Abstract
Kinetic resolution is one of the methods which allows obtaining enantiomerically pure compounds. In the study presented herein, enantioselective biotransformations of (R,S)-1-phenylethanol were performed with the use of various catalytic systems containing ionic liquids and n-heptane or toluene as a reaction medium, vinyl acetate or isopropenyl acetate as an acetylating agent, and lipases from Burkholderia cepacia or Candida rugosa. The conducted studies proved that the use of Burkholderia cepacia lipase, vinyl acetate, and n-heptane with [EMIM][BF4] allows obtaining enantiomerically pure 1-phenylethyl acetate, with the enantiomeric excess of products eep = 98.9%, conversion c = 40.1%, and high value of enantioselectivity E > 200. Additionally, the use of ionic liquids allowed us to reuse enzyme in 5 reaction cycles, ensuring the high operational stability of the protein.
1. Introduction
The organic reaction is the most important way to develop new drugs and precursors. At the same time, with the significant development of the pharmaceutical market, the need for new drugs is ever-growing. Therefore, chemical catalyst synthesis and analysis reactions play a crucial role in setting scientific trends. However, this type of reaction has some limitations [1]. The cost of applying chemical catalysts is high and often exceeds reaction efficiency benefits. The process often requires extreme conditions of reaction, especially temperature and pressure. Moreover, the low specificity of catalysts has been observed [1,2]. The reaction using enzymes as catalysts, commonly known as biocatalysis, is the alternative solution to make synthesis more efficient, cheap, and environmentally friendly [3].
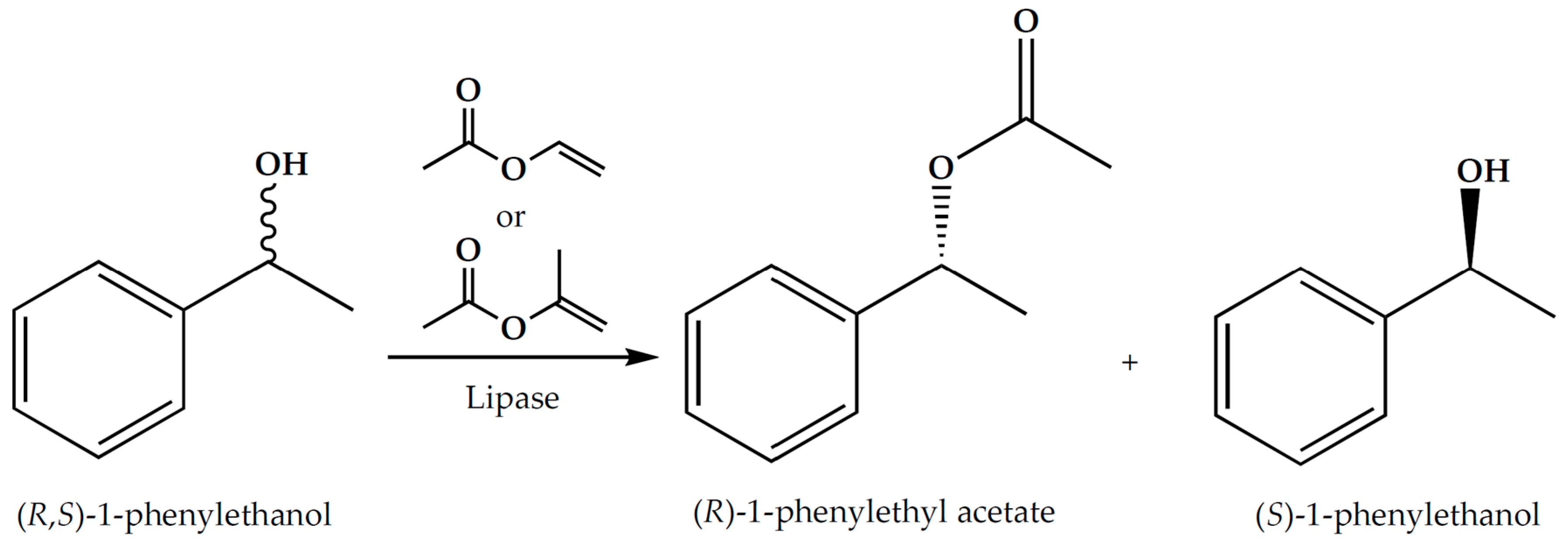
Lipases (E.C. 3.1.1.3) belong to ones of the most widely applied biocatalysts. They are characterized by high activity, stability, and stereoselectivity in catalyzing broad spectra of reaction without applying cofactors [1,4,5]. The advantages of the reactions catalyzed by these enzymes are occurring in aqueous and non-aqueous mediums, the high solubility of hydrophobic substrates, the possibility to reuse the enzyme, and the high specificity of the reaction [1,6]. Esterification and transesterification are the most common organic reactions catalyzed by lipases [7]. Therefore, they are used in obtaining expected products with high efficiency. Enantioselectivity is the feature of lipases that allows obtaining chirally pure compounds, especially drugs and their building blocks [8,9,10,11,12]. Due to chiral centre (or centres) in their structure, chiral drugs show various pharmacological activities depending on each enantiomer. So far, there have been many chiral drugs in the form of enantiomers characterized by better therapeutic activity than the other enantiomer included in the racemic mixture of this drug [13]. Lipases were applied in many reactions to obtain pure compounds or key intermediates [14]. A significant way to obtain an optically pure drug or intermediate is the kinetic resolution of a racemic mixture of a chemical compound. This reaction is based on transferring one enantiomer from the reaction medium faster than the other one [8]. The kinetic resolution of non-steroidal anti-inflammatory drugs (NSAIDs) as (R,S)-ibuprofen (towards S-enantiomer) catalyzed by a lipase from Candida antarctica (CAL-B) and lipase from Candida rugosa (CRL) and (R,S)-flurbiprofen (towards R-enantiomer) is widely described in the literature [3,9,13,15]. CRL has also been used in the synthesis of other NSAID ((S)-naproxen), cardiological β-blocker ((S)-atenolol) [16,17], and critical intermediates of ezetimibe, a drug used in hypercholesterolemia [14]. On the other hand, CAL-B catalyzed the reaction of obtaining (R)-ketorolac (NSAID) antibiotics, quinolone derivatives, and (-)-chloramphenicol and (as Novozym 435) pimecrolimus, the compound used in the therapy of dermatitis [14]. In synthesizing rasagiline mesylate from racemic indanol, an essential drug in treating Parkinsonian syndrome, the reaction was catalyzed by a lipase from Thermomyces languinosis (TLL). Lipases from Pseudomonas sp. also undoubtedly have significance in chiral synthesis. Pseudomonas stutzeri lipase (TL) has been applied in achieving benzoin derivatives as the chiral building block. Moreover, Pseudomonas cepacia lipase (PCL), commonly named lipase from Burkholderia cepacia (BCL), has been tested in receiving numerous chiral intermediates such as tetrahydrofuran intermediates [14], mandelic acid [18,19], and myo-inositol [20,21]. However, all the compounds mentioned above are obtained in reactions catalyzed by a narrow spectrum of enzymes. The kinetic resolution of the one of the most commonly studied (R,S)-1-phenylethanol (RS-1-PHE), important secondary alcohol with a chiral center (Figure 1), is catalyzed by a wide range of lipases toward obtaining the chirally pure building block (R)-1-phenylethanol (R-1-PHE). In pharmacy, R-1-PHE was applied in ophthalmic preservatives and cholesterol intestinal adsorption [22,23,24]. This enantiomer was also used in the cosmetic industry as a mild fragrance [22,25]. It is worth mentioning that the enantiomers of (R,S)-1-phenylethanol showed various odors—(R)-1-phenylethanol has a floral, earthy-green, and honeysuckle aroma, whereas the (S)-1-phenylethanol is characterized by a mild hyacinth and gardenia smell with the addition of strawberries [26]. On the other hand, 1-phenylethyl acetate odor was described as sweet and fruity, tropical, mango, woody, musty, and honey-like with floral powdery nuances [27,28]. Both enantiomers of (R,S)-1-phenylethanol also exist in volatile plants.
Figure 1.
The structures of (R,S)-1-phenylethanol (a), and enantiomers: (R)-1-phenylethanol (b), and (S)-1-phenylethanol (c).
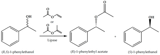
As mentioned above, (R,S)-1-phenylethanol was kinetically separated in the reaction catalyzed by a wide spectrum of lipases [29]. The mechanism of this process is based on the acylation of (R,S)-1-phenylethanol as the acyl acceptor with ester as the acyl donor in the presence of an appropriate solvent and lipase as the catalyst [30]. The result of the reaction is (R)-1-phenylethyl acetate [31,32]. The most used acyl donor is vinyl acetate, due to the high enantiomeric excess of product obtained during the reaction [31,32,33]. The enantiomeric excess of product was close to 100%. However, alternative donors, such as isopropenyl acetate, have also been investigated (Figure 2) [30,34]. To improve the efficiency of the reaction, the lipase was commonly applied in its immobilized form using various physicochemical supports [22,31].
Figure 2.
The kinetic resolution of (R,S)-1-phenylethanol using various acyl donors: vinyl acetate or isopropenyl acetate.
Ionic liquids (ILs) are organic salts in which the ions are poorly coordinated, which makes them liquid below 100 °C or at room temperature [35]. They are composed of a large organic cation with a low degree of symmetry and a small anion, which may be organic or inorganic in origin [36]. Considering the chemical structure of the cation on which the positive charge is located, the following ionic liquids (ILs) are distinguished: Ammonium [R4N] +, Phosphonium [R4P] + (b), Sulfonium [R3S] + (c), Oxonium [R2O] + (d) (Figure 3) [37].
Figure 3.
Ionic liquids: ammonium (a), phosphonium (b), sulfonium (c), and oxonium (d).
Ionic liquids are unusual chemical compounds that are used in many fields of modern science. Many ionic liquids have been developed to solve specific synthetic problems and are therefore also referred to as so-called “design solvents”. Their unique properties make them useful in many technological processes [35]. Ionic liquids are also considered as “green solvents” that exhibit several unique characteristics such as high ionic conductivity, high solvation power, thermal stability, low volatility, and recyclability. Therefore, ionic liquids have potential pharmaceutical applications for drug design and formulation development. ILs are widely used in the pharmaceutical industry, mainly as catalysts and reaction media to replace volatile organic solvents [38]. Conventional organic solvents pose a threat to the environment due to the volatility, highly flammability, toxicity, and carcinogenic properties they exhibit. Ionic liquids are promising green solvent alternatives to the volatile organic solvents due to their ease of reuse, non-volatility, thermal stability and ability to dissolve a variety of organic and organometallic compounds [36,39]. The use of ionic liquids as a reaction medium has many advantages. These “green” solvents are environmentally friendly and their transformations are often faster [40]. Additionally, ionic liquids can be recovered from the bioreactor and reused in subsequent catalytic cycles, which reduces the overall cost of the process. The main advantage of the use of ionic liquids, especially [EMIM][BF4], is that they increase the catalytic properties of lipase from Burkholderia cepacia. Additionally, due to the fact that the direct addition of ionic liquids to the reaction system containing organic solvent such as: n-heptane or toluene creates a two-phase catalytic system in which one phase contains lipase, whereas the second phase contains substrates and products, it provides the possibility to reuse biocatalyst in other catalytic reactions by simple separation of lipase from the catalytic system. The conducted studies proved that the use of Burkholderia cepacia lipase, vinyl acetate, and n-heptane with [EMIM][BF4] as a two-phase reaction medium allows obtaining enantiomerically pure 1-phenylethyl acetate. Additionally, the composition of the two-phase reaction system allowed reusing the enzyme in five reaction cycles, ensuring the high operational stability of the protein.
2. Results and Discussion
2.1. Enantioselective Biotransformation of Racemic 1-Phenylethanol
Burkholderia cepacia and Candida rugosa lipases, which are commercially available, were used to study the enantioselective biotransformation of (R,S)-1-phenylethanol in a variety of two-phase reaction conditions. Ionic liquids are characterized by various advantages while being utilized in the kinetic resolution of racemic compounds, as abovementioned; therefore, the research that was undertaken concentrated on exploring different reaction systems. The types of ionic liquid, acetylating agent, lipase, and solvent were tested so the obtained catalytic systems varied from one another. Finally, it was composed of 32 reaction systems with addition of ionic liquids and 8 reaction systems without IL, as is listed in Table 1. However, only some of the evaluated reaction systems demonstrated adequate kinetic resolution performance criteria (Table 2). The catalytic system containing lipase from Burkholderia cepacia, vinyl acetate as acetylating agent as well as n-heptane and [EMIM][BF4] as reaction medium allowed obtaining the greatest outcomes among all examined catalytic systems, nevertheless. The performed studies showed that only selected ionic liquids enhanced the catalytic properties of enzymes.
Table 1.
List of catalytic systems tested in kinetic resolution of racemic 1-phenylethanol.
Table 2.
Enzymatic parameters including enantiomeric excesses of products (eep) and substrates (ees), conversion (c), and enantioselectivity (E) of different reaction systems screened for the enantioselective transesterification of (R,S)-phenylethanol after 168 h of incubation.
After 168 h of incubation, the (R)-1-phenylethyl acetate was obtained with the highest value of enantiomeric excesses of the product being eep = 98.0%, whereas the enantioselectivity was E = 205.0. The application of lipase from Burkholderia cepacia resulted in obtaining acceptable results in specific reaction systems, whereas the use of Candida rugosa OF lipase did not provide sufficient kinetic resolution of racemic compounds in all tested catalytic systems.
2.2. Effect of Reaction Time
It is significant to test the duration of reaction time, since it is one of the most crucial aspects of the kinetic resolution of racemic compounds. Other investigations have shown that the enantioselectivity and enantiomeric excess of both products and substrates rapidly decline when the reaction medium is incubated for an excessively long time. During prolonged reaction, the reaction can no longer be regarded as enantioselective, as a result of the conversion having the potential to be higher than 50%. Commercially available lipases from Burkholderia cepacia (10 mg), vinyl acetate (28.25 µL; 0.3 mM) as an acetylating agent, (R,S)-1-phenylethanol (10 µL; 0.08 mM), [EMIM][BF4] (200 µL), and n-heptane (400 µL) were utilized as the reaction media in the experiment. The biotransformations were carried out for 168 h at 37 °C. According to Figure 4 and Figure 5, the reaction duration increased along with the conversion, enantiomeric excess of the substrate, and enantiomeric ratio. Over the same time span, the value of enantiomeric excess of products was constant. The value of conversion was the highest after 168 h of reaction, and it varied depending on the type of catalytic system (Table 2).
Figure 4.
Effect of reaction time on the enzymatic parameters of the performed kinetic resolution of (R,S)-1-phenylethanol in the two-phase catalytic system consisting of [EMIM][BF4] and n-heptane as well as lipase from Burkholderia cepacia including values of both enantiomeric excesses of substrate (ees) and product (eep) as well as conversion (c).
Figure 5.
Effect of reaction time on the enantioselectivity (E) of the performed kinetic resolution of (R,S)-phenylethanol in the two-phase catalytic system consisting of [EMIM][BF4] and n-heptane as well as lipase from Burkholderia cepacia.
2.3. Effect of Biocatalysts
The enzyme-catalyzed biotransformation of racemic phenylethanol was carried out using lipases from Candida rugosa OF and Burkholderia cepacia in native forms, and their catalytic and enantioselective capabilities were examined. The use of lipase from Candida rugosa OF in spite of previously published studies with other racemic compounds were not suitable for kinetic resolution of (R,S)-phenylethanol and did not allow obtaining satisfactory results of enantioselectivity among all evaluated catalytic systems, as indicated in Table 2. Nevertheless, the use of Burkholderia cepacia lipase allowed obtaining the product of (R)-phenylethyl acetate with a high value of enantiomeric excess and conversion. Nevertheless, the performed studies proved that the utilized biocatalysts are sensitive to reaction conditions, and only some from the tested reaction systems were appropriate to the enzyme, as indicated in Table 2.
2.4. Effect of Reaction Medium
Some of the catalytic systems presented herein were effective in kinetic resolution of (R,S)-phenylethanol. As was observed, Candida rugosa lipase exhibited low stereoselectivity in the assayed reaction media and it was not suitable for kinetic resolution of racemic 1-phenylethanol. Nevertheless, the performed studies proved that Burkholderia cepacia lipase is the proper biocatalyst to perform kinetic resolution. Nevertheless, among all testes catalytic systems, only a few containing Burkholderia cepacia lipase were effective. Because of this, one of the most crucial aspects of improving reaction conditions to increase enantioselectivity is selecting the best reaction medium. Taking into account the addition of ionic liquids, it should be noted that, according to the obtained results, only [EMIM][BF4], [HMIM][BF4], and [OMIM][Cl] were appropriate for the enantioselective acetylation of racemic phenylethanol. However, the addition of [DMIM][MeSO4] inhibited the biocatalysts and stopped the reaction. During the experiments the influence of organic solvent was also tested. The catalytic systems contained n-heptane or toluene. As it turned out, only one tested catalytic system containing ionic liquid ([EMIM][BF4]) and toluene was appropriate for kinetic resolution of racemic phenylethanol. Although the enantioselective value for this catalytic system was higher than 20 (E = 25.94, sample No.: 23), it was still significantly lower than the E-values obtained for analogues catalytic systems containing n-heptane instead of toluene (Figure 6 and Figure 7). Therefore, it should be noted that the catalytic systems containing n-heptane as the reaction medium, vinyl acetate as the acetylating donor, and Burkholderia cepacia lipase were the most efficient among all tested mixtures. The obtained results were also in line with other studies published elsewhere, in which n-heptane was selected as the optimal reaction medium. Nevertheless, it should be noted that despite organic solvents being suitable for enzymatic biotransformation, they are toxic to the environment; thus, it was decided to compose a two-phase catalytic system in which the amount of n-heptane would be limited, but still create the optimal surrounding for lipase, whereas the substrates and products would be placed in ionic liquid, which could be easily separated from the reaction mixture. To limit the amount of organic solvent, it was decided to combine ionic liquid and organic solvent in a volumetric ratio equal to 2:1. Finally, the addition of [EMIM][BF4] to the mixture exhibited the best kinetic resolution parameters, yielding the enantioselectivity E = 379.0, enantiomeric excess of products eep = 98.9%, and conversion c = 40.8% after 7 days of reaction.
Figure 6.
Enzymatic parameters of the performed kinetic resolution including enantiomeric excesses of products (eep) and conversion (c) of different reaction media screened for the enantioselective acetylation of (R,S)-phenylethanol after 168 h of incubation.
Figure 7.
Enantioselectivity values of the assayed enzymatic transesterifications of (R,S)-1-phenylethanol after 168 h of incubation.
2.5. Effect of Lipase Reusability in Enzyme-Catalyzed Biotransformation of Racemic Compound
One of the most important advantages of using ionic liquids in two-phase enzyme-catalyzed biotransformations is that the enzyme can be reused in different catalytic systems simply by replacing the ionic liquid with specific substrates and reaction products. During the study, the influence of the recyclability of native lipases on the kinetic resolution of racemic atenolol was investigated. Burholderia cepacia lipase was again used for this purpose according to the indicated substrate-exchange method.
After the catalytic process, the remaining ionic liquid containing enantiomers of 1-phenylethanol and its derivatives was transferred to a separate tube. The same remaining lipase suspended in n-heptane was then added to a new batch of ionic liquid containing racemic 1-phenylethanol as the reaction substrate. The correct acetylating agent was used to initiate the enantioselective reaction (vinyl acetate). In the presented experiment, five reaction cycles were performed, reaching 840 h of catalytic and operational activity of the enzymes used. Enantiomeric excesses for all evaluated reaction mixtures after the fifth reaction cycle exceeded 95% of the starting value (Figure 8).
Figure 8.
Comparison of the values of enantiomeric excesses of products in five reaction cycles with the reused lipases from Burkholderia cepacia in enantioselective biotranformation of (R,S)-1-phenylethanol.
After five reaction cycles, there was no discernible difference in the catalytic activity of the enzyme in the next catalytic cycles found. Thus, the results obtained show that not only are there direct benefits associated with using ionic liquids to reach catalyst parameters beyond acceptable levels, but also the separation of substrates and products from the catalytic system.
3. Materials and Methods
3.1. Chemicals
Amano PS lipase from Burkholderia cepacia (APS-BCL) (≥30,000 U/g) was obtained from Sigma Aldrich. Lipases from Candida rugosa OF were a gift from Meito Sangyo Co., Ltd. Heptane, isopropanol, toluene trifluoroacetic acid, and ionic liquids such as 1-hexyl-3-methylimidazolium tetrafluoroborate [HMIM][BF4], 1-ethyl-3-methylimidazolium tetrafluoroborate [EMIM][BF4], 1,3-dimethylimidazolium methyl sulfate [DMIM][MeSO4], and 1-methyl-3-octylimidazolium chloride [OMIM][Cl] were purchased from Sigma Aldrich. The substrates of kinetic resolution ((R,S)-1-phenylethanol, isopropenyl acetate, vinyl acetate), as well as reference standards of (R,S)-1-phenylethyl acetate, (R)-1-phenylethanol, and (R)-1-phenylethyl acetate were purchased from Sigma Aldrich.
3.2. Instrumentation
The HPLC analysis were performed with the use of the Shimadzu HPLC-system (Kyoto, Japan), which was equipped with an autosampler (model: SIL-20AC HT); solvent delivery pump combined with gradient systems (model: LC-20 CE); a degasser (model: DGU-20A5); a column oven (model: CTO-10ASVP); a UV -VIS detector (model: SPD-20A). The chiral resolutions were conducted by using Lux Cellulose-3 (LC-3) (4.6 mm × 250 mm × 5 μm) column with cellulose tris(4-methylbenzoate) which were purchased from Phenomenex Co (Torrance, CA, USA). All incubations were performed at a controlled temperature and number of rotations (250 RPM) in the incubating apparatus, model: the Inkubator1000 and Unimax 1010, which were purchased from Heidolph (Schwabach, Germany). The HPLC samples were concentrated using the Refrigerated CentriVap Concentrator, which was purchased from Labconco (Kansas City, MO, USA).
3.3. Chromatographic Conditions
The use of a chiral column: Lux Cellulose-3 thermostated at 15 °C allowed us to achieve baseline chiral separation of the enantiomers of both (R) and (S)-1-phenylethanol and their esters. The optimal mobile phase consisted of n-heptane/2 propanol/trifluoroacetic acid (98.7/1.3/0.15, v/v/v). In order to obtain satisfactory resolution, the flow rate of the mobile phase was set at 1 mL/min. The UV detection wavelength was set at 254 nm. In order to optimize chromatographic conditions, reference samples of (R,S)-1-phenylethanol, (R,S)-1-phenylethyl acetate, (R)-1-phenylethanol, and (R)-1-phenylethyl acetate were used.
3.4. Kinetic Resolution of (R,S)−1-Phenylethanol
Enantioselective biotransformation of (R,S)-1-phenylethanol using vinyl acetate or isopropenyl acetate as the acetylating agent resulted in the production of phenylethyl acetate (Figure 2). All tested reaction systems were in triplicate and consisted of commercially available lipase from Candida rugosa OF or lipase from Burkholderia cepacia, vinyl acetate (28.25 μL; 0.3 mM) or isopropenyl acetate (35.98 μL; 0.3 mM) as the acetyl donor, racemic 1-phenylethanol 10 μL, 0.08 mM) as well as ionic liquid (200 μL) and toluene or heptane (400 µL) as the reaction media. The reaction was started by the addition of 10 mg of lipase in native form. The reaction mixture was shaken at 250 rpm at t = 37 °C. The process of enantioselective acetylation was monitored using chiral stationary phases and a HPLC system. The samples were withdrawn at previously established time points (24, 48, 72, 96, 120, 144, 168 h) and then evaporated and re-dissolved in pure n-heptane, filtered, and injected into the HPLC system.
The percentage enantiomeric excesses of the substrate (ees) and product (eep), conversion (c) as well as enantioselectivity (E) were calculated [40,41] as shown below:
where R represents the values of peak areas for (R)-phenylethanol and its ester and S represents the values of peak areas for (S)-phenylethanol and its ester.
4. Conclusions
The results of the experiment supported the hypothesis that lipase from Burkholderia cepacia is able to catalyze the enantioselective acetylation of racemic 1-phenylethanol with the use of vinyl acetate as acetylating agent. It turned out that using two-phase catalytic systems with toluene or n-heptane and ionic liquid, as well as Burkholderia cepacia lipase and vinyl acetate, allowed for the production of highly enantioselective parameters. According to a previously published paper related to the kinetic resolution of (R,S)-1-phenylethanol, n-heptane was one of the most suitable reaction solvents, whereas the acetylating agent was vinyl acetate or isopropenyl acetate [41,42,43]. Nevertheless, the main aim of the performed study was to verify the possibility to perform kinetic resolution of racemic 1-phenylethanol in a two-phase catalytic system. According to available literature in terms of enantioselective biotransformation of racemic compounds, it was decided to test four ionic liquids, i.e., [HMIM][BF4], [OMIM][Cl], [EMIM][BF4], and [DMIM][MeSO4] [44,45,46,47,48,49]. The used ionic liquids, however, displayed a variety of kinetic characteristics, leading to varying enantioselectivities and enantiomeric excesses of substrate and product.
Although the native Burkholderia cepacia lipase in the system including [EMIM][BF4] and n-hexane as the reaction media and vinyl acetate as the acetylating agent produced the best results among all evaluated catalytic systems (E = 379.0, eep = 98.9%), enantioselective biotransformations were also observed for systems containing [HMIM][BF4] and [OMIM][Cl]. Only the reaction medium containing [DMIM][MeSO4] inhibited the biocatalysts and stopped the biotransformation. Nevertheless, taking into account other studies published elsewhere, the proposed herein catalytic system allowed us to obtain satisfactory results, since the enantiomeric excesses of the product were close to 100%, whereas the enantioselectivity was about 400, which is in line with some other results [50,51,52]. On the other hand, there are also previously published studies related to the kinetic resolution of 1-phenylethanol with the use of ionic liquids; nevertheless, without the composition of the two-phase catalytic system, there is no possibility of ease of separation of lipase from the reaction system or to reuse it in other bioseparations [53,54,55,56,57]. Whereas, the composition of the catalytic system with ionic liquid and organic solvents such as n-heptane or toluene creates a two-phase bioreactor, with separate compartments containing lipase and substrates with products of enantioselective biotransformation. Additionally, it should be noted that, in the presented approach, the usage of potentially toxic organic solvents is significantly limited, which is in parallel with the “green chemistry” methodology.
Author Contributions
Conceptualization, J.C. and A.S.; methodology, J.C., J.D. and A.S.; investigation, J.C., J.D. and A.S.; writing—original draft preparation, J.C., J.D. and A.S.; writing—review and editing, T.S. and M.P.M.; visualization, J.C. and J.D.; supervision, A.S.; funding acquisition, A.S. All authors have read and agreed to the published version of the manuscript.
Funding
The project was partially supported by a research grant from the National Science Centre, 2017/27/N/NZ7/02424.
Data Availability Statement
Not applicable.
Acknowledgments
The authors wish to express their sincere thanks to Meito Sangyo Co. (Japan) for the supply of lipases OF from Candida rugosa.
Conflicts of Interest
The authors declare no conflict of interest. The funders had no role in the design of the study; in the collection, analyses, or interpretation of data; in the writing of the manuscript, or in the decision to publish the results.
References
- Boas, R.V.N.; de Castro, H.F. A review of synthesis of esters with aromatic, emulsifying, and lubricant properties by biotransformation using lipases. Biotechnol. Bioeng. 2022, 119, 725–742. [Google Scholar] [CrossRef] [PubMed]
- Zeng, F.K.; Yang, B.; Wang, Y.H.; Wang, W.F.; Ning, Z.X.; Li, L. Enzymatic Production of Monoacylglycerols with Camellia Oil by the Glycerolysis Reaction. J. Am. Oil Chem. Soc. 2010, 87, 531–537. [Google Scholar] [CrossRef]
- Siodmiak, T.; Haraldsson, G.G.; Duleba, J.; Ziegler-Borowska, M.; Siodmiak, J.; Marszall, M.P. Evaluation of Designed Immobilized Catalytic Systems: Activity Enhancement of Lipase B fromCandida antarctica. Catalysts 2020, 10, 876. [Google Scholar] [CrossRef]
- Kapoor, M.; Gupta, M.N. Lipase promiscuity and its biochemical applications. Process Biochem. 2012, 47, 555–569. [Google Scholar] [CrossRef]
- Jiang, C.Y.; Cheng, C.C.; Hao, M.; Wang, H.B.; Wang, Z.Y.; Shen, C.; Cheong, L.Z. Enhanced catalytic stability of lipase immobilized on oxidized and disulfide-rich eggshell membrane for esters hydrolysis and transesterification. Int. J. Biol. Macromol. 2017, 105, 1328–1336. [Google Scholar] [CrossRef] [PubMed]
- Pencreach, G.; Leullier, M.; Baratti, J.C. Properties of free and immobilized lipase from Pseudomonas cepacia. Biotechnol. Bioeng. 1997, 56, 181–189. [Google Scholar] [CrossRef]
- Xu, L.; Cui, G.L.; Ke, C.X.; Fan, Y.L.; Yan, Y.J. Immobilized Burkholderia cepacia Lipase on pH-Responsive Pullulan Derivatives with Improved Enantioselectivity in Chiral Resolution. Catalysts 2018, 8, 13. [Google Scholar] [CrossRef]
- Chalupka, J.; Sikora, A.; Kozicka, A.; Marszall, M.P. Overview: Enzyme-catalyzed Enantioselective Biotransformation of Chiral Active Compounds Used in Hypertension Treatment. Curr. Org. Chem. 2020, 24, 2782–2791. [Google Scholar] [CrossRef]
- Sikora, A.; Siodmiak, T.; Marszall, M.P. Kinetic Resolution of Profens by Enantioselective Esterification Catalyzed by Candida antarctica and Candida rugosa Lipases. Chirality 2014, 26, 663–669. [Google Scholar] [CrossRef]
- Tarczykowska, A.; Sikora, A.; Marszall, M.P. Lipases—Valuable Biocatalysts in Kinetic Resolution of Racemates. Mini-Rev. Org. Chem. 2018, 15, 374–381. [Google Scholar] [CrossRef]
- Ghanem, A.; Aboul-Enein, H.Y. Application of lipases in kinetic resolution of racemates. Chirality 2005, 17, 1–15. [Google Scholar] [CrossRef] [PubMed]
- Li, K.; Wang, J.H.; He, Y.J.; Cui, G.L.; Abdulrazaq, M.A.; Yan, Y.J. Enhancing enzyme activity and enantioselectivity of Burkholderia cepacia lipase via immobilization on melamine-glutaraldehyde dendrimer modified magnetic nanoparticles. Chem. Eng. J. 2018, 351, 258–268. [Google Scholar] [CrossRef]
- Siodmiak, T.; Mangelings, D.; Vander Heyden, Y.; Ziegler-Borowska, M.; Marszall, M.P. High Enantioselective Novozym 435-Catalyzed Esterification of (R,S)-Flurbiprofen Monitored with a Chiral Stationary Phase. Appl. Biochem. Biotechnol. 2015, 175, 2769–2785. [Google Scholar] [CrossRef] [PubMed]
- Carvalho, A.; Fonseca, T.D.; de Mattos, M.C.; de Oliveira, M.D.F.; de Lemos, T.L.G.; Molinari, F.; Romano, D.; Serra, I. Recent Advances in Lipase-Mediated Preparation of Pharmaceuticals and Their Intermediates. Int. J. Mol. Sci. 2015, 16, 29682–29716. [Google Scholar] [CrossRef] [PubMed]
- Siodmiak, T.; Ziegler-Borowska, M.; Marszall, M.P. Lipase-immobilized magnetic chitosan nanoparticles for kinetic resolution of (R,S)-ibuprofen. J. Mol. Catal. B-Enzym. 2013, 94, 7–14. [Google Scholar] [CrossRef]
- Sikora, A.; Chelminiak-Dudkiewicz, D.; Ziegler-Borowska, M.; Marszall, M.P. Enantioseparation of (RS)-atenolol with the use of lipases immobilized onto new-synthesized magnetic nanoparticles. Tetrahedron Asymmetry 2017, 28, 374–380. [Google Scholar] [CrossRef]
- Sikora, A.; Chalupka, J.; Marszall, M.P. The Use of Ion Liquids as a Trojan Horse Strategy in Enzyme-Catalyzed Biotransformation of (R.,S)-Atenolol. Catalysts 2020, 10, 787. [Google Scholar] [CrossRef]
- Debowska, R.M.; Kaszuba, A.; Michalak, I.; Dzwigalowska, A.; Ciescinska, C.; Jakimiuk, E.; Zielinska, J. Evaluation of the efficacy and tolerability of mandelic acid-containing cosmetic formulations for acne skin care. Prz. Dermatol. 2015, 102, 316–321. [Google Scholar] [CrossRef]
- Dabkowska, K.; Szewczyk, K.W. Influence of temperature on the activity and enantioselectivity of Burkholderia cepacia lipase in the kinetic resolution of mandelic acid enantiomers. Biochem. Eng. J. 2009, 46, 147–153. [Google Scholar] [CrossRef]
- Manoel, E.A.; Ribeiro, M.F.P.; dos Santos, J.C.S.; Coelho, M.A.Z.; Simas, A.B.C.; Fernandez-Lafuente, R.; Freire, D.M.G. Accurel MP 1000 as a support for the immobilization of lipase from Burkholderia cepacia: Application to the kinetic resolution of myo-inositol derivatives. Process Biochem. 2015, 50, 1557–1564. [Google Scholar] [CrossRef]
- Pintaudi, B.; Di Vieste, G.; Bonomo, M. The Effectiveness of Myo-Inositol and D-Chiro Inositol Treatment in Type 2 Diabetes. Int. J. Endocrinol. 2016, 2016, 9132052. [Google Scholar] [CrossRef]
- Suan, C.L.; Sarmidi, M.R. Immobilised lipase-catalysed resolution of (R,S)-1-phenylethanol in recirculated packed bed reactor. J. Mol. Catal. B-Enzym. 2004, 28, 111–119. [Google Scholar] [CrossRef]
- Bozan, A.; Songur, R.; Mehmetoglu, U. The production of enantiomerically pure 1-phenylethanol by enzymatic kinetic resolution method using response surface methodology. Turk. J. Chem. 2020, 44, 1352–1365. [Google Scholar] [CrossRef] [PubMed]
- Stradomska, D.; Heba, M.; Czernek, A.; Kuznik, N.; Gillner, D.; Maresz, K.; Pudlo, W.; Jarzebski, A.; Szymanska, K. Lipase Immobilized on MCFs as Biocatalysts for Kinetic and Dynamic Kinetic Resolution of sec-Alcohols. Catalysts 2021, 11, 518. [Google Scholar] [CrossRef]
- Dou, X.; Meng, F.P.; Duan, W.Y.; Liu, Q.Q.; Li, H.; Du, S.H. Growth inhibition and oxidative stress in two species of marine diatoms exposed to 1-phenylethanol. J. Oceanol. Limnol. 2019, 37, 1342–1352. [Google Scholar] [CrossRef]
- Zhou, Y.; Peng, Q.Y.; Zhang, L.; Cheng, S.H.; Zeng, L.T.; Dong, F.; Yang, Z.Y. Characterization of enzymes specifically producing chiral flavor compounds (R)- and (S)-1-phenylethanol from tea (Camellia sinensis) flowers. Food Chem. 2019, 280, 27–33. [Google Scholar] [CrossRef]
- Gassenmeier, K.; Schwager, H.; Houben, E.; Clery, R. Unequivocal Identification of 1-Phenylethyl Acetate in Clove Buds (syzygium aromaticum (L.) Merr. & L.M. Perry) and Clove Essential Oil. Foods 2017, 6, 46. [Google Scholar] [CrossRef]
- Boratynski, F.; Szczepanska, E.; Grudniewska, A.; Olejniczak, T. Microbial Kinetic Resolution of Aroma Compounds Using Solid-State Fermentation. Catalysts 2018, 8, 28. [Google Scholar] [CrossRef]
- Zhou, Y.; Dong, F.; Kunimasa, A.; Zhang, Y.Q.; Cheng, S.H.; Lu, J.M.; Zhang, L.; Murata, A.; Mayer, F.; Fleischmann, P.; et al. Occurrence of Glycosidically Conjugated 1-Phenylethanol and Its Hydrolase beta-Primeverosidase in Tea (Camellia sinensis) Flowers. J. Agric. Food Chem. 2014, 62, 8042–8050. [Google Scholar] [CrossRef]
- Duleba, J.; Siodmiak, T.; Marszall, M.P. Amano Lipase PS from Burkholderia cepacia—Evaluation of the Effect of Substrates and Reaction Media on the Catalytic Activity. Curr. Org. Chem. 2020, 24, 798–807. [Google Scholar] [CrossRef]
- Li, X.; Huang, S.S.; Xu, L.; Yan, Y.J. Improving activity and enantioselectivity of lipase via immobilization on macroporous resin for resolution of racemic 1-phenylethanol in non-aqueous medium. BMC Biotechnol. 2013, 13, 92. [Google Scholar] [CrossRef] [PubMed]
- Xie, C.J.; Wu, B.; Qin, S.; He, B.F. A lipase with broad solvent stability from Burkholderia cepacia RQ3: Isolation, characteristics and application for chiral resolution of 1-phenylethanol. Bioprocess Biosyst. Eng. 2016, 39, 59–66. [Google Scholar] [CrossRef] [PubMed]
- Fan, Y.X.; Xie, Z.M.; Zhang, H.W.; Qian, J.Q. Kinetic resolution of both 1-phenylethanol enantiomers produced by hydrolysis of 1-phenylethyl acetate with Candida antarctica lipase B in different solvent systems. Kinet. Catal. 2011, 52, 686–690. [Google Scholar] [CrossRef]
- Melais, N.; Aribi-Zouioueche, L.; Riant, O. The effect of the migrating group structure on enantioselectivity in lipase-catalyzed kinetic resolution of 1-phenylethanol. C. R. Chim. 2016, 19, 971–977. [Google Scholar] [CrossRef]
- Uddin, M.; Basak, D.; Hopefl, R.; Minofar, B. Potential Application of Ionic Liquids in Pharmaceutical Dosage Forms for Small Molecule Drug and Vaccine Delivery System. J. Pharm. Pharm. Sci. 2020, 23, 158–176. [Google Scholar] [CrossRef]
- Curreri, A.M.; Mitragotri, S.; Tanner, E.E.L. Recent Advances in Ionic Liquids in Biomedicine. Adv. Sci. 2021, 8, 2004819. [Google Scholar] [CrossRef] [PubMed]
- D’Anna, F.; Noto, R. Di- and Tricationic Organic Salts: An Overview of Their Properties and Applications. Eur. J. Org. Chem. 2014, 2014, 4201–4223. [Google Scholar] [CrossRef]
- Egorova, K.S.; Gordeev, E.G.; Ananikov, V.P. Biological Activity of Ionic Liquids and Their Application in Pharmaceutics and Medicine. Chem. Rev. 2017, 117, 7132–7189. [Google Scholar] [CrossRef]
- Thomas, P.A.; Marvey, B.B. Room Temperature Ionic Liquids as Green Solvent Alternatives in the Metathesis of Oleochemical Feedstocks. Molecules 2016, 21, 184. [Google Scholar] [CrossRef]
- Elgharbawy, A.A.; Riyadi, F.A.; Alam, M.Z.; Moniruzzaman, M. Ionic liquids as a potential solvent for lipase-catalysed reactions: A review. J. Mol. Liq. 2018, 251, 150–166. [Google Scholar] [CrossRef]
- Yan, H.D.; Wang, Z.; Qian, J.Q. Efficient kinetic resolution of (RS)-1-phenylethanol by a mycelium-bound lipase from a wild-type Aspergillus oryzae strain. Biotechnol. Appl. Biochem. 2017, 64, 251–258. [Google Scholar] [CrossRef] [PubMed]
- Grollmisch, A.; Kragl, U.; Grosseheilmann, J. Enzyme Immobilization in Polymerized Ionic Liquids-based Hydrogels for Active and Reusable Biocatalysts. Synopen 2018, 2, 192–199. [Google Scholar] [CrossRef]
- Matsumoto, T.; Ito, M.; Fukuda, H.; Kondo, A. Enantioselective transesterification using lipase-displaying yeast whole-cell biocatalyst. Appl. Microbiol. Biotechnol. 2004, 64, 481–485. [Google Scholar] [CrossRef]
- Montalban, M.G.; Collado-Gonzalez, M.; Lozano-Perez, A.A.; Banos, F.G.D.; Villora, G. Extraction of organic compounds involved in the kinetic resolution of rac-2-pentanol from n-hexane by imidazolium-based ionic liquids: Liquid-liquid equilibrium. J. Mol. Liq. 2018, 252, 445–453. [Google Scholar] [CrossRef]
- Ramos-Martin, J.; Khiari, O.; Alcantara, A.R.; Sanchez-Montero, J.M. Biocatalysis at Extreme Temperatures: Enantioselective Synthesis of both Enantiomers of Mandelic Acid by Transesterification Catalyzed by a Thermophilic Lipase in Ionic Liquids at 120 degrees C. Catalysts 2020, 10, 1055. [Google Scholar] [CrossRef]
- Elgharbawy, A.A.; Muniruzzaman, M.; Salleh, H.M.; Alam, M.D.Z. Ionic Liquids as a Green Solvent for Lipase-Catalyzed Reactions. Ind. Appl. Green Solvents 2019, 1, 21–60. [Google Scholar]
- Park, S.; Doan, T.T.N.; Koo, Y.M.; Oh, K.K.; Lee, S.H. Ionic liquids as cosolvents for the lipase-catalyzed kinetic resolution of ketoprofen. Mol. Catal. 2018, 459, 113–118. [Google Scholar] [CrossRef]
- Jadav, D.; Pandey, D.K.; Patil, T.; Singh, D.K.; Dharaskar, S.; Bandyopadhyay, R.; Tsunoji, N.; Kumar, R.; Bandyopadhyay, M. Ordered silica matrices supported ionic liquids as highly efficient catalysts for fine chemical synthesis. J. Porous Mater. 2022, 29, 2003–2017. [Google Scholar] [CrossRef]
- Wang, Y.; Cheng, H.; He, J.R.; Yao, Q.X.; Li, L.L.; Liang, Z.H.; Li, X. Enzymes-Catalyzed Knoevenagel Condensation Promoted by Ionic Liquid and Deep Eutectic Solvent. Catal. Lett. 2022, 152, 1215–1223. [Google Scholar] [CrossRef]
- Qin, L.N.; Yu, X.W.; Xu, Y. Asymmetric Transesterification Resolution of (R,S)-alpha-Phenylethanol in a Non-aqueous Medium by Microbial Lipase. Chin. J. Catal. 2011, 32, 1639–1644. [Google Scholar] [CrossRef]
- Yan, H.D.; Guo, B.H.; Wang, Z.; Qian, J.Q. Surfactant-modified Aspergillus oryzae lipase as a highly active and enantioselective catalyst for the kinetic resolution of (RS)-1-phenylethanol. 3 Biotech 2019, 9, 265. [Google Scholar] [CrossRef] [PubMed]
- Shivaprasad, P.; Jones, M.D.; Patterson, D.A.; Emanuelsson, E.A.C. Kinetic resolution of 1-phenylethanol in the spinning mesh disc reactor: Investigating the reactor performance using immobilised lipase catalyst. Chem. Eng. Process. Process Intensif. 2018, 132, 56–64. [Google Scholar] [CrossRef]
- Schofer, S.H.; Kaftzik, N.; Wasserscheid, P.; Kragl, U. Enzyme catalysis in ionic liquids: Lipase catalysed kinetic resolution of 1-phenylethanol with improved enantioselectivity. Chem. Commun. 2001, 425–426. [Google Scholar] [CrossRef]
- Shan, H.X.; Lu, Y.; Li, Z.J.; Li, M.; Tao, L.H.; Dang, W.M. Resolution of (R,S)-1-Phenylethanol Catalyzed by Lipase in Novel 1,3-Dibutylimidazolium Ionic Liquid. Acta Chim. Sin. 2010, 68, 1010–1016. [Google Scholar]
- Paljevac, M.; Knez, Z.; Habulin, M. Enzyme-catalyzed Acylation of (R,S)-1-phenylethanol in 1-butyl-3-methylimidazolium Based Ionic Liquids. Acta Chim. Slov. 2009, 56, 399–409. [Google Scholar]
- Lozano, P.; De Diego, T.; Larnicol, M.; Vaultier, M.; Iborra, J.L. Chemoenzymatic dynamic kinetic resolution of rac-1-phenylethanol in ionic liquids and ionic liquids/supercritical carbon dioxide systems. Biotechnol. Lett. 2006, 28, 1559–1565. [Google Scholar] [CrossRef] [PubMed]
- Habulin, M.; Knez, Z. Optimization of (R,S)-1-phenylethanol kinetic resolution over Candida antarctica lipase B in ionic liquids. J. Mol. Catal. B-Enzym. 2009, 58, 24–28. [Google Scholar] [CrossRef]
Disclaimer/Publisher’s Note: The statements, opinions and data contained in all publications are solely those of the individual author(s) and contributor(s) and not of MDPI and/or the editor(s). MDPI and/or the editor(s) disclaim responsibility for any injury to people or property resulting from any ideas, methods, instructions or products referred to in the content. |
© 2023 by the authors. Licensee MDPI, Basel, Switzerland. This article is an open access article distributed under the terms and conditions of the Creative Commons Attribution (CC BY) license (https://creativecommons.org/licenses/by/4.0/).







