.; Jin, L.Y.; Lu, Q.; Luo, M.F. Pd/Ce0.9Cu0.1O1.9–Y2O3 catalysts for catalytic combustion of toluene and ethyl acetate. J. Ind. Eng. Chem. 2009, 15, 683–686. [Google Scholar] [CrossRef]
- Beauchet, R.; Magnoux, P.; Mijoin, J. Catalytic oxidation of volatile organic compounds (VOCs) mixture (isopropanol/o-xylene) on zeolite catalysts. Catal. Today 2007, 124, 118–123. [Google Scholar] [CrossRef]
Disclaimer/Publisher’s Note: The statements, opinions and data contained in all publications are solely those of the individual author(s) and contributor(s) and not of MDPI and/or the editor(s). MDPI and/or the editor(s) disclaim responsibility for any injury to people or property resulting from any ideas, methods, instructions or products referred to in the content. |
© 2023 by the authors. Licensee MDPI, Basel, Switzerland. This article is an open access article distributed under the terms and conditions of the Creative Commons Attribution (CC BY) license (https://creativecommons.org/licenses/by/4.0/).










