Abstract
Oxygen atom incorporation into organic molecules is one of the most powerful strategies to increase their pharmacological activity and to obtain valuable intermediates in organic synthesis. Traditional oxidizing agents perform very well, but their environmental impact and their low selectivity constitute significant limitations. On the contrary, visible-light-promoted oxygenations represent a sustainable method for oxidizing organic compounds, since only molecular oxygen and a photocatalyst are required. Therefore, photocatalytic oxygenation reactions exhibit very high atom-economy and eco-compatibility. This mini-review collects and analyzes the most recent literature on organo-photocatalysis applications to promote the selective oxygenation of organic substrates. In particular, acridinium salts, Eosin Y, Rose Bengal, cyano-arenes, flavinium salts, and quinone-based dyes are widely used as photocatalysts in several organic transformations as the oxygenations of alkanes, alkenes, alkynes, aromatic compounds, amines, phosphines, silanes, and thioethers. In this context, organo-photocatalysts proved to be highly efficient in catalytic terms, showing similar or even superior performances with respect to their metal-based counterparts, while maintaining a low environmental impact. In addition, given the mild reaction conditions, visible-light-promoted photo-oxygenation processes often display remarkable selectivity, which is a striking feature for the late-stage functionalization of complex organic molecules.
1. Introduction
Considering the climate emergency and, recently, the surge in oil prices, the research of alternative sources of renewable energy is becoming an increasingly urgent issue to be addressed [1]. At the beginning of the 20th century, Giacomo Ciamician, one of the pioneers of photochemistry, with shrewd foresight, noticed that modern societies needed an energy transition from fossil fuels to solar energy [2]. The Italian chemist claimed this concept as a possibility for his time and a necessity for the future. Later, in 1998, Anastas and Warner coined the 12 principles of green chemistry, based on the concept of minimizing the environmental footprint of chemical processes by reducing or eliminating the use or formation of hazardous substances [3]. Photocatalysis, given the capability to convert visible light to chemical energy, thoroughly embraces green chemistry culture [4]. In particular, photoredox catalysis ranks as an effective sustainable choice in organic synthesis, also allowing the formation of challenging carbon–heteroatom bonds in mild conditions [5]. Metal-based photocatalysts, mainly Ru(II) and Ir(III) bipyridyls complexes, have been extensively studied and described in several reviews [5,6,7,8]. However, due to the environmental issues related to rare metals applications, in recent years, the consideration of organic dyes as metal-free photocatalysts has grown rapidly, and, in some cases, even better photocatalytic performances with respect to their metal counterparts have been observed (Scheme 1) [9,10,11,12,13].
Scheme 1.
Organic dyes applied as metal-free photocatalysts in oxygenation reactions.
In particular, 9-mesityl-10-methylacridinium perchlorate (Acr+-Mes) and cyanoarenes [14,15], Eosin-Y [16], Rose Bengal [17], flavins [18], anthraquinones [19], and thioxanthones [20] have shown very high efficiency.
In the framework of metal-free photocatalysts, graphitic carbon nitride (g-C3N4) is emerging as an innovative alternative in heterogeneous catalysis [21,22]. However, the engineering of such photoresponsive metal-free materials needs multiple time-consuming modifications. In fact, pure g-C3N4 exhibits poor photocatalytic efficiency because of its low specific surface area and its high charge carrier recombination [23]. Therefore, morphology control, metal/metal-free doping, or dye sensitization are usually required to enhance g-C3N4 performances in visible-light-driven catalytic processes [24]. On the contrary, the advantage in using organic dyes as photocatalysts lies in the variegated heterogeneity of the photochemical and photophysical catalytic pathways that can be investigated. Moreover, the possibility to tailor their structure through specific functionalizations is an advantageous opportunity to further implement catalytic efficiency [25]. In this context, photocatalytic oxygenations represent a vivid example of the potential of merging sustainable chemistry and photochemistry, revealing a green, effective alternative compared to the traditional oxidative methods [26]. In biological systems, mono- or di-oxygenase metalloenzymes are essential to promote molecular oxygen activation leading to oxygen atom incorporation into organic substrates [27,28]. Following a bio-mimetic approach, oxygenations play an important role in chemistry for the synthesis of valuable synthons in mild and green conditions, using O2 as a bio-available and bio-compatible oxidizing agent [29]. In fact, the development of sustainable oxidative processes arises primarily from the choice of the oxidizing agent: reactivity, cost, and eco-friendliness are the main parameters to consider. Obviously, molecular oxygen represents the greenest choice in oxygenation reactions given its excellent atom economy and its low environmental impact [30]. However, O2, owing to the spin-forbidden reaction [31], needs to be activated to a reactive oxygen species (ROS), such as singlet oxygen, superoxide anion, hydroxyl radical, or hydrogen peroxide, in order to be used as an oxidant [32]. Such activated species can be generated through biological, physical, or chemical traditional methods, with low efficiency and energy consuming procedures [33,34,35]. On the other hand, visible light photocatalysis has been affirmed as one of the most promising and best performing tools for molecular oxygen activation in order to carry out sustainable oxygenation processes.
The aim of this mini-review is to provide a critical analysis of recent applications of organic dyes as photocatalysts to promote light-driven oxygenation reactions in an aerobic environment.
2. Organic-Dye-Promoted Photooxygenation Processes
2.1. C(sp3) and Alkyl Arene (Benzyl) Oxygenation
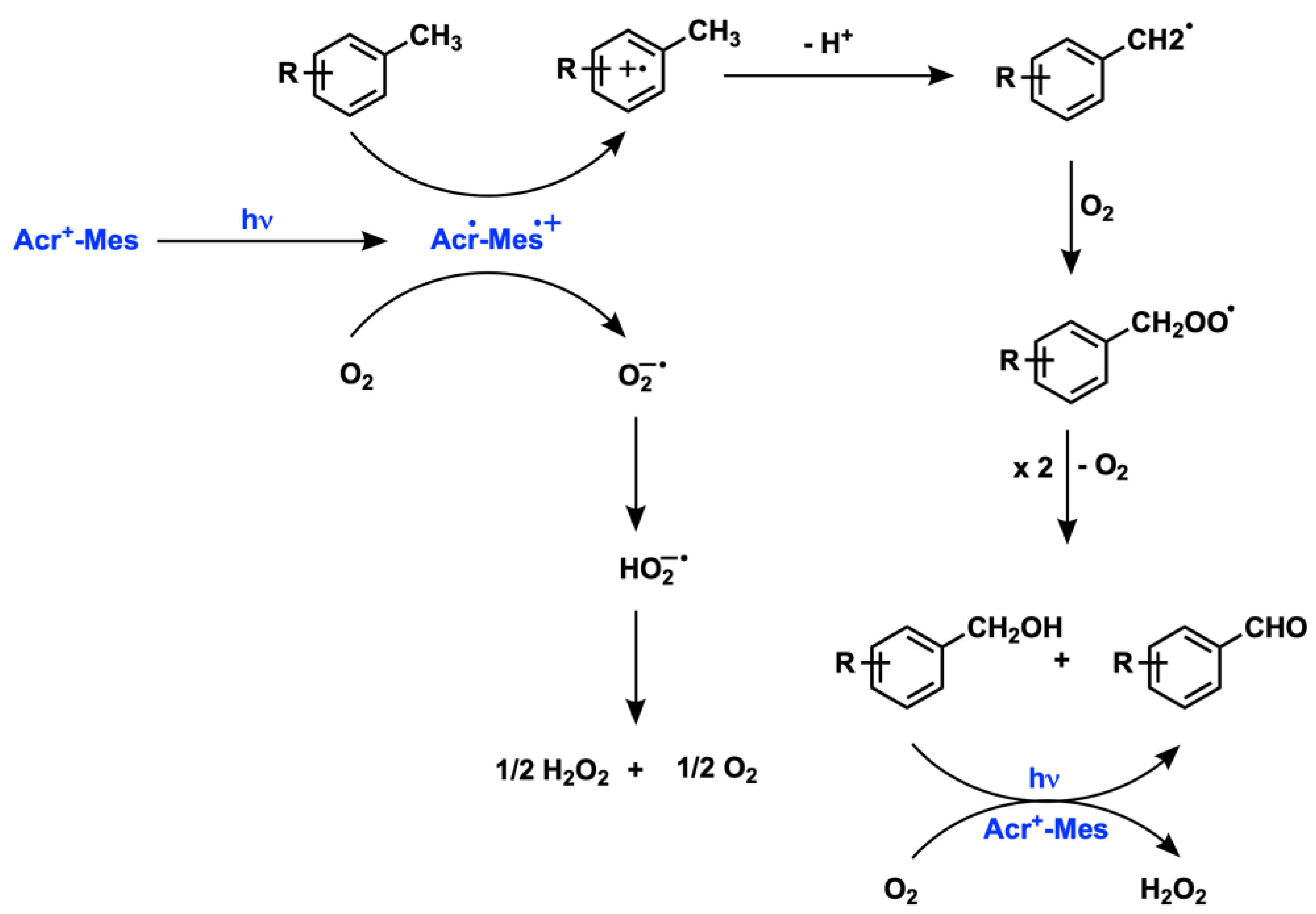
Selective C(sp3-H) oxygenation in the benzylic position is one of the most interesting tools to synthesize carbonyl intermediates, which are relevant molecules for biomedical or agrochemical applications [36,37,38]. Several organic photocatalysts have been recently examined to perform such a reaction. To this purpose, the 2,3-dichloro-5,6-dicyano-1,4-benzoquinone (DDQ)/tert-butyl nitrite couple proved to be a powerful organo-photocatalytic system for aerobic visible-light-enabled C-H oxygenation [39]. Fukuzumi et al. in 2011 reported for the first time the use of the Acr+-Mes photocatalyst to perform the selective oxygenation of p-xylene in acetonitrile, using molecular oxygen as an oxidant under visible light irradiation (Scheme 2) [40].
Scheme 2.
p-xylene photooxygenation promoted by Acr+-Mes.
p-methyl benzaldehyde and p-methylbenzyl alcohol were obtained in mild conditions in only 80 min with satisfactory yields. The photocatalytic efficiency of such systems was then enhanced with the addition of aqueous sulfuric acid that allowed the reaching of good benzaldehyde yields (>70%). Remarkably, no over-oxidation to benzoic acid occurred, demonstrating the high selectivity of the reaction. A further improvement was achieved using the 9-mesityl-2,7,10-trimethylacridinium derivative (Me2Acr+–Mes) as a photocatalyst that accomplished the quantitative p-xylene conversion to p-methylbenzaldehyde in 80 min. Mechanistic studies proved a radical pathway, in which the alkyl arene was oxidized by the excited photocatalyst, and then it reacted with molecular oxygen to generate an activated alkyl peroxyradical, which collapsed into the oxidation products (Scheme 3).
Scheme 3.
Mechanistic insights of p-xylene photooxygenation promoted by Acr+-Mes.
The authors demonstrated that photooxygenation simultaneously occurred with molecular oxygen reduction to hydrogen peroxide to restore the catalytic cycle. Drawbacks of such procedures are related to the substrate scope. In fact, reaction efficiently occurred for only three similar substrates, and no photooxidation of complex compounds was accomplished. Similarly, the water-soluble sodium anthraquinone sulfonate (SAS) proved to be a promising photocatalyst for the oxygenation of alkyl arenes in biphasic systems [41,42]. Hollmann et al. studied the neat photooxygenation of benzylic and allylic C-H bonds in alkane:water (3:7 v/v) (Scheme 4a) [43].
Scheme 4.
Selective benzyl C(sp3-H) oxygenation enabled by (a) SAS [43], (b) Eosin Y [44], and (c) 4CzIPN [45] organic photocatalysts.
SAS displayed good catalytic efficiency, reaching in 24 h a TON of 37 in the toluene-selective oxygenation to benzaldehyde. However, long reaction times and photocatalyst deactivation were the resulting major drawbacks of such a system. Later, Eosin Y metal-free photocatalyst was investigated for aerobic benzylic C-H oxygenation in water (Scheme 4b) [44]. Such a sustainable protocol exhibited good photocatalytic efficiency in 24 h (32–89% yields) and a broad substrate scope (26 derivatives). However, 365 nm of UV irradiation and tetrabutylammonium borohydride (TBABH) as a phase-transfer catalyst were required to promote such a biphasic oxygenation reaction. Sing et al. recently developed an oxidative system, made up of 4CzIPN organic photocatalyst (2%), tetrabutylammonium azide (TBAN3 40%), and air/oxygen for the selective oxygenation of alkylarenes to the corresponding carbonyl compounds (Scheme 4c) [45]. The use of TBAN3 was necessary to trigger the hydrogen atom transfer (HAT) mechanism, as no oxygenation occurred in the absence of the azido radical precursor. This technique efficiently accomplished the oxygenation of 23 structurally different substrates, exhibiting high functional group tolerance.
In recent years, Cibulka’s group has been involved in the study of ethylene-bridged flavinium salts (FI+), which demonstrated enhanced photostability and improved catalytic properties compared with other flavinium derivatives in the oxidation of electron-deficient benzylic substrates to carboxylic acids (Scheme 5) [46,47].
Scheme 5.
Photo/organocatalytic oxygenation of alkyl arenes promoted by the FI+ photocatalyst.
FI+ acts with a tandem photo-organo catalytic mechanism. Indeed, upon excitation, FI+ oxidizes the substrate to the corresponding aldehyde in the presence of O2. Then, the reduced photocatalyst is restored by O2, generating H2O2 as a byproduct. However, FI+ can react with H2O2 to generate the corresponding flavin hydroperoxides with a monooxygenase-like behavior. The broad substate scope was examined, affording satisfactory to good yields in 16 h.
The direct oxygenation of saturated hydrocarbons to synthesize fine materials in the chemical industry is a challenging process and it generally requires harsh conditions [48,49]. In 2011, Fukuzumi et al. reported the first example of the aerobic metal-free-promoted oxygenation of cyclohexane with visible light irradiation, using Acr+-Mes in acetonitrile amongst a sub-stoichiometric amount of HCl (Scheme 6a) [50].
Scheme 6.
Cyclohexane oxygenation promoted by (a) Acr+-Mes [50] and (b) PXQ [51].
Cyclohexanol and cyclohexanone were obtained with good selectivity in 3 h with a 7% quantum yield. More recently, the same authors performed the reaction solventless and with no inorganic acid, using 0.02% of p-xyloquinone (PXQ) photocatalyst (Scheme 6b) [51]. In these conditions, 22% of the cyclohexane was converted in 26 h, and cyclohexyl hydroperoxide, cyclohexanol, and cyclohexanone were obtained with a 4.5:1.4:1 ratio. A high quantum yield and good photocatalytic performances were obtained for the linear and branched alkanes. Although long reaction times were needed and unsatisfactory conversions and selectivity were achieved, this method is surely promising in terms of sustainability, since it requires only the use of cyclohexane, dioxygen, visible light, and photocatalyst to afford valuable oxygenated products in mild conditions.
2.2. Alkene Oxygenation
The dihydroxylation of alkenes is one of the classical methods to achieve 1,2-diols, biologically active molecules with pharmaceutical interest [52,53]. Acr+-Mes proved to be a powerful photocatalyst to promote the selective aerobic oxygenation of alkenes to 1,2-diols (Scheme 7) [54].
Scheme 7.
Visible-light-induced alkene dihydroxylation, catalyzed by Acr+-Mes.
Reactions carried out under visible light irradiation in acetonitrile in the presence of water and a weakly basic medium led to good yields (46–90%) in 6 h with a broad substrate scope. Scavenging experiments indicated an electron-transfer radical mechanism, and studies performed with H218O suggested that one hydroxy group comes from water and the other from molecular oxygen. Similarly, Chen’s group proposed Rose Bengal as a photocatalyst for alkene oxidation in the presence of pyridine and N-hydroxyphthalimide (Scheme 8) [55].
Scheme 8.
Two-step visible-light-induced alkene dihydroxylation, catalyzed by Rose Bengal.
Despite the good efficiency (53–83% yield), such a method requires an additional hydrolysis step to obtain 1,2-diol; moreover, it is not suitable for the dioxygenation of inactivated alkenes or in the presence of an ester group. In 2018, Oliveira’s group studied the continuous aerobic endoperoxidation of conjugated dienes, promoted by tetraphenylporphyrin (TPP) (Scheme 9) [56].
Scheme 9.
Photocatalytic aerobic endoperoxidation of conjugated dienes, promoted by TPP, followed by Kornblum–DeLaMare (KDM) rearrangement to afford essential synthons.
Reactions were carried out in flow by irradiating the reaction mixture with a white LED under an oxygen atmosphere. In this process, TPP in its triplet excited state interacted with O2 through an energy transfer process, generating singlet oxygen as an active oxidizing species. The latter reacted with the conjugated diene to form the corresponding endoperoxides. Photooxygenation showed good yields (ca. 60%) with 0.4% mol of TPP loading and a throughput of 7.7 g/day. Endoperoxidation was followed by the Kornblum–DeLaMare (KDM) rearrangement in the presence of 1,8-diazabiciclo[5.4.0]undec-7-ene (DBU) or triethylamine to synthesize C-H-oxidized relevant synthons, such as furans, diketones, enones, and tropones. The efficiency of the 1,6-pyrenedione (1,6-PYD) metal-free photocatalyst for the selective oxygenation of 1,1-dicyanoalkenes to epoxides was recently explored (Scheme 10) [57].
Scheme 10.
Electron-deficient alkene epoxidation promoted by the 1,6-PYD photocatalyst.
Reactions carried out in 2-propanol with 5% of 1,6-PYD and O2, under blue LED irradiation proceeded with good to excellent yields (51–98%) and high functional group tolerance. Scavenging experiments proved the presence of superoxide anion as an oxidizing active species. However, only electron-deficient alkenes were examined, and no examples of unsubstituted or activated alkenes were provided. Alkene oxidation to allylic alcohols or α,β-unsaturated carbonyl compounds is a remarkable synthetic organic transformation [58]. Recently, Rose Bengal was exploited as a metal-free photocatalyst to perform allylic C-H bond photooxygenation (Scheme 11).
Scheme 11.
Rose-Bengal-promoted allylic C-H bond photooxygenation.
This method used oxygen as a green oxidizing agent, tetrabutylammonium bromide (TBAB) as a HAT co-catalyst, and visible light to yield functionalized enones. Good to excellent yields (45–91%) were achieved in 4–8 h on differently substituted substrates, including pharmaceutically relevant compounds.
2.3. Alkyne Oxygenation to 1,2-Diketones
The synthons 1,2-diketones are essential precursors in the synthesis of azacyclic molecules [59,60] and bioactive compounds [61]. Alkyne oxygenation is considered one of the best performing strategies to afford 1,2-diketones. In the context of metal-free visible-light-promoted oxygenations, in 2016, Sun’s group reported the aerobic photooxygenation of alkynes to 1,2-diketones, catalyzed by Eosin Y (Scheme 12) [62].
Scheme 12.
Aerobic photooxygenation to 1,2-diketones promoted by (a) Eosin Y [62] and (b) DCA [63].
Reactions were carried out in acetonitrile for 8 h in the presence of two equivalents of 4-chlorobenzenethiol. Good to excellent yields were achieved on a series of different substrates; interestingly, the photocatalytic efficiency of such a system was higher than the traditional metal-based Ru(bpy)3Cl-6H2O photocatalyst. Mechanistic studies pointed out the presence of a radical-type pathway, in which superoxide anion was involved. The only limitation of such an oxidative protocol is related to the use of 4-chlorobenzenethiol as an additive, which has an essential role in triggering the radical chain. More recently, dicyanoanthracene (DCA) was investigated as a photocatalyst for the alkyne photooxygenation to 1,2-diketones [63]. The reactions were performed in DCM:DMF (2:1 v/v) in presence of 0.5 equivalents of trifluoroacetic acid (TFA) as an additive, and two equivalents of biphenyl redox mediator as a co-sensitizer (BP). TFA proved to be essential in increasing product yield, while BP was useful in reducing reaction time. However, very long reaction times were required to afford low to moderate yields.
2.4. Aromatic Oxygenation
Fukuzumi et al. in 2004 reported anthracene selective oxidation to anthraquinone, promoted by visible light under O2, using metal-free Acr+-Mes photocatalyst (Scheme 13) [64].
Scheme 13.
Mechanism of aerobic photooxygenation of anthracenes to quinones promoted by Acr+-Mes.
Mechanistic studies proved the presence of an electron transfer mechanism, in which the photocatalyst in the excited state oxidized anthracene, generating anthracene radical cations. Consequently, the reduced photocatalyst interacted with molecular oxygen, generating superoxide anion and restoring the catalytic cycle. A direct reaction between superoxide anion and anthracene radical cation caused the generation of epidioxyanthracene intermediate, which was further oxidized to quinone by the excited photocatalyst, producing hydrogen peroxide. The reactions were performed for three anthracene derivatives in acetonitrile with 10% of the photocatalyst, and 75–99% yields of epidioxyanthracene were achieved in 10 min. Thus, with this interesting approach, by using light, oxygen, and an organic catalyst, it was possible to obtain valuable anthraquinones.
Later, the same group investigated the selective oxidation of benzene to phenol, promoted by 3-cyano-1-methyl quinolinium (QuCN+) (Scheme 14) [65].
Scheme 14.
Benzene oxidation to phenol promoted by QuCN+ in an oxygen atmosphere.
Photooxidation was carried out on a gram-scale with benzene (2.3 g, 29 mmol), 3% QuCN+, and water (0.2 mmol) in O2-saturated acetonitrile under visible light irradiation. In these conditions, 1.1 g of phenol (a 41% yield) was obtained after 48 h, an appreciable result considering the mild reaction conditions applied and the absence of over-oxidation products. Importantly, mechanistic investigations pointed out that the hydroxyl group comes from water, while molecular oxygen re-oxidizes the reduced photocatalyst to restore the catalytic cycle. TPP was also used as a photocatalyst for the aerobic endoperoxidations of α-naphthols to yield naphthoquinones through singlet oxygen generation (Scheme 15) [66].
Scheme 15.
Continuous-flow photocatalytic naphthol endoperoxidation promoted by TPP in oxygen atmosphere.
Importantly, this procedure can be used also to produce valuable compounds on a gram-scale. Reactions were performed on 11 derivatives in batch (a 7–20% yield) and continuous-flow conditions (an up to 82% yield). Continuous-flow reactions showed improved selectivity since minor by-products were obtained, thus simplifying product isolation.
2.5. Oxidative C-C and C=C Cleavage
The selective cleavage and late-stage functionalization of C–C bonds have a substantial impact in the organic synthesis for the production of complex molecules [67], as well as in medicinal chemistry [68]. However, the high dissociation bond energy and the stability of C-C bonds make this process challenging, and, in general, the use of a metal-based catalyst is needed [69]. 4CzIPN was recently studied as an organic photocatalyst for the selective C-C bond oxidative cleavage (Scheme 16) [70].
Scheme 16.
N-aryl morpholine aerobic C(sp3)-C(sp3) oxidative cleavage promoted by 4CzIPN.
In this study, 29 N-aryl morpholine derivatives were tested, showing low to good yields (13–83%) but significant functional group tolerance. Nevertheless, this protocol was not successful for N-alkyl morpholine derivatives because Calkyl–N bond cleavage was obtained instead of the ring opening product. Olefin C=C bond oxidative cleavage is a hot topic in photochemistry. In fact, recently, several visible-light-promoted systems for alkene C=C cleavage have been developed, using riboflavin tetraacetate, Eosin Y, disulfide charge transfer, sodium benzene sulfinate, or nitroarene [71,72,73,74,75]. In 2021, Zhang et al. reported a mild and efficient procedure for the aerobic oxidative cleavage of olefines to ketones using Rose Bengal metal-free photocatalyst under visible light irradiation in the presence of 0.5 equivalents of acetic acid (Scheme 17) [76].
Scheme 17.
Alkene aerobic oxidative cleavage to ketones promoted by Rose Bengal photocatalyst.
Reactions were carried out in water, and added-value carbonyl products were obtained with good to excellent yields (40–95%) in 48 h. In addition, reactions could be efficiently scaled up on a gram-scale; 1,1-diphenylethylene was converted to benzophenone with a 64% yield after 48 h, thus demonstrating the potential industrial applicability of such a protocol.
2.6. Amine Oxygenation
Amine α-oxygenation products are valuable building blocks in organic synthesis and interesting molecules for pharmaceutical, agrochemical, and photovoltaic applications [77,78,79,80,81]. In recent years, several metal-free photocatalysts have been evaluated for the aerobic photooxygenation of tertiary amines to amides. In 2019, Singh’s group described the use of Eosin Y to promote the aerobic oxidation of tertiary amines conjugated with pyridine functionality through a single-electron-transfer mechanism (Scheme 18a) [82].
Scheme 18.
Aerobic photooxygenation of tertiary amines to amides promoted by (a) Eosin Y [82] and (b) Rose Bengal [83,84].
This procedure showed good catalytic efficiency (16 substrates, 70–95% yields, in 1–4 h). The use of atmospheric oxygen as an oxidant, Eosin Y as a metal-free photocatalyst, and visible light irradiation outlined the sustainability of such an approach. Later, in 2020, Das and co-workers reported the use of Rose Bengal photocatalyst in the α-oxygenation of differently substituted 1-benzylpiperidines [83,84], showing a broad substrate scope (Scheme 18b). This methodology was suitable for the synthesis of natural products and for the late-stage selective oxygenation of drugs. Additionally, the oxygenation of N-substituted piperidines, 1-benzylpyrrolidine, N,N-dimethylbenzylamine, N-substituted tetrahydroquinoline, and N-substituted tetrahydroisoquinoline was investigated, obtaining the corresponding amides in good to excellent yields (51–99%). This protocol, despite its versatility, required the use of 1,5-diazabicyclo(4.3.0)non-5-ene (DBN) as a base and longer reaction times (16–48 h) if compared with the Eosin-Y-catalyzed protocol [82]. Recently, Anandhan’s group reported, for the first time, the direct α-oxygenation of amines to imides using the Acr+-Mes organic photocatalyst (Scheme 19) [85].
Scheme 19.
Acr+-Mes-photocatalyzed aerobic photooxygenation of N,N-dibenzylanilines to imides.
The photooxygenation of more than 20 N,N-dibenzylanilines was carried out in acetone in the presence of five equivalents of acetic acid and 5% of the photocatalyst under blue LED irradiation in just 1 h with satisfactory to good yields (30–92%). Mechanistic studies pointed out the presence of an electron transfer mechanism, which is typical for acridinium-promoted oxygenation processes. Despite its potential practical applicability, such a method is not effective for the oxygenation of heteroaryl and aliphatic amines and electron-deficient N,N-dibenzylamines.
9,10-dicyanoanthracene-2,6-disulfonamide (DCAS) was recently investigated as a metal-free photocatalyst to perform the late-stage photooxygenation of trialkylamines to N-formamides in continuous flow under blue LED irradiation (Scheme 20) [86].
Scheme 20.
Continuous-flow-DCAS-promoted photocatalytic oxygenation of trialkylamines to N-formamides.
Indeed, the direct C–H oxidation of the N–CH3 group of trialkylamines to the N-formyl group is an interesting process, since these products are relevant in biomedical applications and valuable intermediates in organic synthesis [87,88,89]. Generally, metal-based catalysts are required in such transformations [90,91]. However, in this procedure, the direct N–CH3 oxygenation to N-formyl was accomplished using a metal-free photocatalyst. The reaction could be performed on several substrates in continuous-flow conditions in acetonitrile with 5% of the photocatalyst, affording high selectivity and good yields (15–68%). This protocol is unsuitable for the oxygenation of benzylic amines and trialkylamines containing benzylic alcohols or free carboxylic acids. Mechanistic studies proved an energy transfer mechanism, in which singlet oxygen was the active oxidizing species. Lu et al. in 2016 described the visible-light-driven oxygenation of primary amines to carboxylic acids and lactones, promoted by Rose Bengal (Scheme 21) [92].
Scheme 21.
Primary amine photooxygenation to carboxylic acids or lactones, catalyzed by Rose Bengal.
This process occurred via an electron transfer and energy transfer cooperative mechanism, through an oxidative ring opening followed by C=C oxidation. The reactions were performed with 2% of the photocatalyst, obtaining satisfactory yields in 24–48 h and an interesting tunability. In fact, the aerobic oxidation of primary amines led to the corresponding carboxylic acids working with an 18 W compact fluorescent light bulb (CFL) in dioxane, while lactones were obtained using an 8 W green LED in DMF at 47 °C.
2.7. Indole Oxygenation
The oxidative de-aromatization of N-heteroaromatic compounds is a smart tool for the synthesis of added-value bio-active products [93]. A dicyanopyrazine photocatalyst (DPZ) was recently investigated for the aerobic oxygenation of indoles to afford interesting bio-active compounds (Scheme 22) [94].
Scheme 22.
pH and inorganic salt-tunable DPZ-promoted aerobic indole photooxygenation.
The authors demonstrated that the electrochemical properties of DPZ could be tuned by switching the reaction pH and using diverse inorganic salts as additives. Reactions proceeded through an electron transfer mechanism, with the generation of superoxide anion or through an energy transfer oxidative pathway via singlet oxygen. This protocol showed high photocatalytic performances, converting indoles and double-substituted indoles to added-value N-heterocyclic products, including isatins, tryptanthrin, 2-methoxy-3-oxoindoles, and benzo-oxazinones. Similar performances were obtained by Das and co-workers using Rose Bengal (Scheme 23) [95].
Scheme 23.
Indole and pyrrole light-driven oxygenation catalyzed by Rose Bengal.
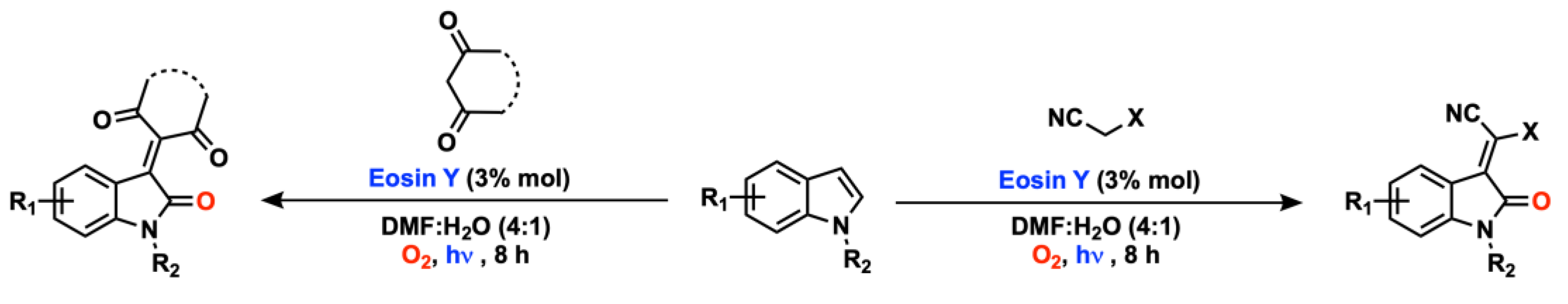
Reactions were carried out in an oxygen atmosphere in DMF:H2O (9:1 v/v) in 16–48 h with 3% of the photocatalyst. Such a procedure was suitable for pyrrole oxidative de-aromatization to afford cyclic imides in a one-pot reaction. A broad substrate scope was reported (38 derivatives), obtaining pharmaceutically relevant compounds, such as 7-azaisatin, an anticancer drug, which was synthetized on a gram-scale in 45 h. More recently, Singh et al. investigated the light-driven aerobic oxidative coupling of indole and activated methylene compounds (e.g., malononitrile, ethyl acetoacetate, dimedone, and barbituric acid) to afford valuable building blocks for the synthesis of spiro-oxindoles, biologically active compounds (Scheme 24) [96].
Scheme 24.
Eosin-Y-promoted photooxidative coupling of indoles with activated methylene compounds.
Reactions performed with 3% Eosin Y in DMF:H2O (4:1 v/v) displayed remarkable selectivity and good yields in mild conditions.
2.8. Triaryl Phosphine Oxygenation
Phosphine oxides are relevant intermediates in organic synthesis and valuable building blocks for the synthesis of drugs [97,98,99]. In 2017, Guo and co-workers described the visible-light-enabled photooxidation of triaryl phosphines to phosphine oxides, promoted by Eosin Y (Scheme 25) [100].
Scheme 25.
Triaryl phosphine aerobic oxygenation to phosphine oxides, promoted by (a) Eosin Y [100], (b) Rose Bengal [101], and (c) DBAB [102].
Reactions were performed in DCM:MeOH (5:1 v/v) using 1% of the photocatalyst. Scavenging experiments proved the presence of an energy transfer mechanism, where singlet oxygen was the active oxidizing species. More recently, the same group investigated such reactions by using 4-phenylthioxanthone (4-PhTXT) as a photocatalyst in methanol, obtaining a quantitative conversion to the oxygenated product in a shorter reaction time (e.g., triphenylphosphine oxide was achieved in 40 min compared with 3.5 h required for Eosin Y) [101]. Mechanistic investigations pointed out the presence of a merged energy- and electron-transfer mechanism. Remarkably, the 4-PhTXT photocatalyst was suitable in the oxidation of different mono-, di- and tri-alkyl phosphines, and the reactions were accomplished on a gram-scale in 9 h. Agou et al. recently studied the triaryl phosphine aerobic photooxygenation promoted by a dibenzo-fused 1,4-azaborine (DBAB) photocatalyst, which occurred through singlet oxygen formation [102]. Compared with Eosin Y and 4-PhTXT, the reactions catalyzed by DBAB required longer reaction times (8–10 h); in addition, such a catalyst was unsuitable for the oxidation of alkyl phosphine derivatives, but it was effective in the oxidation of 2,2′-bis(diphenylphosphino)-1,1′-binaphthyl (BINAP) substrates.
2.9. Silane Oxygenation
Silanols are essential synthons in organic synthesis [103,104,105] and potential bioactive fragments in pharmaceutical applications [106,107]. The direct oxidation of silanes is the most effective and sophisticated strategy to produce silanols with high selectivity [108,109]. However, traditional methods require the use of stoichiometric oxidizing agents [110]. Recently, metal-based photocatalysts have been explored to perform aerobic silane oxygenation in sustainable conditions [111,112,113]. However, only two examples of the organo-photocatalyst-enabling silane oxidation to silanols have been reported (Scheme 26) [114,115].
Scheme 26.
Visible-light-driven aerobic silane oxygenation to silanols, promoted by (a) Rose Bengal [114] and (b) Eosin Y [115].
In that respect, He et al. developed for the first time a metal-free protocol using a 2% Rose Bengal photocatalyst (Scheme 26a) [114]. Silane oxygenation was performed in THF using water as an additive via an energy-transfer- and electron-transfer-combined mechanism. A wide substrate scope was analyzed, showing appreciable functional group tolerance with excellent yields (92–99%) in 12 h. Additionally, triphenylsilane was quantitatively converted to the corresponding silanol on a gram-scale in 12 h. Later, Gui and co-workers developed a mild and fast procedure to oxygenate silanes to silanols using 1% Eosin Y (Scheme 26b) [115]. Photooxygenation was performed under an air atmosphere in a chlorinated solvent, obtaining excellent yields (71–99%) in just 30 min. Moreover, triphenylsilane oxygenation was performed on a gram-scale, obtaining the corresponding silanol with a 92% yield, just prolonging the reaction time to 1 h. The promising photocatalytic efficiency together with the mild reaction conditions make this protocol also suitable for industrial application.
2.10. Thioether Oxygenation to Sulfoxides
Sulfoxides are bioactive molecules of pharmaceutical interest [116,117,118] and valuable intermediates in organic synthesis [119,120]. Thioether oxidation using the traditional oxidants in a stoichiometric amount is the most straightforward method to synthetize sulfoxides [121,122,123]. Recently, several metal-free photocatalysts have been explored to promote thioether oxygenation [124,125,126,127,128,129,130,131,132,133,134]; among them, good performances were achieved using thioxanthone derivatives as organic photocatalysts [132,133]. In particular, in 2018, Guo and co-workers described the selective oxidation of thioethers to sulfoxides promoted by 4-PhTXT in methanol, obtaining good yields in 5–40 h (Scheme 27a) [132].
Scheme 27.
Selective thioether oxidation to sulfoxides, promoted by (a) 4-PhTXT [132], (b) 2-ClTXT [133], and (c) KuQ [134] organo-photocatalysts.
More recently, Xu et al. reported the 2-chlorothioxanthone (2-ClTXT)-catalyzed thioether photooxygenation (Scheme 27b) [133]. Here, reactions performed in 1,1,1-3,3,3-hexafluoro-2-propanol (HFIP) selectively led to the corresponding sulfoxides, while sulfones were obtained using acetonitrile as the solvent. Notwithstanding the wide substrate scope and the good yields obtained, such methods still present significant limitations, such as long reaction times [132,133]. Our group recently proposed the use of KuQuinone (KuQ) as a homogeneous photocatalyst for the oxidation of thioethers selectively to sulfoxides in HFIP (Scheme 27c) [134]. Molecular oxygen and visible light were the required reagents to afford aliphatic, cyclic, diaryl, and heteroaromatic sulfoxides with high yields (91->99%) in short reaction times (1–2 h) using a 0.5% KuQ photocatalyst. High functional group tolerance was observed, also in the presence of redox-labile substituents, and no over-oxidation products were detected. Remarkably, the KuQ photocatalyst could be recycled and reused for at least 20 runs, reaching a TON > 4000, showing unique robustness, which is a rare feature for organic photocatalysts.
3. Conclusions
Photooxygenation reactions represent a clear example of the effective applicability of sustainable methods in organic synthesis. In this context, organo-photocatalysis is turning out to be an effective alternative to metal catalysis, showing in some cases even better efficiency. Moreover, with respect to their metal counterparts, organic photocatalysts do not require controlled pressure or temperature conditions, and they are not sensitive to moisture. Indeed, Acr+-Mes, Eosin Y, 4CzIPN, and Rose Bengal are frequently adopted for the oxygenation of alkanes, alkenes, alkynes, aromatic compounds, amines, phosphines, silanes, and thioethers, leading to valuable organic compounds in mild reaction conditions.
However, research is still ongoing in this field, and future perspectives point towards:
- -
- The heterogenization of organic photocatalysts on inert solid supports or their encapsulation into nano-porous systems. Heterogenization ensures efficient catalyst recovery, thus improving process efficiency and sustainability. In particular, catalyst recovery and reuse are aimed to enhance TONs, likely allowing for organic photocatalyst applications at the industrial level.
- -
- The development of additive-free photocatalytic systems. Photocatalytic reactions often require the use of electron/hole sacrificial additives in order to trigger or boost redox pathways. Considering the high versatility of organic photocatalysts, future challenges are intended to avoid the use of additives through appropriate organic photocatalyst structural modifications.
- -
- The design of tandem oxidative-reductive processes. Following the oxidation of an organic substrate, the reduced photocatalyst participates in a subsequent redox process to restore the native photocatalyst.
Such features undoubtedly highlight the organo-photocatalysis potential future for sustainable chemistry synthetic applications, even feasibly with direct solar light irradiation.
Author Contributions
Conceptualization, P.G., M.F., F.S. and V.C.; investigation, M.F. and F.V.; data curation, M.F.; writing—original draft preparation, M.F.; writing—review and editing, F.S., V.C. and P.G.; supervision, V.C. and P.G.; project administration, P.G.; funding acquisition, P.G. and F.S. All authors have read and agreed to the published version of the manuscript.
Funding
This research received no external funding.
Data Availability Statement
The data presented in this study are available upon request from the corresponding author.
Conflicts of Interest
The authors declare no conflict of interest.
References
- Shaikh, I.R. Organocatalysis: Key Trends in Green Synthetic Chemistry, Challenges, Scope towards Heterogenization, and Importance from Research and Industrial Point of View. J. Catal. 2014, 2014, 402860. [Google Scholar] [CrossRef]
- Ciamician, G. The Photochemistry of the Future. Science 1912, 36, 385–394. [Google Scholar] [CrossRef] [PubMed]
- Anastas, P.T.; Warner, J.C. Green Chemistry: Theory and Practice; Oxford University Press: New York, NY, USA, 1998; p. 30. [Google Scholar]
- Albini, A.; Fagnoni, M. Green Chemistry and Photochemistry Were Born at the Same Time. Green Chem. 2004, 6, 1. [Google Scholar] [CrossRef]
- Shaw, M.H.; Twilton, J.; MacMillan, D.W.C. Photoredox Catalysis in Organic Chemistry. J. Org. Chem. 2016, 81, 6898–6926. [Google Scholar] [CrossRef] [PubMed]
- Xuan, J.; Xiao, W.J. Visible-Light Photoredox Catalysis. Angew. Chem. Int. Ed. 2012, 51, 6828–6838. [Google Scholar] [CrossRef]
- Prier, C.K.; Rankic, D.A.; MacMillan, D.W.C. Visible Light Photoredox Catalysis with Transition Metal Complexes: Applications in Organic Synthesis. Chem. Rev. 2013, 113, 5322–5363. [Google Scholar] [CrossRef]
- Liang, Y.-F.; Jiao, N. Oxygenation via C–H/C–C Bond Activation with Molecular Oxygen. Acc. Chem. Res. 2017, 50, 1640–1653. [Google Scholar] [CrossRef]
- Sideri, I.K.; Voutyritsa, E.; Kokotos, C.G. PhotoOrganocatalysis, Small Organic Molecules and Light in the Service of Organic Synthesis: The Awakening of a Sleeping Giant. Org. Biomol. Chem. 2018, 16, 4596–4614. [Google Scholar] [CrossRef]
- Zhang, Y.; Schilling, W.; Das, S. Metal-Free Photocatalysts for C−H Bond Oxygenation Reactions with Oxygen as the Oxidant. ChemSusChem 2019, 12, 2898–2910. [Google Scholar] [CrossRef]
- Amos, S.G.E.; Garreau, M.; Buzzetti, L.; Waser, J. Photocatalysis with Organic Dyes: Facile Access to Reactive Intermediates for Synthesis. Beilstein J. Org. Chem. 2020, 16, 1163–1187. [Google Scholar] [CrossRef]
- Nicewicz, D.A.; Nguyen, T.M. Recent Applications of Organic Dyes as Photoredox Catalysts in Organic Synthesis. ACS Catal. 2014, 4, 355–360. [Google Scholar] [CrossRef]
- Ravelli, D.; Fagnoni, M. Dyes as Visible Light Photoredox Organocatalysts. ChemCatChem 2012, 4, 169–171. [Google Scholar] [CrossRef]
- Fukuzumi, S.; Ohkubo, K. Organic Synthetic Transformations Using Organic Dyes as Photoredox Catalysts. Org. Biomol. Chem. 2014, 12, 6059–6071. [Google Scholar] [CrossRef] [PubMed]
- Tlili, A.; Lakhdar, S. Acridinium Salts and Cyanoarenes as Powerful Photocatalysts: Opportunities in Organic Synthesis. Angew. Chem. Int. Ed. 2021, 60, 19526–19549. [Google Scholar] [CrossRef] [PubMed]
- Bosveli, A.; Montagnon, T.; Kalaitzakis, D.; Vassilikogiannakis, G. Eosin: A Versatile Organic Dye Whose Synthetic Uses Keep Expanding. Org. Biomol. Chem. 2021, 19, 3303–3317. [Google Scholar] [CrossRef]
- Sharma, S.; Sharma, A. Recent advances in photocatalytic manipulations of Rose Bengal in organic synthesis. Org. Biomol. Chem. 2019, 17, 4394–4405. [Google Scholar] [CrossRef]
- Srivastava, V.; Singh, P.K.; Srivastava, A.; Singh, P.P. Synthetic Applications of Flavin Photocatalysis: A Review. RSC Adv. 2021, 11, 14251–14259. [Google Scholar] [CrossRef]
- Cervantes-González, J.; Vosburg, D.A.; Mora-Rodriguez, S.E.; Vázquez, M.A.; Zepeda, L.G.; Villegas Gómez, C.; Lagunas-Rivera, S. Anthraquinones: Versatile Organic Photocatalysts. ChemCatChem 2020, 12, 3811–3827. [Google Scholar] [CrossRef]
- Nikitas, N.F.; Gkizis, P.L.; Kokotos, C.G. Thioxanthone: A Powerful Photocatalyst for Organic Reactions. Org. Biomol. Chem. 2021, 19, 5237–5253. [Google Scholar] [CrossRef]
- Iqbal, S.; Amjad, A.; Javed, M.; Alfakeer, M.M.; Rabea, S.; Elkaeed, E.B.; Pashameah, R.A.; Alzahrani, E.; Farouk, A.E. Boosted spatial charge carrier separation of binary ZnFe2O4/S-g-C3N4 heterojunction for visible-light-driven photocatalytic activity and antimicrobial performance. Front. Chem. 2022, 10, 975355. [Google Scholar] [CrossRef]
- Wang, X.; Blechert, S.; Antonietti, M. Polymeric Graphitic Carbon Nitride for Heterogeneous Photocatalysis. ACS Catal. 2012, 2, 1596–1606. [Google Scholar] [CrossRef]
- Ismael, M. A review on graphitic carbon nitride (g-C3N4) based nanocomposites: Synthesis, categories, and their application in photocatalysis. J. Alloys Comp. 2020, 846, 156446. [Google Scholar] [CrossRef]
- Zhou, L.; Zhang, H.; Sun, H.; Liu, S.; Tade, M.O.; Wang, S.; Jin, W. Recent advances in non-metal modification of graphitic carbon nitride for photocatalysis: A historic review. Catal. Sci. Technol. 2016, 6, 7002–7023. [Google Scholar] [CrossRef]
- Marin, M.L.; Santos-Juanes, L.; Arques, A.; Amat, A.M.; Miranda, M.A. Organic Photocatalysts for the Oxidation of Pollutants and Model Compounds. Chem. Rev. 2012, 112, 1710–1750. [Google Scholar] [CrossRef]
- Li, Q.; Li, F. Recent Advances in Molecular Oxygen Activation via Photocatalysis and Its Application in Oxidation Reactions. Chem. Eng. J. 2021, 421, 129915. [Google Scholar] [CrossRef]
- Bäckvall, J.E. Modern Oxidation Methods, 2nd ed.; Wiley-VCH: Weinheim, Germany, 2010; pp. 1–465. [Google Scholar] [CrossRef]
- Poulos, T.L. Heme Enzyme Structure and Function. Chem. Rev. 2014, 114, 3919–3962. [Google Scholar] [CrossRef]
- Tang, C.; Qiu, X.; Cheng, Z.; Jiao, N. Molecular Oxygen-Mediated Oxygenation Reactions Involving Radicals. Chem. Soc. Rev. 2021, 50, 8067–8101. [Google Scholar] [CrossRef]
- Zhang, X.; Rakesh, K.P.; Ravindar, L.; Qin, H.L. Visible-Light Initiated Aerobic Oxidations: A Critical Review. Green Chem. 2018, 20, 4790–4833. [Google Scholar] [CrossRef]
- Metz, M.; Solomon, E.I. Dioxygen Binding to Deoxyhemocyanin: Electronic Structure and Mechanism of the Spin-Forbidden Two-Electron Reduction of O2. J. Am. Chem. Soc. 2001, 123, 4938–4950. [Google Scholar] [CrossRef]
- Vo, N.T.; Mekmouche, Y.; Tron, T.; Guillot, R.; Banse, F.; Halime, Z.; Sircoglou, M.; Leibl, W.; Aukauloo, A. A Reversible Electron Relay to Exclude Sacrificial Electron Donors in the Photocatalytic Oxygen Atom Transfer Reaction with O2 in Water. Angew. Chem. Int. Ed. 2019, 58, 16023–16027. [Google Scholar] [CrossRef]
- Romero, E.; Gómez Castellanos, J.R.; Gadda, G.; Fraaije, M.W.; Mattevi, A. Same Substrate, Many Reactions: Oxygen Activation in Flavoenzymes. Chem. Rev. 2018, 118, 1742–1769. [Google Scholar] [CrossRef]
- Qian, K.; Du, L.; Zhu, X.; Liang, S.; Chen, S.; Kobayashi, H.; Yan, X.; Xu, M.; Dai, Y.; Li, R. Directional Oxygen Activation by Oxygen-Vacancy-Rich WO2 Nanorods for Superb Hydrogen Evolution via Formaldehyde Reforming. J. Mater. Chem. A 2019, 7, 14592–14601. [Google Scholar] [CrossRef]
- Zang, Y.; Gong, L.; Mei, L.; Gu, Z.; Wang, Q. Bi2WO6 Semiconductor Nanoplates for Tumor Radiosensitization through High-Z Effects and Radiocatalysis. ACS Appl. Mater. Interfaces 2019, 11, 18942–18952. [Google Scholar] [CrossRef] [PubMed]
- Brugmans, J.P.; Thienpont, D.C.; van Wijngaarden, I.; Vanparijs, O.F.; Schuermans, V.L.; Lauwers, H.L. Mebendazole in Enterobiasis Radiochemical and Pilot Clinical Study in 1,278 Subjects. JAMA 1971, 217, 313–316. [Google Scholar] [CrossRef] [PubMed]
- Sunshine, A. Analgesic Value of Fenbufen in Postoperative Patients. A Comparative Oral Analgesic Study of Fenbufen, Aspirin, and Placebo. J. Clin. Pharmacol. 1975, 15, 591–597. [Google Scholar] [CrossRef] [PubMed]
- European Food Safety Authority. Conclusion on the Peer Review of the Pesticide Risk Assessment of the Active Substance Pyriofenone. EFS2 2013, 11, 4302. [Google Scholar] [CrossRef]
- Rusch, F.; Schober, J.C.; Brasholz, M. Visible-Light Photocatalytic Aerobic Benzylic C(sp3)−H Oxygenations with the 3DDQ*/tert -Butyl Nitrite Co-Catalytic System. ChemCatChem 2016, 8, 2881–2884. [Google Scholar] [CrossRef]
- Ohkubo, K.; Mizushima, K.; Iwata, R.; Souma, K.; Suzuki, N.; Fukuzumi, S. Simultaneous Production of p-Tolualdehyde and Hydrogen Peroxide in Photocatalytic Oxygenation of p-Xylene and Reduction of Oxygen with 9-Mesityl-10-Methylacridinium Ion Derivatives. Chem. Commun. 2010, 46, 601–603. [Google Scholar] [CrossRef] [PubMed]
- Jiang, D.; Zhang, Q.; Yang, L.; Deng, Y.; Yang, B.; Liu, Y.; Zhang, C.; Fu, Z. Regulating Effects of Anthraquinone Substituents and Additives in Photo-Catalytic Oxygenation of p-Xylene by Molecular Oxygen under Visible Light Irradiation. Renew. Energy 2021, 174, 928–938. [Google Scholar] [CrossRef]
- Morrison, G.; Bannon, R.; Wharry, S.; Moody, T.S.; Mase, N.; Hattori, M.; Manyar, H.; Smyth, M. Continuous Flow Photooxidation of Alkyl Benzenes Using Fine Bubbles for Mass Transfer Enhancement. Tetrahedron Lett. 2022, 90, 153613. [Google Scholar] [CrossRef]
- Zhang, W.; Gacs, J.; Arends, I.W.C.E.; Hollmann, F. Selective Photooxidation Reactions Using Water-Soluble Anthraquinone Photocatalysts. ChemCatChem 2017, 9, 3821–3826. [Google Scholar] [CrossRef] [PubMed]
- Bo, C.; Bu, Q.; Liu, J.; Dai, B.; Liu, N. Photocatalytic Benzylic Oxidation Promoted by Eosin Y in Water. ACS Sust. Chem. Eng. 2022, 10, 1822–1828. [Google Scholar] [CrossRef]
- Shee, M.; Singh, N.D.P. Photogenerated Azido Radical Mediated Oxidation: Access to Carbonyl Functionality from Alcohols, Alkylarenes, and Olefins via Organophotoredox. Adv. Synth. Catal. 2022, 364, 2032–2039. [Google Scholar] [CrossRef]
- Zelenka, J.; Svobodová, E.; Tarábek, J.; Hoskovcová, I.; Boguschová, V.; Bailly, S.; Sikorski, M.; Roithová, J.; Cibulka, R. Combining Flavin Photocatalysis and Organocatalysis: Metal-Free Aerobic Oxidation of Unactivated Benzylic Substrates. Org. Lett. 2019, 21, 114–119. [Google Scholar] [CrossRef] [PubMed]
- Pokluda, A.; Anwar, Z.; Boguschová, V.; Anusiewicz, I.; Skurski, P.; Sikorski, M.; Cibulka, R. Robust Photocatalytic Method Using Ethylene-Bridged Flavinium Salts for the Aerobic Oxidation of Unactivated Benzylic Substrates. Adv. Synth. Catal. 2021, 363, 4371–4379. [Google Scholar] [CrossRef]
- Hermans, I.; Spier, E.S.; Neuenschwander, U.; Turrà, N.; Baiker, A. Selective Oxidation Catalysis: Opportunities and Challenges. Top. Catal. 2009, 52, 1162–1174. [Google Scholar] [CrossRef]
- Musser, M.T. Cyclohexanol and Cyclohexanone. In Ullmann’s Encyclopedia of Industrial Chemistry; Wiley-VCH: Weinheim, Germany, 2010; Volume 11, pp. 49–60. [Google Scholar] [CrossRef]
- Ohkubo, K.; Fujimoto, A.; Fukuzumi, S. Metal-Free Oxygenation of Cyclohexane with Oxygen Catalyzed by 9-Mesityl-10-Methylacridinium and Hydrogen Chloride under Visible Light Irradiation. Chem. Commun. 2011, 47, 8515. [Google Scholar] [CrossRef]
- Ohkubo, K.; Hirose, K.; Fukuzumi, S. Photooxygenation of Alkanes by Dioxygen with p-Benzoquinone Derivatives with High Quantum Yields. Photochem. Photobiol. Sci. 2016, 15, 731–734. [Google Scholar] [CrossRef]
- Tate, E.W.; Dixon, D.J.; Ley, S.V. A Highly Enantioselective Total Synthesis of (+)-Goniodiol. Org. Biomol. Chem. 2006, 4, 1698–1706. [Google Scholar] [CrossRef]
- Liu, Y.; Wang, W.; Zeng, A.P. Biosynthesizing Structurally Diverse Diols via a General Route Combining Oxidative and Reductive Formations of OH-Groups. Nat. Commun. 2022, 13, 1595. [Google Scholar] [CrossRef]
- Yang, B.; Lu, Z. Visible Light-Promoted Dihydroxylation of Styrenes with Water and Dioxygen. Chem. Commun. 2017, 53, 12634–12637. [Google Scholar] [CrossRef]
- Zhang, M.Z.; Tian, J.; Yuan, M.; Peng, W.Q.; Wang, Y.Z.; Wang, P.; Liu, L.; Gou, Q.; Huang, H.; Chen, T. Visible Light-Induced Aerobic Dioxygenation of α,β-Unsaturated Amides/Alkenes toward Selective Synthesis of β-Oxy Alcohols Using Rose Bengal as a Photosensitizer. Org. Chem. Front. 2021, 8, 2215–2223. [Google Scholar] [CrossRef]
- De Souza, J.M.; Brocksom, T.J.; McQuade, D.T.; De Oliveira, K.T. Continuous Endoperoxidation of Conjugated Dienes and Subsequent Rearrangements Leading to C–H Oxidized Synthons. J. Org. Chem. 2018, 83, 7574–7585. [Google Scholar] [CrossRef] [PubMed]
- Zhang, Y.; Yang, X.; Tang, H.; Liang, D.; Wu, J.; Huang, D. Pyrenediones as Versatile Photocatalysts for Oxygenation Reactions with in Situ Generation of Hydrogen Peroxide under Visible Light. Green Chem. 2020, 22, 22–27. [Google Scholar] [CrossRef]
- Liu, C.; Liu, H.; Zheng, X.; Chen, S.; Lai, Q.; Zheng, C.; Huang, M.; Cai, K.; Cai, Z.; Cai, S. Visible-Light-Enabled Allylic C–H Oxidation: Metal-Free Photocatalytic Generation of Enones. ACS Catal. 2022, 12, 1375–1381. [Google Scholar] [CrossRef]
- Zhao, Z.; Wisnoski, D.D.; Wolkenberg, S.E.; Leister, W.H.; Wang, Y.; Lindsley, C.W. General Microwave-Assisted Protocols for the Expedient Synthesis of Quinoxalines and Heterocyclic Pyrazines. Tetrahedron Lett. 2004, 45, 4873–4876. [Google Scholar] [CrossRef]
- Samanta, S.; Roy, D.; Khamarui, S.; Maiti, D.K. Ni(II)–Salt Catalyzed Activation of Primary Amine-sp3Cα–H and Cyclization with 1,2-Diketone to Tetrasubstituted Imidazoles. Chem. Commun. 2014, 50, 2477–2480. [Google Scholar] [CrossRef]
- Irannejad, H.; Nadri, H.; Naderi, N.; Rezaeian, S.N.; Zafari, N.; Foroumadi, A.; Amini, M.; Khoobi, M. Anticonvulsant Activity of 1,2,4-Triazine Derivatives with Pyridyl Side Chain: Synthesis, Biological, and Computational Study. Med. Chem. Res. 2015, 24, 2505–2513. [Google Scholar] [CrossRef]
- Liu, X.; Cong, T.; Liu, P.; Sun, P. Synthesis of 1,2-Diketones via a Metal-Free, Visible-Light-Induced Aerobic Photooxidation of Alkynes. J. Org. Chem. 2016, 81, 7256–7261. [Google Scholar] [CrossRef]
- Qin, H.T.; Xu, X.; Liu, F. Aerobic Oxidation of Alkynes to 1,2-Diketones by Organic Photoredox Catalysis. ChemCatChem 2017, 9, 1409–1412. [Google Scholar] [CrossRef]
- Kotani, H.; Ohkubo, K.; Fukuzumi, S. Photocatalytic Oxygenation of Anthracenes and Olefins with Dioxygen via Selective Radical Coupling Using 9-Mesityl-10-Methylacridinium Ion as an Effective Electron-Transfer Photocatalyst. J. Am. Chem. Soc. 2004, 126, 15999–16006. [Google Scholar] [CrossRef] [PubMed]
- Ohkubo, K.; Kobayashi, T.; Fukuzumi, S. Direct Oxygenation of Benzene to Phenol Using Quinolinium Ions as Homogeneous Photocatalysts. Angew. Chem. Int. Ed. 2011, 50, 8652–8655. [Google Scholar] [CrossRef] [PubMed]
- De Oliveira, K.T.; Miller, L.Z.; McQuade, D.T. Exploiting Photooxygenations Mediated by Porphyrinoid Photocatalysts under Continuous Flow Conditions. RSC Adv. 2016, 6, 12717–12725. [Google Scholar] [CrossRef]
- Morcillo, S.P. Radical-Promoted C−C Bond Cleavage: A Deconstructive Approach for Selective Functionalization. Angew. Chem. Int. Ed. 2019, 58, 14044–14054. [Google Scholar] [CrossRef]
- Bolleddula, J.; Chowdhury, S.K. Carbon–Carbon Bond Cleavage and Formation Reactions in Drug Metabolism and the Role of Metabolic Enzymes. Drug Metabol. Rev. 2015, 47, 534–557. [Google Scholar] [CrossRef]
- Leonard, D.K.; Li, W.; Junge, K.; Beller, M. Improved Bimetallic Cobalt–Manganese Catalysts for Selective Oxidative Cleavage of Morpholine Derivatives. ACS Catal. 2019, 9, 11125–11129. [Google Scholar] [CrossRef]
- Dong, C.; Huang, L.; Guan, Z.; Huang, C.; He, Y. Visible-Light-Mediated Aerobic Oxidative C(sp3)−C(sp3) Bond Cleavage of Morpholine Derivatives Using 4CzIPN as a Photocatalyst. Adv Synth Catal 2021, 363, 3803–3811. [Google Scholar] [CrossRef]
- Singh, A.K.; Chawla, R.; Yadav, L.D.S. Eosin Y Catalyzed Visible Light Mediated Aerobic Photo-Oxidative Cleavage of the C–C Double Bond of Styrenes. Tetrahedron Lett. 2015, 56, 653–656. [Google Scholar] [CrossRef]
- Deng, Y.; Wei, X.J.; Wang, H.; Sun, Y.; Noël, T.; Wang, X. Disulfide-Catalyzed Visible-Light-Mediated Oxidative Cleavage of C=C Bonds and Evidence of an Olefin–Disulfide Charge-Transfer Complex. Angew. Chem. Int. Ed. 2017, 56, 832–836. [Google Scholar] [CrossRef]
- Wan, J.P.; Gao, Y.; Wei, L. Recent Advances in Transition-Metal-Free Oxygenation of Alkene C=C Double Bonds for Carbonyl Generation. Chem. Asian J. 2016, 11, 2092–2102. [Google Scholar] [CrossRef]
- Wise, D.E.; Gogarnoiu, E.S.; Duke, A.D.; Paolillo, J.M.; Vacala, T.L.; Hussain, W.A.; Parasram, M. Photoinduced Oxygen Transfer Using Nitroarenes for the Anaerobic Cleavage of Alkenes. J. Am. Chem. Soc. 2022, 144, 15437–15442. [Google Scholar] [CrossRef] [PubMed]
- Chen, Y.X.; He, J.T.; Wu, M.C.; Liu, Z.L.; Tang, K.; Xia, P.J.; Chen, K.; Xiang, H.Y.; Chen, X.Q.; Yang, H. Photochemical Organocatalytic Aerobic Cleavage of C=C Bonds Enabled by Charge-Transfer Complex Formation. Org. Lett. 2022, 24, 3920–3925. [Google Scholar] [CrossRef] [PubMed]
- Zhang, Y.; Yue, X.; Liang, C.; Zhao, J.; Yu, W.; Zhang, P. Photo-Induced Oxidative Cleavage of C-C Double Bonds of Olefins in Water. Tetrahedron Lett. 2021, 80, 153321. [Google Scholar] [CrossRef]
- Balskus, E.P.; Jacobsen, E.N. α,β-Unsaturated β-Silyl Imide Substrates for Catalytic, Enantioselective Conjugate Additions: A Total Synthesis of (+)-Lactacystin and the Discovery of a New Proteasome Inhibitor. J. Am. Chem. Soc. 2006, 128, 6810–6812. [Google Scholar] [CrossRef] [PubMed]
- Cheng, Z.; Zhu, X.; Kang, E.T.; Neoh, K.G. Modification of Poly(Ether Imide) Membranes via Surface-Initiated Atom Transfer Radical Polymerization. Macromolecules 2006, 39, 1660–1663. [Google Scholar] [CrossRef]
- Sood, A.; Panchagnula, R. Peroral Route: An Opportunity for Protein and Peptide Drug Delivery. Chem. Rev. 2001, 101, 3275–3304. [Google Scholar] [CrossRef]
- Castral, T.C.; Matos, A.P.; Monteiro, J.L.; Araujo, F.M.; Bondancia, T.M.; Batista-Pereira, L.G.; Fernandes, J.B.; Vieira, P.C.; da Silva, M.F.G.F.; Corrêa, A.G. Synthesis of a Combinatorial Library of Amides and Its Evaluation against the Fall Armyworm, Spodoptera Frugiperda. J. Agric. Food Chem. 2011, 59, 4822–4827. [Google Scholar] [CrossRef]
- Forbis, R.M.; Rinehart, K.L. Nybomycin. VII. Preparative Routes to Nybomycin and Deoxynybomycin. J. Am. Chem. Soc. 1973, 95, 5003–5013. [Google Scholar] [CrossRef]
- Srivastava, V.; Singh, P.K.; Singh, P.P. Eosin Y Catalysed Visible-Light Mediated Aerobic Oxidation of Tertiary Amines. Tetrahedron Lett. 2019, 60, 151041. [Google Scholar] [CrossRef]
- Zhang, Y.; Riemer, D.; Schilling, W.; Kollmann, J.; Das, S. Visible-Light-Mediated Efficient Metal-Free Catalyst for α-Oxygenation of Tertiary Amines to Amides. ACS Catal. 2018, 8, 6659–6664. [Google Scholar] [CrossRef]
- Zhang, Y.; Schilling, W.; Riemer, D.; Das, S. Metal-Free Photocatalysts for the Oxidation of Non-Activated Alcohols and the Oxygenation of Tertiary Amines Performed in Air or Oxygen. Nat. Protoc. 2020, 15, 822–839. [Google Scholar] [CrossRef] [PubMed]
- Neerathilingam, N.; Anandhan, R. Metal-Free Photoredox-Catalyzed Direct α-Oxygenation of N,N-Dibenzylanilines to Imides under Visible Light. RSC Adv. 2022, 12, 8368–8373. [Google Scholar] [CrossRef] [PubMed]
- Mandigma, M.J.P.; Žurauskas, J.; MacGregor, C.I.; Edwards, L.J.; Shahin, A.; d’Heureuse, L.; Yip, P.; Birch, D.J.S.; Gruber, T.; Heilmann, J.; et al. An Organophotocatalytic Late-Stage N–CH3 Oxidation of Trialkylamines to N-Formamides with O2 in Continuous Flow. Chem. Sci. 2022, 13, 1912–1924. [Google Scholar] [CrossRef] [PubMed]
- Nakao, Y.; Idei, H.; Kanyiva, K.S.; Hiyama, T. Hydrocarbamoylation of Unsaturated Bonds by Nickel/Lewis-Acid Catalysis. J. Am. Chem. Soc. 2009, 131, 5070–5071. [Google Scholar] [CrossRef]
- Ding, S.; Jiao, N. N,N-Dimethylformamide: A Multipurpose Building Block. Angew. Chem. Int. Ed. 2012, 51, 9226–9237. [Google Scholar] [CrossRef]
- Kohnen-Johannsen, K.; Kayser, O. Tropane Alkaloids: Chemistry, Pharmacology, Biosynthesis and Production. Molecules 2019, 24, 796. [Google Scholar] [CrossRef]
- Nakai, S.; Yatabe, T.; Suzuki, K.; Sasano, Y.; Iwabuchi, Y.; Hasegawa, J.; Mizuno, N.; Yamaguchi, K. Methyl-Selective α-Oxygenation of Tertiary Amines to Formamides by Employing Copper/Moderately Hindered Nitroxyl Radical (DMN-AZADO or 1-Me-AZADO). Angew. Chem. Int. Ed. 2019, 58, 16651–16659. [Google Scholar] [CrossRef]
- Su, J.; Ma, X.; Ou, Z.; Song, Q. Deconstructive Functionalizations of Unstrained Carbon–Nitrogen Cleavage Enabled by Difluorocarbene. ACS Cent. Sci. 2020, 6, 1819–1826. [Google Scholar] [CrossRef]
- Cheng, X.; Yang, B.; Hu, X.; Xu, Q.; Lu, Z. Visible-Light-Promoted Metal-Free Aerobic Oxidation of Primary Amines to Acids and Lactones. Chem. Eur. J. 2016, 22, 17566–17570. [Google Scholar] [CrossRef]
- Eicher, T.; Hauptmann, S.; Speicher, A. The Chemistry of Heterocycles: Structure, Reactions Synthesis and Applications, 2nd ed.; Wiley-VCH: Weinheim, Germany, 2003; pp. 1–556. [Google Scholar] [CrossRef]
- Zhang, C.; Li, S.; Bureš, F.; Lee, R.; Ye, X.; Jiang, Z. Visible Light Photocatalytic Aerobic Oxygenation of Indoles and pH as a Chemoselective Switch. ACS Catal. 2016, 6, 6853–6860. [Google Scholar] [CrossRef]
- Schilling, W.; Zhang, Y.; Riemer, D.; Das, S. Visible-Light-Mediated Dearomatisation of Indoles and Pyrroles to Pharmaceuticals and Pesticides. Chem. Eur. J. 2020, 26, 390–395. [Google Scholar] [CrossRef] [PubMed]
- Kushwaha, A.K.; Maury, S.K.; Kumari, S.; Kamal, A.; Singh, H.K.; Kumar, D.; Singh, S. Visible-Light-Initiated Oxidative Coupling of Indole and Active Methylene Compounds Using Eosin Y as a Photocatalyst. Synthesis 2022, 54, 5099–5109. [Google Scholar] [CrossRef]
- Zhao, D.; Wang, R. Recent Developments in Metal Catalyzed Asymmetric Addition of Phosphorus Nucleophiles. Chem. Soc. Rev. 2012, 41, 2095–2108. [Google Scholar] [CrossRef] [PubMed]
- Clarion, L.; Jacquard, C.; Sainte-Catherine, O.; Loiseau, S.; Filippini, D.; Hirlemann, M.-H.; Volle, J.N.; Virieux, D.; Lecouvey, M.; Pirat, J.L.; et al. Oxaphosphinanes: New Therapeutic Perspectives for Glioblastoma. J. Med. Chem. 2012, 55, 2196–2211. [Google Scholar] [CrossRef] [PubMed]
- Hibner-Kulicka, P.; Joule, J.A.; Skalik, J.; Bałczewski, P. Recent Studies of the Synthesis, Functionalization, Optoelectronic Properties and Applications of Dibenzophospholes. RSC Adv. 2017, 7, 9194–9236. [Google Scholar] [CrossRef]
- Zhang, Y.; Ye, C.; Li, S.; Ding, A.; Gu, G.; Guo, H. Eosin Y-Catalyzed Photooxidation of Triarylphosphines under Visible Light Irradiation and Aerobic Conditions. RSC Adv. 2017, 7, 13240–13243. [Google Scholar] [CrossRef]
- Ding, A.; Li, S.; Chen, Y.; Jin, R.; Ye, C.; Hu, J.; Guo, H. Visible Light-Induced 4-Phenylthioxanthone-Catalyzed Aerobic Oxidation of Triarylphosphines. Tetrahedron Lett. 2018, 59, 3880–3883. [Google Scholar] [CrossRef]
- Kondo, M.; Agou, T. Catalytic Aerobic Photooxidation of Triarylphosphines Using Dibenzo-Fused 1,4-Azaborines. Chem. Commun. 2022, 58, 5001–5004. [Google Scholar] [CrossRef]
- Denmark, S.E. The Interplay of Invention, Discovery, Development, and Application in Organic Synthetic Methodology: A Case Study. J. Org. Chem. 2009, 74, 2915–2927. [Google Scholar] [CrossRef]
- Mewald, M.; Schiffner, J.A.; Oestreich, M. A New Direction in C-H Alkenylation: Silanol as a Helping Hand. Angew. Chem. Int. Ed. 2012, 51, 1763–1765. [Google Scholar] [CrossRef]
- Tran, N.T.; Wilson, S.O.; Franz, A.K. Cooperative Hydrogen-Bonding Effects in Silanediol Catalysis. Org. Lett. 2012, 14, 186–189. [Google Scholar] [CrossRef] [PubMed]
- Kim, J.K.; Sieburth, S. McN. Synthesis and Properties of a Sterically Unencumbered δ-Silanediol Amino Acid. J. Org. Chem. 2012, 77, 2901–2906. [Google Scholar] [CrossRef]
- Franz, A.K.; Wilson, S.O. Organosilicon Molecules with Medicinal Applications. J. Med. Chem. 2013, 56, 388–405. [Google Scholar] [CrossRef]
- Mitsudome, T.; Noujima, A.; Mizugaki, T.; Jitsukawa, K.; Kaneda, K. Supported gold nanoparticlecatalyst for the selective oxidation of silanes to silanols in water. Chem. Commun. 2009, 35, 5302–5304. [Google Scholar] [CrossRef]
- Jeon, M.; Han, J.; Park, J. Catalytic Synthesis of Silanols from Hydrosilanes and Applications. ACS Catal. 2012, 2, 1539–1549. [Google Scholar] [CrossRef]
- Adam, W.; Mello, R.; Curci, R. O-Atom Insertion into Si-H Bonds by Dioxiranes: A Stereospecific and Direct Conversion of Silanes into Silanols. Angew. Chem. Int. Ed. Engl. 1990, 29, 890–891. [Google Scholar] [CrossRef]
- Li, J.; Xu, D.; Shi, G.; Liu, X.; Zhang, J.; Fan, B. Oxidation of Silanes to Silanols with Oxygen via Photoredox Catalysis. ChemistrySelect 2021, 6, 8345–8348. [Google Scholar] [CrossRef]
- Arzumanyan, A.V.; Goncharova, I.K.; Novikov, R.A.; Milenin, S.A.; Boldyrev, K.L.; Solyev, P.N.; Tkachev, Y.V.; Volodin, A.D.; Smol’yakov, A.F.; Korlyukov, A.A.; et al. Aerobic Co or Cu/NHPI-Catalyzed Oxidation of Hydride Siloxanes: Synthesis of Siloxanols. Green Chem. 2018, 20, 1467–1471. [Google Scholar] [CrossRef]
- Li, H.; Chen, L.; Duan, P.; Zhang, W. Highly Active and Selective Photocatalytic Oxidation of Organosilanes to Silanols. ACS Sust. Chem. Eng. 2022, 10, 4642–4649. [Google Scholar] [CrossRef]
- Wang, J.; Li, B.; Liu, L.C.; Jiang, C.; He, T.; He, W. Metal-Free Visible-Light-Mediated Aerobic Oxidation of Silanes to Silanols. Sci. China Chem. 2018, 61, 1594–1599. [Google Scholar] [CrossRef]
- He, P.; Xhang, F.; Si, X.; Jiang, W.; Shen, Q.; Li, Z.; Zhu, Z.; Tang, S.; Gui, Q.W. Visible-light-induced aerobic oxidation of tertiary silanes to silanols using molecular oxygen as an oxidant. Synthesis 2022. [Google Scholar] [CrossRef]
- Zeng, Q.; Gao, S.; Chelashaw, A. Advances in Titanium-Catalyzed Synthesis of Chiral Sulfoxide Drugs. Mini-Reviews in Org. Chem. 2013, 10, 198–206. [Google Scholar] [CrossRef]
- Xu, N.; Zhu, J.; Wu, Y.Q.; Zhang, Y.; Xia, J.Y.; Zhao, Q.; Lin, G.Q.; Yu, H.L.; Xu, J.H. Enzymatic Preparation of the Chiral (S)-Sulfoxide Drug Esomeprazole at Pilot-Scale Levels. Org. Process Res. Dev. 2020, 24, 1124–1130. [Google Scholar] [CrossRef]
- Peng, T.; Cheng, X.; Chen, Y.; Yang, J. Sulfoxide Reductases and Applications in Biocatalytic Preparation of Chiral Sulfoxides: A Mini-Review. Front. Chem. 2021, 9, 714899. [Google Scholar] [CrossRef]
- Yoshida, Y.; Otsuka, S.; Nogi, K.; Yorimitsu, H. Palladium-catalyzed amination of aryl sulfoxides. Org. Lett. 2018, 20, 1134–1137. [Google Scholar] [CrossRef]
- Yang, P.; Xu, W.; Wang, R.; Zhang, M.; Xie, C.; Zeng, X.; Wang, M. Potassium Tert-Butoxide-Mediated Condensation Cascade Reaction: Transition Metal-Free Synthesis of Multisubstituted Aryl Indoles and Benzofurans. Org. Lett. 2019, 21, 3658–3662. [Google Scholar] [CrossRef]
- Venier, C.G.; Squires, T.G.; Chen, Y.Y.; Smith, B.F. Peroxytrifluoroacetic acid oxidation of sulfides to sulfoxides and sulfones. J. Org. Chem. 1982, 47, 3773–3774. [Google Scholar] [CrossRef]
- Colonna, S.; Gaggero, N. Enantioselective oxidation of sulphides by dioxiranes in the presence of bovine serum albumin. Tetrahedron Lett. 1989, 30, 6233–6236. [Google Scholar] [CrossRef]
- Kropp, P.J.; Breton, G.W.; Fields, J.D.; Tung, J.C.; Loomis, B.R. Surface-Mediated Reactions. 8. Oxidation of Sulfides and Sulfoxides with tert-Butyl Hydroperoxide and Oxone. J. Am. Chem. Soc. 2000, 122, 4280–4285. [Google Scholar] [CrossRef]
- Li, Q.; Lan, X.; An, G.; Ricardez-Sandoval, L.; Wang, Z.; Bai, G. Visible-Light-Responsive Anthraquinone Functionalized Covalent Organic Frameworks for Metal-Free Selective Oxidation of Sulfides: Effects of Morphology and Structure. ACS Catal. 2020, 10, 6664–6675. [Google Scholar] [CrossRef]
- Chen, Y.; Hu, J.; Ding, A. Synthesis of an anthraquinone-containing polymeric photosensitizer and its application in aerobic photooxidation of thioethers. RSC Adv. 2020, 10, 10661–10665. [Google Scholar] [CrossRef] [PubMed]
- Jiang, D.; Chen, M.; Deng, Y.; Hu, W.; Su, A.; Yang, B.; Mao, F.; Zhang, C.; Liu, Y.; Fu, Z. 9,10-Dihydroanthracene auto-photooxidation efficiently triggered photo-catalytic oxidation of organic compounds by molecular oxygen under visible light. Mol. Catal. 2020, 494, 111127. [Google Scholar] [CrossRef]
- Dang, C.; Zhu, L.; Guo, H.; Xia, H.; Zhao, J.; Dick, B. Flavin Dibromide as an Efficient Sensitizer for Photooxidation of Sulfides. ACS Sustainable Chem. Eng. 2018, 6, 15254–15263. [Google Scholar] [CrossRef]
- Guo, H.; Xia, H.; Ma, X.; Chen, K.; Dang, C.; Zhao, J.; Dick, B. Efficient Photooxidation of Sulfides with Amidated Alloxazines as Heavy-Atom-Free Photosensitizers. ACS Omega 2020, 5, 10586–10595. [Google Scholar] [CrossRef] [PubMed]
- Li, W.; Xie, Z.; Jing, X. BODIPY photocatalyzed oxidation of thioanisole under visible light. Catal. Commun. 2011, 16, 94–97. [Google Scholar] [CrossRef]
- Li, W.; Li, L.; Xiao, H.; Qi, R.; Huang, Y.; Xie, Z.; Jing, X.; Zhang, H. Iodo-BODIPY: A visible-light-driven, highly efficient and photostable metal-free organic photocatalyst. RSC Adv. 2013, 3, 13417–13421. [Google Scholar] [CrossRef]
- Gao, Y.; Xu, H.; Zhang, Y.; Tang, C.; Fan, W. Visible-light photocatalytic aerobic oxidation of sulfides to sulfoxides with a perylene diimide photocatalyst. Org. Biomol. Chem. 2019, 17, 7144–7149. [Google Scholar] [CrossRef]
- Ye, C.; Zhang, Y.; Ding, A.; Hu, Y.; Guo, H. Visible Light Sensitizer-Catalyzed Highly Selective Photo Oxidation from Thioethers into Sulfoxides under Aerobic Condition. Sci. Rep. 2018, 8, 2205. [Google Scholar] [CrossRef]
- Zhao, B.; Hammond, G.B.; Xu, B. Modulation of Photochemical Oxidation of Thioethers to Sulfoxides or Sulfones Using an Aromatic Ketone as the Photocatalyst. Tetrahedron Lett. 2021, 82, 153376. [Google Scholar] [CrossRef]
- Forchetta, M.; Sabuzi, F.; Stella, L.; Conte, V.; Galloni, P. KuQuinone as a Highly Stable and Reusable Organic Photocatalyst in Selective Oxidation of Thioethers to Sulfoxides. J. Org. Chem. 2022, 87, 14016–14025. [Google Scholar] [CrossRef]
Disclaimer/Publisher’s Note: The statements, opinions and data contained in all publications are solely those of the individual author(s) and contributor(s) and not of MDPI and/or the editor(s). MDPI and/or the editor(s) disclaim responsibility for any injury to people or property resulting from any ideas, methods, instructions or products referred to in the content. |
© 2023 by the authors. Licensee MDPI, Basel, Switzerland. This article is an open access article distributed under the terms and conditions of the Creative Commons Attribution (CC BY) license (https://creativecommons.org/licenses/by/4.0/).


























