Photocatalytic Degradation of Tetracycline Hydrochloride by Mn/g-C3N4/BiPO4 and Ti/g-C3N4/BiPO4 Composites: Reactivity and Mechanism
Abstract
:1. Introduction
2. Results
2.1. Effect of the Mass Fractions of TiO2 and MnCl2 on the Properties of Composites
2.2. Analysis of the Physicochemical Properties of the Photocatalytic Materials
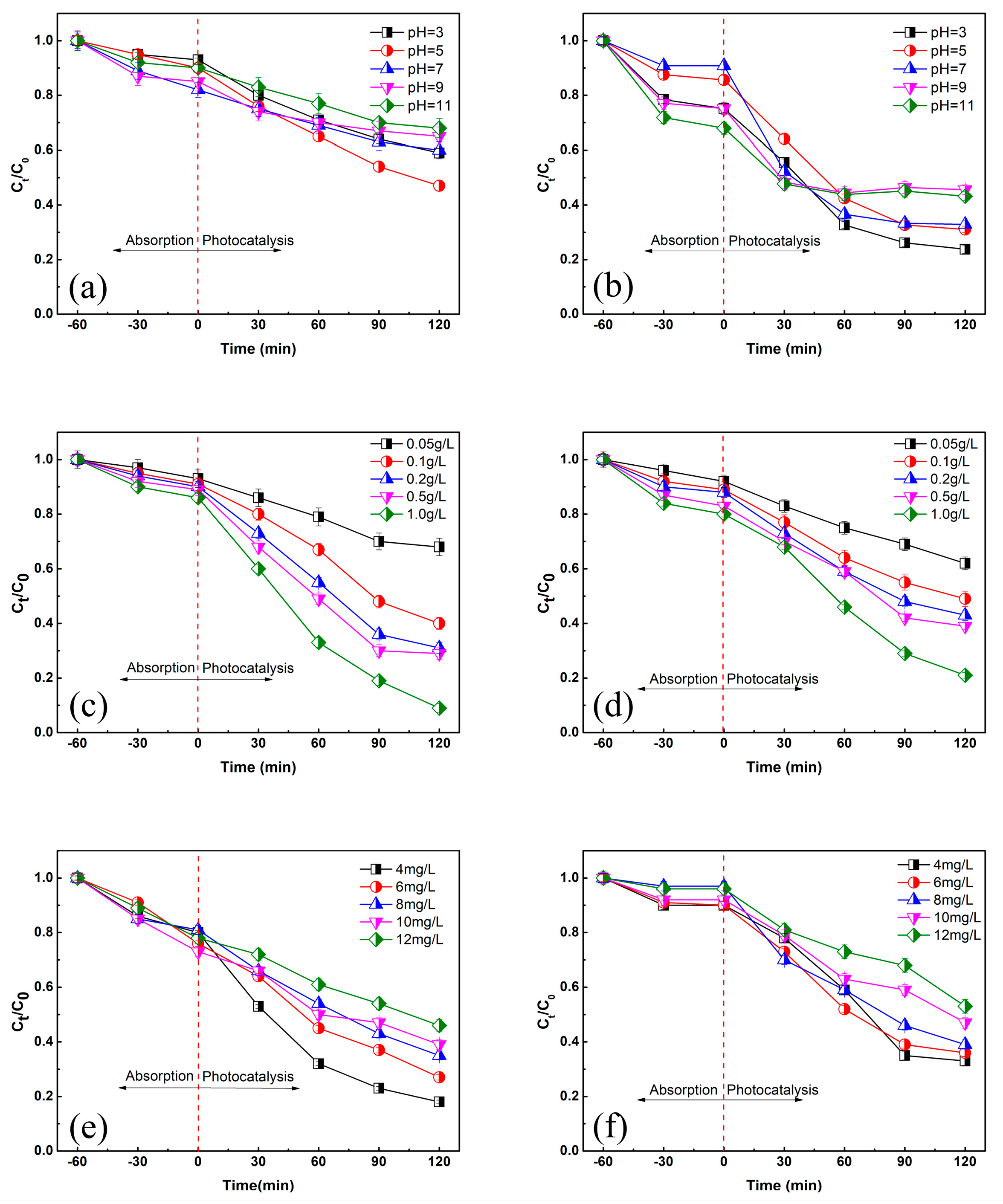
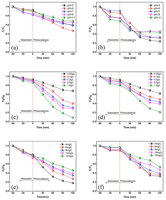
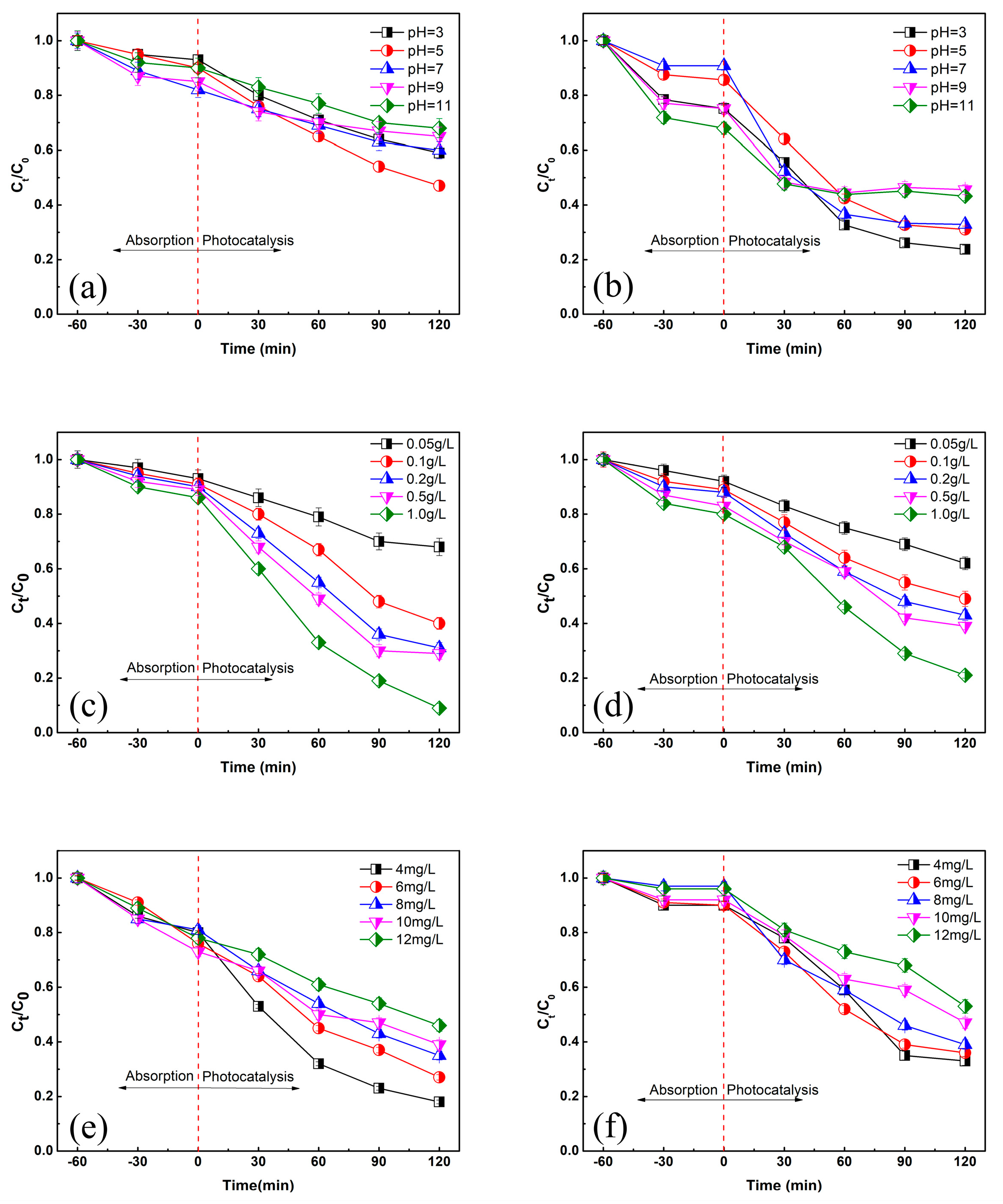
2.3. Degradation of Tetracycline Performance Analysis
3. Discussion
3.1. Photocatalytic Kinetic Analysis
3.2. Analysis of the Capture Experiment of the Active Object Capture Agent
3.3. Analysis of Adsorption Mechanism
4. Materials and Methods
4.1. Materials
4.2. Preparation of Composite Photocatalyst
4.3. Analysis and Testing Methods
4.4. Degradation Experiment
4.4.1. Tube Experiment
4.4.2. Active Substance Capture Experiment
4.5. Study on Photocatalytic Kinetics
5. Conclusions
Supplementary Materials
Author Contributions
Funding
Data Availability Statement
Conflicts of Interest
References
- Ma, J.; Li, B.; Zhou, L.; Zhu, Y.; Li, J.; Qiu, Y. Simple Urea Immersion Enhanced Removal of Tetracycline from Water by Polystyrene. Microspheres Int. J. Environ. Res. Public Health 2018, 15, 1524. [Google Scholar] [CrossRef] [PubMed]
- Xie, X.J.; Zhou, Q.X.; He, Z.C.; Bao, Y.Y. Physiological and potential genetic toxicity of chlortetracycline as an emerging pollutant in wheat (Triticum aestivum L.). Environ. Toxicol. Chem. 2010, 29, 922–928. [Google Scholar] [CrossRef] [PubMed]
- Lu, P.; Fang, Y.; Barvor, J.B.; Neth, N.L.K.; Fan, N.; Li, Z.; Cheng, J. Review of Antibiotic Pollution in the Seven Watersheds in China. Pol. J. Environ. Stud. 2019, 28, 4045–4055. [Google Scholar] [CrossRef] [PubMed]
- Kumar, M.; Jaiswal, S.; Sodhi, K.K.; Shree, P.; Singh, D.K.; Agrawal, P.K.; Shukla, P. Antibiotics bioremediation: Perspectives on its ecotoxicity and resistance. Environ. Int. 2019, 124, 448–461. [Google Scholar] [CrossRef] [PubMed]
- Zhang, Q.Q.; Ying, G.G.; Pan, C.G.; Liu, Y.S.; Zhao, J.L. Comprehensive evaluation of antibiotics emission and fate in the river basins of China: Source analysis, multimedia modeling, and linkage to bacterial resistance. Environ. Sci. Technol. 2015, 49, 6772–6782. [Google Scholar] [CrossRef]
- Rafael, A.H.; Carlos, G.D.; María, A.I.; Gabriel, G.R.; Jaime, C.; Enrique, E. Comparative adsorption of tetracyclines on biochars and stevensite: Looking for the most effective adsorbent. Appl. Clay Sci. 2018, 160, 162–172. [Google Scholar]
- Javid, A.; Mesdaghinia, A.; Nasseri, S.; Mahvi, A.H.; Alimohammadi, M.; Gharibi, H. Assessment of tetracycline contamination in surface and groundwater resources proximal to animal farming houses in Tehran, Iran. J. Environ. Health Sci. Eng. 2016, 14, 4. [Google Scholar] [CrossRef]
- Rizzo, L.; Manaia, C.; Merlin, C.; Schwartz, T.; Dagot, C.; Ploy, M.C.; Michael, I.; Fatta-Kassinos, D. Urban wastewater treatment plants as hotspots for antibiotic resistant bacteria and genes spread into the environment: A review. Sci. Total Environ. 2013, 447, 345–360. [Google Scholar] [CrossRef]
- Thai, H.L.; Charmaine, N.; Ngoc, H.T.; Hongjie, C.; Karina, Y.G. Removal of antibiotic residues, antibiotic resistant bacteria and antibiotic resistance genes in municipal wastewater by membrane bioreactor systems. Water Res. 2018, 145, 498–508. [Google Scholar]
- Huang, S.; Wang, G.; Liu, J.; Du, C.; Su, Y. A novel CuBi2O4/BiOBr direct Z-scheme photocatalyst for efficient antibiotics removal: Synergy of adsorption and photocatalysis on degradation kinetics and mechanism insight. ChemCatChem 2020, 12, 4431–4445. [Google Scholar] [CrossRef]
- Yang, F.; Yu, X.J.; Liu, Z.B.; Wang, K.; Liang, Y.D.; Qiu, J.; Zhang, T.; Niu, J.F.; Zhao, J.; Yao, B.H. The effects of pH on reactive species formation in moxifloxacin photocatalytic degradation via BiPO4 prismatic. Opt. Mater. 2022, 133, 112892. [Google Scholar] [CrossRef]
- Hu, S.; Ma, L.; You, J.; Li, F.; Fan, Z.; Wang, F.; Liu, D.; Gui, J. A simple and efficient method to prepare a phosphorus modified g-C3N4 visible light photocatalyst. RSC Adv. 2014, 4, 21657–21663. [Google Scholar] [CrossRef]
- Das, S.; Ahn, Y.H. Synthesis and application of CdS nanorods for LED-based photocatalytic degradation of tetracycline antibiotic. Chemosphere 2022, 291, 132870. [Google Scholar] [CrossRef]
- Ahmed, F.; Ahmed, A.; Tamoor, T.; Hassan, T. Comment on Dual-Band Perfect Metamaterial Absorber Based on an Asymmetric H-Shaped Structure for Terahertz Waves. Materials 2018, 12, 2193. [Google Scholar] [CrossRef]
- Alasri, T.M.; Ali, S.L.; Salama, R.S.; Alshorifi, F.T. Band-Structure Engineering of TiO2 Photocatalyst by AuSe Quantum Dots for Efficient Degradation of Malachite Green and Phenol Journal of Inorganic and Organometallic. Polym. Mater. 2023, 33, 1729–1740. [Google Scholar]
- Qian, W.; Hu, W.T.; Jiang, Z.F.; Wu, Y.Y.; Li, Z.H.; Diao, Z.H.; Li, M.Y. Degradation of Tetracycline Hydrochloride by a Novel CDs/g-C3N4/BiPO4 under Visible-Light Irradiation: Reactivity and Mechanism. Catalysts 2022, 12, 774. [Google Scholar] [CrossRef]
- Chang, X.; Wang, Y.; Zhou, X.; Song, Y.; Zhang, M. ZIF-8-derived carbon-modified g-C3N4 heterostructure with enhanced photocatalytic activity for dye degradation and hydrogen production. Dalton Trans. 2021, 50, 17618–17624. [Google Scholar] [CrossRef]
- Darkwah, K.W.; Adormaa, B.B.; Sandrine, C.K.M.; Ao, Y. Modification strategies for enhancing the visible light responsive photocatalytic activity of the BiPO4 nano-based composite photocatalysts. Catal. Sci. Technol. 2019, 9, 546–566. [Google Scholar] [CrossRef]
- Li, Y.Z.; Li, Z.; Xia, Y.S.; Li, H.F.; Shi, J.H.; Zhang, A.M.; Huo, H.H.; Tan, S.Y.; Gao, L.Z. Fabrication of ternary AgBr/BiPO4/g-C3N4 heterostructure with dual Z-scheme and its visible light photocatalytic activity for Reactive Blue 19. Environ. Res. 2021, 192, 110260. [Google Scholar] [CrossRef]
- Yuan, J.H.; Amano, Y.; Machida, M. Characterization of High-Performance Zinc Chloride Activated Biochar Modified by Thermal Chemical Vapor Deposition (CVD) and Its Removal Mechanism of Aqueous Nitrate Ions. Int. J. Environ. Res. 2022, 16, 57. [Google Scholar] [CrossRef]
- Shahabi, N.M.; Sheibani, H. Super-efficient removal of arsenic and mercury ions from wastewater by nanoporous biochar-supported poly 2-aminothiophenol. J. Environ. Chem. Eng. 2022, 10, 107363. [Google Scholar] [CrossRef]
- Shi, Z.; Zhang, Y.; Shen, X.; Duoerkun, G.; Zhu, B.; Zhang, L.; Li, M.; Chen, Z. Fabrication of g-C3N4/BiOBr heterojunctions on carbon fibers as weaveable photocatalyst for degrading tetracycline hydrochloride under visible light. Chem. Eng. J. 2020, 386, 124010. [Google Scholar] [CrossRef]
- Nouri, A.; Dizaji, B.F.; Kianinejad, N.; Rad, A.J.; Rahimi, S.; Irani, M.; Jazi, F.S. Simultaneous linear release of folic acid and doxorubicin from ethyl cellulose/chitosan/g-C3N4/MoS2 core-shell nanofibers and its anticancer properties. J. Biomed. Mater. Res. Part A 2020, 109, 903–914. [Google Scholar] [CrossRef] [PubMed]
- Azzam, A.B.; Djellabi, R.; Sheta, S.M.; El Sheikh, S.M. Ultrafast conversion of carcinogenic 4-nitrophenol into 4-aminophenol in the dark catalyzed by surface interaction on BiPO4/g-C3N4 nanostructures in the presence of NaBH4. RSC Adv. 2021, 11, 18797–18808. [Google Scholar] [CrossRef] [PubMed]
- Long, D.; Chen, Z.Q.; Rao, X.; Zhang, Y.P. Sulfur-Doped g-C3N4 and BiPO4 Nanorod Hybrid Architectures for Enhanced Photocatalytic Hydrogen Evolution under Visible Light Irradiation. ACS Appl. Energy Mater. 2020, 3, 5024–5030. [Google Scholar] [CrossRef]
- Liu, X.S.; Wang, G.; Zhi, H.; Dong, J.; Hao, J.; Zhang, X.; Wang, J.; Li, D.T.; Liu, B.S. Synthesis of the Porous ZnO Nanosheets and TiO2/ZnO/FTO Composite Films by a Low-Temperature Hydrothermal Method and Their Applications in Photocatalysis and Electrochromism. Coatings 2022, 12, 695. [Google Scholar] [CrossRef]
- Muhammad, S.N.; Guorui, Y.; Iqra, A.; Wang, X.J.; Silan, W.; Yan, W. Hybridization of g-C3N4 quantum dots with 1D branched TiO2 fiber for efficient visible light-driven photocatalytic hydrogen generation. Int. J. Hydrogen Energy 2020, 45, 13994–14005. [Google Scholar]
- Dai, D.; Wang, P.; Bao, X.; Xu, Y.; Wang, Z.; Guo, Y.H. g-C3N4/ITO/Co-BiVO4 Z-scheme composite for solar overall water splitting. Chem. Eng. J. 2022, 433, 134476. [Google Scholar] [CrossRef]
- Liu, N.; Lu, N.; Yu, H.; Chen, S.; Quan, X. Enhanced degradation of organic water pollutants by photocatalytic in situ activation of sulfate based on Z-scheme g-C3N4/BiPO4. Chem. Eng. J. 2022, 428, 132116. [Google Scholar] [CrossRef]
- Wang, Q.; Lin, Y.; Li, P.; Ma, M.; Zhang, R. An efficient Z-scheme (Cr, B) codoped g-C3N4/BiVO4 photocatalyst for water splitting: A hybrid DFT study. Int. J. Hydrogen Energy 2020, 46, 247–261. [Google Scholar] [CrossRef]
- Qamar, M.A.; Shahid, S.; Javed, M.; Sher, M.; Iqbal, S.; Bahadur, A.; Li, D.X. Fabricated novel g-C3N4/Mn doped ZnO nanocomposite as highly active photocatalyst for the disinfection of pathogens and degradation of the organic pollutants from wastewater under sunlight radiations. Colloids Surf. A Physicochem. Eng. Asp. 2020, 611, 125863. [Google Scholar] [CrossRef]
- Xu, X.Q.; Wang, S.M.; Hu, T.J.; Yu, X.F.; Wang, J.P.; Jia, C.J. Fabrication of Mn/O co-doped g-C3N4: Excellent charge separation and transfer for enhancing photocatalytic activity under visible light irradiation. Dye. Pigment. 2020, 175, 108107. [Google Scholar] [CrossRef]
- Li, Z.; Ni, G.H.; Wang, H.; Sun, Q.; Wang, G.; Jiang, B.Y.; Zhang, C. Molecular structure characterization of lignite treated with ionic liquid via FTIR and XRD spectroscopy. Fuel 2020, 272, 117705. [Google Scholar]
- Yang, N.; Yang, S.; Ma, Q.; Beltran, C.; Guan, Y.; Morsey, M.; Brown, E.; Fernando, S.; Holsen, T.M.; Zhang, W.; et al. Solvent-Free Nonthermal Destruction of PFAS Chemicals and PFAS in Sediment by Piezoelectric Ball Milling. Environ. Sci. Technol. Lett. 2023, 10, 198–203. [Google Scholar] [CrossRef]
- Chen, D.; Ray, K.A. Photocatalytic kinetics of phenol and its derivatives over UV irradiated TiO2. Appl. Catal. B Environ. 1999, 23, 143–157. [Google Scholar] [CrossRef]
- Suryamani, S.; Rashmi, A. An overview on recent developments in synthesis and molecular level structure of visible-light responsive g-C3N4 photocatalyst towards environmental remediation. Mater. Today Proc. 2020, 35, 150–155. [Google Scholar]
- Wang, T.T.; Ren, M.; Bao, S.S.; Cai, Z.S.; Liu, B.; Zheng, Z.H.; Xu, Z.L.; Zheng, L.M. The O-P-O bridged Mn2(salen)2 chains showing coexistence of single chain magnet and metamagnet behaviour. Dalton Trans. 2003, 2015, 44. [Google Scholar] [CrossRef]
- Li, L.; Salvador, P.A.; Rohrer, G.S. Photocatalysts with internal electric fields. Nanoscale 2014, 6, 24–42. [Google Scholar] [CrossRef]
- Sergio, O.; Zhang, Y.F.; Gerardo, C. Cascade charge separation mechanism by ternary heterostructured BiPO4/TiO2/g-C3N4 photocatalyst. Appl. Catal. B Environ. 2016, 184, 96–103. [Google Scholar]
- He, Y.; Li, J.; Sheng, J.; Chen, S.; Dong, F.; Sun, Y. Crystal-Structure Dependent Reaction Pathways in Photocatalytic Formaldehyde Mineralization on BiPO4. J. Hazard. Mater. 2021, 420, 126633. [Google Scholar] [CrossRef]
- Zhu, X.; Wang, Y.; Guo, Y.; Sun, C. Environmental-friendly synthesis of heterojunction photocatalysts g-C3N4/BiPO4 with enhanced photocatalytic performance. Appl. Surf. Sci. 2020, 544, 148872. [Google Scholar] [CrossRef]
- Nyankson, E.; Yeboah, N.; Jnr, S.O.; Onaja, S.; Mensah, T.; Efavi, J.K. The effect of synthesis route on the photocatalytic performance of Ag-TiO using rhodamine b dyes, pesticides, and pharmaceutical waste as model pollutants. Mater. Res. Express 2022, 9, 094001. [Google Scholar] [CrossRef]
- Wang, Y.; Ding, K.; Xu, R.; Yu, D.; Liu, B. Fabrication of BiVO4/BiPO4/GO composite photocatalytic material for the visible light-driven degradation. J. Clean. Prod. 2020, 247, 119108. [Google Scholar] [CrossRef]
- Ahmaruzzaman, M.; Mishra, S.R. Photocatalytic performance of g-C3N4 based nanocomposites for effective degradation/removal of dyes from water and wastewater. Mater. Res. Bull. 2021, 143, 111417. [Google Scholar] [CrossRef]










| TiO2-BPC | Mn-BPC | |
|---|---|---|
| Name | Atomic % | Atomic % |
| C1s | 23.89 | 32.41 |
| N1s | 5.44 | 12.74 |
| O1s | 43.12 | 36.31 |
| P2p | 7.17 | 8.96 |
| Bi4f | 4.25 | 6.69 |
| Ti2p | 16.12 | / |
| Mn2p | / | 2.89 |
| Initial Concentration of Tetracycline Hydrochloride/(mg/L) | Pseudo-First Order Kinetic Equation | k | R2 | Pseudo-Second Order Kinetic Equation | k | R2 |
|---|---|---|---|---|---|---|
| 4 | y = 0.226x + 1.478 | 0.00463 | 0.98554 | y = 0.00991x − 0.15833 | 0.00991 | 0.99878 |
| 6 | y = 0.00397x + 0.084 | 0.00397 | 0.9925 | y = 0.00407x − 0.10778 | 0.00407 | 0.97465 |
| 8 | y = 0.0027x + 0.102 | 0.0027 | 0.98722 | y = 0.00172x − 0.01973 | 0.00172 | 0.98407 |
| 10 | y = 0.00217x + 0.064 | 0.00217 | 0.95762 | y = 0.00102x − 0.01235 | 0.00102 | 0.97955 |
| 12 | y = 0.00187 + 0.048 | 0.00187 | 0.98616 | y = 0.000657x − 0.00995 | 0.000657 | 0.98529 |
| Initial Concentration of Tetracycline Hydrochloride/(mg/L) | Pseudo-First Order Kinetic Equation | k | R2 | Pseudo-Second Order Kinetic Equation | k | R2 |
|---|---|---|---|---|---|---|
| 3 | y = 0.0080x + 0.6955 | 0.0080 | 0.9237 | y = 0.0156x − 0.1503 | 0.0156 | 0.8248 |
| 4 | y = 0.0087x + 0.5869 | 0.0087 | 0.9814 | y = 0.0096x − 0.0591 | 0.0096 | 0.9779 |
| 5 | y = 0.0070x + 0.4042 | 0.0070 | 0.9626 | y = 0.0048x + 0.0137 | 0.0048 | 0.9904 |
| 7 | y = 0.0041x + 0.4435 | 0.0041 | 0.9349 | y = 0.0014x + 0.0636 | 0.0014 | 0.9616 |
| 9 | y = 0.0032x + 0.2984 | 0.0032 | 0.9260 | y = 0.0006x + 0.0335 | 0.0006 | 0.9549 |
Disclaimer/Publisher’s Note: The statements, opinions and data contained in all publications are solely those of the individual author(s) and contributor(s) and not of MDPI and/or the editor(s). MDPI and/or the editor(s) disclaim responsibility for any injury to people or property resulting from any ideas, methods, instructions or products referred to in the content. |
© 2023 by the authors. Licensee MDPI, Basel, Switzerland. This article is an open access article distributed under the terms and conditions of the Creative Commons Attribution (CC BY) license (https://creativecommons.org/licenses/by/4.0/).
Share and Cite
Qian, W.; Fang, Y.; Liu, H.; Deng, Y.; Li, Y.; Zhang, Y.; Diao, Z.; Li, M. Photocatalytic Degradation of Tetracycline Hydrochloride by Mn/g-C3N4/BiPO4 and Ti/g-C3N4/BiPO4 Composites: Reactivity and Mechanism. Catalysts 2023, 13, 1398. https://doi.org/10.3390/catal13111398
Qian W, Fang Y, Liu H, Deng Y, Li Y, Zhang Y, Diao Z, Li M. Photocatalytic Degradation of Tetracycline Hydrochloride by Mn/g-C3N4/BiPO4 and Ti/g-C3N4/BiPO4 Composites: Reactivity and Mechanism. Catalysts. 2023; 13(11):1398. https://doi.org/10.3390/catal13111398
Chicago/Turabian StyleQian, Wei, Yi Fang, Hui Liu, Yili Deng, Yingying Li, Yongzheng Zhang, Zenghui Diao, and Mingyu Li. 2023. "Photocatalytic Degradation of Tetracycline Hydrochloride by Mn/g-C3N4/BiPO4 and Ti/g-C3N4/BiPO4 Composites: Reactivity and Mechanism" Catalysts 13, no. 11: 1398. https://doi.org/10.3390/catal13111398
APA StyleQian, W., Fang, Y., Liu, H., Deng, Y., Li, Y., Zhang, Y., Diao, Z., & Li, M. (2023). Photocatalytic Degradation of Tetracycline Hydrochloride by Mn/g-C3N4/BiPO4 and Ti/g-C3N4/BiPO4 Composites: Reactivity and Mechanism. Catalysts, 13(11), 1398. https://doi.org/10.3390/catal13111398

