Synthesis and Characterization of Ca-ALG/MgO/Ag Nanocomposite Beads for Catalytic Degradation of Direct Red Dye
Abstract
1. Introduction
2. Results and Discussions
2.1. DLS and EDX of Prepared Catalyst
2.2. TEM and XRD Analysis
2.3. Catalytic Degradation of Direct Red 83 Dye
2.3.1. Control Experiment
2.3.2. Effect of Catalyst Amount
2.3.3. Effect of NaBH4 Content
2.3.4. Effect of Initial Direct Red 83 Dye Concentration
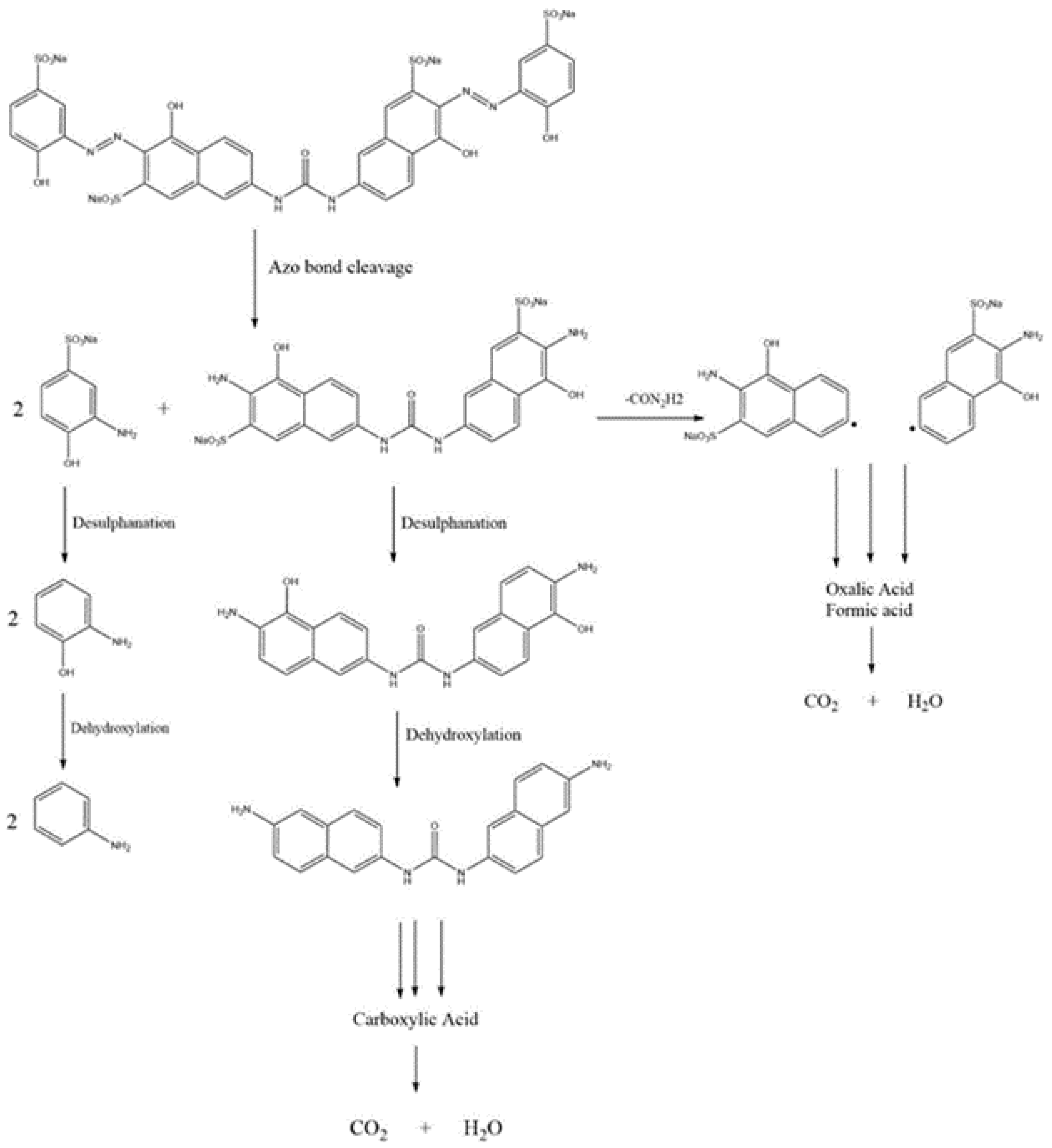
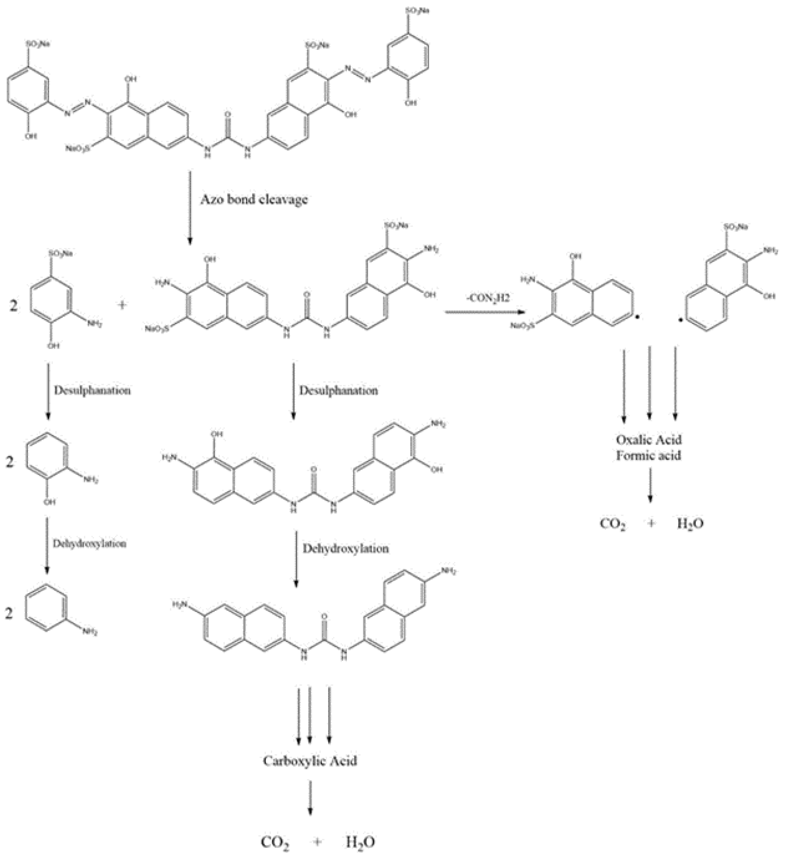
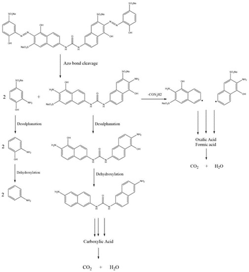
2.3.5. Expected Mechanism for the Degradation of Direct Red 83 Dye
2.3.6. Adsorption Kinetics
2.3.7. Intra-Particle Diffusion Model
2.3.8. Isotherm Analysis
3. The Reusability Test of Ca-ALG/MgO/Ag Nanocomposite Beads
4. Materials and Methods
4.1. Materials
4.2. Dye Materials
4.3. Preparation of Metal Oxide Nanodispersion
4.4. Preparation of Ca-ALG/MgO Nanobeads
4.5. Preparation of Silver Containing Ca-Alginate/MgO Nanocomposite Beads
4.6. The Catalytic Degradation of Direct Red 83 Dye
4.7. Effect of Different Parameters on Catalytic Degradation of Direct Red 83 Dye
4.7.1. Effect of Catalyst Amount
4.7.2. Effect of NaBH4 Content
4.7.3. Effect of Initial Direct Red 83 Dye Concentration
4.8. Kinetic Studies
4.9. Characterizations
5. Conclusions
Funding
Data Availability Statement
Acknowledgments
Conflicts of Interest
References
- Semeraro, P.; Fini, P.; D’Addabbo, M.; Rizzi, V.; Cosma, P. Removal from wastewater and recycling of azo textile dyes by alginate-chitosan beads. Int. J. Agric. Environ. Biotechnol. 2017, 2, 1835–1850. [Google Scholar] [CrossRef]
- Benkaddour, S.; Slimani, R.; Hiyane, H.; El Ouahab, I.; Hachoumi, I.; El Antri, S.; Lazar, S. Removal of reactive yellow 145 by adsorption onto treated watermelon seeds: Kinetic and isotherm studies, Sustain. Chem. Pharm. 2018, 10, 16–21. [Google Scholar] [CrossRef]
- Slama, H.; Bouket, A.C.; Pourhassan, Z.; Alenezi, F.N.; Silini, A.; Cherif-Silini, H.; Oszako, T.; Luptakova, L.; Golinska, P.; Belbahr, L. Diversity of Synthetic Dyes from Textile Industries, Discharge Impacts and Treatment Methods. Appl. Sci. 2021, 11, 6255. [Google Scholar] [CrossRef]
- Bettin, F.; Cousseau, F.; Martins, K.; Zaccaria, S.; Girardi, V.; Silveira, M.M.; Dillon, A.J.P. Effects of pH, Temperature and Agitation on the Decolourisation of Dyes by Laccase-Containing Enzyme Preparation from Pleurotus sajor-caju. Braz. Arch. Biol. Technol. 2019, 62, e19180338:1–19180338:22. [Google Scholar] [CrossRef]
- Shahzad, K.; Hussain, S.; Altaf Nazir, M.; Jamshaid, M.; Rehman, A.; Alkorbi, A.S.; Alsaiari, R.; Alhemiary, N.A. Versatile Ag2O and ZnO nanomaterials fabricated via annealed Ag-PMOS and ZnO-PMOS: An efficient photocatalysis tool for azo dyes. J. Mol. Liq. 2022, 356, 119036. [Google Scholar] [CrossRef]
- Shahzad, K.; Imran Khan, M.; Shanableh, A.; Elboughdiri, N.; Jabeen, S.; Altaf Nazir, M.; Farooq, N.; Ali, H.; Abdelfattah, A.; Rehman, A. Silver supported-Ag@PMOS onto thumb structured porous organosilica materials with efficient hetero-junction active sites for photodegradation of methyl orange dye. Inorg. Nano-Met. Chem. 2022, 52, 407–416. [Google Scholar] [CrossRef]
- Thakur, V.; Kumar, P.; Verma, A.; Chand, D. Decolorization of dye by alginate immobilized laccase from Cercospora SPF-6: Using compact 5 stage plug flow reactor. Int. J. Curr. Microbiol. Appl. Sci. 2015, 4, 183–200. [Google Scholar]
- Shaban, M.; Abukhadra, M.R.; Ibrahim, S.S.; Shahien, M.G. Photocatalytic degradation and photo-Fenton oxidation of Congo red dye pollutants in water using natural chromite—Response surface optimization. Appl. Water Sci. 2017, 7, 4743–4756. [Google Scholar] [CrossRef]
- Jamshaid, M.; Altaf Nazir, M.; Najam, T.; Ahmad Shah, S.S.; Khan, H.M.; Rehman, A. Facile synthesis of Yb3+-Zn2+ substituted M type hexaferrites: Structural, electric and photocatalytic properties under visible light for methylene blue removal. Chem. Phys. Lett. 2022, 805, 139939. [Google Scholar] [CrossRef]
- Alotaibi, K.M.; Almethen, A.A.; Beagan, A.M.; Al-Swaidan, H.M.; Ahmad, A.; Bhawani, S.A.; Alswieleh, A.M. Quaternization of Poly(2-diethyl aminoethyl methacrylate) Brush-Grafted Magnetic Mesoporous Nanoparticles Using 2-Iodoethanol for Removing Anionic Dyes. Appl. Sci. 2021, 11, 10451. [Google Scholar] [CrossRef]
- Karthiga Devi, G.; Senthil Kumar, P.; Sathish Kumar, K. Green synthesis of novel silver nanocomposite hydrogel based on sodium alginate as an efficient biosorbent for the dye wastewater treatment: Prediction of isotherm and kinetic parameters. Desalin Water Treat. 2016, 57, 27686–27699. [Google Scholar] [CrossRef]
- Singh, R.; Singh, D. Radiation synthesis of PVP/alginate hydrogel containing nanosilver as wound dressing. J. Mater. Sci. Mater. Med. 2012, 23, 2649–2658. [Google Scholar] [CrossRef]
- Da Silva Fernandes, R.; de Moura, M.R.; Glenn, G.M.; Aouada, F.A. Thermal, microstructural, and spectroscopic analysis of Ca2+ alginate/clay nanocomposite hydrogel beads. J. Mol. Liq. 2018, 265, 327–336. [Google Scholar] [CrossRef]
- Harikumar, P.S.; Aravind, A. Antibacterial Activity of Copper Nanoparticles and Copper Nanocomposites against Escherichia Coli Bacteria. Int. J. Sci. 2016, 5, 83–90. [Google Scholar] [CrossRef]
- Fadillah, G.; Serunting, M.A. Preliminary Study of Photocatalytic Degradation of Methylene Blue Dye using Magnetic Alginate/Fe3O4 (Alg/Fe3O4) Nanocomposites. EKSAKTA J. Sci. Data Anal. 2019, 19, 26–34. [Google Scholar] [CrossRef]
- Wang, X.Q.; Han, S.F.; Zhang, Q.W.; Zhang, N.; Zhao, D.D. Photocatalytic oxidation degradation mechanism study of methylene blue dye waste water with GR/iTO2. MATEC Web Conf. 2018, 238, 03006:1–03006:5. [Google Scholar] [CrossRef]
- Ajmal, A.; Majeed, I.; Malik, R.N.; Idriss, H.; Nadeem, M.A. Principles and mechanisms of photocatalytic dye degradation on TiO2 based photocatalysts: A comparative overview. RSC Adv. 2014, 4, 37003–37026. [Google Scholar] [CrossRef]
- Chiu, Y.H.; Chang, T.M.; Chen, C.Y.; Sone, M.; Hsu, Y.J. Mechanistic Insights into Photodegradation of Organic Dyes Using Heterostructure Photocatalysts. Catalysts 2019, 9, 430:1–430:32. [Google Scholar] [CrossRef]
- Albalwi, H.; Abou El Fadl, F.I.; Ibrahim, M.M.; Abou Taleb, M.F. Catalytic activity of silver nanocomposite alginate beads for degradation of basic dye: Kinetic and isothermal study. Appl. Organomet. Chem. 2021, 36, e6490. [Google Scholar] [CrossRef]
- Alimard, P. Fabrication and kinetic study of Nd-Ce doped Fe3O4-chitosan nanocomposite as catalyst in Fenton dye degradation. Polyhedron 2019, 171, 98–107. [Google Scholar] [CrossRef]
- Amorim, N.; Nascimento, G.; Charamba, L.; Rocha Santana, R.; Da Silva, P.; Napoleão, T.; Napoleão, D. Direct red 83 textile dye degradation using photoperoxidation and photo-fenton: Kinetic studies, toxicity and neural networks modeling. Ciência Nat. 2020, 42, e41. [Google Scholar] [CrossRef]
- León, G.; Miguel, B.; Manzanares, L.; Saavedra, M.I.; Guzmán, M.A. Kinetic Study of the Ultrasound Effect on Acid Brown 83 Dye Degradation by Hydrogen Peroxide Oxidation Processes. Chem. Eng. J. 2021, 5, 52. [Google Scholar] [CrossRef]
- El-Sawy, N.M.; Raafat, A.I.; Badawy, N.A.; Mohamed, A.M. Radiation development of pH-responsive (xanthan-acrylic acid)/MgO nanocomposite hydrogels for controlled delivery of methotrexate anticancer drug. Int. J. Biol. Macromol. 2020, 142, 254–264. [Google Scholar] [CrossRef] [PubMed]
- Abdel Ghaffar, A.M.; Abou El Fadl, F.I.; El-Sawy, N.M. Radiation synthesis of polyvinyl alcohol/acrylic acid/magnesium oxide composite hydrogel for removal of boron from its aqueous solution. J. Thermoplast. Compos. Mater. 2020, 35, 1022–1040. [Google Scholar] [CrossRef]
- Iqbal, M.; Naseem, T.; Waseem, M.; Din, S.U.; Hafeez, M.; Haq, S.; Qureshi, S.; Bibi, A.; Rehman, S.U.; Hussain, R.; et al. Synthesis and Characterization of rGO/Ag2O Nanocomposite and its Use for Catalytic Reduction of 4-Nitrophenol and Photocatalytic Activity. J. Inorg. Organomet. Polym. Mater. 2021, 31, 100–111. [Google Scholar] [CrossRef]
- Mandava, K. Biological and non-biological synthesis of metallic nanoparticles: Scope for current pharmaceutical research. Indian J. Pharm. Sci. 2017, 79, 501–512. [Google Scholar] [CrossRef]
- Zangeneh, H.; Zinatizadeh, A.A.L.; Habibi, M.; Akia, M.; Isa, M.H. Photocatalytic oxidation of organic dyes and pollutants in wastewater using different modified titanium dioxides: A comparative review. J. Ind. Eng. Chem. 2015, 26, 1–36. [Google Scholar] [CrossRef]
- Sahoo, P.K.; Thakur, D.; Bahadur, D.; Panigrahy, B. Highly efficient and simultaneous catalytic reduction of multiple dyes using recyclable RGO/Co dendritic nanocomposites as catalyst for wastewater treatment. RSC Adv. 2016, 6, 106723–106731. [Google Scholar] [CrossRef]
- Reza, K.M.; Kurny, A.S.W.; Gulshan, F. Parameters affecting the photocatalytic degradation of dyes using TiO2: A review. Appl. Water Sci. 2017, 7, 1569–1578. [Google Scholar] [CrossRef]
- Hassaan, M.A.; El Nemr, A.; El-Zahhar, A.A.; Idris, A.M.; Alghamdi, M.M.; Sahlabji, T.; Said, T.O. Degradation mechanism of Direct Red 23 dye by advanced oxidation processes: A comparative study. Toxin Rev. 2020, 41, 38–47. [Google Scholar] [CrossRef]
- Rasool, K.; Woo, S.H.; Lee, D.S. Simultaneous removal of COD and Direct Red 80 in a mixed anaerobic sulfate-reducing bacteria culture. Chem. Eng. J. 2013, 223, 611–616. [Google Scholar] [CrossRef]
- Tang, Y.; Yang, R.; Ma, D.; Zhou, B.; Zhu, L.; Yang, J. Removal of methyl orange from aqueous solution by adsorption onto a hydrogel composite. Polym. Polym. Compos. 2018, 26, 161–168. [Google Scholar] [CrossRef]
- Singh, T.; Singhal, R. Kinetics and thermodynamics of cationic dye adsorption onto dry and swollen hydrogels poly(acrylic acid-sodium acrylate-acrylamide) sodium humate. Desalin Water Treat. 2013, 53, 3668–3680. [Google Scholar] [CrossRef]
- Boulaiche, W.; Hamdi, B.; Trari, M. Removal of heavy metals by chitin: Equilibrium, kinetic and thermodynamic studies. Appl. Water Sci. 2019, 9, 10. [Google Scholar] [CrossRef]
- Miyah, Y.; Lahrichi, A.; Idrissi, M.; Boujraf, S.; Taouda, H.; Zerrouq, F. Assessment of adsorption kinetics for removal potential of Crystal Violet dye from aqueous solutions using Moroccan pyrophyllite. J. Assoc. Arab Univ. Basic Appl. Sci. 2017, 23, 20–28. [Google Scholar] [CrossRef]
- Awad, F.S.; Abou Zied, K.M.; Abou El-Maaty, W.M.; El-Wakil, A.M.; El-Shall, M.S. Effective removal of mercury(II) from aqueous solutions by chemically modified graphene oxide nanosheets. Arab. J. Chem. 2020, 13, 2659–2670. [Google Scholar] [CrossRef]
- Xie, S.; Wen, Z.; Zhan, H.; Jin, M. An Experimental Study on the Adsorption and Desorption of Cu(II) in Silty Clay. Geofluids 2018, 2018, 3610921. [Google Scholar] [CrossRef]
- Priyadarshini, B.; Rath, P.P.; Behera, S.S.; Panda, S.R.; Sahoo, T.R.; Parhi, P.K. Kinetics, Thermodynamics and Isotherm studies on Adsorption of Eriochrome Black-T from aqueous solution using Rutile TiO2. IOP Conf. Ser. Mater. Sci. Eng. 2018, 310, 012051:1–012051:13. [Google Scholar] [CrossRef]












| Polymer Compositions | Pseudo-First-Order | Pseudo-Second-Order | Intra-Particle Diffusion | |||
|---|---|---|---|---|---|---|
| k | R2 | k | R2 | kid | R2 | |
| Ca-ALG/MgO/Ag nanocomposite beads | 0.95 | 0.94 | 0.59 | 0.787 | 0.77 | 0.903 |
| Sample | Adsorption Isotherm | ||||||
|---|---|---|---|---|---|---|---|
| Langmuir Isotherm Model | Freundlich Isotherm Model | Temkin Isotherm | |||||
| b | R2 | 1/n | kf | R2 | Kt | R2 | |
| Ca-ALG/MgO/Ag | 0.75 | 0.746 | 0.91 | 0.91 | 0.862 | 0.75 | 1 |
Disclaimer/Publisher’s Note: The statements, opinions and data contained in all publications are solely those of the individual author(s) and contributor(s) and not of MDPI and/or the editor(s). MDPI and/or the editor(s) disclaim responsibility for any injury to people or property resulting from any ideas, methods, instructions or products referred to in the content. |
© 2022 by the author. Licensee MDPI, Basel, Switzerland. This article is an open access article distributed under the terms and conditions of the Creative Commons Attribution (CC BY) license (https://creativecommons.org/licenses/by/4.0/).
Share and Cite
Albalwi, H.A. Synthesis and Characterization of Ca-ALG/MgO/Ag Nanocomposite Beads for Catalytic Degradation of Direct Red Dye. Catalysts 2023, 13, 78. https://doi.org/10.3390/catal13010078
Albalwi HA. Synthesis and Characterization of Ca-ALG/MgO/Ag Nanocomposite Beads for Catalytic Degradation of Direct Red Dye. Catalysts. 2023; 13(1):78. https://doi.org/10.3390/catal13010078
Chicago/Turabian StyleAlbalwi, Hanan A. 2023. "Synthesis and Characterization of Ca-ALG/MgO/Ag Nanocomposite Beads for Catalytic Degradation of Direct Red Dye" Catalysts 13, no. 1: 78. https://doi.org/10.3390/catal13010078
APA StyleAlbalwi, H. A. (2023). Synthesis and Characterization of Ca-ALG/MgO/Ag Nanocomposite Beads for Catalytic Degradation of Direct Red Dye. Catalysts, 13(1), 78. https://doi.org/10.3390/catal13010078
