Next Article in Journal
Tungsten Trioxide and Its TiO2 Mixed Composites for the Photocatalytic Degradation of NOx and Bacteria (Escherichia coli) Inactivation
Next Article in Special Issue
A Reusable FeCl3∙6H2O/Cationic 2,2′-Bipyridyl Catalytic System for Reduction of Nitroarenes in Water
Previous Article in Journal
The Organic Bromide Sources Adjusting the Shape and Band Structures of BiOBr Nanosheets for Enhanced Photodegradation Performances of BPA
Previous Article in Special Issue
Copper Catalyzed Inverse Electron Demand [4+2] Cycloaddition for the Synthesis of Oxazines
 
 
Font Type:
Arial Georgia Verdana
Font Size:
Aa Aa Aa
Line Spacing:
Column Width:
Background:
Review

Recent Advances of Green Catalytic System I2/DMSO in C–C and C–Heteroatom Bonds Formation

1
Department of Pharmacy, Shaanxi University of Chinese Medicine, Xianyang 712046, China
2
Department of Chemistry, School of Pharmacy, The Fourth Military Medical University, Xi’an 710032, China
*
Authors to whom correspondence should be addressed.
Catalysts 2022, 12(8), 821; https://doi.org/10.3390/catal12080821
Submission received: 31 May 2022 / Revised: 21 July 2022 / Accepted: 21 July 2022 / Published: 26 July 2022
(This article belongs to the Special Issue Catalysis in Green Chemistry and Organic Synthesis)

Abstract

:
Developing a green, practical and efficient method for the formation of C–C and C–Heteroatom bonds is an important topic in modern organic synthetic chemistry. In recent years, the I2/DMSO catalytic system has attracted wide attention because of its green, high efficiency, atomic economy, low cost, mild reaction conditions and it is environment-friendly, which is more in line with the requirements of sustainable chemistry. Heteroatom-containing compounds have shown lots of important applications in pharmaceutical synthesis, agrochemicals, material chemistry and organic dyes. At present, the I2/DMSO catalytic system has been successfully applied to the synthesis of various heteroatom-containing compounds. The C–C and C–Heteroatom bonds have been formed efficiently, which has been proved to be a green and mild catalytic system. In this review, the research achievements of the I2/DMSO catalytic system in the formation of C–C and C–Heteroatom bonds from 2015 to date are described, and the research area is prospected. This review attempts to reveal the general law of iodine catalysis and lay a foundation for the design of new reactions.

1. Introduction

In recent years, it has been found that molecular iodine is a kind of green catalyst which is insensitive to air and water, with the superiority of being inexpensive, non-toxic and having high stability [1]. Molecular iodine-catalyzed reactions are usually mild, which is more in line with the principle of modern green chemistry, so it is considered to be an effective substitute for transition metal catalysis. Iodine exhibits high catalytic activity both in solution and under solvent-free reaction conditions and can be used in various chemical reactions [2,3,4,5,6,7]. In addition, iodine can be easily removed from the reaction mixture by washing with a reducing agent, which is convenient to use. Therefore, elemental iodine has been developed as an efficient catalyst for various organic transformations [8].
Dimethyl sulfoxide (DMSO) is commonly used as a solvent, and it is usually reported in the literature as an oxidant, ligand, DNA primer inhibitor, and cryoprotectant [9]. Moreover, it often plays multiple roles as a solvent, oxidant and oxygen source at the same time [10]. In addition, DMSO can also be converted into DMS (Dimethyl Sulfide) as a sulfurization reagent, which plays an important role in the field of medicine and food. Because of its low cost and environmental friendliness, DMSO is widely used in various green organic syntheses and transformations [11,12].
It is a new direction of organic synthesis to replace rare or toxic heavy metal oxidants with cheap and environment-friendly oxidants. The catalytic systems of iodine catalysis combined with oxidants, such as H2O2 [13], TBHP [14,15,16,17] and DMSO have been increasingly reported in recent years. Especially the I2/DMSO combination has been proved to be a simple and mild catalytic system.
We used Scifinder database and Google academic search platform to search for “I2/DMSO”, “Iodine-Catalyzed” and “Iodine” as keywords, screen the retrieved literature and find out the references that meet the conditions. The schematic chart shows the documents about the “Formation of C–C bonds and C–Heteroatom bonds catalyzed by I2/DMSO” from 2015 to 2022 (Figure 1).
Through the reactions of cross-dehydrogenation coupling, C–H bond functionalization, oxidative coupling and other reaction strategies, I2/DMSO has been successfully applied to the formation of C–X bonds, which can effectively introduce different heteroatom substitution groups, including C–S, C–O, C–N, et al., and increase the complexity and practical value of the molecular structure (Figure 2).
Predecessors have summarized the role of the green oxidation system I2/DMSO in organic synthesis [18]. However, there is no specific classification for the formation of C–C and C–Heteroatom bonds by using the I2/DMSO catalytic system. So, this review concentrates on the research achievements of the I2/DMSO catalytic system in the formation of C–C and C–Heteroatom bonds from 2015 to date, and the prospect of this research area is prospected.

2. C–S Bond Formation

The formation of the C–S bond is one of the important tools in modern organic synthesis and the main way to synthesize sulfur compounds. The continuous exploration of simple and efficient C–S bond construction methods has become a hot field in organic chemistry.
In 2016, Braga et al. adopted the catalytic system (I2/DMSO) to realize regioselective chalcogenations of imidazo[1,2-a]pyridines 1 (Scheme 1) [19]. This method provides the desired products for selective vulcanization at the C-3 position for up to a 96% yield by using dimethyl sulfoxide as an oxidant in an inert atmosphere without a metal catalyst. This mild, simple and green approach allowed the preparation of chalcogenated imidazo[1,2-a]pyridines 3 with structural diversity. The reaction is well tolerated to different substituents of the R1 position and R2 position, but the substitution position of R1 is only an aryl-substitution. The scope of substrate applicability is very limited.
Wang et al. formed C-4 sulfenylated pyrazoles 6 by iodine catalyzed direct cross dehydrogenation coupling reaction (CDC) between pyrazole 4 and mercaptan 5 (Scheme 2) [20]. This new method is highly efficient and practical, and the starting materials are readily available. The remarkable advantages of this reaction are not adding any base, ligand, or additive and good tolerance of functional groups. The reaction yield is generally high (up to 96%). The present method provides a useful strategy for the construction of a series of thiol-substituted pyrazole motifs. What is more, the authors used m-CPBA (m-chloroperbenzoic acid) directly oxidized A to sulfonyl product B, which is a potential biological C-4 sulfenylated pyrazole framework.
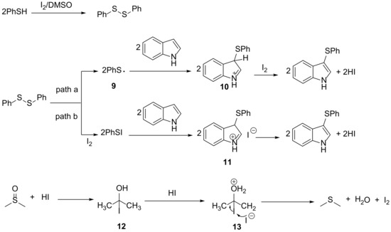
In 2016, Shen et al. reported an efficient method for the iodine-catalyzed regioselective sulfenylation of indoles 8 in the presence of DMSO (Scheme 3) [21]. In this scheme, with I2 as catalyst and DMSO as oxidant, the C(sp2)–H bond of indole 7 C-3 is regioselectively activated and reacts with aryl/alkyl mercaptans 5 to form a C–S bond. Various indoles can be reacted with mercaptans to obtain corresponding 3-sulfoindoles in good to excellent yields (67~96%). The reaction has good tolerance to various functional groups, and the most remarkable characteristics are simple operation and metal-free reaction conditions. Subsequently, the authors proposed a reasonable reaction mechanism for 3-sulfonation of indole (as shown in Scheme 4). Initially, disulfide is generated from thiol in the presence of I2 and DMSO. Subsequently, thio radical 9 is formed from disulfide. The radical 9 reacts with indole giving intermediate 10, which loses the hydrogen atom to release the product 3-sulfenylindole (path a). The transformation may also involve a second approach (path b). The disulfide can react with I2 to produce PhSI, which attacks the C-3 position of indole to produce intermediate 11. Then the intermediate 11 is deprotonated, and the product 3-sulfenylindole is generated. HI produced in two paths reacts with DMSO to form intermediate 12. Protonation of 12 obtains intermediate 13, which is nucleophilically attacked by I on the iodide atom to regenerate I2 and release dimethylsulfane and H2O.
In the same year, Prabhu et al. reported a metal-free regioselective sulfenylation of the α-CH3 group of ketones, which had been achieved in the presence of the α-CH2 or α-CH group using the cross dehydrogenative (CDC) strategy (Scheme 5) [22]. This is the first report to realize the regioselective sulfonation of methyl ketones 17 or aldehydes 18 in the presence of α-CH2 or α-CH. The aldehydes also showed good selectivity, forming the corresponding α-sulfonation products 14 or 16. This effective sulfonation reaction of ketones or aldehydes with thiones 15 or heterocyclic mercaptan 5 utilizes dimethyl sulfoxide (DMSO) as an oxidant and solvent. The environmentally-friendly approach uses easily available and inexpensive I2 and DMSO. The approach has a wide range of substrates and the yield is 60~96%.
The application of dimethyl sulfoxide as an oxidant has become one of the research topics with great application value and practicability. Due to increasing concerns about environmental protection and waste generation, considerable efforts have been made to find sustainable alternatives. In 2017, Prabhu et al. synthesized polyfunctionalized aminothioalkenes 20 by using iodine as a catalyst (30 mol%), dimethyl sulfoxide as an oxidant under metal-free reaction conditions and through the cross dehydrogenation coupling (CDC) strategy (Scheme 6) [23]. This method used a cross-dehydrogenative coupling strategy to carry out a simple sulfonation reaction of enamino ketone 19 with a wide range of heterocyclic thiols and thiols. In addition, the strategy has high practicability because it uses cheap and readily available iodine and DMSO in a short reaction time. The current method provides a direct method for the sulfenylation of enaminones through cross-dehydrogenation coupling. Moreover, the method is suitable for all kinds of enaminone derivatives, including mercaptan, thioketone and thiophenol derivatives. However, in this reaction, the authors only investigated that different electron-withdrawing groups (EWG) can participate in the reaction smoothly. The substrates of electron donor substituents have not been systematically investigated, and the substituent groups of R1 and R2 are too limited. The range of substrates is too narrow.
Recently, pyrazole thioether derivatives have attracted wide attention as antioxidants and herbicides. Based on previous research, the Prabhu group further successfully explored a simple and efficient sulfenylation of pyrazolones 21 with a diverse range of heterocyclic thiols 5, heterocyclic thiones 15 and disulfides 22 by using dimethyl sulfoxide as an oxidant (Scheme 7) [24]. The substrate range of this method was very wide, and the target product was obtained in good to excellent yields (54~97%) in a short time. This methodology provides a simple process for the formation of C–S bonds through the thioetherification of pyrazolones. The most important feature of the reaction is that most of the products after the reaction can be separated in pure form, and do not need to be purified by column chromatography.
At present, metal-catalyzed direct C–H sulfidation of aromatics or heteroaromatic hydrocarbons has become the main method for the synthesis of sulfides. However, considering the toxicity of the residual metal in the target products, the direct functionalization of the C–H bond to form a C–S bond by metal-free catalysis seems to be very attractive. Ma et al. developed an iodine-catalyzed regioselective sulfenylation of imidazo[1,5-a]quinolines 25 under metal- and oxidant-free reaction conditions in 2017 (Scheme 8) [25]. They used disulfides or thiophenols as sulfenylating agents 26, 3-sulfenylimid azo[1,5-a]quinoline derivatives 27 were obtained in good to excellent yields (54~99%) with broad functional group tolerance. A multicomponent reaction for the synthesis of 1-sulfoimidazolo[1,5-a]pyridine was also described. In this work, the authors also carried out cytotoxicity experiments on 3-sulfenylated imidazo[1,5-a]quinolines. Preliminary biological activity evaluation showed that some 3-sulfoimidazolo[1,5-a]quinoline compounds had significant anti-cancer activities. Therefore, this method is helpful to study the structure-activity relationship (SAR) of this kind of anticancer drug, so as to determine the leading compounds with strong anticancer activity.
In addition, they proposed the possible mechanism of regioselective sulfonylation reaction (as shown in Scheme 9). Firstly, the intermediate 29 of 3-iodoimidazole[1,5-a]quinoline was formed in the I2/DMSO system after the iodination of the imidazolequinoline substrate 28. Subsequently, diphenyl disulfide (PhSSPh) was heated and pyrolyzed to generate thiol radical (PhS·) intermediate 30, which reacted with intermediate 29 to generate aryl radical 32 and sulfonyl iodide (PhSI) 31. Aryl radical 32 was bound with thiol radical (PhS·), and the target product compound 33 was obtained. At the same time, compound 33 and HI were obtained by the electrophilic attack of PhSI on imidazo[1,5-a]quinoline. Finally, HI was oxidized to iodine to realize the overall catalytic cycle.
Among sulfur-containing compounds, organic sulfone compounds are an important class, which have aroused great interest of chemists because of their versatility as organic synthesis intermediates and construction modules as bioactive molecules or functional materials. In 2017, Yallapragada et al. described a method that is novel iodine-catalyzed functionalization of a variety of olefins 34 and alkynes 35 and direct decarboxylative functionalization of cinnamic and propiolic acids with TosMIC to provide access to various vinyl 36, allyl 37, and β-iodo vinylsulfones 38 (Scheme 10) [26]. This method has the advantages of simple operation, short reaction time, high yield (up to 94%), high regioselectivity and stereoselectivity, and a wide substrate range. This simple, efficient and environmental-friendly method by using cheap molecular iodine, provides a general protocol for the synthesis of high-value sulfone compounds, making them attractive in synthesis and pharmaceutical chemistry.
Subsequently, the authors proposed the corresponding reaction mechanism. In terms of mechanism, the insertion of sulfone is carried out through the free radical mechanism (as shown in Scheme 11). The interaction between iodine and TosMIC generates p-toluenesulfonyl iodine 39, which is accompanied by the formation of iodine radicals. Subsequently, p-toluenesulfonyl iodine undergoes homolysis to generate sulfonyl radical 40 and then reacts with styrene 41 to generate alkyl radical 42. Alkyl radical 42 combines with iodine radical to obtain sulfone 43. Finally, compound 43 eliminates HI to obtain vinyl sulfone 44. The regeneration of molecular iodine is realized by oxidizing HI to molecular iodine through DMSO and generating dimethyl sulfide and water.
In 2019, Pramanik et al. used iodine as catalyst and dimethyl sulfoxide as an oxidant, and realized the one-pot, three-component and transition metal free regioselective sulfonation of 2-iminothiazoline by the cross-dehydrogenative coupling (CDC) strategy via C(sp2)–H functionalization (Scheme 12) [27]. The reaction allows the participation of various aryl 45 and heterocyclic thiols 5, including heterocyclic thiols 5 with substituents showing different electronic properties, and the highest yield was up to 82%. When the authors did not use iodine, the reaction was not observed, indicating that iodine played a certain catalytic role. Subsequently, the vulcanized product 47 was selectively oxidized to 5-sulfenyl-2-imidothiazoline derivatives 48 under mild reaction conditions by using m-chloroperoxybenzoic acid as an oxidant. That is an important part of chiral auxiliaries and enzyme-activating agents. This C–H functionalization strategy is characterized by metal-free and open-air reaction conditions, which provides a mild and effective method to achieve different substituted 5-sulfenyl-2-iminothiazoline derivatives.
In 2019, Ahmed et al. used I2/DMSO to catalyze the reaction of arylacetylene 49 and found that under heating conditions, a unique selective iodinated olefin 50 with an –SMe substitution was produced (Scheme 13) [28]. Despite the variation in the nature of acetylenes, the reactions presented a broad substrate scope and the yield is up to 82%. The reaction is compatible with various electronic substituents on benzene, but when benzene contains electron-withdrawing groups (such as trifluoromethyl), the yield is slightly lower than that of electron donor groups. The authors proposed the mechanism of these reactions which are shown in Scheme 14. The initial step for the synthesis of products primarily involves the reaction of acetylene 49 and iodine to give intermediate 51. Intermediate 51 undergoes iodination to iododium ion intermediate 52, which undergoes conversion to product 50 at 80 °C.
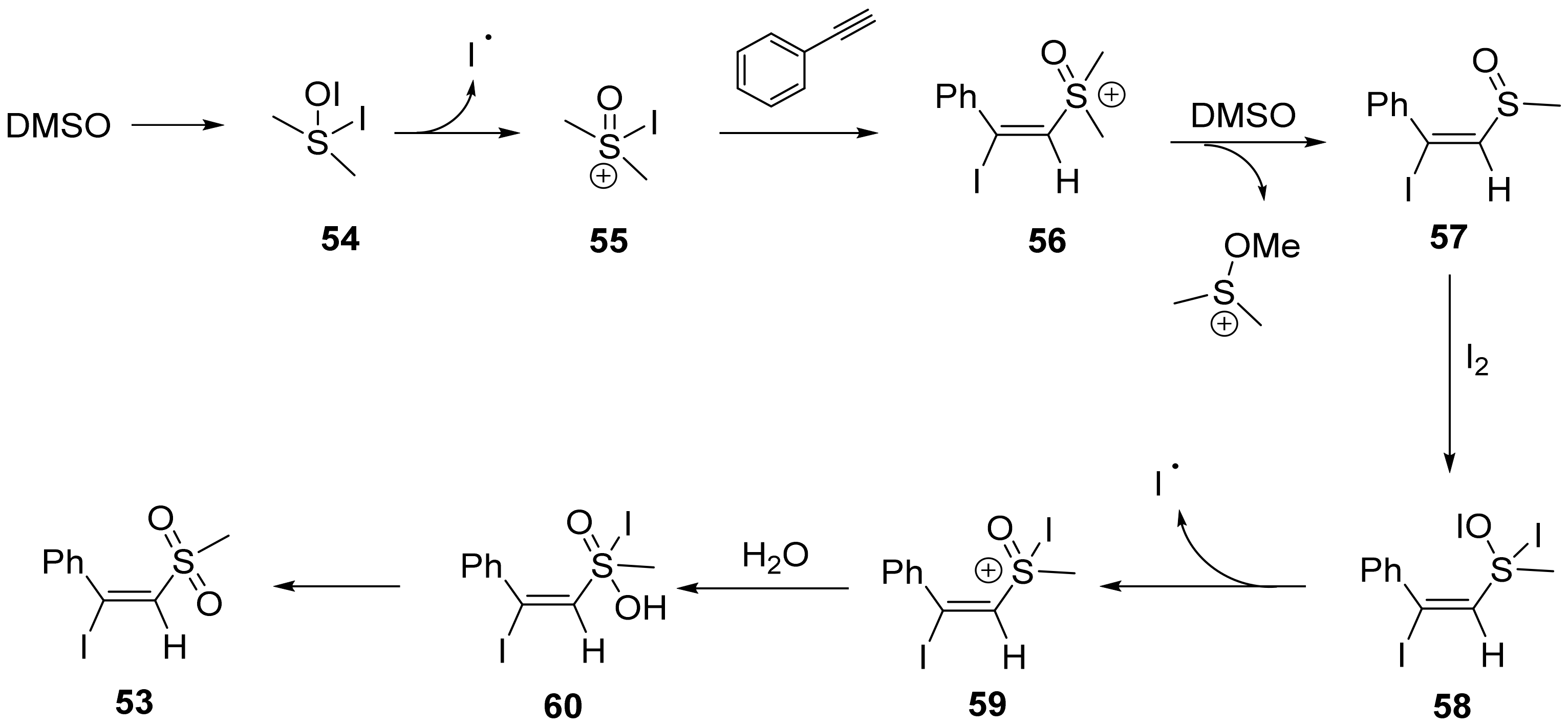
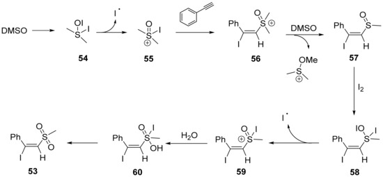
In 2019, Liu et al. found a simple and green reaction—the iodization-methylsulfoxidation of alkynes to access (E)-α-iodo-β-methylsulfonylalkenes 53 (Scheme 15) [29]. In addition, the protocol provides a novel approach to using DMSO as the source of the –SO2Me group and H2O as the “O” source of the –SO2Me group. This is also the first report on the reaction of alkynes 49 with molecular iodine, dimethyl sulfoxide and water to synthesize iodovinyl methylsulfones. This method is simple and efficient, has a wide range of substrates, excellent selectivity (X-ray single crystal diffraction analysis showed that all products were E-structures), and a maximum yield of 81%. Then, the authors put forward a plausible reaction mechanism (as shown in Scheme 16). Initially, I2 reacted with DMSO at high temperatures to afford an iodinated sulfide 54. At high temperature, 54 quickly decomposed and converted to a sulfinyl iodide cation 55. The subsequent addition of 54 to the C≡C of phenylacetylene resulted in the adduct iodovinylsulfoxide cation 56. The subsequent abstraction of a methyl group from 56 by the weakly nucleophilic DMSO afforded iodovinylsulfoxide 57. Iodovinylsulfoxide 57 furnished another iodovinylsulfoxide cation 59 in the presence of I2, which would be quickly converted to intermediate 60 by the nucleophilic attack of H2O. Finally, the elimination of HI from 60 produced the desired product 53. The mechanism is different from that of Scheme 14. The formation of iodonium ion intermediates is not involved in this reaction.
As an important 2N1S-heterocyclic structural unit, 1,2,3-thiadiazole is ubiquitous in natural products and drug molecules. Because of its unique biological activity and inherent reactivity, 1,2,3-thiadiazole has been widely used in medicine. In 2020, Gu et al. developed the I2/DMSO-catalyzed selective cyclization of N-tosylhydrazones 61 with sulfur 62 and applied the reaction to the synthesis of 4-aryl-1,2,3-thiadiazole 63 (Scheme 17) [30]. In this reaction, the oxidation of HI with DMSO as a double oxidant and solvent is the key to the regeneration of I2, which ensures the success of the synthesis. Meanwhile, the protocol has the characteristics of simple operation, economical steps (one-pot fashion), a wide range of substrates and also can be reacted in a large scale experiment. This reaction can tolerate aromatic hydrocarbons replaced by various functional groups, and the yield was generally high. However, when Ar is a heterocyclic (such as pyridine) or cycloalkane, the corresponding target product is not observed.

3. C–N Bond Formation

The construction of the C–N bond is widely used in pharmaceutical chemistry, material chemistry and other fields. Amines and their derivatives, nitrogen-containing heterocyclics, can be prepared by constructing a C–N bond.
In 2015, Liu et al. developed a method for the oxidation of C(sp3)–H amination by iodine-catalyzed tertiary amine/C–N cleavage in an oxygen atmosphere, which provides a way for the synthesis of quinazolines 67 and quinazolidinones 68 through the domino ring. The carbon atoms introduced by heterocycles come from the N-methyl part of tertiary amine 66 (Scheme 18) [31]. The main advantages of this method are that the reaction system is metal-free, peroxide-free, simple to operate and has good reactivity to different types of substrates. It is different from other known syntheses of quinazoline and quinazolinone. The highest yield of the reaction was 99% and it represents a new approach for the formation of multiple C–N bond. Meanwhile, the authors gave a plausible mechanism for the formation of the quinazolines (as shown in Scheme 19). Initially, the reaction of TMEDA with iodine gave an aminium iodide 69 and then generated an iminium iodide 70 by removing one molecular HI. Subsequently, nucleophilic addition of 64 to 70 provided an intermediate 71 by the removal of another molecular HI. Intermediate 72 could be formed through the elimination of 71. Then through nucleophilic addition of ammonia, 72 was transformed into addition intermediate 73. Finally, 67 was obtained via a tandem condensation-oxidation process of 73.
Sureshbabu et al. reported an effective and direct method for coupling Nα-protected hydroxamic acid 75 with amino component 77 to form peptide 78 in the presence of iodine in 2015 (Scheme 20) [32]. The coupling reaction of hydroxamic acid with an amine under mild reaction conditions and a short reaction time is mediated by the formation of an acyl nitroso intermediate 76, which is unstable but reactive. This reaction is convenient to operate, and the separation of the product is also very simple. Meanwhile, the reaction showed good tolerance to Fmoc, Boc and Cbz protecting groups. The peptides hydroxamic acids were found to be useful substrates in coupling reactions, but the substrates’ scope was not well explored, and there are only 13 examples reported.
In 2015, Bharate et al. introduced a method that used molecular iodine to catalyze the oxidative coupling of 2-aminobenzamide 66 with aryl methyl ketone 80 to produce 2-aryl quinazolin-4(3H)-one 81 (Scheme 21) [33]. The reaction still performs well without any metal or ligand. The amount of iodine plays an important role in this conversion process. When there is no iodine or too much iodine (up to 150 mol%), the reaction is not carried out or the reaction effect is very poor. Finally, when the amount of iodine is 10 mol%, 2-arylquinazoline-4(3H)-1 can be selectively obtained. Meanwhile, the practicability of this scheme in the synthesis of pyrazolo[4,3-d]pyrimidin-7(6H)-ones, which includes a key intermediate involved in the synthesis of sildenafil.
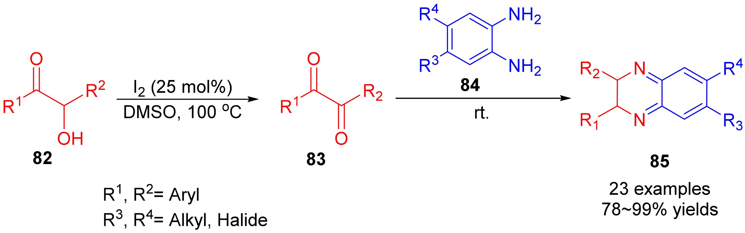
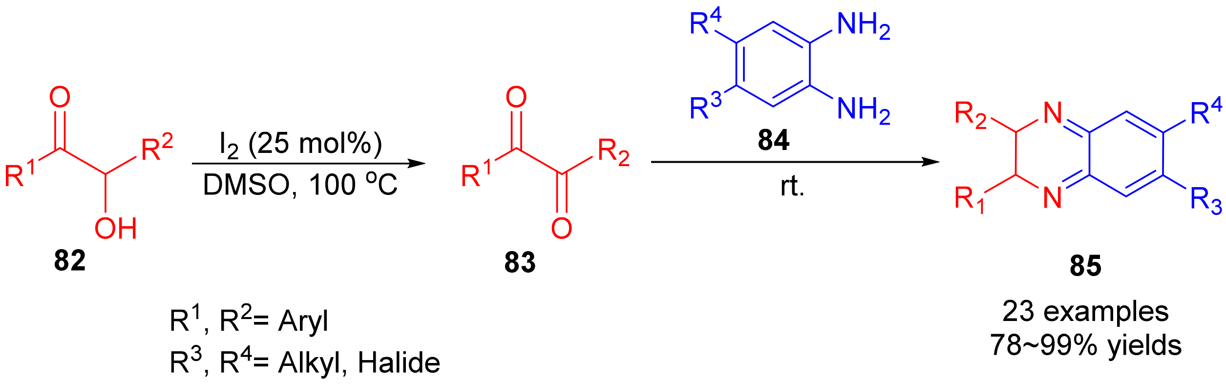
Quinoxaline derivatives are a kind of important nitrogen-containing heterocyclic compounds, which exist in a variety of natural products and bioactive compounds [34,35]. Their antiviral and antibacterial activities have been well known, and they are also powerful in antineoplastic drugs. In 2015, Ma et al. developed an efficient Iodine-DMSO catalyzed system to synthesize quinoxaline derivatives 85 (Scheme 22) [36]. This quinoxaline system was formed through a one-pot oxidation and cyclization process. Various quinoxaline derivatives 85 were synthesized with iodine as a catalyst, DMSO as solvent and oxidant, 2-hydroxy-2-acetophenone 82 and o-diaminobenzene 84 (Secondary alcohols are first oxidized to ketones 83 by Iodine-DMSO). A variety of quinoxaline derivatives were obtained by this reaction, and the yield was from good to excellent (78~99%). This one-pot metal-free method to construct quinoxaline derivatives has a potential application prospect in biochemistry and pharmaceutical chemistry.
In the same year, Chaskar et al. synthesized quinoxalines 90 in a one-pot and atom-economic process by the condensation of arylglyoxal from easily available ethylarenes 86, ethylenearenes 87 and ethynearenes 88, and subsequent condensation with o-phenylenediamines 89 (Scheme 23) [37]. In DMSO, the catalytic I2 system with tert-buthyl hydroperoxide as the oxidant is the preferred system for this C–H functionalization/oxidative cyclization domino reaction, with the highest yield of 93%. This metal-free, unique mechanism and functional group-tolerant tandem method may be a powerful supplement to the traditional quinoxaline synthesis method. The reaction is well tolerated by a variety of functional groups, and the use of cheap and readily available catalysts is a remarkable feature of this reaction.
In 2016, Wang et al. developed a method for the synthesis of 2-heteroaryl quinazolidinone 93 by the catalytic oxidation of the benzyl C–H bond amination of azaarenes with iodine (Scheme 24) [38]. The reaction was carried out using unfunctionalized alkyl azaarenes 92 as the starting material and oxygen as the terminal oxidant under metal-free conditions. This method is more environmentally-friendly than previous synthesis methods. This reaction had good reactivity for substrates with different electron substituents, and the highest yield reached 94%.
Benzimidazole is a kind of important and abundant nitrogen-containing heterocyclic compound. Bathula et al. (2017) described a new cyclization of 2-aminoaniline 95 and aryl alkyl ketone 94 catalyzed by molecular iodine to form benzimidazole derivatives under oxidant and metal-free conditions (Scheme 25) [39]. This reaction may include continuous C–N bond formation, and then C(CO)–C(alkyl) bond cleavage. Various 2-substituted benzimidazoles 96 were obtained in one step from readily available propiophenones, acetophenones and phenylacetophenones. Generally speaking, although the reaction is compatible with various types of substituents, the yields of most products are not high. This paper provides a simple and cheap method for the synthesis of 2-aryl substituted benzimidazoles and has important application value in pharmaceutical chemistry. Meanwhile, the authors proposed a possible mechanism for the cyclization reaction (as shown in Scheme 26). This reaction started from the formation of Schiff base 97 in the presence of Na2SO4, and then was subjected to cyclization to obtain dihydrobenzimidazole 98. The intermediate 98 was iodized and then oxidized to the corresponding aldehyde intermediate 99 [40], which subsequently underwent a C(CO)–C(alkyl) bond cleavage and aromatizes to 2-arylbenzimidazole product 96.
Aromatic amines are the core framework of many active molecules, which are closely related to functional materials, drugs, agrochemicals and so on. In 2018, Pan et al. used dimethyl sulfoxide and oxygen as mild terminal oxidants and iodine as a catalyst to catalyze the cross-dehydrogenative aromatization of cyclohexanones 101 and anilines 100 to synthesize N,N′-diaryl-o-phenylenediamines 102 with the highest yield of 89% (Scheme 27) [41]. This reaction to obtain diarylamines has the advantages of a metal-free system, convenient operation and simple reaction conditions, which makes it have the potential for synthesis and application in many research fields. Then the authors put forward a possible mechanism and prove the rationality of the two independent dehydration steps of the mechanism (as shown in Scheme 28). Initially, the electrophilic iodination of cyclohexanone 101 releases α-iodo cyclohexanone 103 in the presence of an iodine catalyst, which via Kornblum oxidation forms 1,2-cyclohexanedione 104, followed by the first dehydration condensation reaction with primary aromatic amines to release α-enamine 105; another dehydration takes place to generate α-enimine 106, and then further electrophilic iodination to form the intermediate 107. Finally, product 102 can be obtained from intermediate 107 by HI elimination and tautomerism. In addition, in the presence of oxidants DMSO and O2, the iodine catalyst can be regenerated in the next catalytic cycle through the oxidation of HI. The key point of this mechanism is that in the presence of excess aniline and Brønsted acid, the dehydration process should mainly occur before the peroxidation of 1,2-cyclohexanedione to catechol.
Azo compounds have an important application value in organic synthesis and biological systems [42]. They are often used as free radical initiators, ligands of dyes, food additives and so on. So Batra et al. (2018) used iodine to catalyze the diazoenylation of active methylene compounds 108 and N-heterocyclic compounds 109 with arylhydrazines 110 under alkaline aerobic conditions (Scheme 29) [43]. The condition of this reaction was mild, and the yield of the products is moderate to high, which can be carried out under heating or in the presence of blue LED light. The aryldiazene 111 produced by oxidation of arylhydrazine hydrochloride 110 acts as a nitrogen scavenger of the radical intermediate generated from the active methylene compound in the presence of iodine to produce the diazo compounds 112. However, the limitation of this scheme is that the active methylene compound whose substrate contains at least one nitrile group can react. Nonetheless, the cheap commercial raw materials and the simple reaction conditions of air make this method still have application value in the synthesis of diazo compounds.
Thiocyanate is a low-cost, low-toxic inorganic salt, which has been widely used in various fields of organic chemistry in the past. However, the use of thiocyanate as a nitrogen source to construct nitrogen-containing compounds has not been reported. In 2019, Wu et al. reported a new approach for the synthesis of α-ketoamides 116 and 2-acyloxazoles 115 from arylmethyl ketones 113 and thiocyanate 114 by using iodine as catalyst and DMSO as solvent and oxidant (Scheme 30) [44]. This is the first example of thiocyanate cleavage by the C≡N bond as amino surrogates. The reaction can tolerate a variety of electron-withdrawing substituents and donor substituents of the substrates on the aromatic ring and can also be compatible with some heterocyclic compounds. However, when there is an electron-withdrawing group in the substrate, the yield decreases obviously. This work not only provides a simple, green and effective method for the synthesis of α-ketoamides and 2-acyloxazoles, but also enriches the application of thiocyanate.
Very recently, Zhou et al. took the synthesis of quinazolinones skeleton as an example to explore the intramolecular C(sp3)–H/N–H oxidative cross-coupling reaction of a simple catalytic system (Scheme 31) [45]. This method used 2-(benzylamino) benzamides 117 as raw materials to form C=N double bonds by intramolecular oxidative cross-coupling mediated by I2/DMSO for synthesized 2-arylquinazolin-4(3H)-ones 118. The method has the characteristics of good tolerance of functional groups, metal-free, simple operation, strong practicability and high yields (up to 93%). In addition, the reaction can also obtain more than 90% yield in gram-scale synthesis.
Subsequently, through a series of control experiments, the authors put forward a possible reaction way (as shown in Scheme 32). Firstly, 2-(benzylamino) benzamide 117 reacts with iodine to form iodine intermediate 119. Secondly, the intermediate 119 eliminates and releases HI intramolecular to form imine 120. The intermediate 120 reacts with intramolecular addition to form cyclized 121. The intermediate 121 reacts with iodine to form the iodized intermediate 122. The intermediate 122 eliminates and releases HI intramolecular to form the final product 118. The key to this reaction is that HI can be oxidized and regenerated to iodine by dimethyl sulfoxide, thus completing the catalytic cycle.

4. C–O Bond Formation

The C–O bond is an essential part of most organic compounds. Oxygen heterocyclic compounds are widely used in medicine, fine chemicals and chemical catalysts. The development of green sustainable chemistry has greatly inspired organic chemists to seek more effective and economical methods to construct C–O bonds in the synthesis of complex structures [46,47].
In 2015, Sawant et al. proposed an efficient I2/DMSO-mediated metal-free strategy for the direct C–C bond cleavage of aryl-/heteroaryl- or aliphatic α-ketoaldehydes, and the corresponding carboxylic acid 124 was generated in one pot by C2-decarbonylation and C1-carbonyl oxidation, with good yields in these two steps (Scheme 33) [48]. DMSO as an oxygen source/oxidant could react well under both conventional heating and microwave irradiation. Different 2-oxyaldehyde substrates could be converted into corresponding carboxylic acids and esters by this method, and it showed high tolerance to alkyl, aryl and heteroaryl substrates.
In the same year, Jiao et al. described an effective method for direct preparation of α-hydroxy carbonyls 126 with high synthetic value (Scheme 34) [49]. The method uses easily available I2 as the catalyst and dimethyl sulfoxide as the oxidant, oxygen source and solvent. In this transformation, a series of different tertiary Csp3–H bonds and more challenging secondary Csp3–H bonds may be hydroxylated. A series of secondary α-hydroxyl carbon groups and tertiary α-hydroxyl carbon groups can be obtained by using this hydroxylation scheme. The reaction conditions are mild, less toxic, easy to implement and with high yield products (up to 94%). However, when the substrate has a methyl ketone structure, the yield is the lowest.
Catechol is a common structural motif in a variety of natural products, bioactive molecules and drugs [50]. In 2016, Jiao et al. described a novel catalytic method for I2/DMSO, in which cyclohexanones 127 are dearomatized under mild and simple conditions and directly converted to substituted catechols 128 by selective oxidation and dehydrogenation (Scheme 35) [51]. Multiple oxidations and dehydrogenation aromatization can be achieved with DMSO as the solvent, oxidant and oxygen source in 91% yield. This scheme is characterized as metal-free, easy to operate, green and practical. This reaction of the metal-free system provides an efficient and simple method for the synthesis of high-value substituted catechins and valuable aromatic compounds, thus simplifying the synthesis and modification of molecules of great biological significance for drug discovery. Then the authors also proposed a possible reaction pathway for the formation of catechols (as shown in Scheme 36). Initially, under the action of iodine catalyst, cyclohexanone 127 underwent electrophilic iodination reaction to generate α-iodocyclohexanone 130, and then photooxidation reaction to generate 1,2-cyclohexanedione 131, followed by α-iodination reaction to obtain intermediate 132. Subsequently, the intermediate 132 was subjected to HI elimination and then tautomerized to obtain catechol product 128. In the presence of DMSO, HI was oxidized to (CH3)2S and H2O, and the iodine catalyst was regenerated in the next catalytic cycle.
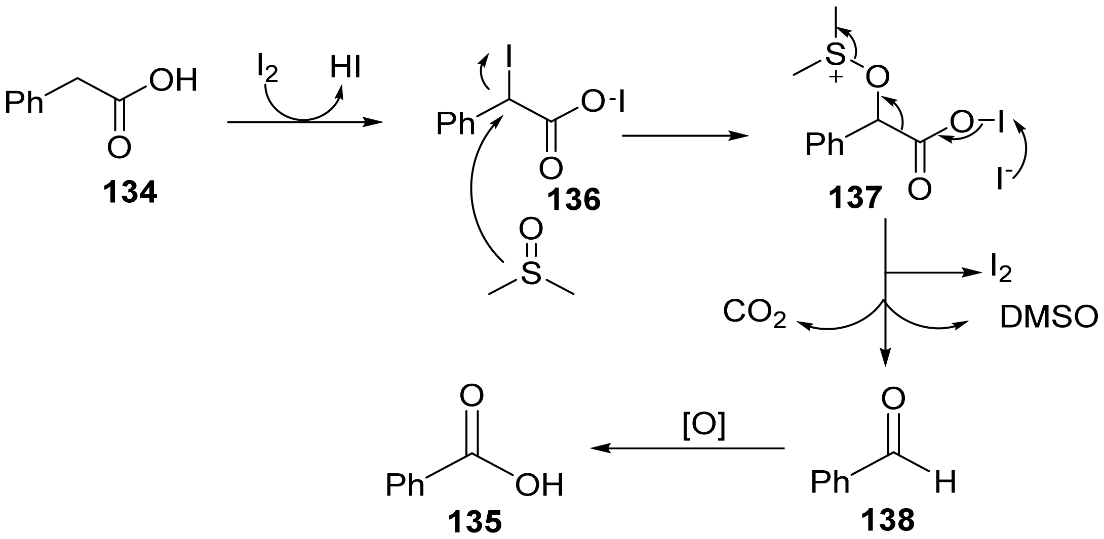
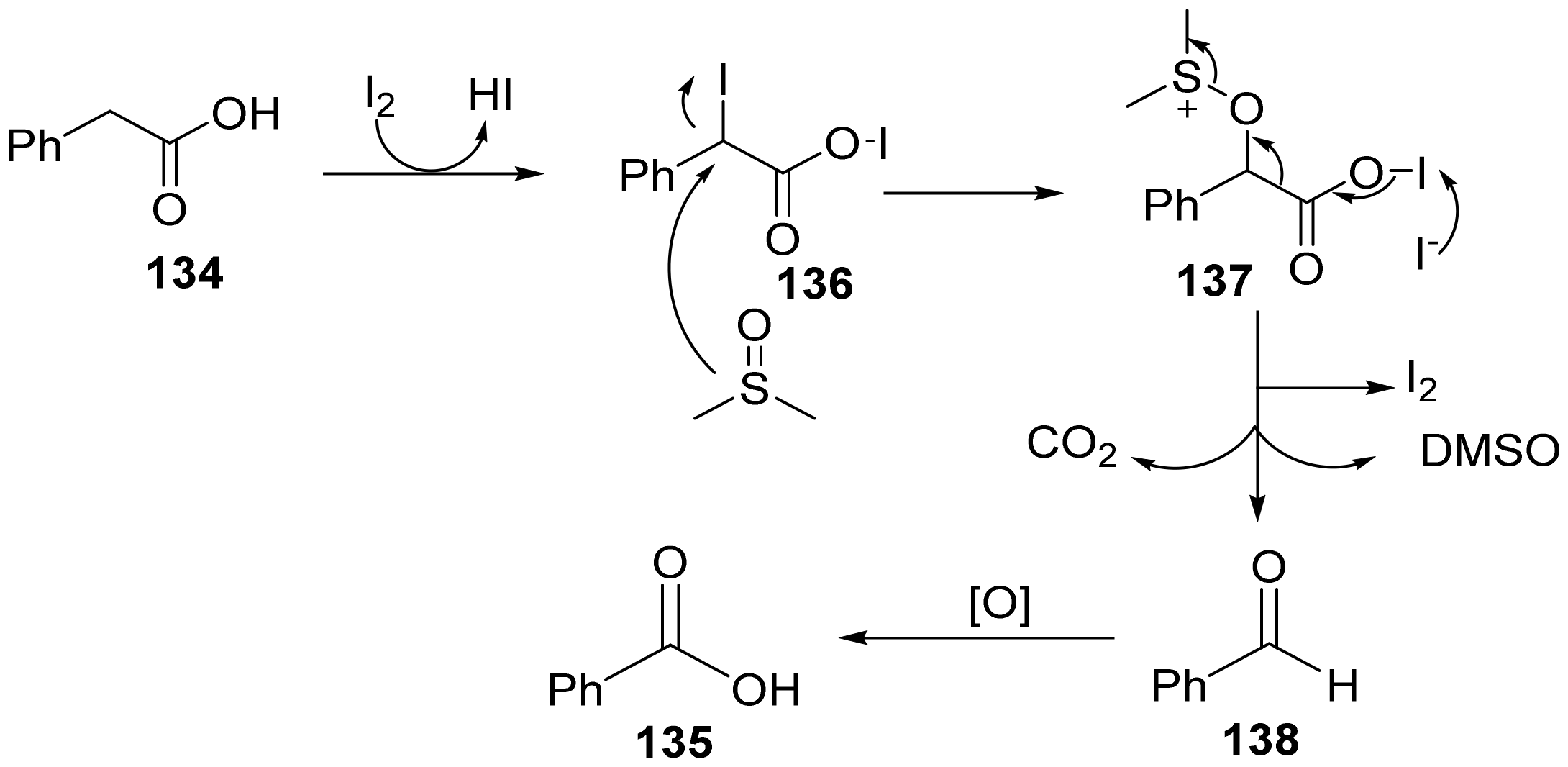
In 2017, Chaskar et al. described a new method for the direct conversion of arylacetic acids 134 to aryl carboxylic acids 135 promoted by I2 under metal-free conditions (Scheme 37) [52]. This significant transformation includes decarboxylation, and then oxidation can be carried out only with DMSO as solvent and oxidant. Notably, aryl carboxylic acids were separated by simple filtration techniques and were obtained in good to excellent yields (57~90%). Moreover, this method does not require chromatographic purification and is suitable for large-scale synthesis. The catalytic process is simple, and the use of cheap DMSO as an oxidant and solvent improves the “green” and practicability. On this basis, the possible mechanism of dehydrogenation and oxidation of phenylacetic acid to benzoic acid was described with molecular iodine as the promoter under the dual action of dimethyl sulfoxide (DMSO) (as shown in Scheme 38). Initially, phenylacetic acid 134 was iodinated in the presence of molecular iodine to give iodine (α-iodophenyl) acetate 136. Iodo (α-iodophenyl)acetate 136 was through by Kornblum oxidation and decarboxylated to benzaldehyde 138, and finally, benzaldehyde was oxidized to benzoic acid 135.
In 2019, Jayram et al. reported the functionalization of benzyl Csp3–H of benzyl phenyl ketone 139 under the condition of I2/DMSO to obtain the corresponding benzil 140 with the highest separation yields of 96% (Scheme 39) [53]. This reaction provided a new idea for the direct functionalization of Csp3–H and avoided the use of expensive transition metal catalysts that led to the incompatibility of functional groups and limited substrate range. The limitation of this scheme is that other substrates are not expanded, and the reaction can only be carried out at a high temperature, but not react at both low temperature and room temperature. In this reaction, DMSO was used as the oxygen source, and iodine and benzyl radicals were generated. The following is the mechanism of the I2/DMSO catalyzed diketone reaction (as shown in Scheme 40). The reaction started from the generation of iodine free radicals from molecular iodine when it was heated; in the presence of iodine free radicals, benzyl radicals 141 were generated and combined with iodine free radicals to form α-iodosterone 142. Followed by Kornblum oxidation, benzil 140 was obtained.
Aromatic aldehydes are important intermediates in organic synthesis [54]. Heteroaromatic aldehydes are widely used in the preparation of drugs and materials because heteroaromatic aldehydes usually appear as the key units of these functional molecules [55]. In 2019, Chen et al. developed a method to synthesize metal-free and radical-freel heterocyclic aldehydes 144 by the aerobic oxidation of a methyl group on aromatic compound 143 through the I2/DMSO/O2 catalytic system (Scheme 41) [56]. Under the heating conditions, functional groups, such as esters, aldehydes, methoxy, nitro, amides and halogens (F, Cl, Br) are well tolerated and have medium to good yields (56~93%). The reaction conditions are mild, non-toxic and green, and it is also suitable for the oxidation of complex molecules, such as chlorophyllin derivatives and papaverines to form corresponding aldehydes and ketones, which shows its application potential in organic synthesis. What is more, this conversion provides another effective method for the preparation of heteroaromatic aldehydes.
Recently, Naidoo et al. reported a one-pot, two-step, efficient and environmental-friendly internal alkynes oxidation reaction, which was a key step in the synthesis of 2,4,5-trisubstituted imidazoles 147 by using low-cost I2/DMSO system (Scheme 42) [57]. The combination of molecular iodine and DMSO has completely changed the synthetic methods, especially the synthesis method related to the oxidation process. The reaction shows the potential application prospect of the system. This acid-free and metal-free synthesis is progressing smoothly and provides a variety of useful trisubstituted imidazole compounds with medium to excellent yields (up to 88%).
In 2016, Wu et al. demonstrated for the first time the direct dual C–H bond functionalization of unprotected anilines 149 and methyl ketones 148 (Scheme 43) [58]. This is the first example of highly chemical and regioselective oxidation of C–H/C–H cross-coupling anilines and methyl ketones promoted by iodine, providing the C4-dimethylation of anilines 150 in moderate to good yields (42~86%). The substrates of the reaction have good applicability and can tolerate a variety of substituents and heterocyclic compounds. The by-product HI plays a catalytic role in the reaction. Meanwhile, the reaction directly uses the C(sp3)–H bond of methyl ketone and the C(sp2)–H bond of the nucleophilic reagent, which provides a new method for the construction of a new p-aminobenzodione skeleton. The remarkable feature of this method is the functionalization of C–H rather than the N–H functionalization of unprotected anilines. In addition, the mechanism of highly chemical- and site-selective oxidative cross-coupling of acetophenone and aniline catalyzed by I2 was proposed (as shown in Scheme 44). 2-iodoaniline 154 can be obtained by the initial reaction of aniline 153 with I2. The substrate 148 reacts with molecular iodine to form α-iodoketone 151, it is converted to phenylglyoxal 152 under the action of DMSO and HI is released by a subsequent Kornblum oxidation. The aldehyde group of phenylglyoxal was activated by the coproduct HI, and the positively charged 155 was obtained. The intermediate 156 was obtained by in-situ capture of 2-iodoaniline via the Friedel-Crafts type reaction. Subsequently, the intermediate 156 is rapidly oxidized by I2 to obtain the desired product 150.
Medium-sized cyclic compounds are ubiquitous in nature and play an important role in modern organic chemistry. In 2017, Wu et al. reported a method for the synthesis of seven-membered O-heterocyclic compounds 160 by an iodine-catalyzed catalytic formal [3 + 3 + 1] cycloaddition reaction, which is the result of the methyl and carbonyl reaction of 3-methyl-5-pyrazolone 157 to form a C(sp3)–O bond (Scheme 45) [59]. Through the iodine-catalyzed cascade reaction of iodide/Kornblum oxidation/oxidative coupling/C–O bond formation, this new scheme provides a direct and effective way to obtain condensed O–heterocycles with different structures. This method demonstrated that the unique reaction activity among methyl, methylene and carbonyl groups in 3-methyl-5-pyrazolone was unprecedentedly realized at the same time to construct 2,3-dihydrooxysipine rings. In addition, a broad substrate range shows an elegant diversity-oriented synthesis method. The use of cheap and nontoxic dimethyl sulfoxide (DMSO) as solvent and oxidant also plays a key role in promoting iodine recovery. However, the reaction requires high temperatures. More importantly, this process provides an efficient and practical way for the construction of fused oxepine derivatives.
1,3,4-Oxadiazol-2(3H)-one is a special five-membered heterocycle. Its structure has attracted people’s attention because of its antibacterial, anti-tuberculosis and anti-tumor activities in the drug range [60,61]. In 2016, Jain et al. pioneered a simple and efficient iodine-catalyzed synthesis of 5-substituted-3-methyl/benzyl-1,3,4-oxadiazol-2(3H) ones 163 (Scheme 46) [62]. In this reaction, methyl/benzyl carbazates 162 and aldehydes 161 were used as starting substrates. The corresponding 1,3,4-oxadiazole-2(3H) products were synthesized by sequential condensation, continuous oxidative cyclization and rearrangement. The presence of iodine and potassium carbonate promoted the formation of an intramolecular C–O bond, followed by a Chapman-like rearrangement at 90 °C of the methyl/benzyl group in the hydrazine intermediate formed in the condensation step. This reaction has good tolerance to functional groups, and its transition-metal-free approach has been adopted to generate a variety of oxadiazolones under mild conditions in moderate to excellent yields (30~92%).
Natural β-carboline alkaloids and their synthetic derivatives have been widely studied [63], because they have extensive pharmacological activities, such as anticancer, antibacterial, antimalarial, anti-AIDS, etc. In 2019, Singh et al. developed an effective one-pot synthesis of biologically significant β-carboline substituted 1,3,4-oxadiazole 166 by the I2-assisted oxidative C–O bond formation method (Scheme 47) [64]. This metal-free sequence method was compatible with different substituted 1-formyl β-carbolines, aromatic hydrazines and aliphatic hydrazines, and provides a variety of multi-functional β-carboline-linked 1,3,4-oxadiazole derivatives in moderate to excellent yields (up to 92%). However, when R3 was substituted by benzyl, only trace products were observed. This methodology is suitable for the gram-scale synthesis of β-carmine substituted 1,3,4-oxadiazole derivatives. In addition, β-carboline C1-linked 2-amino-1,3,4-oxadiazole and bis-1,3,4-oxadiazole were synthesized by using the identical strategy. The required products can be directly extracted from 1,3,4-oxadiazoles without column chromatography purification.

5. Formation of C–C Bond

The formation of the C–C bond plays a crucial role in organic methodology and the expansion of the organic molecular structure framework [65]. The development of efficient, selective and mild methods to construct C–C bond formation has been one of the important research directions for organic chemists.
In 2015, Wu et al. through direct oxidative cross-coupling of indoles 168 with methyl ketones 167 in the presence of molecular iodine and pyrrolidine realized the first C3-dicarbonylation of indoles (Scheme 48) [66]. The reaction can be carried out under mild conditions with high regioselectivity and good functional group compatibility. Meanwhile, this reaction also formed a highly efficient indolyl diketones scaffold 169, which is expected to be a useful biological and pharmacological tool for exploring therapeutic A2BAR regulators. The use of a metal-free and greener I2/DMSO system is the advantage of the method, but the yields for many products were not high, which limited its practicability. Moreover, preliminary mechanism studies show that this process involves two paths. A possible mechanism was proposed by taking acetophenone 167 and N-methylindole 168 as examples (as shown in Scheme 49). The initial reaction formation of I2 with 167 generates α-iodo ketone 170, which is converted to phenyl glyoxal 171 through subsequent Kornblum oxidation. In the presence of pyrrolidine 175 (path a), pyrrolidine with aldehyde group 171 will in-situ generate iminium ion intermediate 172, which will then react with nucleophilic indole via the Friedel-Craft reaction to form intermediate 173. The intermediate 173 was rapidly converted into intermediate 174 in the presence of an oxidant. Intermediate 174 was hydrolyzed to give the desired product 169, and the released pyrrolidine 175 could start a new catalytic cycle. In the absence of pyrrolidine as a catalyst (path b), the aldehyde group of 171 was activated by excess regenerated Lewis acid I2 [67,68,69,70]. The activated aldehyde group of phenylglyoxal 171 reacted directly with 168 to obtain intermediate 176, which was further rapidly oxidized by I2 to obtain 169.
Halocarbazole is a ubiquitous precursor of active and bioactive substances in nature [71]. In 2015, Lokhande et al. demonstrated effective regioselective iodination of the Fischer-Borsche ring by using molecular iodine in one-pot synthesis (Scheme 50) [72]. This method catalyzes the synthesis of monoiodo 179, diiodo 180 or non-substituted carbazoles 178 from tetrahydrocarbazoles 177. In the one-pot direct iodination process of tetrahydrocarbazole, the molar percentage of iodine and temperature play an important role. Single aromatic, single iodine or double iodine carbazole can be obtained by adjusting the molar percentage of iodine and temperature. The method has the advantages of being acid-free, metal-free and oxidant-free, with simple operation and strong practicability. On this basis, this reaction can also be further explored. The one pot direct iodination method was extended to the concise synthesis of glycosylazoline, 3-formyl-6-methoxy-carbazole and 6-methoxy-carbazole-3-methyl carboxyl late natural alkaloids. Moreover, this method has been proved to have good tolerance to a wide range of functional groups and has a high yield.
Furo[3,2-c]coumarins is an important natural compound with biological activity, which is produced by many plants and has significant pharmacological and therapeutic activities, such as antifungal, insecticidal, anti-HIV and anticancer activities [73,74]. Thus, it has become an important research field to develop an efficient method for the synthesis of furo[3,2-c]coumarins. In 2016, Bhuyan et al. reported a simple and efficient method for the synthesis of highly functional furan[3,2-c]coumarins (184 and 185) mediated by iodine (Scheme 51) [75]. The reaction uses DMSO as a solvent and oxidant and iodine as a catalyst; the conditions are mild, simple. In DMSO, 4-hydroxycoumarins 181 reacted with aldehydes 182/arylmethyl ketones 183 in the presence of molecular iodine to form dicoumarin compounds, followed by lactone ring opening, cyclization and oxidative aromatization of lactone with a yield of up to 89%. A reasonable mechanism of the reaction is shown in Scheme 52. Phenylglyoxal 186 was formed from phenyl methyl ketone 183 via iodination and Kornblum oxidation subsequently, which reacted with 4-hydroxycoumarin 181 in the presence of iodine to obtain the intermediate 187 by eliminating the water molecule. The intermediate 187 then suffered a nucleophilic attack by the second molecule of 4-hydroxycoumarin 181 to give the bis-4-hydroxycoumarin 188. Finally, the product 185 was obtained by Kornblum oxidation and intramolecular cyclization of the intermediate 188.
Quinazoline is a common and important structural element in natural products and synthetic molecules, which has many pharmacological effects, such as anticonvulsant, anti-inflammatory, anti-cancer and antibacterial [76]. In 2016, Chang et al. used the oxidation of C(sp3)–H and C(sp2)–H bonds promoted by I2/KI to form C–C bonds, and synthesized quinazoline skeletons 190 from N,N′-disubstituted amines 189 (Scheme 53) [77]. In this scheme, the required substrates can be prepared by corresponding acyl chlorides, anilines and alkyl/benzyl amines through sequential amidation, chlorination and amination reactions. Meanwhile, it has good tolerance with various electron withdrawing groups and electron donor groups and has a wide range of substrates. Under the optimized oxidative cyclization conditions, all these amides can be easily converted into the desired products with yields of 37~99%. This practical and environmental-friendly method is very effective for crude amidine intermediates and can also be carried out within the gram level. In Scheme 54, a possible reaction mechanism was proposed, in which amidine 189 was oxidized to quinazoline 190. Firstly, under alkaline conditions, substrate 189 was oxidized by molecular iodine to obtain imine intermediate 192. Subsequently, the iodination cyclization of imine 192 generated a possible N-iodine species 193, which contained a new C–C bond. Finally, alkali promotes deprotonation and then eliminates the hydrogen iodide (HI) of a molecule to obtain quinazoline skeleton 190.
In 2017, Bhuyan et al. synthesized some new functionalized indeno[1,2-b]furans 199 and 200 from indandione 198/indandione 197 and aldehydes 195 at room temperature and then reacted with 4-hydroxycoumarins 195 under thermal conditions with iodine as a catalyst in dimethyl sulfoxide (DMSO) (Scheme 55) [78]. The functionalized indeno[1,2-b]furans products were obtained by condensation, Michael addition, lactone ring opening and intramolecular cyclization in a medium to high yield (62~86%) in a simple and easy purification process. This method can further explore the synthesis of different furan fused compounds, which is a valuable supplement to the chemistry of indeno[1,2-b]furans, especially heterocyclic compounds.
Kamal et al. developed an I2 promoted highly efficient metal-free and hydrogen peroxide-free greener domino scheme for the C3-dicarbonylation of benzo[d]imidazo[2,1-b]thiazoles (IBTs) 201 with styrenes 202 via oxidative cleavage of the C(sp2)–H bond, followed by C3-nucleophilic attack of IBT and oxidation, synthesized benzo[4′,5′]thiazolo[2′,3′:2,3]imid azo[4,5-c]quinoline derivatives 203 (Scheme 56) [79]. The remarkable characteristics of the reaction system are that it is metal-free, peroxide-free and acid-base-free. In addition, under the condition of green oxidation, it has the advantages of high regioselectivity, a wide range of substrates, environment-friendly and high atomic economy. This method has good tolerance to many kinds of functional group substituents and has a high yield (up to 88%). However, there was no reaction when R2 was substituted by the nitro group. The imidazole heterocyclic library of C3-dimethylimidazine heterocyclic derivatives was synthesized by this simple method.
The synthesis of heterocyclic compounds is a hot topic in the field of organic synthesis. In 2018, Kamal et al. completed an efficient one-pot method catalyzed by molecular iodine for the construction of various fused heterocyclic 207 and 208 without metal and oxidant, such as pyridazole, pyrrolo[1,2-a]quinoxaline and imidazole benzothiazole (Scheme 57) [80]. This method allows the sequential formation of C–N and C–C bonds, accompanied by the fracture of CO–C(alkyl) bonds. The key feature of this approach has a broad substrates scope, operational simplicity, moderate to good yields (62~88%) and metal-free conditions, which makes this protocol convenient for the generation of fused polyheterocycles.
2-Substituted benzothiazole has good anti-cancer, anti-tumor, hydrolysis inhibition and protease activity, and is also used in fluorescent dyes and material science [81]. In 2018, Kama et al. demonstrated a method in which iodine promotes the oxidative C–H/C–H cross-coupling of unprotected anilines 210 and 2-methylquinolines 209 to provide C4-carbonylaniline (4-aminophenyl) (quinoline-2-alkyl) methanones 212 with high yields (up to 85%) (Scheme 58) [82]. However, when there are strong electron-withdrawing groups (such as Nitro-) on aniline or the amino group on aniline is replaced, the reaction does not occur. This work provides the first site selection method for the synthesis of free amino groups containing methanones, including unprecedented C–H functionalization. The addition of potassium hydroxide under standard conditions gave 2-heteroarylbenzothi azoles 213 from benzothiazoles 211 and 2-methylquinolines 209 with good to excellent yields (up to 90%). These transformations do not require any transition metals or peroxides and can tolerate various functional groups, such as hydroxyl, methoxy, bromine, and chlorine.
In 2019, Gaikwad et al. described a method that unique I2-DMSO catalyzed chemoselective aromatization of easily accessible tetrahydro-β-carboline-3-carbo-xylic acids 214 for the synthesis of β-carboline-3-carboxylic acids 215 (Scheme 59) [83]. The use of DMSO, I2 is as a HI source and greener solvent. Mild reaction conditions, simple operation and the use of ready-made reagents are the characteristics of the scheme. However, the yields of this reaction were generally not high (57~72%), and the substrate’s scope was less.

6. Multiple C–X Bonds Formation

In nature, multiple C–X (X=C, N, S, etc.) bonds widely exist in drugs, organic materials and natural products. Therefore, developing simple and effective methods to construct multiple C–X bonds (X=C, N, S, etc.) is an important research content in the total synthesis of natural products and synthetic methodology. The I2/DMSO system can also achieve one-step construction of multiple C–X, so as to efficiently obtain products with more complex structures, better atomic economy and higher synthesis efficiency.
In 2016, Qiu et al. used iodine as oxidant and DMSO as the solvent, through the reaction of 1,2-dibenzyldisulfane 216 (or difurfuryldisulfide) with secondary amines 217 at 100 °C generated thioamides 218 (Scheme 60) [84]. At the beginning of the reaction, disulfides catalyzed by I2/DMSO system generated thiocarbonyl to promote the reaction without metal and additive. It provided a green, convenient and economical method for the synthesis of various kinds of thioamides under mild conditions, and the highest yield reached 95%.
In 2017, Wang et al. introduced a green and efficient method for the synthesis of C-4 sulfonated pyrazoles 222 via iodine-catalyzed cyclization and direct C–H bond sulfonation (Scheme 61) [85]. Through this method, two new C–N bonds and one C–S bond were formed. This method provides a simple and sustainable way for the construction of valuable sulfonated pyrazoles without metals and solvents. However, when there are alkyl substituents on mercaptan, no reaction occurs.
In 2017, Babu et al. reported the first C(sp3)–H oxidative functionalization of 2-methylazaarene compounds by using the I2/DMSO system for the synthesis of 2-azaarenyl benzothiazoles 225 (Scheme 62) [86]. In general, the methyl group of 2-methylazaarenes 223 was used as a carbon nucleophilic molecule. In this reaction, TBHP is the oxidant and iodine is the catalyst. Methyl was used as an electrophilic carbon and condensed with 2-aminophenylthiol 224 to obtain benzothiazole substituted by 2-methylazaarene in high yields (83~95%) with good substrate scope and functional group tolerance.
In 2015, Ji et al. reported that I2/DMSO promoted the one-step synthesis of 3,3-dimethyl-2-amide indoles 228 from different substituted 3,3-dimethylindoles 226 and secondary amines 227 in moderate to good yields (47~79%) (Scheme 63) [87]. DMSO was used as an oxidant and solvent, and the reaction was carried out by Kornblum oxidation. The substrate expansion of the scheme is less, only expanding the ring secondary amines.
In 2017, Wu et al. reported that an iodine-catalyzed reaction in the form of [3 + 2] cycloaddition, could be used for the synthesis of oxazoles 231 with a wide range of substrates and in moderate to good yields (62~83%) (Scheme 64) [88]. This was the first example of Lewis acid promoting the cycloaddition of isocyanates 230 and methyl ketones 229 (The reaction involved the C≡N cleavage of isocyanates). This simple and effective method provided a new strategy for Lewis acid to promote the cycloaddition of isocyanates, and it could quickly form multifunctional heterocyclic compounds.
Many nitrogen-containing heterocyclic compounds with important medicinal value and structural diversity can be obtained by inserting isocyanates into the N–H bond [89,90]. In 2018, Bez et al. selectively inserted isocyanates 232 into the N–H bond 233 and obtained a new symmetric and asymmetric urea 234 synthesis method (Scheme 65) [91]. This reaction uses cheap reagents, has a wide range of substrates, high yields (65~96%), and the reaction time is short, which provides a choice for the existing insertion of isocyanates into the N–H bond. It can be predicted that the activation of isocyanates by ready-made iodine has broad prospects in organic synthesis.
Isatins are valuable intermediates of bioactive compounds in the pharmaceutical chemistry [92]. In 2018, Das et al. used easily available 2-ethylanilines 235 to efficiently synthesize isatins 236 in I2/TBHP and DMSO via the oxidation of sp3 bond and intramolecular C–N bond formation (Scheme 66) [93]. This reaction included iodination, Kornblum oxidation and intramolecular amination, with moderate to good yields. Meanwhile, it has good tolerance to various functional groups. Moreover, this method also provides a convenient way for the synthesis of isatins. Then the authors proposed a plausible mechanism (as shown in Scheme 67) for the formation of isatin from 2-ethylaniline. Initially, t-BuO radical acts as an H-atom abstractor, H2O2 can also produce OH free radical to afford the products. The secondary alcohol produced by this reaction is oxidized with iodine which can be regenerated from by-product HI with the help of t-BuOOH. At this moment, TBHP plays a key role in fora-iodination through free radical intermediates. Substituted α-iodoacetophenone 237 was further converted to substituted phenylglyoxal 238 by Kornblum oxidation. After the formyl group of substituted phenylglyoxal 238 was activated by iodine, it was conducive to the nucleophilic condensation of o-amino groups to generate the alcohol 240, and alcohol 240 finally undergoes oxidation to provide isatin 241. HI was oxidized to iodine by DMSO to complete the catalytic cycle.
In 2020, Zhang et al. reported a one-pot reaction of acetophenone derivatives 242 and morpholine 243 as raw materials, iodine as the catalyst, tert-butyl hydrogen peroxide (TBHP) as the oxidant, and dimethyl sulfoxide (DMSO) as a solvent to prepare the target product α-ketoamide 244 (Scheme 68) [94]. This method has the advantages of good atom economy, avoiding the use of heavy metal catalysts, mild reaction conditions and high yields (up to 86%). However, the authors did not explore more substrate applicability. Meanwhile, the authors also proposed the possible mechanism for the synthesis of 1-morpholine-2-phenyl-1,2-dione from acetophenone and morpholine (as shown in Scheme 69). Firstly, acetophenone 242 reacted with molecular iodine to form α-iodoacetophenone 245. Then, the primary halide α-iodoacetophenone was oxidized by DMSO to form benzoyl formaldehyde 246, and Kornblum oxidation occurred. Next, morpholine 243 attacked the aldehyde group of benzoyl formaldehyde to obtain 2-morpholine-2-hydroxyacetophenone 247. The hydroxyl group on 2-morpholine-2-hydroxyacetophenone was further rapidly oxidized by iodine to obtain the target compound 244 (1-morpholine-2-phenyl-1,2-dione). The HI generated during the reaction was rapidly oxidized by TBHP to molecular iodine.
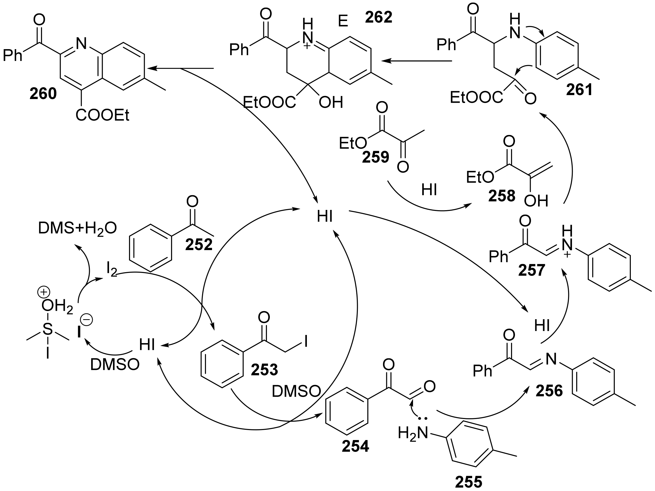
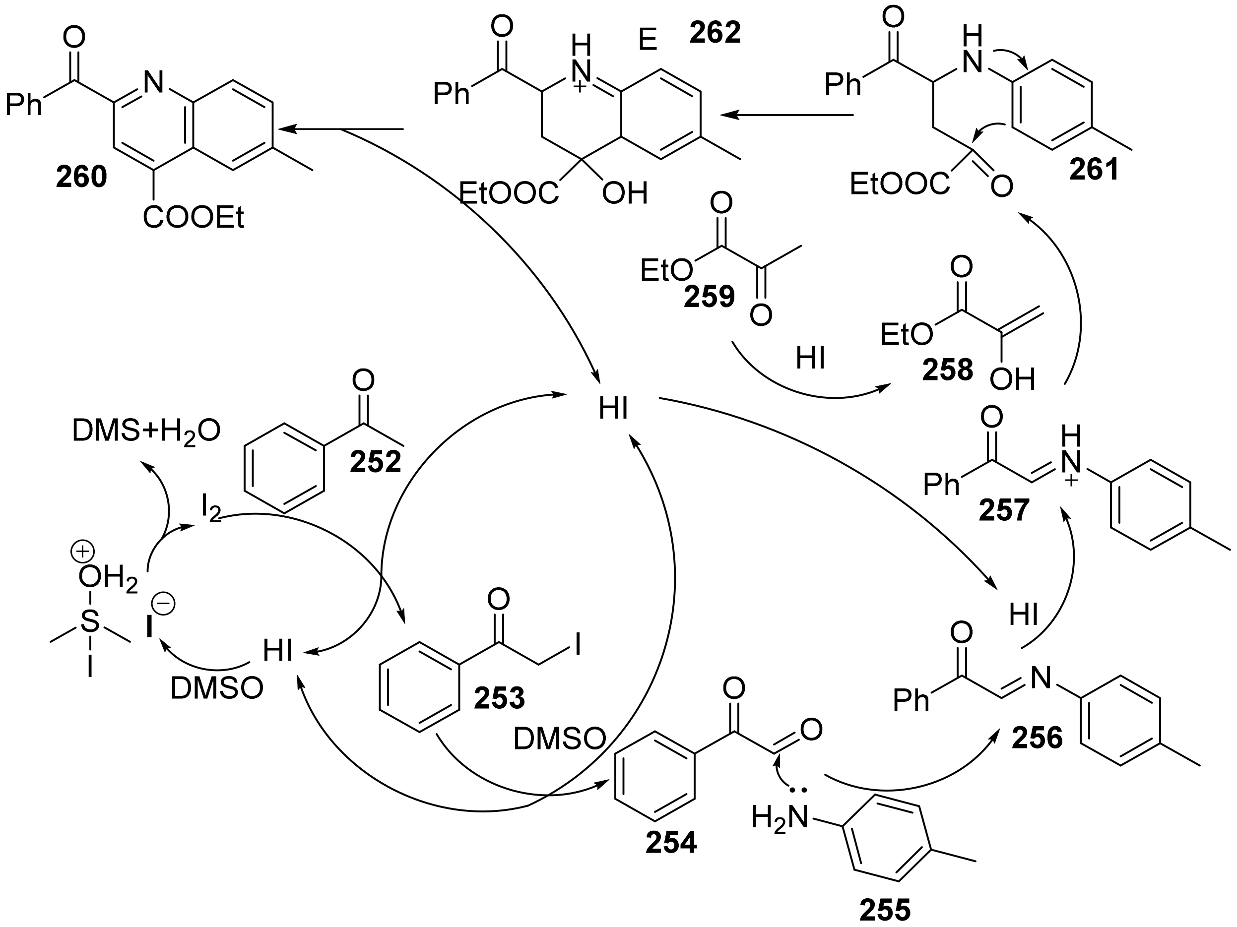
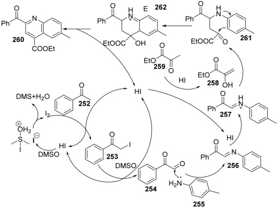
In 2015, Wu et al. reported an efficient I2-catalyzed Povarov-type reaction of methyl ketones 248, arylamines 250 and α-ketoesters 249 to synthesize substituted quinolines 251 (Scheme 70) [95]. This reaction provides an amusing new form of Povarov-type reaction with good functional group compatibility. Moreover, the highest yield was 88%. Similarly, there is no more substrate expansion in this reaction. The authors proposed a possible mechanism using acetophenone 252, p-toluidine 255, and ethyl pyruvate 259 as the substrates (as shown in Scheme 71). The initial elimination of HI from acetophenone 252 by iodine generates α-iodo ketone 253 in situ, which is converted into phenylglyoxal 254 and releases HI after the following Kornblum oxidation. p-Toluidine 255 reacted with the acetaldehyde group of 254 to form the C-acylimine 256. Subsequently, the intermediate 261 was obtained by the reaction of enols rapidly formed by ketoester tautomerization with activated C-acyl imine ion 257 in the presence of HI. Then, the electron-rich benzene ring was added to the keto group to form the intermediate 262. Finally, the intermediate 262 was subjected to dehydration and oxidative aromatization to obtain the desired product 260.
In 2017, Wu et al. reported I2-catalyzed functionalization of multiple C–H bonds between anilines 263 and methyl ketones 264. The reaction consists of three C–N bonds and two C–C bonds (Scheme 72) [96]. This is a simple and atom-economic method, which is the first example of the direct synthesis of 1,2-fused oxindoles 265 via tandem oxidative cross-coupling/cyclization of anilines and methyl ketones. However, the substrate range of the reaction is limited, which is only applicable to different substituents on the benzene ring and does not react with other aromatic heterocycles. When there is an electron-withdrawing group, such as nitro on anilines 263, the corresponding product is not observed.
In 2017, Jiang et al. studied an efficient and versatile iodine-catalyzed electrophilic cyclization reaction (Scheme 73) [97]. Using sodium arylsulfinate 267 and existing alkynes as substrates 266, 3-sulfenylcoumarin and 3-sulfenylquinolinone derivatives 268 were obtained. This reaction has a wide range of substrates, good yields (up to 81%), excellent functional group compatibility and high-value products, and has great practical value in organic synthesis and pharmaceutical chemistry. In addition, this method provides significant synthesis differences and flexibility for the synthesis of various multi-substituted heterocyclic compounds from readily available starting materials.
In 2017, Wang et al. reported the bifunctionalization of olefins 270 involving phenyl mercaptan 269 and iodobenzene diacetate 271 catalyzed by I2/DMSO under metal-free conditions and successfully synthesized β-acetoxy sulfides 272 with good yields (72~92%) (Scheme 74) [98]. Meanwhile, C–O and C–S bonds were formed. The reaction had good selectivity and no isomers were found, which could be directly applied to the synthesis of functional sulfides.

7. Conclusions

In this review, the research progress of I2/DMSO-catalyzed in C–C and C–Heteroatom bond formation from 2015 to date has been presented. This green oxidant system has become a general system for the construction of various heterocyclic compounds. The reagents have the advantages of simple operation, low cost, low toxicity and no additives. In these reactions, which have a general law that iodine acts as a mild Lewis acid catalyst, and DMSO acts as an oxidant, solvent and oxygen source, the desired target product can be obtained via Kornblum oxidation. When the environmentally-friendly I2/DMSO catalytic system was used, the synthesis method involved is green, novel, efficient and practical. Simple organic substrates can be effectively coupled under mild conditions and have high selectivity. Quinolinone, quinoxaline, pyrazole, indole, imidazole and other heterocyclic compounds and their derivatives have been successfully formed, which has become one of the most practical reactions to construct a variety of heterocyclic compounds in modern organic synthesis. It is worth noting that the system does not use transition metals, providing a greener choice for the construction of many important compounds with biological activities.
Obviously, the I2/DMSO catalytic system is expected to be used to construct more important structures and skeletons with biological activities in the future, so that heteroatomic compounds have a more important application value in medicine, agricultural chemicals, materials and fine chemicals. However, a higher reaction temperature is usually needed in I2/DMSO catalytic system, and its reaction activity has some limitations. In order to improve these synthetic methods for the synthesis of other compounds with unique pharmacological activities, there is still a lot of work to be conducted. For example, the proper addition of some additives can make it react at room temperature.
More systematic studies are still needed to further optimize the reaction system and achieve more efficient catalytic reactions. After all, more applications of I2/DMSO, an environmental-friendly catalytic system, in organic synthesis can be expected to be used to construct many useful heterocyclic compounds with biological activities in the future.

Author Contributions

Writing—original draft preparation, J.-Q.W.; writing—review and editing, Z.-Y.Z. and W.H. All authors have read and agreed to the published version of the manuscript.

Funding

The authors would like to acknowledge the Shaanxi Province Key Research and Development Program (grant no. 2019ZDLSF-03-03, 2021SF-115, 2021SF-366) and the National Natural Science Foundation of China (Grant No. 21272272) for the support.

Conflicts of Interest

We declare that we have no financial and personal relationships with other people or organizations that can inappropriately influence our work, and there is no professional or other personal interest of any nature or kind in any product, service, and/or company that could be construed as influencing the position presented in, or the review of, the manuscript entitled.

References

  1. Togo, H.; Iida, S. Synthetic Use of Molecular Iodine for Organic Synthesis. Synlett 2006, 14, 2159–2175. [Google Scholar] [CrossRef]
  2. Hiebel, M.A.; Sabine, B.R. Iodine-catalyzed regioselective sulfenylation of imidazoheterocycles in PEG400. Green Chem. 2015, 17, 937–944. [Google Scholar] [CrossRef]
  3. Yang, L.-F.; Hui, R.-J.; Shan, H.-R.; Gong, K. Iodine-catalyzed Functionalization of N–H Bond of imidazoles. Chin. J. Org. Chem. 2017, 37, 3242–3247. [Google Scholar] [CrossRef]
  4. Gupta, A.; Deshmukh, M.S.; Jain, N. Iodine-Catalyzed C–N Bond Formation: Synthesis of 3-Aminoquinoxalinones under Ambient Conditions. J. Org. Chem. 2017, 82, 4784–4792. [Google Scholar] [CrossRef] [PubMed]
  5. Pasha, M.A.; Jayashankara, V.P. Molecular iodine catalyzed synthesis of aryl-14H-dibenzo[a, j]xanthenes under solvent-free condition. Bioorg. Med. Chem. Lett. 2007, 17, 621–623. [Google Scholar] [CrossRef] [PubMed] [Green Version]
  6. Wang, X.-L.; Yan, F.-Y.; Wang, Q.-F. Molecular iodine: Catalysis in heterocyclic synthesis. Synth. Commun. 2021, 51, 1763–1781. [Google Scholar] [CrossRef]
  7. Parvatkar, P.T.; Manetsch, R.; Banik, B.K. Metal-Free Cross-Dehydrogenative Coupling (CDC): Molecular Iodine as a Versatile Catalyst/Reagent for CDC Reactions. Chem. Asian J. 2018, 14, 6–30. [Google Scholar] [CrossRef]
  8. Ren, Y.-M.; Cai, C.; Yang, R.-C. Molecular iodine-catalyzed multicomponent reactions: An efficient catalyst for organic synthesis. RSC Adv. 2013, 3, 7182–7204. [Google Scholar] [CrossRef]
  9. Wu, X.-F.; Natte, K. The Applications of Dimethyl Sulfoxide as Reagent in Organic Synthesis. Adv. Synth. Catal. 2016, 358, 336–352. [Google Scholar] [CrossRef]
  10. Monga, A.; Bagchi, S.; Sharma, A. Iodine/DMSO oxidations: A contemporary paradigm in C–N bond chemistry. New J. Chem. 2018, 42, 1551–1576. [Google Scholar] [CrossRef]
  11. Li, X.-M.; Wang, X.; Li, Y.-D.; Xiao, J.-X.; Du, Y.-F. Application of DMSO as a methylthiolating reagent in organic synthesis. Org. Biomol. Chem. 2022, 20, 4471–4495. [Google Scholar] [CrossRef]
  12. Guha, S.; Kazi, I.; Sathish, D.; Sekar, G. Iodine-Promoted Controlled and Selective Oxidation of (Aryl)(Heteroaryl)Methanes. J. Org. Chem. 2022, 87, 5424–5429. [Google Scholar] [CrossRef]
  13. Zdvizhkov, A.T.; Terent’ev, A.O.; Radulov, P.S.; Novikov, R.A.; Tafeenko, V.A.; Chernyshev, V.V.; Ilovaisky, A.I.; Levitsky, D.O.; Fleury, F.; Nikishin, G.I. Transformation of 2-allyl-1,3-diketones to bicyclic compounds containing 1,2-dioxolane and tetrahydrofuran rings using the I2/H2O2 system. Tetrahedron Lett. 2016, 57, 949–952. [Google Scholar] [CrossRef]
  14. Lai, J.-Y.; Chang, L.-M.; Yuan, G.-Q. I2/TBHP Mediated C–N and C–H Bond Cleavage of Tertiary Amines toward Selective Synthesis of Sulfonamides and β-Arylsulfonyl Enamines: The Solvent Effect on Reaction. Org. Lett. 2016, 18, 3194–3197. [Google Scholar] [CrossRef]
  15. Wu, Y.-C.; Yang, Y.-F.; Qi, Y.-L.; Du, S.-M.; Zhang, Y.-S.; Ding, L.; Zhao, Y.-F. One-pot synthesis of N-fused 1,2,4-triazoles and related heterocycles via I2/TBHP-mediated oxidative C–N bond formation. Tetrahedron Lett. 2018, 59, 4216–4220. [Google Scholar] [CrossRef]
  16. Quan, J.-N.; He, X.-X.; Yan, X.-H.; Li, X.-Q.; Xu, X.-S. Synthesis of 5-iodomethyl dihydrofuran by iodine cyclization of alkenyl dicarbonyl compounds mediated by tert butyl hydrogen peroxide and iodine. Chin. J. Org. Chem. 2020, 40, 1033–1037. (In Chinese) [Google Scholar] [CrossRef]
  17. Tang, Y.-C.; Qu, H.; Zhang, W.-X.; Wang, F.-F.; Wang, G. I2/TBHP system promotes the coupling reaction of sulfonylhydrazide with enol silicone ether free radical in the absence of metal α-Sulfonyl ketone. Chem. J. Chin. Univ. 2020, 41, 118–124. (In Chinese) [Google Scholar]
  18. Reddy, P.N.; Reddy, B.V.S.; Padmaja, P. Emerging Role of Green Oxidant I2/DMSO in Organic Synthesis. Curr. Org. Synth. 2018, 15, 815–838. [Google Scholar] [CrossRef]
  19. Rafique, J.; Saba, S.; Rosário, A.R.; Braga, A.L. Solvent- and Metal-Free Chalcogenation of Imidazo[1,2-a]pyridines by Employing I2/DMSO as the Catalytic Oxidation System. Chem. Eur. J. 2016, 22, 11854–11862. [Google Scholar] [CrossRef]
  20. Yang, D.-S.; Sun, P.-F.; Wei, W.; Meng, L.-D.; He, L.-C.; Fang, B.-K.; Jiang, W.; Wang, H. Metal-free iodine-catalyzed direct cross-dehydrogenative coupling (CDC) between pyrazoles and thiols. Org. Chem. Front. 2016, 3, 1457–1461. [Google Scholar] [CrossRef]
  21. Yi, S.-L.; Li, M.-C.; Mo, W.-M.; Hu, X.-Q.; Hu, B.-X.; Sun, N.; Jin, L.-Q.; Shen, Z.-L. Metal-free, iodine-catalyzed regioselective sulfenylation of indoles with thiols. Tetrahedron Lett. 2016, 57, 1912–1916. [Google Scholar] [CrossRef]
  22. Siddaraju, Y.; Prabhu, K.R. Iodine Promoted Regioselective α-Sulfenylation of Carbonyl Compounds using Dimethyl Sulfoxide as an Oxidant. Org. Lett. 2016, 18, 6090–6093. [Google Scholar] [CrossRef]
  23. Siddaraju, Y.; Prabhu, K.R. Iodine-Catalyzed Cross Dehydrogenative Coupling Reaction: Sulfenylation of Enaminones Using Dimethyl Sulfoxide as an Oxidant. J. Org. Chem. 2017, 82, 3084–3093. [Google Scholar] [CrossRef]
  24. Siddaraju, Y.; Prabhu, K.R. Iodine-catalyzed sulfenylation of pyrazolones using dimethyl sulfoxide as an oxidant. Org. Biomol. Chem. 2017, 15, 5191–5196. [Google Scholar] [CrossRef]
  25. Wu, S.-S.; Feng, C.-T.; Hu, D.; Huang, Y.-K.; Li, Z.; Luo, Z.-G.; Ma, S.-T. Iodine-catalyzed direct C–H thiolation of imidazo[1,5-a]quinolines for the synthesis of 3-sulfenylimidazo[1,5-a]quinolines. Org. Biomol. Chem. 2017, 15, 1680–1685. [Google Scholar] [CrossRef]
  26. Kadari, L.; Palakodety, R.K.; Yallapragada, L.P. Iodine-Catalyzed Facile Approach to Sulfones Employing TosMIC as a Sulfonylating Agent. Org. Lett. 2017, 19, 2580–2583. [Google Scholar] [CrossRef] [PubMed]
  27. Bodhak, C.; Pramanik, A. One-Pot, Three-Component Synthesis of 5-Sulfenyl-2-iminothiazolines by Cross-Dehydrogenative C–S Coupling Using I2/DMSO in Open Air. J. Org. Chem. 2019, 84, 7265–7278. [Google Scholar] [CrossRef] [PubMed]
  28. Rather, S.A.; Kumar, A.; Ahmed, Q.N. Iodine-DMSO-promoted divergent reactivities of arylacetylenes. Chem. Commun. 2019, 55, 4511–4514. [Google Scholar] [CrossRef] [PubMed]
  29. Zhou, P.; Pan, Y.-P.; Tan, H.; Liu, W.-B. I2-DMSO-H2O: A Metal-Free Combination System for the Oxidative Addition of Alkynes to Access (E)-α-Iodo-β-methylsulfonylalkenes. J. Org. Chem. 2019, 84, 15662–15668. [Google Scholar] [CrossRef]
  30. Li, W.-W.; Zhang, J.; He, J.; Xu, L.; Vaccaro, L.; Liu, P.; Gu, Y.-L. I2/DMSO-Catalyzed Transformation of N-tosylhydrazones to 1,2,3-thiadiazoles. Front. Chem. 2020, 8, 466–475. [Google Scholar] [CrossRef]
  31. Yan, Y.-Z.; Xu, Y.; Niu, B.; Xie, H.-F.; Liu, Y.-Q. I2-Catalyzed Aerobic Oxidative C(sp3)–H Amination/C–N Cleavage of Tertiary Amine: Synthesis of Quinazolines and Quinazolinones. J. Org. Chem. 2015, 80, 5581–5587. [Google Scholar] [CrossRef]
  32. Krishnamurthy, M.; Vishwanatha, T.M.; Panguluri, N.R.; Panduranga, V.; Sureshbabu, V.V. Iodine-Mediated Oxidative Coupling of Hydroxamic Acids with Amines towards a New Peptide-Bond Formation. Synlett 2015, 26, 2565–2569. [Google Scholar]
  33. Mohammed, S.; Vishwakarma, R.A.; Bharate, S.B. Iodine Catalyzed Oxidative Synthesis of Quinazolin-4(3H)-ones and Pyrazolo[4,3-d]pyrimidin-7(6H)-ones via Amination of sp3 C–H Bond. J. Org. Chem. 2015, 80, 6915–6921. [Google Scholar] [CrossRef]
  34. Kim, Y.B.; Kim, Y.H.; Park, J.Y.; Kim, S.K. Synthesis and biological activity of new quinoxaline antibiotics of echinomycin analogues. Bioorg. Med. Chem. Lett. 2004, 14, 541–544. [Google Scholar] [CrossRef]
  35. Soleymani, M.; Chegeni, M. The Chemistry and Applications of the Quinoxaline Compounds. Curr. Org. Chem. 2019, 23, 1789–1827. [Google Scholar] [CrossRef]
  36. Xie, C.-X.; Zhang, Z.-Y.; Yang, B.-C.; Song, G.-L.; Gao, H.; Wen, L.-L.; Ma, C. An efficient iodine-DMSO catalyzed synthesis of quinoxaline derivatives. Tetrahedron 2015, 71, 1831–1837. [Google Scholar] [CrossRef]
  37. Vadagaonkar, K.S.; Kalmode, H.P.; Murugan, K.; Chaskar, A.C. I2 catalyzed tandem protocol for synthesis of quinoxalines via sp3, sp2 and sp C–H functionalization. RSC Adv. 2015, 5, 5580–5590. [Google Scholar] [CrossRef]
  38. Yang, L.; Shi, X.; Hu, B.-Q.; Wang, L.-X. Iodine-Catalyzed Oxidative Benzylic C–H Bond Amination of Azaarenes: Practical Synthesis of Quinazolin-4(3 H)-ones. Asian J. Org. Chem. 2016, 5, 494–498. [Google Scholar] [CrossRef]
  39. Ravi, O.; Shaikh, A.; Upare, A.; Singarapu, K.K.; Bathula, S.R. Benzimidazoles from Aryl Alkyl Ketones and 2-Amino Anilines by an Iodine Catalyzed Oxidative C(CO)–C(alkyl) Bond Cleavage. J. Org. Chem. 2017, 82, 4422–4428. [Google Scholar] [CrossRef]
  40. Deka, B.; Rastogi, G.K.; Deb, M.L.; Baruah, P.K. Ten Years of Glory in the α-Functionalizations of Acetophenones: Progress Through Kornblum Oxidation and C–H Functionalization. Top. Curr. Chem. 2022, 380, 1. [Google Scholar] [CrossRef]
  41. Xiong, M.-T.; Gao, Z.; Liang, X.; Cai, P.-F.; Zhu, H.-P.; Pan, Y.-J. Iodine-catalyzed synthesis of N,N′-diaryl-o-phenylenediamines from cyclohexanones and anilines using DMSO and O2 as oxidants. Chem. Commun. 2018, 54, 9679–9682. [Google Scholar] [CrossRef] [Green Version]
  42. Ali, Y.; Hamid, S.A.; Rashid, U. Biomedical Applications of Aromatic Azo Compounds. Mini Rev. Med. Chem. 2018, 18, 1548–1558. [Google Scholar] [CrossRef] [Green Version]
  43. Barak, D.S.; Dighe, S.U.; Avasthi, I.; Batra, S. Iodine-Catalyzed Diazenylation with Arylhydrazine Hydrochlorides in Air. J. Org. Chem. 2018, 83, 3537–3546. [Google Scholar] [CrossRef]
  44. Wang, C.; Geng, X.; Zhao, P.; Zhou, Y.; Wu, Y.-D.; Wu, A.-X. Employing thiocyanate salts as a nitrogen source via C≡N bond cleavage: Divergent synthesis of α-ketoamides and 2-acyloxazoles. Org. Chem. Front. 2019, 6, 2534–2538. [Google Scholar] [CrossRef]
  45. Wen, S.-M.-M.; Du, Y.-F.; Liu, Y.-W.; Cui, X.-F.; Liu, Q.-X.; Zhou, H.-F. Access to 2-Arylquinazolin-4(3H)-ones through Intramolecular Oxidative C(sp3)–H/N–H Cross-Coupling Mediated by I2/DMSO. Eur. J. Org. Chem. 2022, 2022, e202101187. [Google Scholar] [CrossRef]
  46. Il’ina, I.V.; Volcho, K.P.; Salakhutdinov, N.F. Acid-Catalyzed Transformations of Pinane Terpenoids. New Prospects. Russ. J. Org. Chem. 2008, 44, 1–23. [Google Scholar] [CrossRef]
  47. Patrusheva, O.S.; Volcho, K.P.; Salakhutdinov, N.F. Synthesis of oxygen-containing heterocyclic compounds based on monoterpenoids. Russ. Chem. Rev. 2018, 87, 771–796. [Google Scholar] [CrossRef]
  48. Venkateswarlu, V.; Kumar, K.A.A.; Gupta, S.; Singh, D.; Vishwakarma, R.A.; Sawant, S.D. DMSO/I2 mediated C–C bond cleavage of α-ketoaldehydes followed by C–O bond formation: A metal-free approach for one-pot esterification. Org. Biomol. Chem. 2015, 13, 7973–7978. [Google Scholar] [CrossRef]
  49. Liang, Y.-F.; Wu, K.; Song, S.; Li, X.-Y.; Huang, X.-Q.; Jiao, N. I2- or NBS-Catalyzed Highly Efficient α-Hydroxylation of Ketones with Dimethyl Sulfoxide. Org. Lett. 2015, 17, 876–879. [Google Scholar] [CrossRef]
  50. Yang, D.-P.; Ji, H.-F.; Tang, G.-Y.; Ren, W.; Zhang, H.-Y. How Many Drugs Are Catecholics. Molecules 2007, 12, 878–884. [Google Scholar] [CrossRef]
  51. Liang, Y.-F.; Li, X.-Y.; Wang, X.-Y.; Zou, M.-C.; Tang, C.-H.; Liang, Y.-J.; Song, S.; Jiao, N. Conversion of Simple Cyclohexanones into Catechols. J. Am. Chem. Soc. 2016, 138, 12271–12277. [Google Scholar] [CrossRef] [PubMed]
  52. Kalmode, H.P.; Vadagaonkar, K.S.; Shinde, S.L.; Chaskar, A.C. Metal-Free Dehomologative Oxidation of Arylacetic Acids for the Synthesis of Aryl Carboxylic Acids. J. Org. Chem. 2017, 82, 3781–3786. [Google Scholar] [CrossRef] [PubMed]
  53. Jayram, J.; Xulu, B.A.; Jeena, V. Iodine/DMSO promoted oxidation of benzylic Csp3–H bonds to diketones-A mechanistic investigation. Tetrahedron 2019, 75, 130617–130624. [Google Scholar] [CrossRef]
  54. Peshkov, V.-A.; Pereshivko, O.-P.; Eycken, E. A walk around the A3-coupling. Chem. Soc. Rev. 2012, 41, 3790–3807. [Google Scholar] [CrossRef]
  55. Aghahossein, H.; Ramazani, A.; Taran, J.; Ślepokura, K.; Lis, T. Heteroaromatic Aldehydes with Unprecedented Catalytic Performance in Selective Radical Reactions: Synthesis of New Scaffolds of α-Aminophosphonates. Asian J. Org. Chem. 2019, 8, 1519–1527. [Google Scholar] [CrossRef]
  56. Ye, R.-Z.; Cao, Y.-J.; Xi, X.-X.; Liu, L.; Chen, T.-Q. Metal- and radical-free aerobic oxidation of heteroaromatic methanes: An efficient synthesis of heteroaromatic aldehydes. Org. Biomol. Chem. 2019, 17, 4220–4224. [Google Scholar] [CrossRef]
  57. Naidoo, S.; Jeena, V. One-Pot, Two-Step Metal and Acid-Free Synthesis of Trisubstituted Imidazole Derivatives via Oxidation of Internal Alkynes Using an Iodine/DMSO System. Eur. J. Org. Chem. 2019, 2019, 1107–1113. [Google Scholar] [CrossRef]
  58. Wu, X.; Gao, Q.-H.; Geng, X.; Zhang, J.-J.; Wu, Y.-D.; Wu, A.-X. Iodine-Promoted Oxidative Cross-Coupling of Unprotected Anilines with Methyl Ketones: A Site-Selective Direct C–H Bond Functionalization to C4-Dicarbonylation of Anilines. Org. Lett. 2016, 18, 2507–2510. [Google Scholar] [CrossRef]
  59. Wu, X.; Geng, X.; Zhao, P.; Wu, Y.-D.; Wu, A.-X. Iodine-Catalyzed Oxidative Coupling To Construct C–O Bonds for the Synthesis of 2,3-Dihydrooxepines. Org. Lett. 2017, 19, 4584–4587. [Google Scholar] [CrossRef]
  60. Maccioni, E.; Alcaro, S.; Cirilli, R.; Vigo, S.; Cardia, M.C.; Sanna, M.L.; Meleddu, R.; Yanez, M.; Costa, G.; Casu, L.; et al. 3-Acetyl-2,5-diaryl-2,3-dihydro-1,3,4-oxadiazoles: A New Scaffold for the Selective Inhibition of Monoamine Oxidase B. J. Med. Chem. 2011, 54, 6394–6398. [Google Scholar] [CrossRef]
  61. Point, V.; Kumar, K.V.P.P.; Marc, S.; Delorme, V.; Parsiegla, G.; Amara, S.; Carrière, F.; Buono, G.; Fotiadu, F.; Canaan, S.; et al. Analysis of the discriminative inhibition of mammalian digestive lipases by 3-phenyl substituted 1,3,4-oxadiazol-2(3H)-ones. Eur. J. Med. Chem. 2012, 58, 452–463. [Google Scholar] [CrossRef]
  62. Patel, S.S.; Chandna, N.; Kumar, S.; Jain, N. I2 mediated synthesis of 5-substituted-3-methyl/benzyl-1,3,4-oxadiazol-2(3H)-ones via sequential condensation/oxidative cyclization and rearrangement. Org. Biomol. Chem. 2016, 14, 5683–5689. [Google Scholar] [CrossRef]
  63. Szabó, T.; Volk, B.; Milen, M. Recent Advances in the Synthesis of β-Carboline Alkaloids. Molecules 2021, 26, 663. [Google Scholar] [CrossRef]
  64. Singh, D.; Tiwari, S.K.; Singh, V. A transition metal-free approach towards synthesis of β-carboline tethered 1,3,4-oxadiazoles via oxidative C–O bond formation. New J. Chem. 2019, 43, 93–102. [Google Scholar] [CrossRef]
  65. Zetzsche, E.; Narayan, A.R.H. Broadening the scope of biocatalytic C–C bond formation. Nat. Rev. Chem. 2020, 4, 334–346. [Google Scholar] [CrossRef]
  66. Gao, Q.-H.; Zhang, J.-J.; Wu, X.; Liu, S.; Wu, A.-X. Direct Regioselective Oxidative Cross-Coupling of Indoles with Methyl Ketones: A Novel Route to C3-Dicarbonylation of Indoles. Org. Lett. 2015, 17, 134–137. [Google Scholar] [CrossRef]
  67. Xue, W.-J.; Li, Q.; Zhu, Y.-P.; Wang, J.-G.; Wu, A.-X. Convergent integration of two self-labor domino sequences: A novel method for the synthesis of oxazole derivatives from methyl ketones and benzoins. Chem. Commun. 2012, 48, 3485–3487. [Google Scholar] [CrossRef]
  68. Portela, S.; Cabrera-Trujillo, J.J.; Fernández, I. Catalysis by Bidentate Iodine(III)-Based Halogen Donors: Surpassing the Activity of Strong Lewis Acids. J. Org. Chem. 2021, 86, 5317–5326. [Google Scholar] [CrossRef]
  69. Gao, Q.-H.; Wu, X.; Liu, S.; Wu, A.-X. I2-Promoted Selective Oxidative Cross-Coupling/Annulation of 2-Naphthols with Methyl Ketones: A Strategy To Build Naphtho[2,1-b]furan-1(2H)-ones with a Quaternary Center. Org. Lett. 2014, 16, 1732–1735. [Google Scholar] [CrossRef]
  70. Gao, Q.-H.; Wu, X.; Li, Y.-H.; Liu, S.; Meng, X.-G.; Wu, A.-X. Iodine-Promoted Sequential C(sp3)–H Functionalization Reactions: An Annulation Strategy for the Construction of 3-Methylthio-4-arylmaleimides. Adv. Synth. Catal. 2014, 356, 2924–2930. [Google Scholar] [CrossRef]
  71. Fang, L.; Qiu, F.-M.; Li, Y.; Wang, S.-Z.; DeGuzman, J.; Wang, J.; She, J.-W. Determination of carbazole and halogenated carbazoles in human serum samples using GC-MS/MS. Ecotoxicol. Environ. Saf. 2019, 184, 109609. [Google Scholar] [CrossRef]
  72. Naykode, M.S.; Humne, V.T.; Lokhande, P.D. A One-Pot Direct Iodination of the Fischer-Borsche Ring Using Molecular Iodine and Its Utility in the Synthesis of 6-Oxygenated Carbazole Alkaloids. J. Org. Chem. 2015, 80, 2392–2396. [Google Scholar] [CrossRef]
  73. Song, X.-F.; Fan, J.; Liu, L.; Liu, X.-F.; Gao, F. Coumarin derivatives with anticancer activities: An update. Arch. Pharm. 2020, 353, 2000025. [Google Scholar] [CrossRef]
  74. Zhang, S.-Y.; Fu, D.-J.; Sun, H.-H.; Yue, X.-X.; Liu, Y.-C.; Zhang, Y.-B.; Liu, H.-M. Synthesis and bioactivity of novel coumarin derivatives. Chem. Heterocycl. Compd. 2016, 52, 374–378. [Google Scholar] [CrossRef]
  75. Kolita, S.; Borah, P.; Naidu, P.S.; Bhuyan, P.J. DMSO and iodine mediated reaction of 4-hydroxycoumarins and aldehydes/aryl methyl ketones: Synthesis of furo[3,2-c]coumarins. Tetrahedron 2016, 72, 532–538. [Google Scholar] [CrossRef]
  76. Nandwana, N.K.; Bhawani; Shinde, V.N.; Kumar, A. Copper-Catalyzed One-Pot, Three-Component Synthesis of Imidazo[1,2-c]quinazolines and Benzimidazo[1,2-c]quinazolines. ChemistrySelect 2021, 6, 12205–12208. [Google Scholar] [CrossRef]
  77. Lv, Z.-G.; Wang, B.-N.; Hu, Z.-Y.; Zhou, Y.-M.; Yu, W.-Q.; Chang, J.-B. Synthesis of Quinazolines from N,N′-Disubstituted Amidines via I2/KI-Mediated Oxidative C–C Bond Formation. J. Org. Chem. 2016, 81, 9924–9930. [Google Scholar] [CrossRef]
  78. Dutta, L.; Bhuyan, P.J. Synthesis of highly functionalized indeno[1,2-b]furans. Tetrahedron Lett. 2017, 58, 3545–3548. [Google Scholar] [CrossRef]
  79. Shaik, S.P.; Sultana, F.; Ravikumar, A.; Sunkari, S.; Alarifi, A.; Kamal, A. Regioselective oxidative cross-coupling of benzo[d]imidazo[2,1-b]thiazoles with styrenes: A novel route to C3-dicarbonylation. Org. Biomol. Chem. 2017, 15, 7696–7704. [Google Scholar] [CrossRef]
  80. Mani, G.S.; Rao, A.V.S.; Tangella, Y.; Sunkari, S.; Sultana, F.; Namballa, H.K.; Shankaraiah, N.; Kamal, A. Molecular iodine-catalysed oxidative CO–C(alkyl) bond cleavage of aryl/heteroaryl alkyl ketones: An efficient strategy to access fused polyheterocycles. New J. Chem. 2018, 42, 15820–15829. [Google Scholar] [CrossRef]
  81. Haider, K.; Rehman, S.; Pathak, A.; Najmi, A.K.; Yar, M.S. Advances in 2-substituted benzothiazole scaffold-based chemotherapeutic agents. Arch. Pharm. 2021, 354, 2100246. [Google Scholar] [CrossRef] [PubMed]
  82. Rahim, A.; Shaik, S.P.; Baig, M.F.; Alarifi, A.; Kamal, A. Iodine mediated oxidative cross-coupling of unprotected anilines and heteroarylation of benzothiazoles with 2-methylquinoline. Org. Biomol. Chem. 2018, 16, 635–644. [Google Scholar] [CrossRef] [PubMed]
  83. Gaikwad, S.V.; Nadimetla, D.N.; Kobaisi, M.A.; Devkate, M.; Joshi, R.; Shinde, R.G.; Gaikwad, M.V.; Nikalje, M.D.; Bhosale, S.V.; Lokhande, P.D. Iodine-DMSO-Catalyzed Chemoselective Biomimetic Aromatization of Tetrahydro-β-carbolines-3-carboxylic Acid: Mechanism Study with DFT-Calculation. ChemistrySelect 2019, 4, 10054–10059. [Google Scholar] [CrossRef]
  84. Chen, S.-H.; Li, Y.; Chen, J.-Y.; Xu, X.-H.; Su, L.-B.; Tang, Z.; Au, C.-K.; Qiu, R.-H. Iodine-Promoted Synthesis of Thioamides from 1,2-Dibenzyl sulfane and Difurfuryl Disulfide. Synlett 2016, 27, 2339–2344. [Google Scholar]
  85. Sun, P.-F.; Yang, D.-S.; Wei, W.; Sun, X.-J.; Zhang, W.-H.; Zhang, H.; Wang, Y.; Wang, H. Metal- and solvent-free, iodine-catalyzed cyclocondensation and C–H bond sulphenylation: A facile access to C-4 sulfenylated pyrazoles via a domino multicomponent reaction. Tetrahedron 2017, 73, 2022–2029. [Google Scholar] [CrossRef]
  86. Yaragorla, S.; Vijaya Babu, P. Oxidative Csp3–H functionalization of 2-methylazaarenes: A practical synthesis of 2-azaarenyl-benzimidazoles and benzothiazoles. Tetrahedron Lett. 2017, 58, 1879–1882. [Google Scholar] [CrossRef]
  87. Liu, H.-D.; Chen, H.; Li, Y.; Lv, Y.-F.; Cai, J.; Ji, M. A novel and one-pot method for synthesis of unprecedented 3,3-dimethyl-2-amide indoles under metal-free conditions. Tetrahedron Lett. 2015, 56, 2332–2335. [Google Scholar] [CrossRef]
  88. Wu, X.; Geng, X.; Zhao, P.; Zhang, J.-J.; Wu, Y.-D.; Wu, A.-X. I2-Promoted formal [3 + 2] cycloaddition of α-methylenyl isocyanides with methyl ketones: A route to 2,5-disubstituted oxazoles. Chem. Commun. 2017, 53, 3438–3441. [Google Scholar] [CrossRef]
  89. Hosseinzadeh, Z.; Ramazani, A.; Razzaghi-Asl, N. Anti-cancer Nitrogen-containing Heterocyclic Compounds. Curr. Org. Chem. 2018, 22, 2256–2279. [Google Scholar] [CrossRef]
  90. Singh, K.; Pal, R.; Khan, S.A.; Kumar, B.; Akhtar, M.J. Insights into the structure activity relationship of nitrogen-containing heterocyclics for the development of antidepressant compounds: An updated review. J. Mol. Struct. 2021, 1237, 130369. [Google Scholar] [CrossRef]
  91. Bora, P.; Bez, G. Chemoselective isocyanide insertion into the N–H bond using iodine-DMSO: Metal-free access to substituted ureas. Chem. Commun. 2018, 54, 8363–8366. [Google Scholar] [CrossRef]
  92. Giorno, T.B.S.; Silva, B.V.D.; Pinto, A.D.C.; Fernandes, P.D. Antinociceptive effect and mechanism of action of isatin, N-methyl isatin and oxopropyl isatin in mice. Life Sci. 2016, 151, 189–198. [Google Scholar] [CrossRef]
  93. Salvanna, N.; Reddy, L.M.; Kumar, R.A.; Das, B. Unactivated sp3 C–H Functionalization by I2/DMSO: An Efficient Method to Synthesize Isatins. ChemistrySelect 2018, 3, 8019–8022. [Google Scholar] [CrossRef]
  94. Ren, X.-W.; Zhang, W.-D. Synthesis of α-ketoamides catalyzed by iodine. Guangdong Chem. Ind. 2020, 47, 173–175. (In Chinese) [Google Scholar]
  95. Gao, Q.-H.; Liu, S.; Wu, X.; Zhang, J.-J.; Wu, A.-X. Coproduct Promoted Povarov Reaction: Synthesis of Substituted Quinolines from Methyl Ketones, Arylamines, and α-Ketoesters. J. Org. Chem. 2015, 80, 5984–5991. [Google Scholar] [CrossRef]
  96. Zhang, J.-J.; Wu, X.; Gao, Q.-H.; Geng, X.; Zhao, P.; Wu, Y.-D.; Wu, A.-X. Diamination/Oxidative Cross-Coupling/Bicyclization of Anilines and Methyl Ketones: Direct I2-Promoted Synthesis of 1,2-Fused Oxindoles. Org. Lett. 2017, 19, 408–411. [Google Scholar] [CrossRef]
  97. Wu, W.-Q.; An, Y.-N.; Li, J.-X.; Yang, S.-R.; Zhu, Z.-Z.; Jiang, H.-F. Iodine-catalyzed cascade annulation of alkynes with sodium arylsulfinates: Assembly of 3-sulfenylcoumarin and 3-sulfenylquinolinone derivatives. Org. Chem. Front. 2017, 4, 1751–1756. [Google Scholar] [CrossRef]
  98. Wang, D.-Y.; Yan, Z.-H.; Xie, Q.-H.; Zhang, R.-X.; Lin, S.; Wang, Y.-X. Three-component difunctionalization of alkenes leading to β-acetamido sulfides and β-acetoxy sulfides. Org. Biomol. Chem. 2017, 15, 1998–2002. [Google Scholar] [CrossRef]
Figure 1. Documents on formation of C–C bonds and C–Heteroatom bonds catalyzed by I2/DMSO.
Figure 1. Documents on formation of C–C bonds and C–Heteroatom bonds catalyzed by I2/DMSO.
Catalysts 12 00821 g001
Figure 2. Formation of different types of C–X bonds catalyzed by I2/DMSO.
Figure 2. Formation of different types of C–X bonds catalyzed by I2/DMSO.
Catalysts 12 00821 g002
Scheme 1. Regioselective vulcanization of imidazo[1,2-a]pyridines.
Scheme 1. Regioselective vulcanization of imidazo[1,2-a]pyridines.
Catalysts 12 00821 sch001
Scheme 2. Iodine-catalyzed direct cross-dehydrogenation coupling (CDC) reaction of pyrazole with mercaptan.
Scheme 2. Iodine-catalyzed direct cross-dehydrogenation coupling (CDC) reaction of pyrazole with mercaptan.
Catalysts 12 00821 sch002
Scheme 3. Sulfenylation of indoles by using I2 as catalyst and DMSO as oxidant.
Scheme 3. Sulfenylation of indoles by using I2 as catalyst and DMSO as oxidant.
Catalysts 12 00821 sch003
Scheme 4. Mechanism of 3-sulfonation of indole.
Scheme 4. Mechanism of 3-sulfonation of indole.
Catalysts 12 00821 sch004
Scheme 5. Metal-free regioselective sulfonation of α-CH3 ketones by cross-dehydrogenation series strategy (CDC).
Scheme 5. Metal-free regioselective sulfonation of α-CH3 ketones by cross-dehydrogenation series strategy (CDC).
Catalysts 12 00821 sch005
Scheme 6. I2/DMSO-catalyzed cross dehydrogenative coupling reaction.
Scheme 6. I2/DMSO-catalyzed cross dehydrogenative coupling reaction.
Catalysts 12 00821 sch006
Scheme 7. Sulfonation of pyrazolones with heterocyclic mercaptan, heterocyclic thione and disulfide.
Scheme 7. Sulfonation of pyrazolones with heterocyclic mercaptan, heterocyclic thione and disulfide.
Catalysts 12 00821 sch007
Scheme 8. I2/DMSO-catalyzed direct C–H thiolation.
Scheme 8. I2/DMSO-catalyzed direct C–H thiolation.
Catalysts 12 00821 sch008
Scheme 9. Mechanism of regioselective sulfonation.
Scheme 9. Mechanism of regioselective sulfonation.
Catalysts 12 00821 sch009
Scheme 10. Synthesis of sulfones catalyzed by I2/DMSO.
Scheme 10. Synthesis of sulfones catalyzed by I2/DMSO.
Catalysts 12 00821 sch010
Scheme 11. Reaction mechanism of I2/DMSO catalytic synthesis of sulfone.
Scheme 11. Reaction mechanism of I2/DMSO catalytic synthesis of sulfone.
Catalysts 12 00821 sch011
Scheme 12. One-pot three-component regioselective sulfonation of 2-iminothiazoline under metal-free conditions.
Scheme 12. One-pot three-component regioselective sulfonation of 2-iminothiazoline under metal-free conditions.
Catalysts 12 00821 sch012
Scheme 13. I2/DMSO catalyzed arylacetylene to produce regioselective diiodo-substituted alkenes.
Scheme 13. I2/DMSO catalyzed arylacetylene to produce regioselective diiodo-substituted alkenes.
Catalysts 12 00821 sch013
Scheme 14. Reaction mechanism of selective iodized olefins.
Scheme 14. Reaction mechanism of selective iodized olefins.
Catalysts 12 00821 sch014
Scheme 15. Synthesis of (E)-α-Iodo-β-methylsulfonylalkenes compounds catalyzed by I2/DMSO.
Scheme 15. Synthesis of (E)-α-Iodo-β-methylsulfonylalkenes compounds catalyzed by I2/DMSO.
Catalysts 12 00821 sch015
Scheme 16. Mechanism of synthesis of (E)-α-Iodo-β-methylsulfonylalkenes catalyzed by I2/DMSO.
Scheme 16. Mechanism of synthesis of (E)-α-Iodo-β-methylsulfonylalkenes catalyzed by I2/DMSO.
Catalysts 12 00821 sch016
Scheme 17. I2/DMSO-Catalyzed Transformation of N-tosylhydrazones to 1,2,3-thiadiazoles.
Scheme 17. I2/DMSO-Catalyzed Transformation of N-tosylhydrazones to 1,2,3-thiadiazoles.
Catalysts 12 00821 sch017
Scheme 18. C(sp3)–H Bond Activation by iodine Catalytic Oxidation.
Scheme 18. C(sp3)–H Bond Activation by iodine Catalytic Oxidation.
Catalysts 12 00821 sch018
Scheme 19. Mechanism for the formation of the quinazolines.
Scheme 19. Mechanism for the formation of the quinazolines.
Catalysts 12 00821 sch019
Scheme 20. Iodine-mediated oxidative coupling of hydroxamic acid with amine.
Scheme 20. Iodine-mediated oxidative coupling of hydroxamic acid with amine.
Catalysts 12 00821 sch020
Scheme 21. Reaction of 2-aminobenzamide with aryl methyl ketone catalyzed by iodine.
Scheme 21. Reaction of 2-aminobenzamide with aryl methyl ketone catalyzed by iodine.
Catalysts 12 00821 sch021
Scheme 22. Synthesis of quinoxaline derivatives using iodine as catalyst.
Scheme 22. Synthesis of quinoxaline derivatives using iodine as catalyst.
Catalysts 12 00821 sch022
Scheme 23. Synthesis of quinoxalines from ethyl aryl derivatives, ethylene aryl derivatives and acetylene aryl derivatives with o-phenylenediamine catalyzed by iodine.
Scheme 23. Synthesis of quinoxalines from ethyl aryl derivatives, ethylene aryl derivatives and acetylene aryl derivatives with o-phenylenediamine catalyzed by iodine.
Catalysts 12 00821 sch023
Scheme 24. Iodine-Catalyzed oxidative benzylic C–H bond amination of azaarenes.
Scheme 24. Iodine-Catalyzed oxidative benzylic C–H bond amination of azaarenes.
Catalysts 12 00821 sch024
Scheme 25. Benzimidazoles from aryl alkyl ketones and 2-amino anilines by an iodine catalyzed oxidative C(CO)–C(alkyl) bond cleavage.
Scheme 25. Benzimidazoles from aryl alkyl ketones and 2-amino anilines by an iodine catalyzed oxidative C(CO)–C(alkyl) bond cleavage.
Catalysts 12 00821 sch025
Scheme 26. Mechanism of cyclization of aryl alkyl ketones catalyzed by iodine.
Scheme 26. Mechanism of cyclization of aryl alkyl ketones catalyzed by iodine.
Catalysts 12 00821 sch026
Scheme 27. Synthesis of N,N′-diaryl-o-phenylene diamines catalyzed by I2/DMSO.
Scheme 27. Synthesis of N,N′-diaryl-o-phenylene diamines catalyzed by I2/DMSO.
Catalysts 12 00821 sch027
Scheme 28. A mechanism of iodine-catalyzed formation of N,N′-diaryl-o-phenylenediamines.
Scheme 28. A mechanism of iodine-catalyzed formation of N,N′-diaryl-o-phenylenediamines.
Catalysts 12 00821 sch028
Scheme 29. Diazotization of active methylene compounds and N-hetero-cyclic compounds with arylhydrazine hydrochlorides catalyzed by iodine.
Scheme 29. Diazotization of active methylene compounds and N-hetero-cyclic compounds with arylhydrazine hydrochlorides catalyzed by iodine.
Catalysts 12 00821 sch029
Scheme 30. Synthesis of α-ketoamides and 2-acyloxazoles from arylmethyl ketones and thiocyanates catalyzed by I2/DMSO.
Scheme 30. Synthesis of α-ketoamides and 2-acyloxazoles from arylmethyl ketones and thiocyanates catalyzed by I2/DMSO.
Catalysts 12 00821 sch030
Scheme 31. I2/DMSO-mediated intramolecular C(sp3)–H/N–H oxidative cross-coupling reaction.
Scheme 31. I2/DMSO-mediated intramolecular C(sp3)–H/N–H oxidative cross-coupling reaction.
Catalysts 12 00821 sch031
Scheme 32. Mechanism of I2/DMSO-mediated intramolecular C(sp3)–H/N–H oxidative cross-coupling reaction.
Scheme 32. Mechanism of I2/DMSO-mediated intramolecular C(sp3)–H/N–H oxidative cross-coupling reaction.
Catalysts 12 00821 sch032
Scheme 33. The cleavage of α-ketoaldehyde catalyzed by I2/DMSO.
Scheme 33. The cleavage of α-ketoaldehyde catalyzed by I2/DMSO.
Catalysts 12 00821 sch033
Scheme 34. α-hydroxylation of ketones catalyzed by I2/DMSO.
Scheme 34. α-hydroxylation of ketones catalyzed by I2/DMSO.
Catalysts 12 00821 sch034
Scheme 35. Oxidation of cyclohexanone catalyzed by iodine.
Scheme 35. Oxidation of cyclohexanone catalyzed by iodine.
Catalysts 12 00821 sch035
Scheme 36. Mechanism of cyclohexanones conversion to catechols.
Scheme 36. Mechanism of cyclohexanones conversion to catechols.
Catalysts 12 00821 sch036
Scheme 37. Synthesis of aryl carboxylic acids.
Scheme 37. Synthesis of aryl carboxylic acids.
Catalysts 12 00821 sch037
Scheme 38. Mechanism of decomposition of phenylacetic acid to benzoic acid.
Scheme 38. Mechanism of decomposition of phenylacetic acid to benzoic acid.
Catalysts 12 00821 sch038
Scheme 39. I2/DMSO oxidation of benzyl phenyl ketone to benzil.
Scheme 39. I2/DMSO oxidation of benzyl phenyl ketone to benzil.
Catalysts 12 00821 sch039
Scheme 40. Alpha C–H oxidation of ketone catalyzed by I2/DMSO.
Scheme 40. Alpha C–H oxidation of ketone catalyzed by I2/DMSO.
Catalysts 12 00821 sch040
Scheme 41. Aerobic oxidation of methyl group on aromatic compound.
Scheme 41. Aerobic oxidation of methyl group on aromatic compound.
Catalysts 12 00821 sch041
Scheme 42. Synthesis of trisubstituted imidazole derivatives by oxidation of alkynes using an I2/DMSO system.
Scheme 42. Synthesis of trisubstituted imidazole derivatives by oxidation of alkynes using an I2/DMSO system.
Catalysts 12 00821 sch042
Scheme 43. A highly site-selective C–H bond functionalization.
Scheme 43. A highly site-selective C–H bond functionalization.
Catalysts 12 00821 sch043
Scheme 44. Mechanism of I2-catalyzed highly chemical- and site-selective oxidative cross-coupling using acetophenone and aniline.
Scheme 44. Mechanism of I2-catalyzed highly chemical- and site-selective oxidative cross-coupling using acetophenone and aniline.
Catalysts 12 00821 sch044
Scheme 45. [3 + 3 + 1] Cycloaddition reaction catalyzed by I2/DMSO.
Scheme 45. [3 + 3 + 1] Cycloaddition reaction catalyzed by I2/DMSO.
Catalysts 12 00821 sch045
Scheme 46. Synthesis of 1,3,4-oxadiazol-2(3H) ones from aldehydes and carbazates.
Scheme 46. Synthesis of 1,3,4-oxadiazol-2(3H) ones from aldehydes and carbazates.
Catalysts 12 00821 sch046
Scheme 47. Synthesis of bioactive oxadiazoles catalyzed by I2.
Scheme 47. Synthesis of bioactive oxadiazoles catalyzed by I2.
Catalysts 12 00821 sch047
Scheme 48. Direct and selective oxidative cross-coupling of indoles with methyl ketones.
Scheme 48. Direct and selective oxidative cross-coupling of indoles with methyl ketones.
Catalysts 12 00821 sch048
Scheme 49. Mechanism of synthesis of indole compounds from methyl ketone catalyzed by iodine.
Scheme 49. Mechanism of synthesis of indole compounds from methyl ketone catalyzed by iodine.
Catalysts 12 00821 sch049
Scheme 50. Synthesis of carbazole from tetrahydrocarbazole catalyzed by iodine.
Scheme 50. Synthesis of carbazole from tetrahydrocarbazole catalyzed by iodine.
Catalysts 12 00821 sch050
Scheme 51. Synthesis of coumarin by I2/DMSO-catalyzed synthesis of furan[3,2-c]coumarin.
Scheme 51. Synthesis of coumarin by I2/DMSO-catalyzed synthesis of furan[3,2-c]coumarin.
Catalysts 12 00821 sch051
Scheme 52. Mechanism for the formation of furo[3,2-c]coumarin 5a.
Scheme 52. Mechanism for the formation of furo[3,2-c]coumarin 5a.
Catalysts 12 00821 sch052
Scheme 53. Construction of quinazoline skeletons.
Scheme 53. Construction of quinazoline skeletons.
Catalysts 12 00821 sch053
Scheme 54. Reaction mechanism of cyclization to quinazoline.
Scheme 54. Reaction mechanism of cyclization to quinazoline.
Catalysts 12 00821 sch054
Scheme 55. Synthesis of ninhydrin and indeno[1,2-b]furans catalyzed by I2/DMSO.
Scheme 55. Synthesis of ninhydrin and indeno[1,2-b]furans catalyzed by I2/DMSO.
Catalysts 12 00821 sch055
Scheme 56. Construction of C3-dicarbonyl compounds by oxidative cross-coupling catalyzed by I2/DMSO.
Scheme 56. Construction of C3-dicarbonyl compounds by oxidative cross-coupling catalyzed by I2/DMSO.
Catalysts 12 00821 sch056
Scheme 57. Construction of various fused heterocycles catalyzed by iodine.
Scheme 57. Construction of various fused heterocycles catalyzed by iodine.
Catalysts 12 00821 sch057
Scheme 58. Synthesis of C4-carbonylated aniline (4-aminophenyl)(quinoline-2-yl) methanones and 2-heteroarylbenzothiazoles catalyzed by I2/DMSO.
Scheme 58. Synthesis of C4-carbonylated aniline (4-aminophenyl)(quinoline-2-yl) methanones and 2-heteroarylbenzothiazoles catalyzed by I2/DMSO.
Catalysts 12 00821 sch058
Scheme 59. Synthesis of β-carboline-3-carboxylic acids catalyzed by I2/DMSO.
Scheme 59. Synthesis of β-carboline-3-carboxylic acids catalyzed by I2/DMSO.
Catalysts 12 00821 sch059
Scheme 60. Synthesis of thiamides by catalytic oxidation of I2/DMSO.
Scheme 60. Synthesis of thiamides by catalytic oxidation of I2/DMSO.
Catalysts 12 00821 sch060
Scheme 61. Synthesis of C-4 sulfonated pyrazole by iodine catalyzed cyclic condensation reaction.
Scheme 61. Synthesis of C-4 sulfonated pyrazole by iodine catalyzed cyclic condensation reaction.
Catalysts 12 00821 sch061
Scheme 62. Synthesis of 2-azaarenyl benzothiazoles by catalytic oxidation of I2/DMSO.
Scheme 62. Synthesis of 2-azaarenyl benzothiazoles by catalytic oxidation of I2/DMSO.
Catalysts 12 00821 sch062
Scheme 63. I2/DMSO promotes the synthesis of 3,3-dimethyl-2-amide indoles.
Scheme 63. I2/DMSO promotes the synthesis of 3,3-dimethyl-2-amide indoles.
Catalysts 12 00821 sch063
Scheme 64. Synthesis of oxazoles by iodine-catalyzed [3 + 2] cycloaddition reaction.
Scheme 64. Synthesis of oxazoles by iodine-catalyzed [3 + 2] cycloaddition reaction.
Catalysts 12 00821 sch064
Scheme 65. Selective synthesis of urea from isocyanate catalyzed by I2/DMSO.
Scheme 65. Selective synthesis of urea from isocyanate catalyzed by I2/DMSO.
Catalysts 12 00821 sch065
Scheme 66. I2/TBHP/DMSO Mediated synthesis of isatins from 2-ethylanilines.
Scheme 66. I2/TBHP/DMSO Mediated synthesis of isatins from 2-ethylanilines.
Catalysts 12 00821 sch066
Scheme 67. Mechanism of synthesis of isatins catalyzed by I2/DMSO.
Scheme 67. Mechanism of synthesis of isatins catalyzed by I2/DMSO.
Catalysts 12 00821 sch067
Scheme 68. Preparation of α-ketoamide by one-pot reaction.
Scheme 68. Preparation of α-ketoamide by one-pot reaction.
Catalysts 12 00821 sch068
Scheme 69. Mechanism of synthesis of 1-morpholine-2-phenyl-1-morpholine-2-Dione from acetophenone and morpholine.
Scheme 69. Mechanism of synthesis of 1-morpholine-2-phenyl-1-morpholine-2-Dione from acetophenone and morpholine.
Catalysts 12 00821 sch069
Scheme 70. I2/DMSO-catalyzed Povarov-type reaction of methyl ketones, arylamines, and α-ketoesters.
Scheme 70. I2/DMSO-catalyzed Povarov-type reaction of methyl ketones, arylamines, and α-ketoesters.
Catalysts 12 00821 sch070
Scheme 71. Mechanism of synthesis of quinolines catalyzed by iodine/DMSO.
Scheme 71. Mechanism of synthesis of quinolines catalyzed by iodine/DMSO.
Catalysts 12 00821 sch071
Scheme 72. I2/DMSO-catalyzed functionalization of multiple C–H Bonds.
Scheme 72. I2/DMSO-catalyzed functionalization of multiple C–H Bonds.
Catalysts 12 00821 sch072
Scheme 73. Electrophilic cyclization catalyzed by iodine/DMSO.
Scheme 73. Electrophilic cyclization catalyzed by iodine/DMSO.
Catalysts 12 00821 sch073
Scheme 74. Synthesis of β-acetoxy sulfides by bifunctionalization of olefins catalyzed by I2/DMSO.
Scheme 74. Synthesis of β-acetoxy sulfides by bifunctionalization of olefins catalyzed by I2/DMSO.
Catalysts 12 00821 sch074
Publisher’s Note: MDPI stays neutral with regard to jurisdictional claims in published maps and institutional affiliations.

Share and Cite

MDPI and ACS Style

Wang, J.-Q.; Zuo, Z.-Y.; He, W. Recent Advances of Green Catalytic System I2/DMSO in C–C and C–Heteroatom Bonds Formation. Catalysts 2022, 12, 821. https://doi.org/10.3390/catal12080821

AMA Style

Wang J-Q, Zuo Z-Y, He W. Recent Advances of Green Catalytic System I2/DMSO in C–C and C–Heteroatom Bonds Formation. Catalysts. 2022; 12(8):821. https://doi.org/10.3390/catal12080821

Chicago/Turabian Style

Wang, Jia-Qi, Zhen-Yu Zuo, and Wei He. 2022. "Recent Advances of Green Catalytic System I2/DMSO in C–C and C–Heteroatom Bonds Formation" Catalysts 12, no. 8: 821. https://doi.org/10.3390/catal12080821

APA Style

Wang, J.-Q., Zuo, Z.-Y., & He, W. (2022). Recent Advances of Green Catalytic System I2/DMSO in C–C and C–Heteroatom Bonds Formation. Catalysts, 12(8), 821. https://doi.org/10.3390/catal12080821

Note that from the first issue of 2016, this journal uses article numbers instead of page numbers. See further details here.

Article Metrics

Back to TopTop