Coal as an Effective Catalyst for Selective Oxidative Dehydrogenation of Propane to Propene
Abstract
1. Introduction
2. Results and Discussion
2.1. Catalytic Performances of the Catalysts
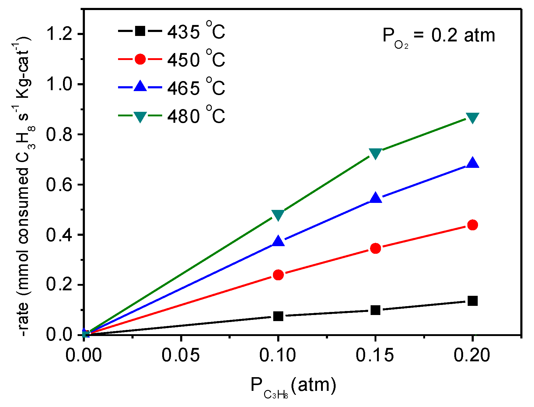
2.2. Catalytic Kinetics
2.3. Characterizations of the Catalysts
2.4. The Possible Mechanism
3. Materials and Methods
3.1. Materials
3.2. Characterization
3.3. Catalytic Activity Test
4. Conclusions
Supplementary Materials
Author Contributions
Funding
Data Availability Statement
Conflicts of Interest
References
- Amghizar, I.; Avandewalle, L.; Geem, K.M.; Bmarin, G. New Trends in Olefin Production. Engineering 2017, 3, 171–178. [Google Scholar] [CrossRef]
- Cavani, F.; Ballarini, N.; Cericola, A. Oxidative Dehydrogenation of Ethane and Propane: How Far from Commercial Implementation? Catal. Today 2007, 127, 113–131. [Google Scholar] [CrossRef]
- Sattler, J.J.H.B.; Ruiz-Martinez, J.; Santillan-Jimenez, E.; Weckhuysen, B.M. Catalytic Dehydrogenation of Light Alkanes on Metals and Metal Oxides. Chem. Rev. 2014, 114, 10613–10653. [Google Scholar] [CrossRef] [PubMed]
- Cherian, M.; Rao, M.S.; Yang, W.-T.; Jehng, J.-M.; Hirt, A.M.; Deo, G. Oxidative Dehydrogenation of Propane over Cr2O3/Al2O3 and Cr2O3 Catalysts: Effects of Loading, Precursor and Surface Area. Appl. Catal. A 2002, 233, 21–33. [Google Scholar] [CrossRef]
- Duprez, D.; Hadj-Aissa, M.; Barbier, J. Effect of Steam on the Coking of Platinum Catalysts: I. Inhibiting Effect of Steam at Low Partial Pressure for the Dehydrogenation of Cyclopentane and the Coking Reaction. Appl. Catal. 1989, 49, 67–74. [Google Scholar] [CrossRef]
- Zhang, X.; Gong, J.; Wei, X.; Liu, L. Increased Light Olefin Production by Sequential Dehydrogenation and Cracking Reactions. Catalysts 2022, 12, 1457. [Google Scholar] [CrossRef]
- Carrero, C.A.; Schloegl, R.; Wachs, I.E.; Schomaecker, R. Critical Literature Review of the Kinetics for the Oxidative Dehydrogenation of Propane over Well-Defined Supported Vanadium Oxide Catalysts. ACS Catal. 2014, 4, 3357–3380. [Google Scholar] [CrossRef]
- Chernov, A.N.; Sobolev, V.I.; Gerasimov, E.Y.; Koltunov, K.Y. Propane Dehydrogenation on Co-N-C/Sio2 Catalyst: The Role of Single-Atom Active Sites. Catalysts 2022, 12, 1262. [Google Scholar] [CrossRef]
- Chen, K.; Iglesia, E.; Bell, A.T. Kinetic Isotopic Effects in Oxidative Dehydrogenation of Propane on Vanadium Oxide Catalysts. J. Catal. 2000, 192, 197–203. [Google Scholar] [CrossRef]
- Madeira, L.M.; Portela, M.F. Catalytic Oxidative Dehydrogenation of N-Butane. Catal. Rev. 2002, 44, 247–286. [Google Scholar] [CrossRef]
- Bulánek, R.; Čičmanec, P.; Sheng-Yang, H.; Knotek, P.; Čapek, L.; Setnička, M. Effect of Preparation Method on Nature and Distribution of Vanadium Species in Vanadium-Based Hexagonal Mesoporous Silica Catalysts: Impact on Catalytic Behavior in Propane Odh. Appl. Catal. A 2012, 415, 29–39. [Google Scholar] [CrossRef]
- Santacesaria, E.; Cozzolino, M.; Di Serio, M.; Venezia, A.; Tesser, R. Vanadium Based Catalysts Prepared by Grafting: Preparation, Properties and Performances in the Odh of Butane. Appl. Catal. A 2004, 270, 177–192. [Google Scholar] [CrossRef]
- Tsilomelekis, G.; Christodoulakis, A.; Boghosian, S. Support Effects on Structure and Activity of Molybdenum Oxide Catalysts for the Oxidative Dehydrogenation of Ethane. Catal. Today 2007, 127, 139–147. [Google Scholar] [CrossRef]
- Chen, K.; Xie, S.; Bell, A.T.; Iglesia, E. Alkali Effects on Molybdenum Oxide Catalysts for the Oxidative Dehydrogenation of Propane. J. Catal. 2000, 195, 244–252. [Google Scholar] [CrossRef]
- Chaar, M.A.; Patel, D.; Kung, H.H. Selective Oxidative Dehydrogenation of Propane over V-Mg-O Catalysts. J. Catal. 1988, 109, 463–467. [Google Scholar] [CrossRef]
- Abello, M.C.; Gomez, M.F.; Ferretti, O. Mo/Γ-Al2O3 Catalysts for the Oxidative Dehydrogenation of Propane.: Effect of Mo Loading. Appl. Catal. A 2001, 207, 421–431. [Google Scholar] [CrossRef]
- Duruibe, J.O.; Ogwuegbu, M.; Egwurugwu, J. Heavy Metal Pollution and Human Biotoxic Effects. Int. J. Phys. Sci. 2007, 2, 112–118. [Google Scholar]
- Mamedov, E.; Corberán, V.C. Oxidative Dehydrogenation of Lower Alkanes on Vanadium Oxide-Based Catalysts. The Present State of the Art and Outlooks. Appl. Catal. A 1995, 127, 1–40. [Google Scholar] [CrossRef]
- Mestl, G.; Maksimova, N.I.; Keller, N.; Roddatis, V.V.; Schlögl, R. Carbon Nanofilaments in Heterogeneous Catalysis: An Industrial Application for New Carbon Materials? Angew. Chem. Int. Ed. 2001, 40, 2066–2068. [Google Scholar]
- Keller, N.; Maksimova, N.I.; Roddatis, V.V.; Schur, M.; Mestl, G.; Butenko, Y.V.; Kuznetsov, V.L.; Schlögl, R. The Catalytic Use of Onion-Like Carbon Materials for Styrene Synthesis by Oxidative Dehydrogenation of Ethylbenzene. Angew. Chem. Int. Ed. 2002, 41, 1885–1888. [Google Scholar] [CrossRef]
- Zhang, J.; Liu, X.; Blume, R.; Zhang, A.; Schlögl, R.; Su, D.S. Surface-Modified Carbon Nanotubes Catalyze Oxidative Dehydrogenation of N-Butane. Science 2008, 322, 73–77. [Google Scholar] [CrossRef] [PubMed]
- Zhang, J.; Su, D.S.; Blume, R.; Schlögl, R.; Wang, R.; Yang, X.; Gajović, D.A. Surface Chemistry and Catalytic Reactivity of a Nanodiamond in the Steam-Free Dehydrogenation of Ethylbenzene. Angew. Chem. Int. Ed. 2010, 49, 8640–8644. [Google Scholar] [CrossRef] [PubMed]
- Liang, C.; Xie, H.; Schwartz, V.; Howe, J.; Dai, S.; Overbury, S.H. Open-Cage Fullerene-Like Graphitic Carbons as Catalysts for Oxidative Dehydrogenation of Isobutane. J. Am. Chem. Soc. 2009, 131, 7735–7741. [Google Scholar] [CrossRef] [PubMed]
- Su, D.S.; Delgado, J.J.; Liu, X.; Wang, D.; Schlögl, R.; Wang, L.; Zhang, Z.; Shan, Z.; Xiao, F.S. Highly Ordered Mesoporous Carbon as Catalyst for Oxidative Dehydrogenation of Ethylbenzene to Styrene. Chem.-Asian J. 2009, 4, 1108–1113. [Google Scholar] [CrossRef] [PubMed]
- Velásquez, J.d.J.D.; Suárez, L.M.C.; Figueiredo, J.L. Oxidative Dehydrogenation of Isobutane over Activated Carbon Catalysts. Appl. Catal. A 2006, 311, 51–57. [Google Scholar] [CrossRef]
- Hu, Z.-P.; Zhao, H.; Chen, C.; Yuan, Z.-Y. Castanea Mollissima Shell-Derived Porous Carbons as Metal-Free Catalysts for Highly Efficient Dehydrogenation of Propane to Propylene. Catal. Today 2018, 316, 214–222. [Google Scholar] [CrossRef]
- Grant, J.T.; Carrero, C.A.; Goeltl, F.; Venegas, J.; Mueller, P.; Burt, S.P.; Specht, S.E.; McDermott, W.P.; Chieregato, A.; Hermans, I. Selective Oxidative Dehydrogenation of Propane to Propene Using Boron Nitride Catalysts. Science 2016, 354, 1570–1573. [Google Scholar] [CrossRef]
- Shafiee, S.; Topal, E. When Will Fossil Fuel Reserves Be Diminished? Energy Policy 2009, 37, 181–189. [Google Scholar] [CrossRef]
- Zhang, G.; Dong, Y.; Feng, M.; Zhang, Y.; Zhao, W.; Cao, H. Co2 Reforming of Ch4 in Coke Oven Gas to Syngas over Coal Char Catalyst. Chem. Eng. J. 2010, 156, 519–523. [Google Scholar] [CrossRef]
- Maldonado-Hódar, F.J.; Madeira, L.M.; Portela, M.F. The Use of Coals as Catalysts for the Oxidative Dehydrogenation of N-Butane. Appl. Catal. A 1999, 178, 49–60. [Google Scholar] [CrossRef]
- Sun, X.; Ding, Y.; Zhang, B.; Huang, R.; Chen, D.; Su, D.S. Insight into the Enhanced Selectivity of Phosphate-Modified Annealed Nanodiamond for Oxidative Dehydrogenation Reactions. ACS Catal. 2015, 5, 2436–2444. [Google Scholar] [CrossRef]
- Hu, Z.-P.; Chen, C.; Ren, J.-T.; Yuan, Z.-Y. Direct Dehydrogenation of Propane to Propylene on Surface-Oxidized Multiwall Carbon Nanotubes. Appl. Catal. A 2018, 559, 85–93. [Google Scholar] [CrossRef]
- Grabowski, R.; Grzybowska, B.; Samson, K.; Słoczyński, J.; Stoch, J.; Wcisło, K. Effect of Alkaline Promoters on Catalytic Activity of V2o5/Tio2 and Moo3/Tio2 Catalysts in Oxidative Dehydrogenation of Propane and in Isopropanol Decomposition. Appl. Catal. A 1995, 125, 129–144. [Google Scholar] [CrossRef]
- Grant, J.T.; Venegas, J.M.; McDermott, W.P.; Hermans, I. Aerobic Oxidations of Light Alkanes over Solid Metal Oxide Catalysts. Chem. Rev. 2018, 118, 2769–2815. [Google Scholar] [CrossRef]
- Glushkov, D.O.; Strizhak, P.A.; Vysokomornaya, O.V. Numerical Research of Heat and Mass Transfer During Low-Temperature Ignition of a Coal Particle. Therm. Sci. 2015, 19, 285–294. [Google Scholar] [CrossRef]
- Chen, K.; Khodakov, A.; Yang, J.; Bell, A.T.; Iglesia, E. Isotopic Tracer and Kinetic Studies of Oxidative Dehydrogenation Pathways on Vanadium Oxide Catalysts. J. Phys. Chem. B 2001, 186, 325–333. [Google Scholar] [CrossRef]
- Qi, W.; Yan, P.; Su, D.S. Oxidative Dehydrogenation on Nanocarbon: Insights into the Reaction Mechanism and Kinetics Via in Situ Experimental Methods. Acc. Chem. Res. 2018, 51, 640–648. [Google Scholar] [CrossRef]
- Zhou, L.; Chen, J.; Ji, C.; Zhou, L.; O’Brien, P. A Facile Solid Phase Reaction to Prepare Tio2 Mesocrystals with Exposed {001} Facets and High Photocatalytic Activity. CrystEngComm 2013, 15, 5012–5015. [Google Scholar] [CrossRef]
- Chen, K.; Bell, A.T.; Iglesia, E. Kinetics and Mechanism of Oxidative Dehydrogenation of Propane on Vanadium, Molybdenum, and Tungsten Oxides. J. Phys. Chem. B 2000, 104, 1292–1299. [Google Scholar] [CrossRef]
- Petrakis, L.; Grandy, D.W. Electron Spin Resonance Spectrometric Study of Free Radicals in Coals. Anal. Chem. 1978, 50, 303–308. [Google Scholar] [CrossRef]
- Liu, J.; Jiang, X.; Shen, J.; Zhang, H. Influences of Particle Size, Ultraviolet Irradiation and Pyrolysis Temperature on Stable Free Radicals in Coal. Powder Technol. 2015, 272, 64–74. [Google Scholar] [CrossRef]
- Yangdong, O.; Liwen, G. Research on the Influence of Oxygen-Containing Functional Group and Gas Emission by Coal Seams. Energy Procedia 2012, 17, 1901–1906. [Google Scholar] [CrossRef]
- Liu, J.; Jiang, X.; Shen, J.; Zhang, H. Chemical Properties of Superfine Pulverized Coal Particles. Part 1. Electron Paramagnetic Resonance Analysis of Free Radical Characteristics. Adv. Powder Technol. 2014, 25, 916–925. [Google Scholar] [CrossRef]
- Qi, W.; Liu, W.; Zhang, B.; Gu, X.; Guo, X.; Su, D. Oxidative Dehydrogenation on Nanocarbon: Identification and Quantification of Active Sites by Chemical Titration. Angew. Chem. Int. Ed. 2013, 52, 14224–14228. [Google Scholar] [CrossRef]
- Rozanska, X.; Fortrie, R.; Sauer, J. Oxidative Dehydrogenation of Propane by Monomeric Vanadium Oxide Sites on Silica Support. J. Phys. Chem. C 2007, 111, 6041–6050. [Google Scholar] [CrossRef]
- Mao, S.; Li, B.; Su, D. The First Principles Studies on the Reaction Pathway of the Oxidative Dehydrogenation of Ethane on the Undoped and Doped Carbon Catalyst. J. Mater. Chem. A 2014, 2, 5287–5294. [Google Scholar] [CrossRef]
- Govindasamy, A.; Muthukumar, K.; Yu, J.; Xu, Y.; Guliants, V.V. Adsorption of Propane, Isopropyl, and Hydrogen on Cluster Models of the M1 Phase of Mo−V−Te−Nb−O Mixed Metal Oxide Catalyst. J. Phys. Chem. C 2010, 114, 4544–4549. [Google Scholar] [CrossRef]
- Guo, X.L.; Qi, W.; Liu, W.; Yan, P.Q.; Li, F.; Liang, C.H.; Su, D.S. Oxidative Dehydrogenation on Nanocarbon: Revealing the Catalytic Mechanism Using Model Catalysts. ACS Catal. 2017, 7, 1424–1427. [Google Scholar] [CrossRef]
- Liu, L.; Deng, Q.-F.; Agula, B.; Zhao, X.; Ren, T.-Z.; Yuan, Z.-Y. Ordered Mesoporous Carbon Catalyst for Dehydrogenation of Propane to Propylene. Chem. Commun. 2011, 47, 8334–8336. [Google Scholar] [CrossRef]
- Liu, L.; Deng, Q.-F.; Agula, B.; Ren, T.-Z.; Liu, Y.-P.; Zhaorigetu, B.; Yuan, Z.-Y. Synthesis of Ordered Mesoporous Carbon Materials and Their Catalytic Performance in Dehydrogenation of Propane to Propylene. Catal. Today 2012, 186, 35–41. [Google Scholar] [CrossRef]








| Sample | Propane Conversion (%) | Propene Selectivity (%) | Propene Yield (%) | Productivity (gC3H6 gcat−1 h−1) |
|---|---|---|---|---|
| L-coal a | 3.1 | 94.3 | 2.9 | 2.17 |
| L-coal b | 9.4 | 81.0 | 7.6 | 2.84 |
| L-coal c | 9.3 | 90.0 | 8.4 | 1.89 |
| L-coal d | 8.6 | 87.6 | 7.5 | 0.56 |
| BN d | 10.6 | 76.3 | 8.1 | 0.61 |
| Active carbon d | 13.2 | 84.7 | 11.2 | 0.84 |
| Black carbon d | 13.3 | 90.0 | 12.0 | 0.90 |
| Graphite d | 0.7 | 97.0 | 0.7 | 0.053 |
| No catalyst d | 0.1 | 8.2 | 0.1 | 0.0075 |
Disclaimer/Publisher’s Note: The statements, opinions and data contained in all publications are solely those of the individual author(s) and contributor(s) and not of MDPI and/or the editor(s). MDPI and/or the editor(s) disclaim responsibility for any injury to people or property resulting from any ideas, methods, instructions or products referred to in the content. |
© 2023 by the authors. Licensee MDPI, Basel, Switzerland. This article is an open access article distributed under the terms and conditions of the Creative Commons Attribution (CC BY) license (https://creativecommons.org/licenses/by/4.0/).
Share and Cite
Liu, Q.; Zhang, Y.; Wu, Y.; Song, M.; Huang, C. Coal as an Effective Catalyst for Selective Oxidative Dehydrogenation of Propane to Propene. Catalysts 2023, 13, 628. https://doi.org/10.3390/catal13030628
Liu Q, Zhang Y, Wu Y, Song M, Huang C. Coal as an Effective Catalyst for Selective Oxidative Dehydrogenation of Propane to Propene. Catalysts. 2023; 13(3):628. https://doi.org/10.3390/catal13030628
Chicago/Turabian StyleLiu, Qiuwen, Yuhua Zhang, Yawei Wu, Mingxia Song, and Caijin Huang. 2023. "Coal as an Effective Catalyst for Selective Oxidative Dehydrogenation of Propane to Propene" Catalysts 13, no. 3: 628. https://doi.org/10.3390/catal13030628
APA StyleLiu, Q., Zhang, Y., Wu, Y., Song, M., & Huang, C. (2023). Coal as an Effective Catalyst for Selective Oxidative Dehydrogenation of Propane to Propene. Catalysts, 13(3), 628. https://doi.org/10.3390/catal13030628
