Catalytic Production of Functional Monomers from Lysine and Their Application in High-Valued Polymers
Abstract
1. Introduction
2. Catalytic Production of Chemicals from Lysine
2.1. ε-Caprolactam
2.2. α-Amino-ε-Caprolactam (α-ACL) and Its Derivatives
| Entry | Raw Material | Reaction Condition | Chemical Structure | Application Fields | Ref. |
|---|---|---|---|---|---|
| 1 | Lysine hydrochloride | HCHO, H2, Pd/C, room temp. | ![]() | Functional polyamide | [52] |
| 2 | 2,5-Hexanedione, AcOH, NaOH | ![]() | [53] | ||
| 3 | Benzyl chloride, reflux | ![]() | [53] | ||
| 4 | α-ACL | Perfluorobutyl chloride, ice bath | ![]() | [54] | |
| 5 | α-ACL | Acryloyl chloride | ![]() | Functional polyethylene | [55] |
| 6 | Lysine hydrochloride | 1,4-Diethoxybutane, t-BuOK, acetylene | ![]() | [56] | |
| 7 | α-ACL | 2,3,4,5,6-Pentafluorophenyl (2R)-2-[[formyl(phenylmethoxy)amino]methyl]hexanoate, H2, Pd/C, room temp. | ![]() | Antibacterial agent | [57] |
| 8 | α-ACL | Diacyl chloride | ![]() | Polymer chain extender | [58] |
| 9 | α-ACL | Di-tert-butyl decarbonate, room temp. | ![]() | Coagulation inhibitor | [59] |
| 10 | α-ACL | Carboxyl derivative, ice bath | ![]() | Treating visceral dyskinesia | [60] |
| 11 | α-ACL | Sulfone derivative, 3eq HCl | ![]() | HIV integrase inhibitor | [61] |
2.3. Cadaverine and Lysinol
2.4. Pipecolic Acid
3. Polymers Synthesis from Lysine-Based Monomers
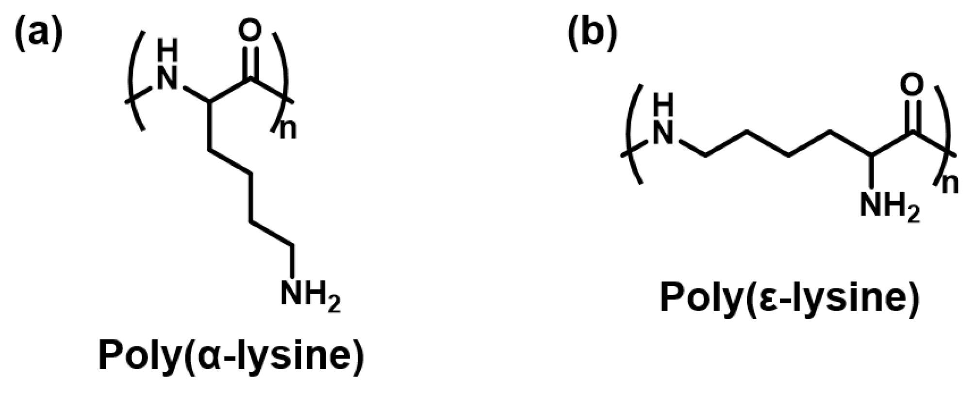
3.1. Poly (α-Lysine)
3.2. Poly (ε-Lysine)
3.3. Functionalized Poly (ε-Lysine)
3.4. Nylon-6 and Its Derivatives
3.5. Nylon-56
4. Conclusions and Outlooks
Author Contributions
Funding
Acknowledgments
Conflicts of Interest
References
- Bender, M. An Overview of Industrial Processes for the Production of OlefinsC4 Hydrocarbons. ChemBioEng Rev. 2014, 1, 136–147. [Google Scholar] [CrossRef]
- Lee, S.Y.; Kim, H.U.; Chae, T.U.; Cho, J.S.; Kim, J.W.; Shin, J.H.; Kim, D.I.; Ko, Y.-S.; Jang, W.D.; Jang, Y.-S. A Comprehensive Metabolic Map for Production of Bio-Based Chemicals. Nat. Catal. 2019, 2, 18–33. [Google Scholar] [CrossRef]
- Sudarsanam, P.; Zhong, R.; Van den Bosch, S.; Coman, S.M.; Parvulescu, V.I.; Sels, B.F. Functionalised heterogeneous catalysts for sustainable biomass valorisation. Chem. Soc. Rev. 2018, 47, 8349–8402. [Google Scholar] [CrossRef]
- Population. Available online: https://www.un.org/en/sections/issues-depth/population/index.html (accessed on 9 September 2022).
- Gerardy, R.; Debecker, D.P.; Estager, J.; Luis, P.; Monbaliu, J.M. Continuous Flow Upgrading of Selected C2-C6 Platform Chemicals Derived from Biomass. Chem. Rev. 2020, 120, 7219–7347. [Google Scholar] [CrossRef]
- Beusch, L.; Nauels, A.; Gudmundsson, L.; Gütschow, J.; Schleussner, C.F.; Seneviratne, S.I. Responsibility of major emitters for country-level warming and extreme hot years. Commun. Earth Environ. 2022, 3, 7. [Google Scholar] [CrossRef]
- Qiu, Y.; Lamers, P.; Daioglou, V.; McQueen, N.; De Boer, H.S.; Harmsen, M.; Wilcox, J.; Bardow, A.; Suh, S. Environmental trade-offs of direct air capture technologies in climate change mitigation toward 2100. Nat. Commun. 2022, 13, 3635. [Google Scholar] [CrossRef]
- Questell-Santiago, Y.M.; Zambrano-Varela, R.; Talebi Amiri, M.; Luterbacher, J.S. Carbohydrate Stabilization Extends the Kinetic Limits of Chemical Polysaccharide Depolymerization. Nat. Chem. 2018, 10, 1222–1228. [Google Scholar] [CrossRef]
- Mika, L.T.; Csefalvay, E.; Nemeth, A. Catalytic Conversion of Carbohydrates to Initial Platform Chemicals: Chemistry and Sustainability. Chem. Rev. 2018, 118, 505–613. [Google Scholar] [CrossRef]
- Delucchi, M.A.; Jacobson, M.Z. Providing all global energy with wind, water, and solar power, Part II: Reliability, system and transmission costs, and policies. Energy Policy 2011, 39, 1170–1190. [Google Scholar] [CrossRef]
- Jacobson, M.Z.; Delucchi, M.A. Providing all global energy with wind, water, and solar power, Part I: Technologies, energy resources, quantities and areas of infrastructure, and materials. Energy Policy 2011, 39, 1154–1169. [Google Scholar] [CrossRef]
- Delidovich, I.; Hausoul, P.J.C.; Deng, L.; Pfützenreuter, R.; Rose, M.; Palkovits, R. Alternative Monomers Based on Lignocellulose and Their Use for Polymer Production. Chem. Rev. 2016, 116, 1540–1599. [Google Scholar] [CrossRef] [PubMed]
- Kobayashi, H.; Ohta, H.; Fukuoka, A. Conversion of lignocellulose into renewable chemicals by heterogeneous catalysis. Catal. Sci. Technol. 2012, 2, 869–883. [Google Scholar] [CrossRef]
- Koçar, G.; Civaş, N. An overview of biofuels from energy crops: Current status and future prospects. Renew. Sustain. Energy Rev. 2013, 28, 900–916. [Google Scholar] [CrossRef]
- Kobayashi, H.; Kaiki, H.; Shrotri, A.; Techikawara, K.; Fukuoka, A. Hydrolysis of woody biomass by a biomass-derived reusable heterogeneous catalyst. Chem. Sci. 2016, 7, 692–696. [Google Scholar] [CrossRef]
- Sudarsanam, P.; Peeters, E.; Makshina, E.V.; Parvulescu, V.I.; Sels, B.F. Advances in Porous and Nanoscale Catalysts for Viable Biomass Conversion. Chem. Soc. Rev. 2019, 48, 2366–2421. [Google Scholar] [CrossRef]
- Galkin, K.I.; Ananikov, V.P. When Will 5-Hydroxymethylfurfural, the “Sleeping Giant” of Sustainable Chemistry, Awaken? ChemSusChem 2019, 12, 2976–2982. [Google Scholar] [CrossRef]
- Sheldon, R.A. Green and Sustainable Manufacture of Chemicals from Biomass: State of the Art. Green Chem. 2014, 16, 950–963. [Google Scholar] [CrossRef]
- Froidevaux, V.; Negrell, C.; Caillol, S.; Pascault, J.P.; Boutevin, B. Biobased Amines: From Synthesis to Polymers; Present and Future. Chem. Rev. 2016, 116, 14181–14224. [Google Scholar] [CrossRef]
- Liu, J.; Xu, J.Z.; Rao, Z.M.; Zhang, W.G. Industrial production of L-lysine in Corynebacterium glutamicum: Progress and prospects. Microbiol. Res. 2022, 262, 127101. [Google Scholar] [CrossRef]
- Visalakshi, R.M.; Suresh, V. Effect of aminoacids arginine and lysine on osteoblastic activity. J. Pharm. Sci. Res. 2015, 8, 1021–1029. [Google Scholar]
- Teister, L.; Gaździk, T.; Ła̧cka-Gaździk, B. Influence of vitamins on the bone homeostasis. J. Orthop. Surg. Res. 2010, 17, 42–59. [Google Scholar]
- Irla, M.; Wendisch, V.F. Efficient cell factories for the production of N-methylated amino acids and for methanol-based amino acid production. Microb. Biotechnol. 2022, 15, 2145–2159. [Google Scholar] [CrossRef] [PubMed]
- Eş, I.; Gavahian, M.; Marti-Quijal, F.J.; Lorenzo, J.M.; Mousavi Khaneghah, A.; Tsatsanis, C.; Kampranis, S.C.; Barba, F.J. The application of the CRISPR-Cas9 genome editing machinery in food and agricultural science: Current status, future perspectives, and associated challenges. Biotechnol. Adv. 2019, 37, 410–421. [Google Scholar] [CrossRef] [PubMed]
- Félix, F.K.D.C.; Letti, L.A.J.; Vinícius de Melo Pereira, G.; Bonfim, P.G.B.; Soccol, V.T.; Soccol, C.R. L-lysine production improvement: A review of the state of the art and patent landscape focusing on strain development and fermentation technologies. Crit. Rev. Biotechnol. 2019, 39, 1031–1055. [Google Scholar] [CrossRef] [PubMed]
- Cheng, J.; Chen, P.; Song, A.; Wang, D.; Wang, Q. Expanding lysine industry: Industrial biomanufacturing of lysine and its derivatives. J. Ind. Microbiol. Biotechnol. 2018, 45, 719–734. [Google Scholar] [CrossRef]
- Lysine Market: Global Industry Analysis and Forecast (2021–2027) by Livestock, Application and Region. Available online: https://www.maximizemarketresearch.com/market-report/global-lysine-market/27242/ (accessed on 5 September 2022).
- Eggeling, L.; Bott, M. A giant market and a powerful metabolism: L-lysine provided by Corynebacterium glutamicum. Appl. Microbiol. Biotechnol. 2015, 99, 3387–3394. [Google Scholar] [CrossRef]
- Rice, J. ADM forms biobased industrial chemicals group. Ind. Bioprocess. 2007, 29, 5. [Google Scholar]
- Nakayama, K. Development of L-Lysine Production Technologies. J. Syn. Org. Chem. 1977, 35, 64–72. [Google Scholar] [CrossRef]
- Ikeda, M. Lysine fermentation: History and genome breeding. Adv. Biochem. Eng. Biotechnol. 2017, 159, 73–102. [Google Scholar] [CrossRef]
- Wang, Z.; Song, M.; Li, X.; Chen, J.; Liang, T.; Chen, X.; Yan, Y. Copolymerization-Regulated Hydrogen Bonds: A New Routine for High-Strength Copolyamide 6/66 Fibers. Polymers 2022, 14, 3517. [Google Scholar] [CrossRef]
- Kumar, R.; Shah, S.; Paramita Das, P.; Bhagavanbhai, G.G.K.; Al Fatesh, A.; Chowdhury, B. An overview of caprolactam synthesis. Catal. Rev. 2019, 61, 516–594. [Google Scholar] [CrossRef]
- Caprolactam (CPL): 2022 World Market Outlook and Forecast up to 2031. Available online: https://mcgroup.co.uk/researches/caprolactam-cpl (accessed on 15 September 2022).
- Yamane, H.; Masaki, M. Progress of ε-Caprolactam Manufacturing Method. J. Synth. Org. Chem. 1977, 35, 926–934. [Google Scholar] [CrossRef]
- Harter, D.A.; Alcorn, W.B.; Busche, S.; Ellington, F.O.; Kreuz, J.P.; Brabston, M.A.; Ring, R.D. On-line gas chromatograph for industrial process control. Process Control Qual. 1992, 3, 145–151. [Google Scholar]
- Zong, B.N.; Mu, X.H.; Meng, X.K.; Zhang, X.X.; Min, E.Z. Innovation of amorphous alloy catalyst and magnetically stabilized bed reaction technology and their commercialized integration. Shiyou Xuebao Shiyou Jiagong/Acta Pet. Sin. (Pet. Process. Sect.) 2006, 22, 1–6. [Google Scholar]
- Project “engineering development of new technology for gas-phase Beckmann rearrangement of cyclohexanone-oxime” passed appraisal. China Pet. Process. Petrochem. Technol. 2010, 28.
- Frost, J.W. Synthesis of Caprolactam from Lysine. WO123669A1, 29 December 2005. [Google Scholar]
- Frost, J.W. Catalytic Deamination for Caprolactam Production. U.S. Patent 0145003A1, 22 January 2010. [Google Scholar]
- Kim, H.Y.; Ryu, M.H.; Kim, D.S.; Song, B.K.; Jegal, J. Preparation and characterization of nylon 6-morpholinone random copolymers based on ε-caprolactam and morpholinone. Polymer 2014, 38, 714–719. [Google Scholar] [CrossRef][Green Version]
- Preishuber-Pfluegl, P. Method for Purification of Caprolactam Produced from Lysin. WO099029A2, 7 September 2007. [Google Scholar]
- Manabu, M. Manufacture of ε-Caprolactam from Lysine, Polyamide 6 from it, and Manufacture of 6-Amino-2-Chlorocaproic Acid and 6-Aminocaproic Acid. JP070048A, 21 April 2014. [Google Scholar]
- Sebastian, J.; Zheng, M.; Jiang, Y.; Zhao, Y.; Wang, H.; Song, Z.; Li, X.; Pang, J.; Zhang, T. One-pot conversion of lysine to caprolactam over Ir/H-Beta catalysts. Green Chem. 2019, 21, 2462–2468. [Google Scholar] [CrossRef]
- Berger, K.J.; Driscoll, J.L.; Yuan, M.; Dherange, B.D.; Gutierrez, O.; Levin, M.D. Direct Deamination of Primary Amines via Isodiazene Intermediates. J. Am. Chem. Soc. 2021, 143, 17366–17373. [Google Scholar] [CrossRef]
- Matsumoto, H; Koji, K.Koji. Preparation of α-amino-ε-caprolactam by cyclodehydration of lysine or its salts. JP162463A, 2012.
- Phi, T.D.; Doan Thi Mai, H.; Tran, V.H.; Truong, B.N.; Tran, T.A.; Vu, V.L.; Chau, V.M.; Pham, V.C. Design, synthesis and cytotoxicity of bengamide analogues and their epimers. MedChemComm 2017, 8, 445–451. [Google Scholar] [CrossRef]
- Jerman, I.; Coloviv, M.; Vasiljevic, J.; Simoncic, B.; Sehic, A.; Demsar, A. Method for the Preparation of a Polyamide 6 Copolymer and Filaments, Flame Retardant Polyamide 6 Copolymer and Copolymer Filaments. WO002403A1, 2 January 2020. [Google Scholar]
- Matsumoto, H.; Kaiso, K.; Kamimura, A. An efficient conversion of lysine to 2-aminocaprolactam. Heterocycles 2016, 92, 337–345. [Google Scholar] [CrossRef]
- Parker, M.F.; Bronson, J.J.; Barten, D.M.; Corsa, J.A.; Du, W.; Felsenstein, K.M.; Guss, V.L.; Izzarelli, D.; Loo, A.; McElhone, K.E.; et al. Amino-caprolactam derivatives as γ-secretase inhibitors. Bioorg. Med. Chem. Lett. 2007, 17, 5790–5795. [Google Scholar] [CrossRef] [PubMed]
- Arkhipova, M.; Eichel, S.; Maas, G. Hexaalkylguanidinium salts as ionic liquids–Applications in titanium and aluminium alcoholate assisted synthesis. RSC Adv. 2014, 4, 56506–56517. [Google Scholar] [CrossRef]
- Chen, J.; Dong, Y.; Xiao, C.; Tao, Y.; Wang, X. Organocatalyzed Ring-Opening Polymerization of Cyclic Lysine Derivative: Sustainable Access to Cationic Poly(ϵ-lysine) Mimics. Macromolecules 2021, 54, 2226–2231. [Google Scholar] [CrossRef]
- Tao, Y.; Chen, X.; Jia, F.; Wang, S.; Xiao, C.; Cui, F.; Li, Y.; Bian, Z.; Chen, X.; Wang, X. New chemosynthetic route to linear ε-poly-lysine. Chem. Sci. 2015, 6, 6385–6391. [Google Scholar] [CrossRef] [PubMed]
- Tunc, D.; Bouchekif, H.; Améduri, B.; Jérôme, C.; Desbois, P.; Lecomte, P.; Carlotti, S. Synthesis of aliphatic polyamide bearing fluorinated groups from ε-caprolactam and modified cyclic lysine. Eur. Polym. J. 2015, 71, 575–584. [Google Scholar] [CrossRef]
- Tarkin-Tas, E.; Tas, H.; Mathias, L.J. Vinyl monomers, Polymers and supramolecular assemblies from aminocaprolactam. Macromol. Symp. 2012, 313–314, 79–89. [Google Scholar] [CrossRef]
- Jia, F.; Wang, S.; Zhang, X.; Xiao, C.; Tao, Y.; Wang, X. Amino-functionalized poly(N-vinylcaprolactam) derived from lysine: A sustainable polymer with thermo and pH dual stimuli response. Polym. Chem. 2016, 7, 7101–7107. [Google Scholar] [CrossRef]
- Becett, R.P.; Whittaker, M.; Spavold, Z.M.; Walls, A.J. Preparation of N-Formyl Hydroxylamine Derivatives as Antibacterial Agents. WO058294A1, 2000. [Google Scholar]
- Ji, W.; Zou, Y.; Zhu, G.; Xu, N.; Zhang, W.; Han, L. A Chain Extender and Its Preparation and Application. CN10499434.6, 2013. [Google Scholar]
- Semple, J.E.; Ardecky, R.J.; Nutt, R.F.; Ripka, W.C.; Rowley, D.C.; Lim-Wilby, M.S.L.; Brunck, T.K. 3-Amino-2-Oxo-1-Piperidineacetic Derivatives as Enzyme Inhibitors. US5703208A, 30 December 1997. [Google Scholar]
- Robert, P. Synthesis of Acylaminoalkenylene Amides Useful as Substance P Antagonists. WO118651A1, 2006. [Google Scholar]
- Sauve Gilles, S.B.R. Pyridoxal-5-Phosphate Derivatives as HIV Integrase Inhibitors. WO2003082881A2, 9 October 2003. [Google Scholar]
- Li, M.; Tao, Y. Poly(ε-lysine) and its derivatives via ring-opening polymerization of biorenewable cyclic lysine. Polym. Chem. 2021, 12, 1415–1424. [Google Scholar] [CrossRef]
- Becker, J.; Wittmann, C. Bio-based production of chemicals, materials and fuels–Corynebacterium glutamicum as versatile cell factory. Curr. Opin. Biotechnol. 2012, 23, 631–640. [Google Scholar] [CrossRef]
- Chae, T.U.; Ahn, J.H.; Ko, Y.S.; Kim, J.W.; Lee, J.A.; Lee, E.H.; Lee, S.Y. Metabolic engineering for the production of dicarboxylic acids and diamines. Metab. Eng. 2020, 58, 2–16. [Google Scholar] [CrossRef] [PubMed]
- Kind, S.; Wittmann, C. Bio-based production of the platform chemical 1,5-diaminopentane. Appl. Microbiol. Biotechnol. 2011, 91, 1287–1296. [Google Scholar] [CrossRef] [PubMed]
- Kwak, D.H.; Lim, H.G.; Yang, J.; Seo, S.W.; Jung, G.Y. Synthetic redesign of Escherichia coli for cadaverine production from galactose. Biotechnol. Biofuels 2017, 10, 20. [Google Scholar] [CrossRef] [PubMed]
- Qian, Z.G.; Xia, X.X.; Lee, S.Y. Metabolic engineering of Escherichia coli for the production of cadaverine: A five carbon diamine. Biotechnol. Bioeng. 2011, 108, 93–103. [Google Scholar] [CrossRef] [PubMed]
- Ting, W.W.; Ng, I.S. Metabolic manipulation through CRISPRi and gene deletion to enhance cadaverine production in Escherichia coli. J. Biosci. Bioeng. 2020, 130, 553–562. [Google Scholar] [CrossRef]
- Xue, C.; Hsu, K.M.; Ting, W.W.; Huang, S.F.; Lin, H.Y.; Li, S.F.; Chang, J.S.; Ng, I.S. Efficient biotransformation of L-lysine into cadaverine by strengthening pyridoxal 5′-phosphate-dependent proteins in Escherichia coli with cold shock treatment. Biochem. Eng. J. 2020, 161, 107659. [Google Scholar] [CrossRef]
- Rui, J.; You, S.; Zheng, Y.; Wang, C.; Gao, Y.; Zhang, W.; Qi, W.; Su, R.; He, Z. High-efficiency and low-cost production of cadaverine from a permeabilized-cell bioconversion by a Lysine-induced engineered Escherichia coli. Bioresour. Technol. 2020, 302, 122844. [Google Scholar] [CrossRef]
- Verduyckt, J.; Coeck, R.; De Vos, D.E. Ru-Catalyzed Hydrogenation-Decarbonylation of Amino Acids to Bio-based Primary Amines. ACS Sustain. Chem. Eng. 2017, 5, 3290–3295. [Google Scholar] [CrossRef]
- Lv, X.; Ma, Z.; Li, X.; Zhang, Y.; Huang, Y.; Li, T. Highly efficient decarboxylation of L-lysine to cadaverine catalyzed by supported ruthenium oxide. Catal. Commun. 2021, 158, 106339. [Google Scholar] [CrossRef]
- Ma, Z.; Xin, Z.; Qin, S.; Huang, Y. Mn-Doped Highly Dispersed RuO2 Catalyst with Abundant Oxygen Vacancies for Efficient Decarboxylation of l-Lysine to Cadaverine. ACS Sustain. Chem. Eng. 2021, 9, 13480–13490. [Google Scholar] [CrossRef]
- Ma, Z.; Xin, Z.; Qin, S.; Huang, Y. Highly Efficient Decarboxylation of L-Lysine to Cadaverine Catalyzed by RuO2 Encapsulated in FAU Zeolite. Catalysts 2022, 12, 733. [Google Scholar] [CrossRef]
- Xie, S.; Jia, C.; Wang, Z.; Ong, S.S.G.; Zhu, M.J.; Lin, H. Mechanistic Insight into Selective Deoxygenation of l -Lysine to Produce Biobased Amines. ACS Sustain. Chem. Eng. 2020, 8, 11805–11817. [Google Scholar] [CrossRef]
- Tamura, M.; Tamura, R.; Takeda, Y.; Nakagawa, Y.; Tomishige, K. Catalytic hydrogenation of amino acids to amino alcohols with complete retention of configuration. Chem. Commun. 2014, 50, 6656–6659. [Google Scholar] [CrossRef] [PubMed]
- Jere, F.T.; Jackson, J.E.; Miller, D.J. Kinetics of the aqueous-phase hydrogenation of L-alanine to L-alaninol. Ind. Eng. Chem. Res. 2004, 43, 3297–3303. [Google Scholar] [CrossRef]
- Jere, F.T.; Miller, D.J.; Jackson, J.E. Stereoretentive C-H bond activation in the aqueous phase catalytic hydrogenation of amino acids to amino alcohols. Org. Lett. 2003, 5, 527–530. [Google Scholar] [CrossRef]
- Vandekerkhove, A.; Claes, L.; De Schouwer, F.; Van Goethem, C.; Vankelecom, I.F.J.; Lagrain, B.; De Vos, D.E. Rh-Catalyzed Hydrogenation of Amino Acids to Biobased Amino Alcohols: Tackling Challenging Substrates and Application to Protein Hydrolysates. ACS Sustain. Chem. Eng. 2018, 6, 9218–9228. [Google Scholar] [CrossRef]
- Gatto, G.J., Jr.; Boyne, M.T., II; Kelleher, N.L.; Walsh, C.T. Biosynthesis of pipecolic acid by RapL, a lysine cyclodeaminase encoded in the rapamycin gene cluster. J. Am. Chem. Soc. 2006, 128, 3838–3847. [Google Scholar] [CrossRef]
- Khaw, L.E.; Böhm, G.A.; Metcalfe, S.; Staunton, J.; Leadlay, P.F. Mutational biosynthesis of novel rapamycins by a strain of Streptomyces hygroscopicus NRRL 5491 disrupted in rapL, encoding a putative lysine cyclodeaminase. J. Bacteriol. 1998, 180, 809–814. [Google Scholar] [CrossRef]
- Pacella, E.; Collini, S.; Pacella, F.; Piraino, D.C.; Santamaria, V.; De Blasi, R.A. Levobupivacaine vs. racemic bupivacaine in peribulbar anaesthesia: A randomized double blind study in ophthalmic surgery. Eur. Rev. Med. Pharmacol. Sci. 2010, 14, 539–544. [Google Scholar]
- Birt, D.J.; Cummings, G.C. The efficacy and safety of 0.75% levobupivacaine vs 0.75% bupivacaine for peribulbar anaesthesia. Eye 2003, 17, 200–206. [Google Scholar] [CrossRef] [PubMed]
- Adger, B.; Dyer, U.; Hutton, G.; Woods, M. Stereospecific synthesis of the anaesthetic levobupivacaine. Tetrahedron Lett. 1996, 37, 6399–6402. [Google Scholar] [CrossRef]
- Ying, H.; Wang, J.; Shi, T.; Zhao, Y.; Ouyang, P.; Chen, K. Engineering of lysine cyclodeaminase conformational dynamics for relieving substrate and product inhibitions in the biosynthesis of l-pipecolic acid. Catal. Sci. Technol. 2019, 9, 398–405. [Google Scholar] [CrossRef]
- He, M. Pipecolic acid in microbes: Biosynthetic routes and enzymes. J. Ind. Microbiol. Biotechnol. 2006, 33, 401–407. [Google Scholar] [CrossRef] [PubMed]
- Tsotsou, G.E.; Barbirato, F. Biochemical characterisation of recombinant Streptomyces pristinaespiralis l-lysine cyclodeaminase. Biochimie 2007, 89, 591–604. [Google Scholar] [CrossRef]
- Ying, H.; Wang, J.; Wang, Z.; Feng, J.; Chen, K.; Li, Y.; Ouyang, P. Enhanced conversion of L-lysine to L-pipecolic acid using a recombinant Escherichia coli containing lysine cyclodeaminase as whole-cell biocatalyst. J. Mol. Catal. B 2015, 117, 75–80. [Google Scholar] [CrossRef]
- Tani, Y.; Miyake, R.; Yukami, R.; Dekishima, Y.; China, H.; Saito, S.; Kawabata, H.; Mihara, H. Functional expression of l-lysine α-oxidase from Scomber japonicus in Escherichia coli for one-pot synthesis of l-pipecolic acid from dl-lysine. Appl. Microbiol. Biotechnol. 2015, 99, 5045–5054. [Google Scholar] [CrossRef]
- Ginesta, X.; Pericàs, M.A.; Riera, A. Straightforward entry to the pipecolic acid nucleus. Enantioselective synthesis of baikiain. Tetrahedron Lett. 2002, 43, 779–782. [Google Scholar] [CrossRef]
- Chattopadhyay, S.K.; Biswas, T.; Biswas, T. Complementary routes to both enantiomers of pipecolic acid and 4,5-dihydroxypipecolic acid derivatives. Tetrahedron Lett. 2008, 49, 1365–1369. [Google Scholar] [CrossRef]
- Eichhorn, E.; Roduit, J.P.; Shaw, N.; Heinzmann, K.; Kiener, A. Preparation of (S)-piperazine-2-carboxylic acid, (R)-piperazine-2-carboxylic acid, and (S)-piperidine-2-carboxylic acid by kinetic resolution of the corresponding racemic carboxamides with stereoselective amidases in whole bacterial cells. Tetrahedron Asymmetry 1997, 8, 2533–2536. [Google Scholar] [CrossRef]
- Chandren, S.; Ohtani, B. Preparation and reaction of titania particles encapsulated in hollow silica shells as an efficient photocatalyst for stereoselective synthesis of pipecolinic acid. Chem. Lett. 2012, 41, 677–679. [Google Scholar] [CrossRef]
- Ohtani, B.; Iwai, K.; Kominami, H.; Matsuura, T.; Kera, Y.; Nishimoto, S.I. Titanium(IV) oxide photocatalyst of ultra-high activity for selective N-cyclization of an amino acid in aqueous suspensions. Chem. Phys. Lett. 1995, 242, 315–319. [Google Scholar] [CrossRef]
- Pal, B.; Ikeda, S.; Kominami, H.; Kera, Y.; Ohtani, B. Photocatalytic redox-combined synthesis of L-pipecolinic acid from L-lysine by suspended titania particles: Effect of noble metal loading on the selectivity and optical purity of the product. J. Catal. 2003, 217, 152–159. [Google Scholar] [CrossRef]
- Zhai, Y.; Chuang, S.S.C. Photocatalytic Synthesis of Pipecolic Acid from Lysine on TiO2: Effects of the Structure of Catalysts and Adsorbed Species on Chiral Selectivity. Org. Process Res. Dev. 2018, 22, 1636–1643. [Google Scholar] [CrossRef]
- Liu, H.; Han, M.; Liu, X.; Ji, S. Guanylation Significantly Enhances the Antifungal Activity of Poly(α-lysine). ACS Appl. Polym. Mater. 2022, 4, 7508–7517. [Google Scholar] [CrossRef]
- Ho, C.H.; Odermatt, E.; Berndt, I.; Tiller, J.C. Ways of selective polycondensation of L-lysine towards linear α- and ε-poly-L-lysine. J. Polym. Sci. 2008, 46, 5053–5063. [Google Scholar] [CrossRef]
- Shih, I.L.; Van, Y.T.; Shen, M.H. Biomedical applications of chemically and microbiologically synthesized poly(glutamic acid) and poly(lysine). Mini Rev. Med. Chem. 2004, 4, 179–188. [Google Scholar] [CrossRef]
- Kay, M.A. State-of-the-art gene-based therapies: The road ahead. Nat. Rev. Genet. 2011, 12, 316–328. [Google Scholar] [CrossRef]
- Cavallaro, G.; Pitarresi, G.; Giammona, G. Macromolecular prodrugs based on synthetic polyaminoacids: Drug delivery and drug targeting in antitumor therapy. Curr. Top. Med. Chem. 2011, 11, 2382–2389. [Google Scholar] [CrossRef]
- Kahar, P.; Iwata, T.; Hiraki, J.; Park, E.Y.; Okabe, M. Enhancement of ε-polylysine production by Streptomyces albulus strain 410 using pH control. J. Biosci. Bioeng. 2001, 91, 190–194. [Google Scholar] [CrossRef]
- Bankar, S.B.; Singhal, R.S. Panorama of poly-ε-lysine. RSC Adv. 2013, 3, 8586–8603. [Google Scholar] [CrossRef]
- Yang, S.; Leong, J.; Wang, Y.; Sim, R.; Tan, K.H.; Chua, Y.H.; Tan, N.; Lee, A.L.Z.; Tay, J.; Yang, Y.Y. Drug-free neutrally charged polypeptide nanoparticles as anticancer agents. J. Control. Release 2022, 345, 464–474. [Google Scholar] [CrossRef] [PubMed]
- Cramer, J.; Aliu, B.; Jiang, X.; Sharpe, T.; Pang, L.; Hadorn, A.; Rabbani, S.; Ernst, B. Poly-l-lysine Glycoconjugates Inhibit DC-SIGN-mediated Attachment of Pandemic Viruses. ChemMedChem 2021, 16, 2345–2353. [Google Scholar] [CrossRef] [PubMed]
- Mohamed, A.; Korzhikov-Vlakh, V.; Zhang, N.; Said, A.; Pilipenko, I.; Schäfer-Korting, M.; Zoschke, C.; Tennikova, T. Effect of poly(L-lysine) and heparin coatings on the surface of polyester-based particles on prednisolone release and biocompatibility. Pharmaceutics 2021, 13, 801. [Google Scholar] [CrossRef] [PubMed]
- Hyldgaard, M.; Mygind, T.; Vad, B.S.; Stenvang, M.; Otzen, D.E.; Meyer, R.L. The antimicrobial mechanism of action of epsilon-poly-L-lysine. Appl. Environ. Microbiol. 2014, 80, 7758–7770. [Google Scholar] [CrossRef]
- Tan, Z.; Shi, Y.; Xing, B.; Hou, Y.; Cui, J.; Jia, S. The antimicrobial effects and mechanism of ε-poly-lysine against Staphylococcus aureus. Bioresour. Bioprocess. 2019, 6, 11. [Google Scholar] [CrossRef]
- Xu, Z.; Xu, Z.; Feng, X.; Xu, D.; Liang, J.; Xu, H. Recent advances in the biotechnological production of microbial poly(ɛ-l-lysine) and understanding of its biosynthetic mechanism. Appl. Microbiol. Biotechnol. 2016, 100, 6619–6630. [Google Scholar] [CrossRef]
- Shukla, S.C.; Singh, A.; Pandey, A.K.; Mishra, A. Review on production and medical applications of e{open}-polylysine. Biochem. Eng. J. 2012, 65, 70–81. [Google Scholar] [CrossRef]
- Contador, C.A.; Rizk, M.L.; Asenjo, J.A.; Liao, J.C. Ensemble modeling for strain development of l-lysine-producing Escherichia coli. Metab. Eng. 2009, 11, 221–233. [Google Scholar] [CrossRef]
- Xu, D.; Yao, H.; Xu, Z.; Wang, R.; Xu, Z.; Li, S.; Feng, X.; Liu, Y.; Xu, H. Production of ε-poly-lysine by Streptomyces albulus PD-1 via solid-state fermentation. Bioresour. Technol. 2017, 223, 149–156. [Google Scholar] [CrossRef]
- Epand, R.M.; Epand, R.F. Lipid domains in bacterial membranes and the action of antimicrobial agents. Biochim. Et Biophys. Acta Biomembr. 2009, 1788, 289–294. [Google Scholar] [CrossRef] [PubMed]
- Shu, C.; Cui, K.; Li, Q.; Cao, J.; Jiang, W. Epsilon-poly-L-lysine (ε-PL) exhibits multifaceted antifungal mechanisms of action that control postharvest Alternaria rot. Int. J. Food Microbiol. 2021, 348, 109224. [Google Scholar] [CrossRef] [PubMed]
- Bankar, S.B.; Nimbalkar, P.R.; Chavan, P.V.; Singhal, R.S. Microbial Polyamino Acids: An Overview for Commercial Attention. In Role of Materials Science in Food Bioengineering; Academic Press: Cambridge, MA, USA, 2018; pp. 381–412. [Google Scholar]
- Lian, J.; Chen, J.; Tao, Y.; Wang, X. Chapter 8: Chemosynthesis of Poly(ϵ-Lysine) via Ring-opening Polymerization of Cyclic Lysine. In Synthetic Polymer Chemistry: Innovations and Outlook; Zhao, Z., Hu, R., Qin, A., Tang, B.Z., Eds.; RSC Publishing: Cambridge, UK, 2020; pp. 243–263. [Google Scholar] [CrossRef]
- Patil, N.A.; Kandasubramanian, B. Functionalized polylysine biomaterials for advanced medical applications: A review. Eur. Polym. J. 2021, 146, 110248. [Google Scholar] [CrossRef]
- Amariei, G.; Kokol, V.; Vivod, V.; Boltes, K.; Letón, P.; Rosal, R. Biocompatible antimicrobial electrospun nanofibers functionalized with ε-poly-L-lysine. Int. J. Pharm. 2018, 553, 141–148. [Google Scholar] [CrossRef] [PubMed]
- Kaisersberger-Vincek, M.; Štrancar, J.; Kokol, V. Antibacterial activity of chemically versus enzymatic functionalized wool with ɛ-poly-L-lysine. Text. Res. J. 2017, 87, 1604–1619. [Google Scholar] [CrossRef]
- Liu, K.; Zhou, X.; Fu, M. Inhibiting effects of epsilon-poly-lysine (ε-PL) on Pencillium digitatum and its involved mechanism. Postharvest Biol. Technol. 2017, 123, 94–101. [Google Scholar] [CrossRef]
- Wang, D.; Wang, H.; Wu, J.; Hou, Y.; Sun, J.; Yuan, J.; Gu, S. Biotechnological production and application of epsilon-poly-L-lysine (ε-PL): Biosynthesis and its metabolic regulation. World J. Microbiol. Biotechnol. 2022, 38, 123. [Google Scholar] [CrossRef] [PubMed]
- Roviello, G.N.; Di Gaetano, S.; Capasso, D.; Franco, S.; Crescenzo, C.; Bucci, E.M.; Pedone, C. RNA-binding and viral reverse transcriptase inhibitory activity of a novel cationic diamino acid-based peptide. J. Med. Chem. 2011, 54, 2095–2101. [Google Scholar] [CrossRef]
- Shih, I.L.; Shen, M.H.; Van, Y.T. Microbial synthesis of poly(ε-lysine) and its various applications. Bioresour. Technol. 2006, 97, 1148–1159. [Google Scholar] [CrossRef]
- Obst, M.; Steinbüchel, A. Microbial degradation of poly (amino acid)s. Biomacromolecules 2004, 5, 1166–1176. [Google Scholar] [CrossRef]
- Yoshida, T.; Nagasawa, T. ε-poly-L-lysine: Microbial production, biodegradation and application potential. Appl. Microbiol. Biotechnol. 2003, 62, 21–26. [Google Scholar] [CrossRef] [PubMed]
- Nishikawa, M.; Ogawa, K. Distribution of microbes producing antimicrobial ε-poly-L-lysine polymers in soil microflora determined by a novel method. Appl. Environ. Microbiol. 2002, 68, 3575–3581. [Google Scholar] [CrossRef] [PubMed]
- Hirohara, H.; Takehara, M.; Saimura, M.; Masayuki, A.; Miyamoto, M. Biosynthesis of poly(ε-L-lysine)s in two newly isolated strains of Streptomyces sp. Appl. Microbiol. Biotechnol. 2006, 73, 321–331. [Google Scholar] [CrossRef] [PubMed]
- Eom, K.D.; Park, S.M.; Tran, H.D.; Kim, M.S.; Yu, R.N.; Yoo, H. Dendritic α,ε-poly(L-lysine)s as delivery agents for antisense oligonucleotides. Pharm. Res. 2007, 24, 1581–1589. [Google Scholar] [CrossRef]
- Wang, W.; Tian, S.; Lu, J.; Zheng, Y.; Yan, Z.; Wang, D. Highly sensitive photoresponsive polyamide 6 nanofibrous membrane containing embedded spiropyran. J. Mater. Sci. 2021, 56, 18775–18794. [Google Scholar] [CrossRef]
- Russo, S.; Casazza, E. Ring-Opening Polymerization of Cyclic Amides (Lactams). In Polymer Science: A Comprehensive Reference, 10 Volume Set; Elsevier Science: Amsterdam, The Netherlands, 2012; Volume 4, pp. 331–396. [Google Scholar]
- Hashimoto, K. Ring-opening polymerization of lactams. Living anionic polymerization and its applications. Prog. Polym. Sci. 2000, 25, 1411–1462. [Google Scholar] [CrossRef]
- He, W.; Tao, Y.; Wang, X. Functional Polyamides: A Sustainable Access via Lysine Cyclization and Organocatalytic Ring-Opening Polymerization. Macromolecules 2018, 51, 8248–8257. [Google Scholar] [CrossRef]
- Zhang, S.; Tao, Y.H. Synthesis of two functional cyclic lysine monomers. Chin. J. Appl. Chem. 2021, 38, 1676–1678. [Google Scholar] [CrossRef]
- Hyon, W.; Hyon, S.H.; Matsumura, K. Evaluation of the optimal dose for maximizing the anti-adhesion performance of a self-degradable dextran-based material. Carbohydr. Polym. Technol. Appl. 2022, 4, 100255. [Google Scholar] [CrossRef]
- Hyon, W.; Shibata, S.; Ozaki, E.; Fujimura, M.; Hyon, S.H.; Matsumura, K. Elucidating the degradation mechanism of a self-degradable dextran-based medical adhesive. Carbohydr. Polym. 2022, 278, 118949. [Google Scholar] [CrossRef]
- Lin, Q.; Yang, Y.; Hu, Q.; Guo, Z.; Liu, T.; Xu, J.; Wu, J.; Kirk, T.B.; Ma, D.; Xue, W. Injectable supramolecular hydrogel formed from α-cyclodextrin and PEGylated arginine-functionalized poly(L-lysine) dendron for sustained MMP-9 shRNA plasmid delivery. Acta Biomater. 2017, 49, 456–471. [Google Scholar] [CrossRef] [PubMed]
- Kaisersberger Vincek, M.; Mor, A.; Gorgieva, S.; Kokol, V. Antibacterial activity and cytotoxycity of gelatine-conjugated lysine-based peptides. J. Biomed. Mater. Res. 2017, 105, 3110–3126. [Google Scholar] [CrossRef] [PubMed]
- Smith, J.K.; Hounshell, D.A. Wallace, H. Carothers and fundamental research at Du Pont. Science 1985, 229, 436–442. [Google Scholar] [CrossRef] [PubMed]
- Talwar, R.B. Fiber-Forming Materials: Fiber Technology, Fiber Processing and Applications. In Proceedings of the AiCHE Annual Meeting, Boston, MA, USA, 7–19 November 2021. [Google Scholar]
- Oh, K.; Kim, H.; Seo, Y. Effect of Diamine Addition on Structural Features and Physical Properties of Polyamide 6 Synthesized by Anionic Ring-Opening Polymerization of ϵ-Caprolactam. ACS Omega 2019, 4, 17117–17124. [Google Scholar] [CrossRef]
- Bhattacharjee, J.; Harinath, A.; Sarkar, A.; Panda, T.K. Polymerization of ϵ-Caprolactam to Nylon-6 Catalyzed by Barium σ-Borane Complex under Mild Condition. ChemCatChem 2019, 11, 3366–3370. [Google Scholar] [CrossRef]
- Rusu, G.H.; Ueda, K.; Rusu, E.; Rusu, M. Polyamides from lactams by centrifugal molding via anionic ring-opening polymerization. Polymer 2001, 42, 5669–5678. [Google Scholar] [CrossRef]
- Ueda, K.; Nakai, M.; Hosoda, M.; Tai, K. Synthesis of high molecular weight nylon 6 by anionic polymerization of ε-caprolactam. Mechanism and kinetics. Polym. J. 1997, 29, 568–573. [Google Scholar] [CrossRef]
- Udipi, K.; Davé, R.S.; Kruse, R.L.; Stebbins, L.R. Polyamides from lactams via anionic ring-opening polymerization: 1. Chemistry and some recent findings. Polymer 1997, 38, 927–938. [Google Scholar] [CrossRef]
- Davé, R.S.; Kruse, R.L.; Udipi, K.; Williams, D.E. Polyamides from lactams via anionic ring-opening polymerization: 3. Rheology. Polymer 1997, 38, 949–954. [Google Scholar] [CrossRef]
- Tüzün, F.N. Effect of the activator type and catalyst/activator ratio on physical and mechanical properties of cast PA-6. Polym. Plast. Technol. Eng. 2008, 47, 532–541. [Google Scholar] [CrossRef]
- Mathaew, L.; Narayanankutty, S.K. Nanosilica as dry bonding system component and as reinforcement in short nylon-6 fiber/natural rubber composite. J. Appl. Polym. Sci. 2009, 112, 2203–2212. [Google Scholar] [CrossRef]
- Sathyan, A.; Hayward, R.C.; Emrick, T. Ring-Opening Polymerization of Allyl-Functionalized Lactams. Macromolecules 2019, 52, 167–175. [Google Scholar] [CrossRef]
- Semperger, O.V.; Osváth, Z.; Pásztor, S.; Suplicz, A. The effect of the titanium dioxide nanoparticles on the morphology and degradation of polyamide 6 prepared by anionic ring-opening polymerization. Polym. Eng. Sci. 2022, 62, 2079–2088. [Google Scholar] [CrossRef]
- Tunc, D.; Le Coz, C.; Alexandre, M.; Desbois, P.; Lecomte, P.; Carlotti, S. Reversible cross-linking of aliphatic polyamides bearing thermo- and photoresponsive cinnamoyl moieties. Macromolecules 2014, 47, 8247–8254. [Google Scholar] [CrossRef]
- Lian, J.; Chen, J.; Luan, S.; Liu, W.; Zong, B.; Tao, Y.; Wang, X. Organocatalytic Copolymerization of Cyclic Lysine Derivative and ϵ-Caprolactam toward Antibacterial Nylon-6 Polymers. ACS Macro Lett. 2022, 11, 46–52. [Google Scholar] [CrossRef]
- Mourgas, G.; Giebel, E.; Schneck, T.; Unold, J.; Buchmeiser, M.R. Syntheses of intrinsically flame-retardant polyamide 6 fibers and fabrics. J. Appl. Polym. Sci. 2019, 136, 47829. [Google Scholar] [CrossRef]
- Zhang, S.; Fan, X.; Xu, C.; Ji, P.; Wang, C.; Wang, H. An inherently flame-retardant polyamide 6 containing a phosphorus group prepared by transesterification polymerization. Polymer 2020, 207, 122890. [Google Scholar] [CrossRef]
- Čolović, M.; Vasiljević, J.; Štirn; Čelan Korošin, N.; Šobak, M.; Simončič, B.; Demšar, A.; Malucelli, G.; Jerman, I. New sustainable flame retardant DOPO-NH-functionalized polyamide 6 and filament yarn. Chem. Eng. J. 2021, 426, 130760. [Google Scholar] [CrossRef]
- Parvez Mahmud, M.A.; Huda, N.; Hisan Farjana, S.; Lang, C. Environmental profile evaluations of piezoelectric polymers using life cycle assessment. In IOP Conference Series: Earth and Environmental Science, Proceedings of the 2018 7th International Conference on Clean and Green Energy-ICCGE 2018, Paris, France, 7–9 February 2018; IOP Publishing Ltd.: Bristol, UK, 2018. [Google Scholar]
- Yang, P.; Li, X.; Liu, H.; Li, Z.; Liu, J.; Zhuang, W.; Wu, J.; Ying, H. Thermodynamics, crystal structure, and characterization of a bio-based nylon 54 monomer. CrystEngComm 2019, 21, 7069–7077. [Google Scholar] [CrossRef]
- Guo, Y.F.; Hao, X.M.; Li, Y.L.; Yang, Y.; Chen, X.; Wang, J.M. Evaluate on the alkaline resistance properties of bio-based nylon 56 fiber compared with the normal nylon fiber. Adv. Mater. Res. 2014, 1048, 31–35. [Google Scholar]
- Wang, Y.; Zhang, Y.; Xu, Y.; Liu, X.; Guo, W. Research on compatibility and surface of high impact bio-based polyamide. High Perform. Polym. 2021, 33, 960–968. [Google Scholar] [CrossRef]
- Xue, C.; Hsu, K.M.; Chiu, C.Y.; Chang, Y.K.; Ng, I.S. Fabrication of bio-based polyamide 56 and antibacterial nanofiber membrane from cadaverine. Chemosphere 2021, 266, 128967. [Google Scholar] [CrossRef] [PubMed]







Disclaimer/Publisher’s Note: The statements, opinions and data contained in all publications are solely those of the individual author(s) and contributor(s) and not of MDPI and/or the editor(s). MDPI and/or the editor(s) disclaim responsibility for any injury to people or property resulting from any ideas, methods, instructions or products referred to in the content. |
© 2022 by the authors. Licensee MDPI, Basel, Switzerland. This article is an open access article distributed under the terms and conditions of the Creative Commons Attribution (CC BY) license (https://creativecommons.org/licenses/by/4.0/).
Share and Cite
Liu, K.; Shao, B.; Zheng, B.; Zong, B. Catalytic Production of Functional Monomers from Lysine and Their Application in High-Valued Polymers. Catalysts 2023, 13, 56. https://doi.org/10.3390/catal13010056
Liu K, Shao B, Zheng B, Zong B. Catalytic Production of Functional Monomers from Lysine and Their Application in High-Valued Polymers. Catalysts. 2023; 13(1):56. https://doi.org/10.3390/catal13010056
Chicago/Turabian StyleLiu, Kangyu, Bingzhang Shao, Bo Zheng, and Baoning Zong. 2023. "Catalytic Production of Functional Monomers from Lysine and Their Application in High-Valued Polymers" Catalysts 13, no. 1: 56. https://doi.org/10.3390/catal13010056
APA StyleLiu, K., Shao, B., Zheng, B., & Zong, B. (2023). Catalytic Production of Functional Monomers from Lysine and Their Application in High-Valued Polymers. Catalysts, 13(1), 56. https://doi.org/10.3390/catal13010056












