Nano-ZrO2-Catalyzed Biginelli Reaction and the Synthesis of Bioactive Dihydropyrimidinones That Targets PPAR-γ in Human Breast Cancer Cells
Abstract
1. Introduction
2. Results and Discussions
2.1. Chemical Synthesis of Dihydropyrimidinones
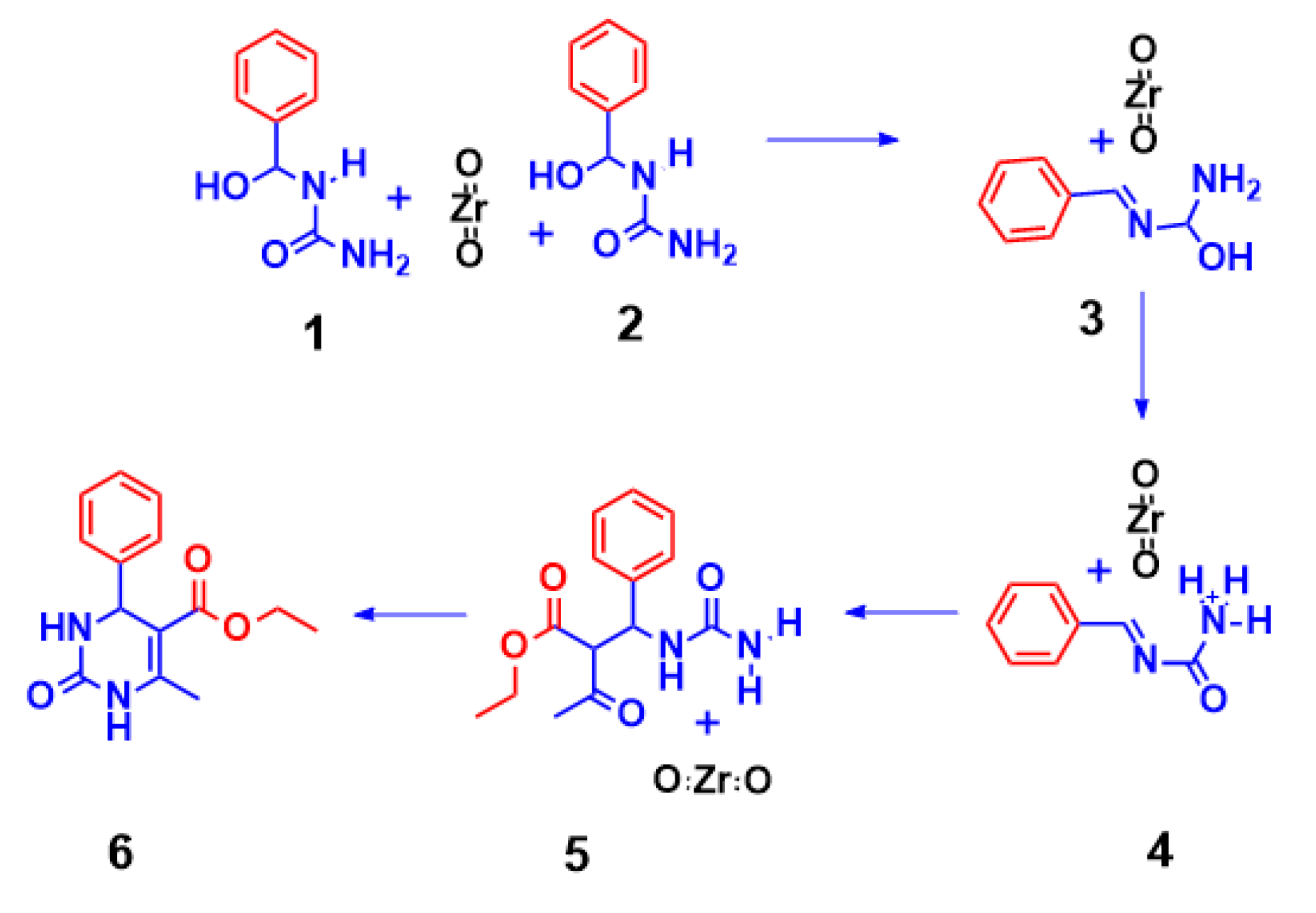
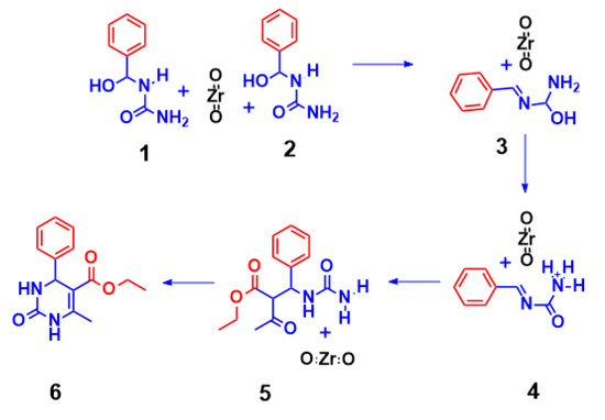
2.2. Mechanistic Investigation of Biginelli Reaction
2.3. DHPs Inhibits the Proliferation of MCF-7 Cells
2.4. Bioinformatic Analysis of DHPs That Targets PPAR-γ in MCF-7 Cells
3. Materials and Methods
3.1. Chemistry
3.2. General Procedure for the Synthesis of the Substituted Dihydropyrimidinones (DHPs)
3.3. Ethyl-4-(4-(6-fluoro-5-methylpyridin-3-yl)phenyl)-6-methyl-2-oxo-1,2,3,4-tetrahydropyrim- idine-5-carboxylate (4a)
3.4. Ethyl-4-(3′-(cyclopentylcarbamoyl)-[1,1′-biphenyl]-4-yl)-6-methyl-2-oxo-1,2,3,4-tetrahydro pyrimidine-5-carboxylate (4b)
3.5. Ethyl-4-(3′-formyl-[1,1′-biphenyl]-4-yl)-6-methyl-2-oxo-1,2,3,4-tetrahydropyrimidine-5-carboxylate (4c)
3.6. Ethyl-4-(4′-fluoro-[1,1′-biphenyl]-4-yl)-6-methyl-2-oxo-1,2,3,4-tetrahydropyrimidine-5-carboxylate (4d)
3.7. Ethyl-4-(3′-methoxy-[1,1′-biphenyl]-4-yl)-6-methyl-2-oxo1,2,3,4tetrahydropyrimidine-5-carboxylate (4e)
3.8. Ethyl-4-(3-(6-fluoro-5-methylpyridin-3-yl)phenyl)-6-methyl-2-oxo-1,2,3,4-tetrahydropyrimidine-carboxylate (4f)
3.9. Ethyl6-methyl-2-oxo-4-(4-(pyridin-3-yl)phenyl)-1,2,3,4-tetrahydropyrimidine-5-carboxylate (4g)
3.10. DFT Calculations
3.11. Cell Viability Assay
3.12. Bioinformatics Analysis
4. Conclusions
Supplementary Materials
Author Contributions
Funding
Data Availability Statement
Conflicts of Interest
References
- Tontonoz, P.; Spiegelman, B.M. Fat and Beyond: The Diverse Biology of PPARγ. Annu. Rev. Biochem. 2008, 77, 289–312. [Google Scholar] [CrossRef] [PubMed]
- Heudobler, D.; Rechenmacher, M.; Lüke, F.; Vogelhuber, M.; Pukrop, T.; Herr, W.; Ghibelli, L.; Gerner, C.; Reichle, A. Peroxisome Proliferator-Activated Receptors (PPAR)γ Agonists as Master Modulators of Tumor Tissue. Int. J. Mol. Sci. 2018, 19, 3540. [Google Scholar] [CrossRef]
- Liu, J.-J.; Liu, P.-Q.; Lin, D.-J.; Xiao, R.-Z.; Huang, M.; Li, X.-D.; He, Y.; Huang, R.-W. Downregulation of cyclooxygenase-2 expression and activation of caspase-3 are involved in peroxisome proliferator-activated receptor-γ agonists induced apoptosis in human monocyte leukemia cells in vitro. Ann. Hematol. 2006, 86, 173–183. [Google Scholar] [CrossRef] [PubMed]
- Weng, J.-R.; Bai, L.-Y.; Chiu, C.-F.; Hu, J.-L.; Chiu, S.-J.; Wu, C.-Y. Cucurbitane Triterpenoid from Momordica charantia Induces Apoptosis and Autophagy in Breast Cancer Cells, in Part, through Peroxisome Proliferator-Activated Receptor γ Activation. Evid.-Based Complement. Altern. Med. 2013, 2013, 935675. [Google Scholar] [CrossRef] [PubMed]
- El Gazzar, W.B.; Allam, M.M.; Shaltout, S.A.; Mohammed, L.A.; Sadek, A.M.; Nasr, H.E. Pioglitazone modulates immune activation and ameliorates inflammation induced by injured renal tubular epithelial cells via PPARγ/miRNA-124/STAT3 signaling. Biomed. Rep. 2022, 18, 2. [Google Scholar] [CrossRef]
- Belfiore, A.; Genua, M.; Malaguarnera, R. PPAR-γ Agonists and Their Effects on IGF-I Receptor Signaling: Implications for Cancer. PPAR Res. 2009, 2009, 830501. [Google Scholar] [CrossRef]
- Waseem, D.; Khan, G.M.; Haq, I.-U.; Syed, D.N. Dibutylstannanediyl (2Z,2′Z)-bis(4-(benzylamino)-4-oxobut-2-enoate inhibits prostate cancer progression by activating p38 MAPK/PPARα/SMAD4 signaling. Toxicol. Appl. Pharmacol. 2022, 449, 116127. [Google Scholar] [CrossRef]
- Hsu, P.-C.; Hsu, C.-C.; Hsia, Y.-J.; Kuo, C.-Y. Chrysophanol Suppresses Cell Growth via mTOR/PPAR-α Regulation and ROS Accumulation in Cultured Human Tongue Squamous Carcinoma SAS Cells. Curr. Issues Mol. Biol. 2022, 44, 1528–1538. [Google Scholar] [CrossRef]
- Han, S.W. Anticancer actions of PPARγ ligands: Current state and future perspectives in human lung cancer. World J. Biol. Chem. 2010, 1, 31–40. [Google Scholar] [CrossRef]
- Ahmadian, M.; Suh, J.M.; Hah, N.; Liddle, C.; Atkins, A.R.; Downes, M.; Evans, R.M. PPARγ signaling and metabolism: The good, the bad and the future. Nat. Med. 2013, 19, 557–566. [Google Scholar] [CrossRef]
- Xu, Y.; Denning, K.L.; Lu, Y. PPARα agonist WY-14,643 induces the PLA2/COX-2/ACOX1 pathway to enhance peroxisomal lipid metabolism and ameliorate alcoholic fatty liver in mice. Biochem. Biophys. Res. Commun. 2022, 613, 47–52. [Google Scholar] [CrossRef] [PubMed]
- Kostapanos, M.; Elisaf, M.; Mikhailidis, D. Pioglitazone and Cancer: Angel or Demon? Curr. Pharm. Des. 2013, 19, 4913–4929. [Google Scholar] [CrossRef] [PubMed]
- Mochizuki, K.; Suzuki, T.; Goda, T. PPARα and PPARδ Transactivity and p300 Binding Activity Induced by Arachidonic Acid in Colorectal Cancer Cell Line Caco-2. J. Nutr. Sci. Vitaminol. 2008, 54, 298–302. [Google Scholar] [CrossRef] [PubMed]
- Vidović, D.; Busby, S.A.; Griffin, P.R.; Schürer, S.C. A Combined Ligand- and Structure-Based Virtual Screening Protocol Identifies Submicromolar PPARγ Partial Agonists. Chemmedchem 2010, 6, 94–103. [Google Scholar] [CrossRef] [PubMed]
- Oyama, T. Toward High-throughput Crystal Structure Determination of PPAR Ligand-binding Domains in Complexes with Less Soluble Ligands. Yakugaku Zasshi J. Pharm. Soc. Jpn. 2022, 142, 1353–1360. [Google Scholar] [CrossRef]
- Takahashi, J.; Takahashi, N.; Tadaishi, M.; Shimizu, M.; Kobayashi-Hattori, K. Valerenic Acid Promotes Adipocyte Differentiation, Adiponectin Production, and Glucose Uptake via Its PPARγ Ligand Activity. ACS Omega 2022, 7, 48113–48120. [Google Scholar] [CrossRef]
- Sheu, M.-L.; Pan, L.-Y.; Hu, H.-Y.; Su, H.-L.; Sheehan, J.; Tsou, H.-K.; Pan, H.-C. Potential Therapeutic Effects of Thiazolidinedione on Malignant Glioma. Int. J. Mol. Sci. 2022, 23, 13510. [Google Scholar] [CrossRef]
- Tsubouchia, Y.; Sano, H.; Kawahito, Y.; Mukaia, S.; Yamadaa, R.; Kohnoa, M.; Ichiroinouea, K.; Hla, T.; Kondoa, M. Inhibition of Human Lung Cancer Cell Growth by the Peroxisome Proliferator-Activated Receptor-γ Agonists through Induction of Apoptosis. Biochem. Biophys. Res. Commun. 2000, 270, 400–405. [Google Scholar] [CrossRef]
- Khanna, S.; Sobhia, M.E.; Bharatam, P.V. Additivity of Molecular Fields: CoMFA Study on Dual Activators of PPARα and PPARγ. J. Med. Chem. 2005, 48, 3015–3025. [Google Scholar] [CrossRef]
- Momose, Y.; Maekawa, T.; Yamano, T.; Kawada, M.; Odaka, H.; Ikeda, H.; Sohda, T. Novel 5-Substituted 2,4-Thiazolidinedione and 2,4-Oxazolidinedione Derivatives as Insulin Sensitizers with Antidiabetic Activities. J. Med. Chem. 2002, 45, 1518–1534. [Google Scholar] [CrossRef]
- Kim, B.Y.; Ahn, J.B.; Lee, H.W.; Kang, S.K.; Lee, J.H.; Shin, J.S.; Kil Ahn, S.; Hong, C.I.; Yoon, S.S. Synthesis and biological activity of novel substituted pyridines and purines containing 2,4-thiazolidinedione. Eur. J. Med. Chem. 2004, 39, 433–447. [Google Scholar] [CrossRef] [PubMed]
- Adams, A.D.; Yuen, W.; Hu, Z.; Santini, C.; Jones, A.; MacNaul, K.L.; Berger, J.P.; Doebber, T.W.; Moller, D.E. Amphipathic 3-Phenyl-7-propylbenzisoxazoles; human pPaR γ, δ and α agonists. Bioorg. Med. Chem. Lett. 2003, 13, 931–935. [Google Scholar] [CrossRef] [PubMed]
- Matos, L.H.S.; Masson, F.T.; Simeoni, L.A.; Homem-De-Mello, M. Biological activity of dihydropyrimidinone (DHPM) derivatives: A systematic review. Eur. J. Med. Chem. 2018, 143, 1779–1789. [Google Scholar] [CrossRef] [PubMed]
- Lu, Y.; Guo, Z.; Guo, Y.; Feng, J.; Chu, F. Design, synthesis, and evaluation of 2-alkoxydihydrocinnamates as PPAR agonists. Bioorg. Med. Chem. Lett. 2006, 16, 915–919. [Google Scholar] [CrossRef] [PubMed]
- Kumar, R.; Ramachandran, U.; Srinivasan, K.; Ramarao, P.; Raichur, S.; Chakrabarti, R. Design, synthesis and evaluation of carbazole derivatives as PPARα/γ dual agonists and antioxidants. Bioorg. Med. Chem. 2005, 13, 4279–4290. [Google Scholar] [CrossRef]
- Kumar, R.; Mittal, A.; Ramachandran, U. Design and synthesis of 6-methyl-2-oxo-1,2,3,4-tetrahydro-pyrimidine-5-carboxylic acid derivatives as PPARγ activators. Bioorg. Med. Chem. Lett. 2007, 17, 4613–4618. [Google Scholar] [CrossRef]
- Bharathkumar, H.; Paricharak, S.; Dinesh, K.; Siveen, K.S.; Fuchs, J.E.; Rangappa, S.; Mohan, C.D.; Mohandas, N.; Kumar, A.P.; Sethi, G.; et al. Synthesis, biological evaluation and in silico and in vitro mode-of-action analysis of novel dihydropyrimidones targeting PPAR-γ. RSC Adv. 2014, 4, 45143–45146. [Google Scholar] [CrossRef]
- Pascanu, V.; Miera, G.G.; Inge, A.K.; Martín-Matute, B. Metal–Organic Frameworks as Catalysts for Organic Synthesis: A Critical Perspective. J. Am. Chem. Soc. 2019, 141, 7223–7234. [Google Scholar] [CrossRef]
- Holden, M.S.; Crouch, R.D. The Biginelli Reaction. J. Chem. Educ. 2001, 78, 1104. [Google Scholar] [CrossRef]
- Alshorifi, F.T.; Ali, S.L.; Salama, R.S. Promotional Synergistic Effect of Cs–Au NPs on the Performance of Cs–Au/MgFe2O4 Catalysts in Catalysis 3,4-Dihydropyrimidin-2(1H)-Ones and Degradation of RhB Dye. J. Inorg. Organomet. Polym. Mater. 2022, 32, 3765–3776. [Google Scholar] [CrossRef]
- Alshorifi, F.T.; Tobbala, D.E.; El-Bahy, S.M.; Nassan, M.A.; Salama, R.S. The role of phosphotungstic acid in enhancing the catalytic performance of UiO-66 (Zr) and its applications as an efficient solid acid catalyst for coumarins and dihydropyrimidinones synthesis. Catal. Commun. 2022, 169, 106479. [Google Scholar] [CrossRef]
- Basappa, B.; Poonacha, L.K.; Zhang, X.; Vishwanath, D.; Yang, J.-R.; Nagaraja, O.; Swamynayaka, A.; Madegowda, M.; Chinnathambi, A.; Alharbi, S.A.; et al. Nano-zirconium dioxide catalyzed multi-component synthesis of bioactive pyranopyrazoles that targets cyclindependent kinase 1 in human breast cancer cells. Biomedicines 2023, 11, 172. [Google Scholar] [CrossRef] [PubMed]
- Gadipelly, C.; Mannepalli, L.K. Nano-metal oxides for organic transformations. Curr. Opin. Green Sustain. Chem. 2019, 15, 20–26. [Google Scholar] [CrossRef]
- Patil, R.V.; Chavan, J.U.; Dalal, D.S.; Shinde, V.S.; Beldar, A.G. Biginelli Reaction: Polymer Supported Catalytic Approaches. ACS Comb. Sci. 2019, 21, 105–148. [Google Scholar] [CrossRef] [PubMed]
- Puripat, M.; Ramozzi, R.; Hatanaka, M.; Parasuk, W.; Parasuk, V.; Morokuma, K. The Biginelli Reaction Is a Urea-Catalyzed Organocatalytic Multicomponent Reaction. J. Org. Chem. 2015, 80, 6959–6967. [Google Scholar] [CrossRef]
- Oliverio, M.; Costanzo, P.; Nardi, M.; Rivalta, I.; Procopio, A. Facile Ecofriendly Synthesis of Monastrol and Its Structural Isomers via Biginelli Reaction. ACS Sustain. Chem. Eng. 2014, 2, 1228–1233. [Google Scholar] [CrossRef]
- Yao, B.-J.; Wu, W.-X.; Ding, L.-G.; Dong, Y.-B. Sulfonic Acid and Ionic Liquid Functionalized Covalent Organic Framework for Efficient Catalysis of the Biginelli Reaction. J. Org. Chem. 2021, 86, 3024–3032. [Google Scholar] [CrossRef]
- Nevin, D.K.; Peters, M.B.; Carta, G.; Fayne, D.; Lloyd, D.G. Integrated Virtual Screening for the Identification of Novel and Selective Peroxisome Proliferator-Activated Receptor (PPAR) Scaffolds. J. Med. Chem. 2012, 55, 4978–4989. [Google Scholar] [CrossRef]
- Liberato, M.V.; Nascimento, A.S.; Ayers, S.D.; Lin, J.Z.; Cvoro, A.; Silveira, R.L.; Martínez, L.; Souza, P.C.T.; Saidemberg, D.; Deng, T.; et al. Medium Chain Fatty Acids Are Selective Peroxisome Proliferator Activated Receptor (PPAR) γ Activators and Pan-PPAR Partial Agonists. PLoS ONE 2012, 7, e36297. [Google Scholar] [CrossRef]
- Soler, J.M.; Artacho, E.; Gale, J.D.; García, A.; Junquera, J.; Ordejón, P.; Sánchez-Portal, D. The SIESTA method for ab initio order-N materials simulation. J. Phys. Condens. Matter 2002, 14, 2745–2779. [Google Scholar] [CrossRef]
- Perdew, J.P.; Burke, K.; Ernzerhof, M. Generalized gradient approximation made simple. Phys. Rev. Lett. 1996, 77, 3865. [Google Scholar] [CrossRef]
- Murugan, S.; Kavitha, C.V.; Purushothaman, A.; Nevin, K.G.; Sugahara, K.; Rangappa, K.S. A small Oxazine compound as an anti-tumor agent:A novel pyranoside mimetic that bind to VEGF, HB-EGF and TNF-α. Cancer Lett. 2010, 297, 231–243. [Google Scholar]
- Bharathkumar, H.; Mohan, C.D.; Rangappa, S.; Kang, T.; Keerthy, H.K.; Fuchs, J.E.; Kwon, N.H.; Bender, A.; Kim, S.; Rangappa, K.S. Screening of quinoline, 1,3-benzoxazine, and 1,3-oxazine-based small molecules against iso-lated methionyl-tRNA synthetase and A549 and HCT116 cancer cells including an in silico binding mode analysis. Org. Biomol. Chem. 2015, 13, 9381–9387. [Google Scholar] [CrossRef] [PubMed]
- Subramanian, G.; Babu Rajeev, C.P.; Mohan, C.D.; Sinha, A.; Chu, T.T.T.; Anusha, S.; Ximei, H.; Fuchs, J.E.; Bender, A.; Rangappa, K.S.; et al. Synthesis and in vitro evaluation of hydrazinyl phthalazines against malaria parasite, Plasmodium falciparum. Bioorg. Med. Chem. Lett. 2016, 26, 3300–3306. [Google Scholar] [CrossRef]
- Fongmoon, D.; Shetty, A.K.; Basappa; Yamada, S.; Sugiura, M.; Kongtawelert, P.; Sugahara, K. Chondroitinase-mediated degradation of rare 3-O-sulfated glucuronic acid in functional oversulfated chondroitin sulfate K and E. J. Biol. Chem. 2007, 282, 36895–36904. [Google Scholar] [CrossRef] [PubMed]
- Baburajeev, C.P.; Dhananjaya Mohan, C.; Ananda, H.; Rangappa, S.; Fuchs, J.E.; Jagadish, S.; Sivaraman Siveen, K.; Chinnathambi, A.; Ali Alharbi, S.; Zayed, M.E.; et al. Development of Novel Triazolo-Thiadiazoles from Heterogeneous "Green" Catalysis as Protein Tyrosine Phosphatase 1B Inhibitors. Sci. Rep. 2015, 5, 14195. [Google Scholar] [CrossRef] [PubMed]
- Rangappa, K.S.; Basappa. New cholinesterase inhibitors: Synthesis and structure-activity relationship studies of 1,2-benzisoxazole series and novel imidazolyl-d 2-isoxazolines. J. Phys. Org. Chem. 2005, 18, 773–778. [Google Scholar] [CrossRef]
- Basappa; Kavitha, C.V.; Rangappa, K.S. Simple and an efficient method for the synthesis of 1-[2-dimethylamino-1-(4-methoxy-phenyl)-ethyl]-cyclohexanol hydrochloride: (+/-) venlafaxine racemic mixtures. Bioorg. Med. Chem. Lett. 2004, 14, 3279–3281. [Google Scholar] [CrossRef]
- Sadashiva, M.P.; Basappa; Nanjunda Swamy, S.; Li, F.; Manu, K.A.; Sengottuvelan, M.; Prasanna, D.S.; Anilkumar, N.C.; Sethi, G.; Sugahara, K.; et al. Anti-cancer activity of novel dibenzo[b,f]azepine tethered isoxazoline derivatives. BMC Chem. Biol. 2012, 12, 5. [Google Scholar] [CrossRef] [PubMed]
- Pandey, V.; Wang, B.; Mohan, C.D.; Raquib, A.R.; Rangappa, S.; Srinivasa, V.; Fuchs, J.E.; Girish, K.S.; Zhu, T.; Bender, A.; et al. Discovery of a small-molecule inhibitor of specific serine residue BAD phosphorylation. Proc. Natl. Acad. Sci. USA 2018, 115, E10505–E10514. [Google Scholar] [CrossRef]
- Blanchard, V.; Chevalier, F.; Imberty, A.; Leeflang, B.R.; Basappa; Sugahara, K.; Kamerling, J.P. Conformational studies on five octasaccharides isolated from chondroitin sulfate using NMR spectroscopy and molecular modeling. Biochemistry 2007, 46, 1167–1175. [Google Scholar] [CrossRef] [PubMed]
- Anusha, S.; Mohan, C.D.; Ananda, H.; Baburajeev, C.P.; Rangappa, S.; Mathai, J.; Fuchs, J.E.; Li, F.; Shanmugam, M.K.; Bender, A.; et al. Adamantyl-tethered-biphenylic compounds induce apoptosis in cancer cells by targeting Bcl homologs. Bioorg. Med. Chem. Lett. 2016, 26, 1056–1060. [Google Scholar] [CrossRef] [PubMed]
- Basappa; Sugahara, K.; Thimmaiah, K.N.; Bid, H.K.; Houghton, P.J.; Rangappa, K.S. Anti-tumor activity of a novel HS-mimetic-vascular endothelial growth factor binding small molecule. PLoS ONE 2012, 7, e39444. [Google Scholar] [CrossRef]
- Sebastian, A.; Pandey, V.; Mohan, C.D.; Chia, Y.T.; Rangappa, S.; Mathai, J.; Baburajeev, C.P.; Paricharak, S.; Mervin, L.H.; Bulusu, K.C.; et al. Novel Adamantanyl-Based Thiadiazolyl Pyrazoles Targeting EGFR in Triple-Negative Breast Cancer. ACS Omega. 2016, 1, 1412–1424. [Google Scholar] [CrossRef] [PubMed]
- Rakesh, K.S.; Jagadish, S.; Vinayaka, A.C.; Hemshekhar, M.; Paul, M.; Thushara, R.M.; Sundaram, M.S.; Swaroop, T.R.; Mohan, C.D.; Basappa; et al. A new ibuprofen derivative inhibits platelet aggregation and ROS mediated platelet apoptosis. PLoS ONE 2014, 9, e107182. [Google Scholar] [CrossRef] [PubMed]
- Kumar, C.A.; Jayarama, S.; Basappa; Salimath, B.P.; Rangappa, K.S. Pro-apoptotic activity of imidazole derivatives mediated by up-regulation of Bax and activation of CAD in Ehrlich Ascites Tumor cells. Investig. New Drugs 2007, 25, 343–350. [Google Scholar] [CrossRef]
- Basappa; Rangappa, K.S.; Sugahara, K. Roles of glycosaminoglycans and glycanmimetics in tumor progression and metastasis. Glycoconj. J. 2014, 31, 461–467. [Google Scholar] [CrossRef]
- Sunitha, K.; Hemshekhar, M.; Gaonkar, S.L.; Sebastin Santhosh, M.; Suresh Kumar, M.; Basappa; Priya, B.S.; Kemparaju, K.; Rangappa, K.S.; Nanjunda Swamy, S.; et al. Neutralization of haemorrhagic activity of viper venoms by 1-(3-dimethylaminopropyl)-1-(4-fluorophenyl)-3-oxo-1,3-dihydroisobenzofuran-5-carbonitrile. Basic Clin. Pharm. Toxicol. 2011, 109, 292–299. [Google Scholar] [CrossRef]
- Jagadish, S.; Rajeev, N.; Naveen Kumar, S.K.; Sharath Kumar, K.S.; Paul, M.; Hegde, M.; Basappa; Sadashiva, M.P.; Girish, K.S.; Rangappa, K.S. Platelet protective efficacy of 3,4,5 trisubstituted isoxazole analogue by inhibiting ROS-mediated apoptosis and platelet aggregation. Mol Cell Biochem. 2016, 414, 137–151. [Google Scholar] [CrossRef]
- Bharathkumar, H.; Sundaram, M.S.; Jagadish, S.; Paricharak, S.; Hemshekhar, M.; Mason, D.; Kemparaju, K.; Girish, K.S.; Basappa; Bender, A.; et al. Novel benzoxazine-based aglycones block glucose uptake in vivo by inhibiting glycosidases. PLoS ONE 2014, 9, e102759. [Google Scholar] [CrossRef]
- Priya, B.S.; Anil Kumar, C.; Nanjunda Swamy, S.; Basappa; Naveen, S.; Shashidhara Prasad, J.; Rangappa, K.S. 2-(2-(2-Ethoxybenzoylamino)-4-chlorophenoxy)-N-(2-ethoxybenzoyl)benzamine inhibits EAT cell induced angiogenesis by down regulation of VEGF secretion. Bioorg. Med. Chem. Lett. 2007, 17, 2775–2780. [Google Scholar] [CrossRef] [PubMed]
- Kwon, N.H.; Lee, J.Y.; Ryu, Y.L.; Kim, C.; Kong, J.; Oh, S.; Kang, B.S.; Ahn, H.W.; Ahn, S.G.; Jeong, J.; et al. Stabilization of Cyclin-Dependent Kinase 4 by Methionyl-tRNA Synthetase in p16INK4a-Negative Cancer. ACS Pharm. Transl. Sci. 2018, 1, 21–31. [Google Scholar] [CrossRef] [PubMed]
- Morris, G.M.; Huey, R.; Lindstrom, W.; Sanner, M.F.; Belew, R.K.; Goodsell, D.S.; Olson, A.J. AutoDock4 and AutoDockTools4: Automated docking with selective receptor flexibility. J. Comput. Chem. 2009, 30, 2785–2791. [Google Scholar] [CrossRef] [PubMed]
- Schrödinger, L.L.C. Schrödinger Release 2020-1: Maestro; Schrödinger, LLC: New York, NY, USA, 2020. [Google Scholar]
- Wallace, A.C.; Laskowski, R.A.; Thornton, J.M. LIGPLOT: A program to generate schematic diagrams of protein-ligand interactions. Protein Eng. 1995, 8, 127–134. [Google Scholar] [CrossRef]










| SI No | Aldehyde | Product | MCF-7 (IC50 in μM) | MCF-10A (IC50 in μM) |
|---|---|---|---|---|
| 1 | ![]() 1a | ![]() 4a | 40.06 ± 1.60 | >100 |
| 2 | ![]() 1b | ![]() 4b | 21.20 ± 1.33 | 51.8 |
| 3 | ![]() 1c | ![]() 4c | 26.29 ± 1.42 | >100 |
| 4 | ![]() 1d | ![]() 4d | 11.88 ± 1.08 | >100 |
| 5 | ![]() 1e | ![]() 4e | 15.82 ± 1.20 | >100 |
| 6 | ![]() 1f | ![]() 4f | 62.83 ± 1.80 | - |
| 7 | ![]() 1g | ![]() 4g | 61.70 ± 1.79 | - |
| 8 | ![]() 1h | ![]() 4h | 40.03 ± 1.61 | - |
| 9 | ![]() 1i | ![]() 4i | 57.13 ± 1.76 | - |
| 10 | ![]() 1j | ![]() 4j | 73.65 ± 1.87 | - |
| 11 | ![]() 1k | ![]() 4k | 79.71 ± 1.90 | - |
| 12 | Olaparib | 3.28 ± 0.20 | - |
| Molecule | EFermi (eV) | Band Gap (eV) | Adsorption Energy (Eads, eV) |
|---|---|---|---|
| ZrO2 Surface | −6.43 | 0.02 | - |
| ZrO2 Surface-Molecule 1 | −5.72 | 0.01 | −3.31 |
| ZrO2 Surface-Molecule 2 | −5.54 | 0.01 | −2.75 |
| ZrO2 Surface-Molecule 3 | −5.77 | 0.01 | −1.82 |
| ZrO2 Surface-Molecule 4 | −5.98 | 0.01 | −1.75 |
| ZrO2 Surface-Molecule 5 | −6.01 | 0.01 | −0.32 |
| ZrO2 Surface-Molecule 6 | −6.21 | 0.01 | −0.08 |
| Cell Parameter/Bond Length | Experimental | Calculated |
|---|---|---|
| a (Å) | 5.21 | 5.1147 |
| b (Å) | 5.26 | 5.1299 |
| c (Å) | 5.37 | 5.1149 |
| α (°) | 90.00 | 90.00 |
| β (°) | 80.53 | 90.18 |
| γ (°) | 90.00 | 90.00 |
| V (Å3) | 145.2 | 134.15 |
| Zr-O (Å) | 2.021 1.952 | 2.225, 2.223 2.221, 2.220 |
Disclaimer/Publisher’s Note: The statements, opinions and data contained in all publications are solely those of the individual author(s) and contributor(s) and not of MDPI and/or the editor(s). MDPI and/or the editor(s) disclaim responsibility for any injury to people or property resulting from any ideas, methods, instructions or products referred to in the content. |
© 2023 by the authors. Licensee MDPI, Basel, Switzerland. This article is an open access article distributed under the terms and conditions of the Creative Commons Attribution (CC BY) license (https://creativecommons.org/licenses/by/4.0/).
Share and Cite
Deveshegowda, S.N.; Yang, J.-R.; Xi, Z.; Nagaraja, O.; Fazl-Ur-Rahman, K.; Narasimhachar, B.C.; Sethi, G.; Periyasamy, G.; Madegowda, M.; Rangappa, S.; et al. Nano-ZrO2-Catalyzed Biginelli Reaction and the Synthesis of Bioactive Dihydropyrimidinones That Targets PPAR-γ in Human Breast Cancer Cells. Catalysts 2023, 13, 228. https://doi.org/10.3390/catal13020228
Deveshegowda SN, Yang J-R, Xi Z, Nagaraja O, Fazl-Ur-Rahman K, Narasimhachar BC, Sethi G, Periyasamy G, Madegowda M, Rangappa S, et al. Nano-ZrO2-Catalyzed Biginelli Reaction and the Synthesis of Bioactive Dihydropyrimidinones That Targets PPAR-γ in Human Breast Cancer Cells. Catalysts. 2023; 13(2):228. https://doi.org/10.3390/catal13020228
Chicago/Turabian StyleDeveshegowda, Suresha N., Ji-Rui Yang, Zhang Xi, Omantheswara Nagaraja, Kashifa Fazl-Ur-Rahman, Bhanuprakash C. Narasimhachar, Gautam Sethi, Ganga Periyasamy, Mahendra Madegowda, Shobith Rangappa, and et al. 2023. "Nano-ZrO2-Catalyzed Biginelli Reaction and the Synthesis of Bioactive Dihydropyrimidinones That Targets PPAR-γ in Human Breast Cancer Cells" Catalysts 13, no. 2: 228. https://doi.org/10.3390/catal13020228
APA StyleDeveshegowda, S. N., Yang, J.-R., Xi, Z., Nagaraja, O., Fazl-Ur-Rahman, K., Narasimhachar, B. C., Sethi, G., Periyasamy, G., Madegowda, M., Rangappa, S., Pandey, V., Lobie, P. E., & Basappa, B. (2023). Nano-ZrO2-Catalyzed Biginelli Reaction and the Synthesis of Bioactive Dihydropyrimidinones That Targets PPAR-γ in Human Breast Cancer Cells. Catalysts, 13(2), 228. https://doi.org/10.3390/catal13020228























