Next Article in Journal
Effect of the Heterovalent Doping of TiO2 with Sc3+ and Nb5+ on the Defect Distribution and Photocatalytic Activity
Previous Article in Journal
Cu-Y2O3 Catalyst Derived from Cu2Y2O5 Perovskite for Water Gas Shift Reaction: The Effect of Reduction Temperature
 
 
Font Type:
Arial Georgia Verdana
Font Size:
Aa Aa Aa
Line Spacing:
Column Width:
Background:
Article

Synthesis, Characterization, and Catalytic Activity of Nickel Sulfided Catalysts for the Dehydrogenation of Propane: Effect of Sulfiding Agent and Sulfidation Temperature

1
PetroSA Synthetic Fuels Innovation Center, South African Institute for Advanced Materials Chemistry, University of the Western Cape, Bellville 7535, South Africa
2
Central Analytical Facility, University of Stellenbosch, Stellenbosch 7602, South Africa
3
The Electron Microscope Unit, Department of Physics, University of the Western Cape, Bellville 7535, South Africa
*
Author to whom correspondence should be addressed.
Catalysts 2022, 12(5), 483; https://doi.org/10.3390/catal12050483
Submission received: 7 December 2021 / Revised: 27 January 2022 / Accepted: 5 February 2022 / Published: 25 April 2022
(This article belongs to the Topic Catalysis for Sustainable Chemistry and Energy)

Abstract

:
The effect of sulfiding agent and sulfidation temperature on nickel catalysts supported on MgAl2O4 were investigated for propane dehydrogenation. The catalysts were prepared by reduction of NiO/MgAl2O4, followed by sulfidation using (NH4)2SO4 (S1), (NH4)2S (S2), and DMSO (S3) as sulfiding agents. The catalysts were sulfided at 200 °C, 400 °C, and 550 °C to form Ni/MgAl2O4-Sx-y, where x and y represent the sulfiding agent and sulfidation temperature, respectively. Physiochemical properties of the catalysts were characterized by XRD, BET, SEM, TEM, and TGA to investigate the type of nickel-sulfur species, surface area, morphology, particle size, and stability of the catalysts. Structural and textural properties revealed that the anion present on the sulfiding agent as well as the sulfidation temperature affect both the type and the strength of the Ni-S species. For the S1 catalysts, the SO42− ion interacted with the support to form MgSO4, while the S2− ion on the S2 and S3 catalysts was responsible for the formation of the Ni3S2 phase. The sulfidation temperature contributed to the %S present on each catalyst. Although the catalysts sulfided by S3 contained the least %S, Ni/MgAl2O4-S3-550 displayed the best catalytic performance as a result of the higher particle dispersion and stronger Ni-S interaction compared to S1 and S2 catalysts.

Graphical Abstract

1. Introduction

With an increasing demand for olefins, processes for alkane dehydrogenation have gained considerable attention. The dehydrogenation of light alkanes serves as a fundamental reaction for the petrochemical industry and refining, since it is a selective process used to produce short-chain alkenes [1,2,3,4,5,6,7]. In recent years, metal sulfided catalysts have gained considerable attention in the academic and patent literature [8,9,10,11]. For example, sulfided nickel catalysts have been identified as an alternative type of catalyst in dehydrogenation reactions. Wang et al. found that the introduction of sulfur on nickel oxide catalysts decreased coking and increased the dehydrogenation activity of the catalysts significantly [4,8]. Transition metal sulfides are usually prepared by direct sulfiding of a metal salt or by decomposition of a sulfur-containing precursor [12].
H2S is decomposed to H2 and S2−, which is the source of sulfur on a range of metal components. However, H2S is highly toxic, and a high corrosion resistance is required for industrial equipment, leading to a high investment cost [13,14,15,16]. Various alternative sulfiding agents have been used in order to introduce sulfur into metal sulfided catalysts to improve catalytic activity for dehydrogenation reactions [4,17,18].
Wang et al. prepared sulfur modified catalysts through the addition (NH4)2SO4 of Ni/MgAl2O4 and Mo/MgAl2O4 catalysts for the dehydrogenation of isobutane [4,19]. The adsorption of various anions, such as sulfate ions onto oxides, have been investigated as a means of improving their catalytic activity [20]. The addition of relatively safe ammonium sulfate to metal catalysts has been explored in previous research studies [4,19,21,22].
Liu and co-workers used (NH4)2S, as a sulfiding agent, to sulfide a CoMo/Al2O3 catalyst. They speculated that due to the high sulfidation activity of S2− the transition metals of the catalyst would react with (NH4)2S, leading to the full sulfidation of the active components [17]. With this reasoning, (NH4)2S was used as a sulfiding agent in their study through a simple sulfiding procedure in low temperature and ambient pressure conditions.
Additionally, DMSO is a sulfur containing organic solvent used as a sulfiding agent for refineries due to its ease of handling and relatively fewer toxic properties [23,24]. The Ni/Al2O3 catalysts were sulfided with DMSO by Resasco for the dehydrogenation of isobutane [18]. Three different procedures have been reported for the conventional sulfiding of oxidic catalyst precursors: (1) reduction followed by sulfiding of the reduced catalyst, (2) simultaneous reduction and sulfiding, and (3) sulfiding followed by reduction. The first two routines are more typically applied, where H2 is used for the in-situ reduction [25,26].
Yu et al. studied the intrinsic effect of various anion precursors on nickel catalysts. It was reported that the properties of the anions might affect the dispersion of particles during drying, calcination, and reduction of the catalyst. It has been suggested that the anion might be involved in modifying catalytic behaviors of the catalyst. This could be due to the different anions, which have different properties and distinct decomposition temperatures. The anion might interact with the nickel cation or the support in various ways, which could potentially affect the dispersion of the nickel species, reduction of the nickel oxide, and the interaction of the nickel with the support. Therefore, a fundamental understanding about the effects of precursor anions on the catalyst is required for the development of effective catalysts [27].
Previous studies demonstrate that catalyst textural properties and catalytic performance were greatly influenced by treatment conditions such as sulfidation temperature on catalysts for hydrodesulfurization reactions [28,29,30]. Jiang et al. found that Mo-based catalysts sulfidation depended on temperature. They reported that lower sulfidation temperatures (<500 °C) had little effect on the catalyst morphology or catalytic activity and catalytic stability increased when sulfidation temperature was >500 °C [28]. Farag and co-workers reported complete sulfidation to a highly crystalline MoS2-2H structure at 800 °C and sulfidation at 400 °C produced an amorphous MoS2 state [29]. Therefore, it is clearly observed from literature that temperature can influence the degree of sulfidation, catalyst morphology, and catalytic activity. However, to the best of our knowledge, not much attention has been paid to the sulfidation temperature on dehydrogenation catalysts.
The investigation of the effect of these three sulfiding agents, containing different anions, namely (NH4)2SO4 (S1), (NH4)2S (S2), and DMSO (S3) for the sulfidation of Ni/MgAl2O4 catalyst, which has not been reported on before. Moreover, the decomposition of the sulfiding agent is important to determine which sulfiding agent is most effective in the sulfidation of the nickel catalyst.
Herein, we investigate the effect of the sulfiding agent and sulfidation temperature on the morphology, textural properties, and catalytic activity of the sulfided catalysts. Initially, NiO/MgAl2O4 catalysts were reduced to Ni/MgAl2O4 before being sulfided to Ni/MgAl2O4-Sx-y, where x represents the sulfiding agent and y represents the temperature at which sulfidation took place.

2. Results

2.1. X-ray Diffraction

The X-ray diffraction (XRD) pattern of Ni/MgAl2O4 is shown in Figure 1a below. The reflections corresponding to the MgAl2O4 phase occur at 19°, 31°, 37°, 45°, 56°, 59°, 65°, and 77° 2θ angles. The diffraction peaks corresponding to MgAl2O4 can be indexed to the cubic spinel structure of the MgAl2O4 support [31]. The possibility of intermediate products has not been detected in the support, as indicated by the absence of MgO and Al2O3 peaks, which consequently confirms the single phase of the as-synthesized MgAl2O4 support. The peak present at 52° 2θ is associated with the reduced Ni metal on the catalyst. The peaks present in the 2θ regions 43° and 63° correspond to NiO, which was not fully reduced during the reduction step of the catalyst. According to MATCH software, using semi-quantitative phase analysis, the % of NiO still present on the catalyst was 6.4%. The Scherrer equation was applied to calculate the particle size at 52° 2θ of the unmodified Ni and was equal to 35 nm.
The XRD patterns of Ni/MgAl2O4 sulfided with (NH4)2SO4 (S1) to form Ni/MgAl2O4-S1-y, where y is the temperature of sulfidation, as shown in Figure 1b. At 200 °C, the XRD pattern of Ni/MgAl2O4-S1-200 matched that of (NH4)2SO4, with traces of reduced Ni and the MgAl2O4 support. At sulfidation temperatures of 400 °C and 550 °C, the XRD pattern of Ni/MgAl2O4-S1-400 and Ni/MgAl2O4-S1-550 contain peaks corresponding to MgSO4, indicating that the SO42− anion from the sulfiding agent has a stronger interaction with the support than the Ni metal on the catalyst. As seen in the XRD patterns of all three catalysts that were sulfided with (NH4)2SO4, the presence of nickel-sulfur species was absent, or the intensity was insufficient to be detected by XRD analysis. The % of unreacted Ni with sulfur is 2%, 11%, and 5% for Ni/MgAl2O4-S1-200, Ni/MgAl2O4-S1-400, and Ni/MgAl2O4-S1-550 catalysts, detected by MATCH software. This could imply that there is more interaction between sulfur and the MgAl2O4 support in Ni/MgAl2O4-S1-400 and Ni/MgAl2O4-S1-550 catalysts, leading to a higher % of unreacted Ni metal.
The XRD patterns of Ni/MgAl2O4 sulfided with (NH4)2S (S2) to form Ni/MgAl2O4-S2-y, where y is the temperature of sulfidation, is shown in Figure 1c. For the Ni/MgAl2O4-S2-200 catalyst, the peaks present in the 2θ regions 30°, 34°, 53°, and 56° correspond to NiS on the catalyst. Studies have shown that nickel-sulfide can exist as several phases. The reaction of nickel and sulfur at temperatures between 177 °C–477 °C under steady state conditions could produce the NiS, Ni3S2, Ni6S5, and NiS2 phases.
The formation of a specific nickel-sulfide phase depends on various factors, such as the role of starting precursors and temperature [32,33]. The Ni/MgAl2O4-S2-400 and Ni/MgAl2O4-S2-550 catalysts contained Ni3S2 phase after sulfidation. It can be noticed that when using the (NH4)2S precursor nickel sulfides are easily formed at all temperatures compared to the (NH4)2SO4 sulfiding agent. Furthermore, an increase in sulfidation temperature resulted in the formation of a different nickel-sulfur species compared to the lower temperature of 200 °C, indicating that the sulfidation temperature could influence the type of nickel-sulfur species that form.
It was noted that as the sulfidation temperature is increased, the intensity of the NiO peak decreased, and there is an increase in the metal sulfided phases (Ni3S2 and NiS) when using (NH4)2S as the sulfiding agent.
The % of unreacted Ni according to MATCH is 1% and 0.5% for Ni/MgAl2O4-S2-200 and Ni/MgAl2O4-S2-400 catalysts. This could suggest that (NH4)2S is an effective sulfiding agent, as complete sulfidation can be obtained at low temperatures, which is probably due to the low decomposition temperature of (NH4)2S and the presence of the S2− ion on (NH4)2S. The S2− ion is known to be involved in the formation of nickel-sulfide species, which is the active phase for dehydrogenation [4]. The crystallite size of nickel-sulfur particles was calculated using the Scherrer equation. The peak at 53° was used to calculate the crystallite size of NiS and was equal to 9 nm.
The peaks present in the 2θ regions 21°, 50°, and 55° correspond to Ni3S2 on the Ni/MgAl2O4-S2-400 and Ni/MgAl2O4-S2-550 catalysts. The crystallite size of Ni3S2 on Ni/MgAl2O4-S2-400 and Ni/MgAl2O4-S2-550 was calculated using the peak at 55° and equaled 11 nm and 12 nm, respectively. The crystallite sizes of nickel sulfides are smaller compared to the unsulfided nickel. This indicates that the sulfur acts as a structural promoter and reduces the particle size of nickel. However, the crystallite sizes, although still smaller than pure nickel, do increase in size with the increase in sulfidation temperature as expected.
The XRD patterns of the catalysts sulfided with DMSO (S3) to form Ni/MgAl2O4-S3-y, where y is the temperature of sulfidation, is shown in Figure 1d below. The catalysts sulfided at the three temperatures all contained peaks corresponding to the presence of a Ni-Sx species in the form of the Ni3S2 phase. In addition, the presence of NiO was also observed, which seems to be slightly more prevalent compared to catalysts sulfided with agents S1 and S2. According to MATCH, the % NiO present on Ni/MgAl2O4-S3-200, Ni/MgAl2O4-S3-400, and Ni/MgAl2O4-S3-550 is 6.4%, 6%, and 3.7%, respectively. This indicates that not all the metallic nickel was sulfided by DMSO. The % NiO present on the Ni/MgAl2O4-S3-200 and Ni/MgAl2O4-S3-400 catalysts was also more than the unmodified catalyst.
Furthermore, the EDS data (Table 1) show that the catalysts sulfided with DMSO contained the least %S compared to the catalysts sulfided with (NH4)2SO4 and (NH4)2S as sulfiding agents. This could be due to the loss of sulfur by H2S gas. The S-O bond of DMSO (chemical formula C2H6OS) is weak, thus DMSO can easily be reduced to CH3SH. With a further increase in temperature CH3SH bonds will break and some H2S gas will be produced [34].
It was speculated that some of the oxygen lost from DMSO may oxidize the reduced Ni, hence a combination of the smaller presence of sulfur and availability of oxygen may have led to an increased amount of NiO on the sulfided catalysts. The peak at 2θ 55° was used to calculate the crystallite size of Ni3S2 on Ni/MgAl2O4-S3-200, Ni/MgAl2O4-S3-400, and Ni/MgAl2O4-S3-550, which equaled 4.5 nm, 12 nm, and 14 nm, respectively.
The various sulfiding agents, as well as sulfidation temperature, influence the Ni-S species formed, crystallite size, and degree of sulfidation. The sulfur in (NH4)2SO4 (S1) interacts mostly with the support, as indicated by the peaks corresponding to MgSO4. Under the reaction conditions in our study, the (NH4)2SO4 did not reduce to a sulfide phase as with (NH4)2S (S2) and DMSO (S3). For S2 and S3 catalysts, the Ni3S2 phase is present at sulfiding temperatures of 400 °C and 550 °C. The crystallite size of Ni3S2 increased with an increase in temperature for the S2 sulfiding agent. The formation of NiS at low sulfidation temperature and Ni3S2 at high sulfidation temperature could be due to the reduction of the nickel-sulfided species at the higher temperature according to the equations listed below [35].
7NiS + 2e →Ni7S6 + S2−
3Ni7S6 + 8e → 7Ni3S2 + 4S2−
These results are consistent with that found in the literature. Increasing temperatures usually cause the sintering of metal particles. The crystallites move over the support and collide to form larger particles [36,37,38]. As the reaction temperature increases, so does the crystallite size of a given material.
The % of unreacted Ni decreased with an increase in temperature for both S2 and S3 sulfiding agents, which could indicate increased decomposition of the sulfiding agents, hence an increase in the nickel-sulfur phase. Evidence given by EDS analysis highlights the increase in wt% S with an increase in sulfidation temperature, implying increased decomposition from low to high temperature conditions. This is consistent with previous studies that show complete sulfidation of catalysts is likely to occur at higher temperatures [28,29,30]. The exception to the trend is S1, which could be due to loosely bound sulfur being lost with an increase in sulfidation temperature.

2.2. Thermogravimetric Analysis

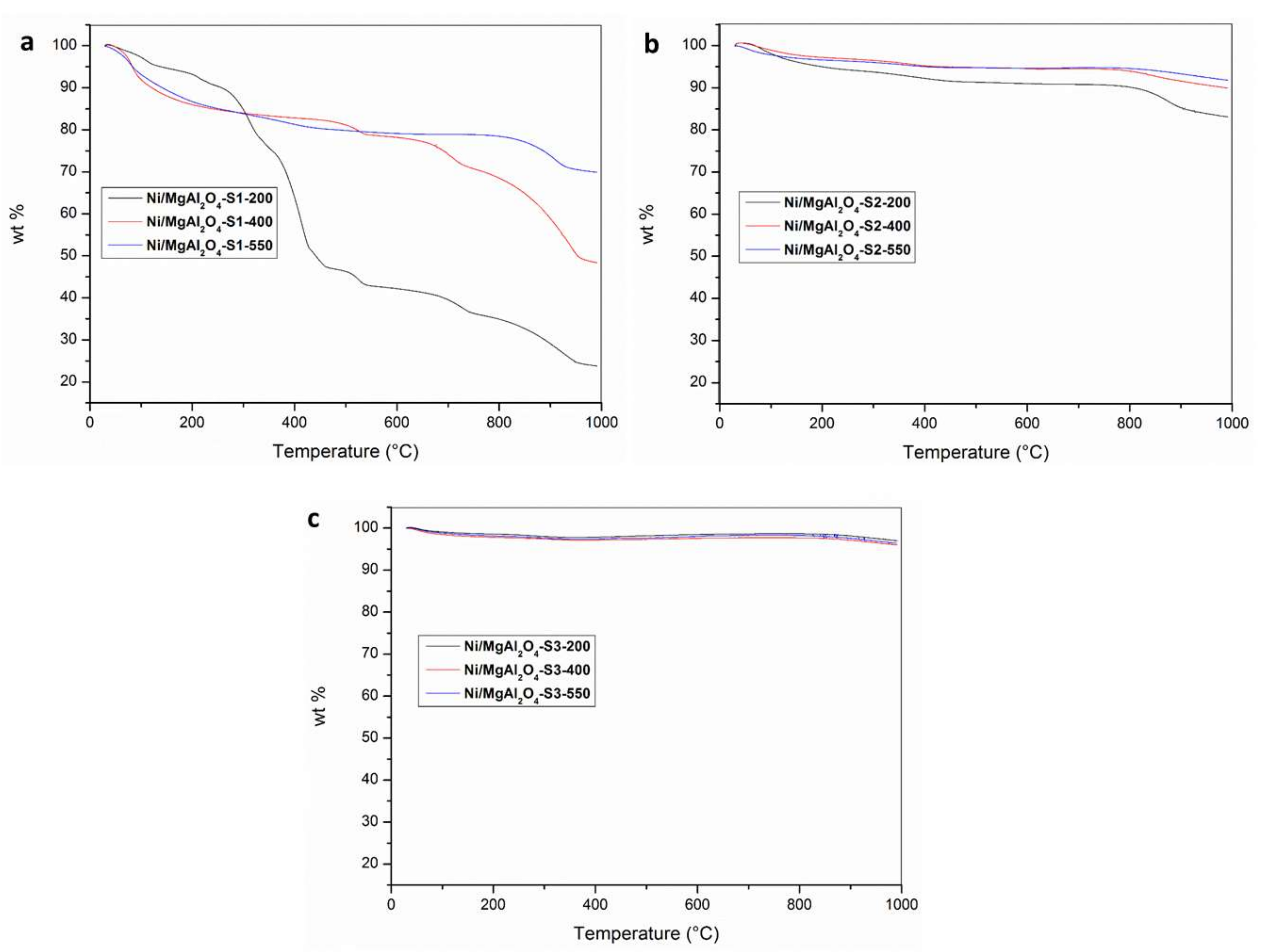
Thermogravimetric analysis (TGA), shown in Figure 2, was performed on S1, S2, and S3 catalysts to determine which sulfiding agent was the best for sulfiding the nickel supported catalyst as well as the strength of the sulfur interaction with the catalyst. As sulfidation temperature increased from 200 °C–550 °C, the sulfur loss from the catalyst decreased, indicating a stronger nickel-sulfur interaction as a consequence of the higher sulfidation temperature. This trend was observed for the S1 and S2 catalysts, while S3 catalysts showed no wt% mass loss, suggesting that sulfur has the strongest interaction with the catalysts sulfided with DMSO.
The TGA profile of Ni/MgAl2O4-S1-200 is typical for (NH4)2SO4, with multiple mass loss steps. The wt% loss at the higher temperatures i.e., above 600 °C, was assigned to the decomposition of the sulfate groups on Ni/MgAl2O4-S1-400 and Ni/MgAl2O4-S1-550, respectively [20]. The results obtained from TGA correlate with EDS data, which show that Ni/MgAl2O4-S1-200 catalyst had the highest sulfur content, with a total mass loss of 75% due to decomposition of the ammonium sulfate. This was followed by wt% mass loss of Ni/MgAl2O4-S1-400 (23%) > Ni/MgAl2O4-S1-550 (20%) > Ni/MgAl2O4-S2-200 (10%) > Ni/MgAl2O4-S2-400 (6%) > Ni/MgAl2O4-S2-550 (5%). The mass loss observed at approximately 800 °C could be associated with the loss of sulfur from the catalysts [39].
TGA data shows that loosely bound sulfur, with mass loss occurring <200 °C, were present on the catalysts sulfided with (NH4)2SO4. The sulfur interaction with the catalyst was stronger using (NH4)2S as the sulfiding agent compared to (NH4)2SO4, and the interaction strengthened with an increase in sulfidation temperature as observed for the smaller wt% mass loss on S2 catalysts. The catalysts sulfided with DMSO showed no losses of loosely bound sulfur. This is most likely due to the smaller amount of sulfur on the catalyst which interacts strongly with the nickel particles. Interestingly, DMSO is identified as the most stable, further highlighting the strong nickel-sulfur interaction using this sulfiding agent, due to no or negligible mass loss at temperatures as high as 800 °C. TGA analysis clearly highlights DMSO as an excellent sulfiding agent, resulting in highly stable metal sulfide species.

2.3. Scanning Electron Microscopy, Transmission Electron Microscopy, and Surface Area Analysis

SEM analysis was used to determine the morphology and dispersion of NiSx particles on the support material. The morphology of the catalysts sulfided with (NH4)2SO4 (S1), (NH4)2S (S2), and DMSO (S3) at 200 °C, 400 °C, and 550 °C can be observed from the SEM micrographs shown in Figure 3. The morphology of the catalysts sulfided with S1 (Figure 3) varied gradually from low sulfidation temperature to high sulfidation temperature. The appearance of Ni/MgAl2O4-S1-200 (Figure 3a, 200 °C) was composed of needle-like agglomerates, which could be due to the catalyst consisting of (NH4)2SO4 as indicated by XRD analysis. The surface of the Ni/MgAl2O4-S1-400 (Figure 3a, 400 °C) catalyst is characterized by floccules, which could be attributed to some decomposition of (NH4)2SO4 on the catalyst. When the sulfidation temperature is increased to 550 °C, the flocculant-shaped surface morphology disappeared, as observed for the Ni/MgAl2O4-S1-550 catalyst (Figure 3a, 550 °C).
This result could indicate that the catalyst is loose and porous with an increase in sulfidation temperature [40]. Additionally, at 550 °C, the (NH4)2SO4 sulfiding agent could be completely decomposed, with enhanced dispersion of particles and interaction with the MgAl2O4 support to form MgSO4 as shown by XRD analysis.
Figure 3b displays the surface morphology of catalysts sulfided with S2 as the sulfiding agent. It was observed that a coating was present on the catalyst, which became more prominent with an increase in sulfidation temperature, which could possibly be due to the increased decomposition of the sulfiding agent. The coating was not uniformly distributed over the support but rather appeared as agglomerations, indicating a lower dispersion of nickel-sulfide species when using the (NH4)2S sulfiding agent. According to the literature, nickel sulfide prepared by the addition of (NH4)2S to a nickel salt usually contains a non-stoichiometric excess of sulfur [41]. The data obtained from EDS show that, in fact, the %S on the catalysts increased with sulfidation temperature, thereby correlating with the result obtained from SEM. Nickel sulfide is a complex compound with various valence states and it is difficult to obtain nickel sulfide with pure phase, uniform size, and structural morphology [41]. The excess sulfur could react with the nickel to form the dense areas of aggregated nickel-sulfided species as seen in the SEM images.
The surface morphology of Ni/MgAl2O4 sulfided with S3 at the various temperatures is shown in Figure 3a. The Ni/MgAl2O4-S3-550 catalyst consists of distinctive clusters of small particles with a spherical morphology, which is suspected to be Ni3S2 particles, absent from the catalysts sulfided with S1 and S2 sulfiding agents. This morphology is consistent at all sulfidation temperatures for S3 catalysts.
It is clear from SEM imaging that the morphology of the catalysts is affected by the type of sulfiding agent. The morphology changes with an increase in temperature, in particular for (NH4)2SO4 sulfiding agent, however, for DMSO the morphology is maintained at all sulfiding temperatures. The increase in sulfidation temperature from 200 °C–550 °C seem to result in a more uniform distribution of particles for S1 and S3, however with S2 larger clusters of particles are observed. Furthermore, SEM analysis provides evidence that the sulfiding agents produce distinct morphologies. For example, S1 consists of closely packed particles, S2 is distinguished by the appearance of the “coating” on the catalyst surface due to agglomeration of NiSx particles, and S3 is composed of aggregates of small spherical particles. The dense coating of nickel-sulfided complexes, observed for the S2 catalysts, is absent in the catalyst sulfided with DMSO.
To gain more information about the level of dispersion of nickel and sulfur over the MgAl2O4, support electron mapping of the sulfided catalysts was conducted. The images are shown in Figure 4. The sulfur on Ni/MgAl2O4-S1-200 (Figure 4a) seems to be present as a thick mass over the catalyst. This is noticed by the map of sulfur (green), which shows sulfur to be dense and well dispersed on the support. This is due to the (NH4)2SO4 crystals that completely cover the support. EDS analysis also confirmed the high sulfur content of 33%, the highest of all compared catalysts.
Visual evidence of sulfur interacting with MgAl2O4 can be observed in Ni/MgAl2O4-S1-400 and Ni/MgAl2O4-S1-550 (Figure 4b,c). There is a greater interaction with Mg than with Ni, as evidenced by the electron maps of the elements. This is consistent with XRD analysis, which indicated the presence of MgSO4 for the Ni/MgAl2O4-S1-400 and Ni/MgAl2O4-S1-550 catalysts. In industry, the MgAl2O4 spinel can be used as a sulfur-transfer catalyst in fluid catalytic cracking units for SOx emission control, and it has been reported that sulfur oxide species have a high reactivity with MgAl2O4 spinel.
Gerle and co-workers found that the chemical reaction of MgAl2O4 with sulfur oxides to form MgSO4 occurred between reaction temperatures of 400 °C–800 °C [42,43]. This result corresponds with our system, where the MgSO4 phase was present at sulfidation temperatures of 400 °C and 500 °C.
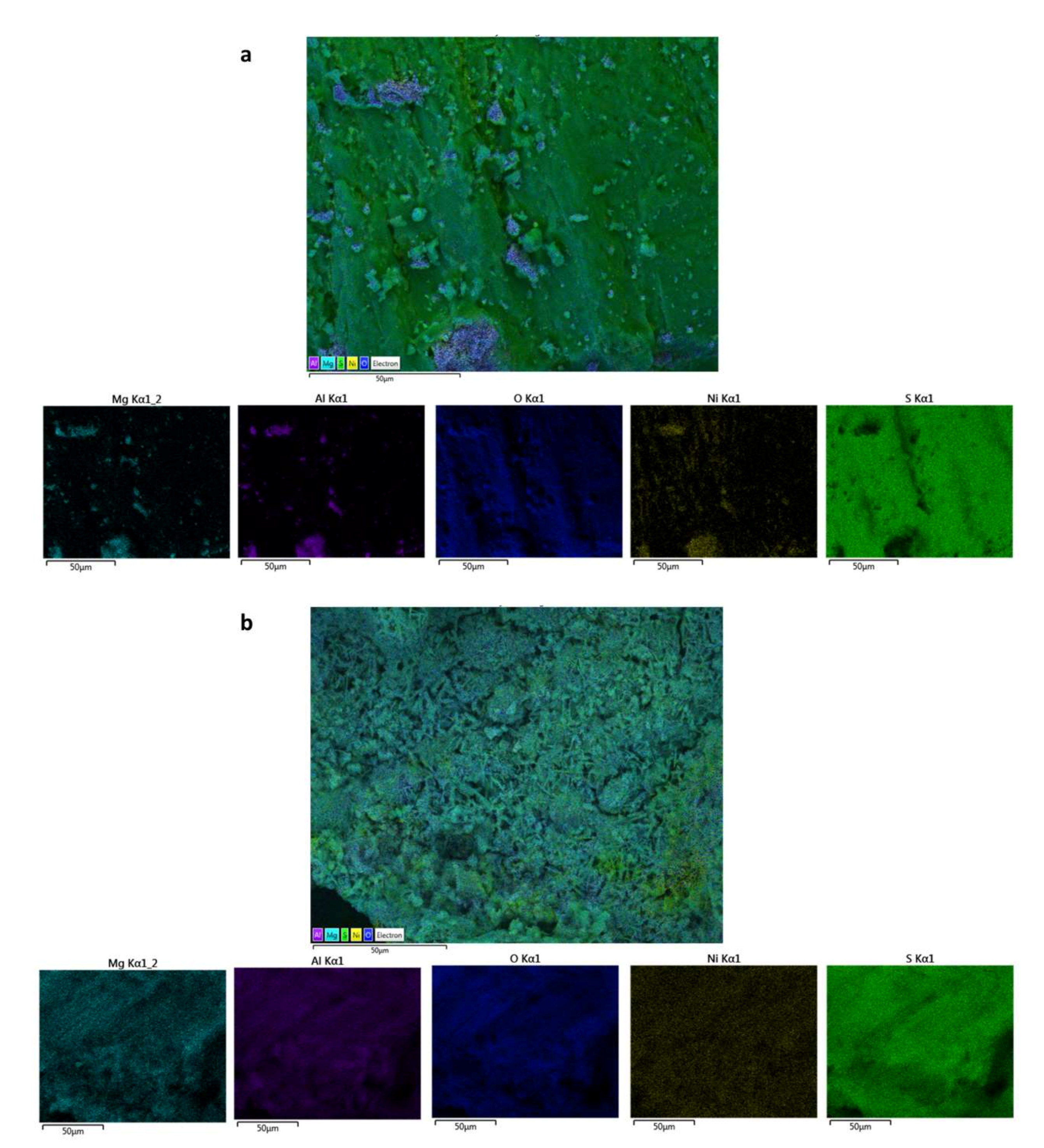
The electron mapping images for S2 catalysts (Figure 5) indicate that the “coating” observed from SEM analysis could be attributed to nickel-sulfided particles that are distributed on the catalyst. The %S is equal to 9.42%, 13.81%, and 18.17% for Ni/MgAl2O4-S2-200, Ni/MgAl2O4-S2-400, and Ni/MgAl2O4-S2-550, respectively, as indicated from EDS analysis.
It is suggested that the nickel-sulfided species increase with an increase in sulfidation temperature (Figure 5a–c) due to greater decomposition of the sulfiding agent. The electron maps of the individual elements confirm a greater interaction with Ni and S compared to S1, however aggregates of Ni and S are present on the support with a low dispersion.
Figure 6 shows the electron mapping of the catalysts sulfided with DMSO. Both the nickel and sulfur particles are evenly dispersed on the Ni/MgAl2O4-S3-200 (Figure 6a) and Ni/MgAl2O4-S3-400 (Figure 6b) catalysts, with some clusters of nickel-sulfided species forming on the Ni/MgAl2O4-S3-550 catalyst as indicated by the white arrows in Figure 6c. DMSO has been used previously in the preparation of highly dispersed silica-supported nanocopper heterogeneous catalysts and dispersible palladium nanoparticles. The advantages of using DMSO were attributed to (i) sufficient interaction with the surface of the metal nanoparticles to effectively stabilize nanoparticle dispersion and (ii) the absence of agglomeration [44,45]. In our study, overall sulfiding with DMSO at all temperatures led to a high dispersion of nickel and sulfur compared to the S1 and S2 catalysts, correlating well with the results obtained from XRD analysis. The high dispersion may be due to a stronger interaction between Ni and S, as sulfur acts as a structural promoter and reduces the nickel particle size.
The sulfur content of S3, however, is much lower compared to S1 and S2, as shown in the EDS results. The interaction between nickel and sulfur on the catalysts sulfided with DMSO seem to have a high consistency, high dispersion, and small particle size, which could be promising for catalytic activity.
SEM and electron mapping indicated that the surface morphology and dispersion varies when using S1, S2, and S3 sulfiding agents. The sulfur content on the S1 catalysts contained the highest %S, which was densely distributed as seen for Ni/MgAl2O4-S1-200 and Ni/MgAl2O4-S1-400 catalysts. For Ni/MgAl2O4-S1-550, the sulfiding agent is decomposed, as suggested from SEM analysis, and sulfur interacts strongly with the MgAl2O4 support, seen in Figure 4c. The same trend is observed for S2 catalysts, where the increase in sulfidation temperature could lead to higher decomposition of the sulfiding agent.
The presence of nickel and sulfur clusters grow and increase at the sulfidation temperature of 550 °C for Ni/MgAl2O4-S2-550 and there is evidence of strong nickel-sulfur interactions present on the catalyst. The catalysts sulfided with S3 at 200 °C, 400 °C, and 550 °C have the “best” dispersion compared to S1 and S2 sulfiding agents. For the Ni/MgAl2O4-S3-550 catalyst, the nickel and sulfur form small clusters less dense than S2 catalysts, indicating strong nickel-sulfur interactions at this sulfidation temperature. Since the catalysts sulfided at 550 °C showed improved dispersion and strong sulfur interactions, this could imply that the optimum temperature for sulfidation is 550 °C for all three sulfiding agents.
TEM analysis was used to measure particle size of the catalysts. Firstly, the unmodified catalyst (Figure S1, Supplementary materials) contained large particles measuring 59 nm. There was an expected change in particle size with the addition of sulfur, due to the geometric effect, which dilutes aggregated Ni sites on the catalyst and dissociates large Ni ensembles responsible for hydrogenolysis reactions [46]. The sulfided nickel particles are depicted in each image by white arrows. For the S1 catalysts (Figure 7), the nickel-sulfur species was not present in the XRD analysis, due to the sulfiding agent (NH4)2SO4 being present on the surface of the catalyst (low temperatures-200 °C) and interacting mostly with the Mg in the support (high temperatures-550 °C). It was observed that there was a wider particle size distribution for Ni/MgAl2O4-S1-400 and Ni/MgAl2O4-S1-550 compared to the Ni/MgAl2O4-S1-200 catalyst (Figure 8). The particle sizes of the catalysts sulfided at 200 °C, 400 °C, and 550 °C was calculated from the program Image J to be 5 nm, 11 nm, and 9 nm, respectively. The increase in temperature led to an increase in particle size.
The TEM imaging and particle size distribution for S2 catalysts is shown in Figure 9 and Figure 10, respectively. The particle cluster size for Ni/MgAl2O4-S2-200, Ni/MgAl2O4-S2-400, and Ni/MgAl2O4-S2-550 was calculated as 11 nm, 17 nm, and 48 nm, respectively. The images for Ni/MgAl2O4-S2-400 and Ni/MgAl2O4-S2-550 show that the catalysts consisted of small particles clustered together. As sulfidation temperature increased, the interaction of the Ni and S particles increased as well as sulfur content, leading to the formation of larger sized and increased number of clusters (Ni3S2) as seen from the TEM images (Figure 9c). This correlates with the results from SEM analysis and electron imaging, showing that the nickel sulfided particles become denser with an increase in sulfidation temperature.
The TEM imaging and particle size distribution for S3 catalysts is shown in Figure 11 and Figure 12, respectively. The TEM images show that the catalyst sulfided with DMSO displays the best dispersion of the nickel particles. Particle size for Ni/MgAl2O4-S3-200, Ni/MgAl2O4-S3-400, and Ni/MgAl2O4-S3-550 was calculated as 6 nm, 11 nm, and 15 nm.
The same trend was observed for the catalyst sulfided with (NH4)2S as the sulfiding agent. It was observed that Ni/MgAl2O4-S2-400 and Ni/MgAl2O4-S2-550 had a similar particle size to Ni/MgAl2O4-S3-550. However, the particles were better dispersed on Ni/MgAl2O4-S3-550 compared to the S2 catalysts. The strongest interaction between nickel and sulfur occurs in S3 catalysts, as indicated by TGA. The beneficial geometric effects of sulfur, causing the increased dispersion, is most notable in S3 catalysts. Since the interactions of Ni and S increase with sulfidation temperature (200 °C, 400 °C, and 550 °C), we would expect that Ni/MgAl2O4-S3-550 has the highest dispersion of particles on the catalyst.
Nitrogen adsorption–desorption isotherms of the catalysts sulfided with (NH4)2SO4, (NH4)2S and DMSO, at 200 °C, 400 °C, and 550 °C are shown in Figure 13a–c, respectively. All the catalysts, with the exception of Ni/MgAl2O4-S1-200, display type IV isotherms and type H1 hysteric loops, which is indicative of mesopores present in the catalysts [47,48]. The largest decrease in surface area observed for the Ni/MgAl2O4-S1-200 could be due to the covering of (NH4)2SO4 crystals on the surface and within the pores of the support.
An increase in surface area is observed with an increase in sulfidation temperature for S1 catalysts, which is consistent with the findings from SEM analysis that indicated a change in morphology to a more porous structure with an increase in sulfidation temperature. This could be due to the decomposition of (NH4)2SO4 and reduction of pore blockages caused by sulfur [49]. The surface areas of the S1 catalysts at higher temperatures were also the largest compared to the other sulfiding agents.
The N2-physisorption results for the catalysts are displayed in Table 2. The S1 catalysts showed the highest surface area of 90–120 m2/g compared to S2 and S3 catalysts. The surface areas increased for the S2 catalysts as the sulfiding temperature increased above 200 °C. This could be due to the difference in surface areas of the NiS and Ni3S2 species observed at different sulfiding temperatures. The surface areas of the catalysts sulfided with DMSO, however, all had the same surface area, likely due to the high dispersion observed at all sulfiding temperatures. The N2 physisorption studies indicate that differences in the textural properties, in particular the surface areas, are obtained when using different sulfiding agents. This was dependent on the decomposition of the sulfiding agent in which temperature has an effect, as well as dispersion of Ni-S species on the catalyst.

2.4. Catalytic Performance

The catalysts sulfided with (NH4)2SO4, (NH4)2S, and DMSO at the various temperatures were evaluated for the propane dehydrogenation. The conversion % of propane and selectivity % toward the various products for the catalyst sulfided with (NH4)2SO4 is shown in Figure 14 and Figure 15, respectively. The initial conversion % of propane for the S1 catalysts increased in the following order: Ni/MgAl2O4-S1-200 (26%), Ni/MgAl2O4-S1-550 (37%), and Ni/MgAl2O4-S1-400 (51%) at three minutes of the reaction time. The S1 catalysts follow a trend of increasing stability with time, which could be due to the formation of Ni3S2 as the reaction proceeds due to reduction of (NH4)2SO4 by propane. The presence of an active Ni3S2 was confirmed by XRD analysis of the spent catalysts at 120 min (Figure S2, Supplementary material). The S1-400 and S1-550, which both have higher initial conversions, then decreased slightly after 30 min TOS and then remained stable for the length of the reaction time.
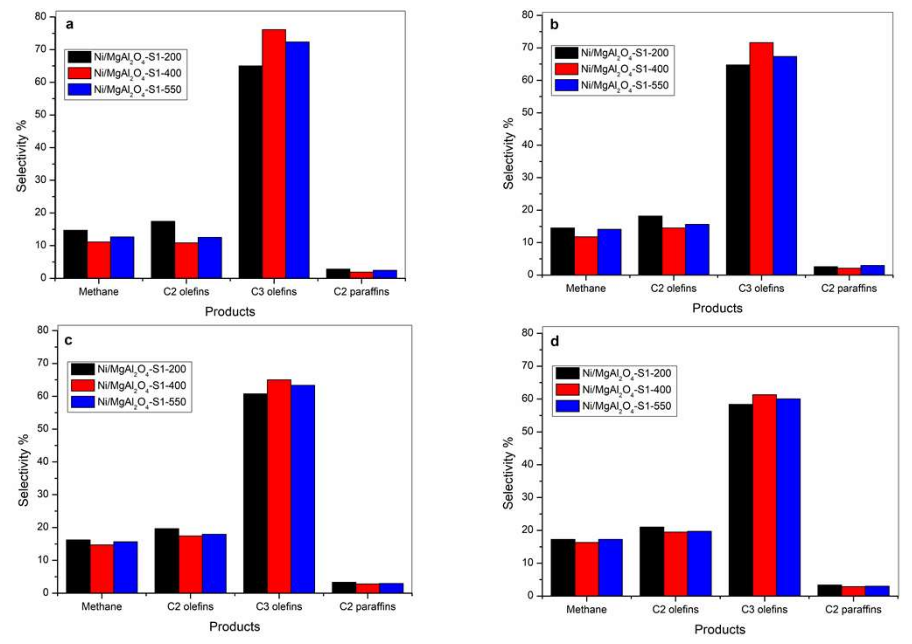
Regarding selectivity of the catalysts, it was noted that as the reaction progressed, more C2 olefins were being produced with time on stream. The major side products for the reaction were CH4, C2H4, and C2H6, indicating that hydrogenolysis as well as cracking reactions occur. The selectivity of Ni/MgAl2O4-S1-400 and Ni/MgAl2O4-S1-550 toward propylene was higher than Ni/MgAl2O4-S1-200. For example, at 3 min, the selectivity toward propylene was 76% and 72% for Ni/MgAl2O4-S1-400 and Ni/MgAl2O4-S1-550, respectively, while Ni/MgAl2O4-S1-200 displayed a selectivity of 65% at 3 min. The Ni/MgAl2O4-S1-400 and Ni/MgAl2O4-S1-550 catalysts displayed stronger sulfur bonds being formed as indicated by TGA analysis, which could be the reason for the improved selectivity. At the sulfidation temperature of 200 °C, it was noted that (NH4)2SO4 was deposited and present on the catalyst, as indicated by XRD analysis. Furthermore, the Ni/MgAl2O4-S1-400 and Ni/MgAl2O4-S1-550 catalysts had an increase in the sulfur interaction with the support compared to Ni/MgAl2O4-S1-200, indicated by the presence of MgSO4. It was suggested that the improved interaction of sulfur on the support may have led to the enhanced selectivity.
In the case of the catalysts sulfided with (NH4)2S, the catalyst activity decreased over time (Figure 16). The S1 catalysts showed a decrease in the conversion between 3–30 min (S1-400 and S1-550), followed by the catalysts being more stable up to 120 min. This contrasts with S2 catalysts, whereby the catalysts are stable up to 60 min, followed by a decrease in conversion of propane. This contrast could be due to the phases present in the catalyst. Since fresh S2 catalysts contain NiS and Ni3S2, the initial conversion and stability is high, and activity gradually decreases as sulfur may be lost from the catalyst. However, the presence of Ni3S2 is only present in the spent S1 catalysts as the S1 catalysts experience an induction phase, which results in increase in conversion and stability as the Ni3S2 phase forms during the reaction due to reduction by propane. The conversion % at 3 min were in close range: Ni/MgAl2O4-S2-200 (50%), Ni/MgAl2O4-S2-400 (50%), and Ni/MgAl2O4-S2-550 (43%).
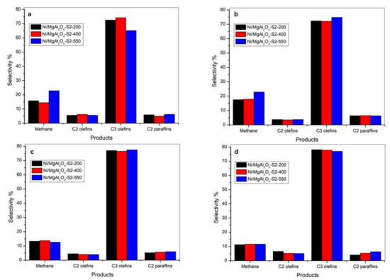
Overall, the catalyst activity is noticed to decrease with an increase in sulfidation temperature. It is possible that the decrease in activity is a result of an increase in particle size and lower dispersion as shown by the TEM and SEM analyses, which was observed when the sulfidation temperature was increased. The catalysts sulfided with (NH4)2S showed excellent selectivity toward propylene, 78% for Ni/MgAl2O4-S2-200, Ni/MgAl2O4-S2-400, and Ni/MgAl2O4-S2-550, indicating a high dehydrogenation activity of the catalyst as observed from Figure 17. This could be due to stronger nickel-sulfur bonds and better desorption of olefins on S2 catalysts compared to S1. Furthermore, S2 catalysts contains the S2− species, which is part of the active phase (Ni3S2) for dehydrogenation.
Wang and co-workers reported that the introduction of sulfur facilitated the desorption of olefins by weakening the interaction between the surface metal atoms and the adsorbed alkene molecules. One reason is that sulfur caused a higher electron density on the surface atoms and led to more repulsive interactions with the olefins. It was proposed that sulfur addition, i.e., the presence of S2− adjusted the electronic properties of Ni atoms, altered the nature of the surface species and decreased the adsorption heat of olefins, as well as the activation energy of its desorption, thereby leading to a higher dehydrogenation activity [4,46].
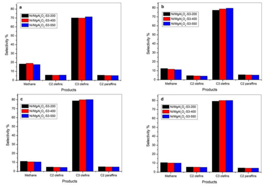
The dehydrogenation activity for the catalysts sulfided with DMSO is shown in Figure 18 and Figure 19. The conversion % of propane increased in the following order for the S3 catalysts: Ni/MgAl2O4-S3-400 (36%) < Ni/MgAl2O4-S3-200 (37%) < Ni/MgAl2O4-S3-550 (45%) in the first 3 min. The Ni/MgAl2O4-S3-550 catalyst displayed the highest stability compared to all the catalysts, including the catalysts sulfided with (NH4)2SO4 and (NH4)2S as the sulfiding agents. The conversion of propane for Ni/MgAl2O4-S3-550 was 46%, the highest conversion value of all catalysts at 120 min. The enhanced stability of the S3 catalyst is likely due to the highest dispersion of Ni-Sx species observed by SEM electron mapping compared to S1 and S2 catalysts. Although sulfidation with DMSO resulted in the lowest wt% sulfur content, the high dispersion and small particle size may have resulted in the strong interaction between the metal and sulfur, thereby enhancing stability and preventing sulfur loss from the catalyst.
EDS analysis of the spent catalysts (Figure 20) further confirmed that S3 showed the lowest loss of sulfur compared to S1 and S2. The stability of the Ni/MgAl2O4-S3-550 catalyst could also be due to suppression of the release of S2− in the metal sulfide, which is important for achieving stable dehydrogenation performance [50]. The TGA profile of S3 catalysts confirm the excellent stability of nickel-sulfur bonds when compared to S1 and S2. The increase in conversion with temperature for the S3 catalysts may be correlated with the slightly higher content of sulfur on the Ni/MgAl2O4-S3-550 catalyst compared to the Ni/MgAl2O4-S3-200 and Ni/MgAl2O4-S3-400 catalysts. This increase in activity may be attributed to the higher content of sulfur increasing the electronic charge distribution on the catalyst, thus acting as an electronic promoter. Furthermore, a growth in crystallite size was observed for (Table S1, Supplementary Material) for all the spent catalysts, which could indicate sintering and a possible reason for the decrease in catalytic activity.
Figure 20 shows that sulfur is lost after 2 h of reaction time by the decrease in %S on the spent catalysts. The S3 catalysts, although they have the lowest sulfur content, also showed the least loss of sulfur compared to S1 and S2 catalysts. This indicates a strong interaction between the metal and sulfur, confirmed by TGA, possibly due the higher dispersion observed. The difference in catalytic activity between S1, S2, and S3 catalysts could be due to the strength of the sulfur bonds to the metal. Furthermore, the difference in decomposition of the sulfiding agent at different temperatures, i.e., either 200 °C, 400 °C, or 550 °C, may lead to different sulfur contents which change the net electronic charge distribution that affects the activity of the catalyst. Thus, the amount of sulfur present and a stronger metal-sulfur bond could lead to an enhanced activity and stability, as shown for the Ni/MgAl2O4-S3-550 catalyst.
It was noted that S1 catalysts (containing the SO42− ion) had a higher selectivity toward C2 compared to S2 and S3 catalysts (containing the S2− ion), indicative of more cracking reactions. It is known that the SO42− ion promotes acidity on dehydrogenation catalysts. It has previously been reported that cracking reactions occur on dehydrogenation catalysts containing higher acid site density in comparison to moderate acid site density [22,51]. This is consistent in our study, whereby S1 contained the highest wt% S in the form of the SO42− as indicated by XRD analysis and electron mapping imaging. For the catalysts sulfided with (NH4)2S and DMSO, although a high dehydrogenation activity existed, side products (CH4, C2H4, and C2H6) were observed, an indication that propane cracking and propane hydrogenolysis reactions were not completely eliminated [50].
The selectivity of the catalysts sulfided with DMSO to propene, however, were still high, comparable with the S2 catalysts. Interestingly, it showed the best selectivity as the reaction proceeded. The selectivity increased to as high as 80% at 120 min of the reaction time, highlighting the beneficial effect of high dispersion of sulfur on the catalyst. The enhanced stability of the catalyst resulted in the high selectivity to propene with time on stream. The high dispersion may have also resulted in sulfur reducing the nickel ensemble size, and blocking sites responsible for the hydrogenolysis as the lowest methane selectivity was observed for the S3 catalysts.

3. Materials and Methods

3.1. Raw Materials

The following chemicals were used in the study: Magnesium nitrate hexahydrate (98–102%, Merck, Johannesburg, South Africa), aluminium nitrate nonahydrate (≥98%, Merck, Johannesburg, South Africa), oxalic acid (99.5%, LabChem, Johannesburg, South Africa), nickel nitrate hexahydrate (≥97%, Merck, Johannesburg, South Africa), ammonium sulfate (99%, LabChem, Johannesburg, South Africa), ammonium sulfide (20wt%, Merck, Johannesburg, South Africa), DMSO (≥99.9%, Merck, Johannesburg, South Africa), and propane gas. Distilled water is obtained by a house supply that produces Milli-Q water.

3.2. Catalyst Preparation: Synthesis of MgAl2O4 Support, Supported Ni Catalysts, and Sulfur Modified Catalysts

The synthesis of MgAl2O4 was performed according to our previous work and adapted by Nassar and co-workers [31,52]. The loading of Ni by weight was 13 wt% for all catalysts. Nickel oxide catalysts supported on MgAl2O4 was prepared by wetness impregnation, using Ni(NO3)2.6H2O as the metal precursor. After impregnation of the supports, the catalysts were dried at 140 °C overnight and calcined at 700 °C in air for 2 h. The catalyst was then reduced under a flow of H2 (50 mL/min) at 600 °C for 5 h.
Sulfur modified Ni/MgAl2O4 catalysts were prepared using three different sulfiding agents: (NH4)2SO4 (S1), (NH4)2S (S2), and DMSO (S3). The molar ratio of Ni:S is 1:5 for each sulfiding agent. The catalysts were loaded onto the reactor, then sulfided with the calculated amount of sulfiding agent under a flow of nitrogen (50 mL/min) at 200 °C, 400 °C, and 550 °C for 3 h.

3.3. Characterization

X-ray diffraction (XRD) analysis of the samples was performed on a Bruker AXS D8 Advance Diffractometer (Cu-Kα radiation λKα1 = 1.5406 Å) 40 kV running from 5–90° in the 2θ range. The crystallite size (L) of the catalysts were determined using the Scherrer equation as follows: L = Kλ/βcosθ, where λ is the X-ray wavelength, β is the peak width of the diffraction peak, and K is the shape factor with a value of 0.94. The ICDD database available on MATCH software was used for peak identification. The surface area measurements and porosity analysis were determined by nitrogen adsorption/desorption isotherms at −196 °C using the Micromeritics 3 FLEX analyzer. Approximately 0.3 g of sample was degassed overnight with a constant flow of nitrogen gas over the sample in order to remove atmospheric moisture from the sample. The specific surface areas were determined by the Brunauer–Emmet–Teller (BET) and Barret–Joyner–Halenda (BJH) methods. Scanning electron microscopy (SEM) micrographs were obtained using a high-resolution SEM EHT 5.00 kV. Transmission electron microscopy (TEM) images were obtained using a FEI Tecnai G2 F20 S-Twin HRTEM, operated at 200 kV. The powdered samples were dispersed in absolute ethanol, using ultrasound, pipetted onto carbon-coated copper grids, and allowed to dry for a few minutes under a lamp before imaging. A ZEISS MERLIN SEM instrument was used for STEM imaging and X-ray mapping of samples. The setting for the imaging was at a working distance of 9.5 mm with beam strength of 20 kV and probe current of 10 nA, using a backscattered electron detector. Samples were prepared by mounting the catalyst evenly on carbon tape and sputter coated with gold at 10 mm and 10 nm. The STEM detector was used at a 20 kV beam strength and 250 pA probe current with a 4 mm working distance. Samples were prepared by 10 x dilution, then pipetted onto the TEM grid and air dried. Urinyl acetate was used for negative staining and samples were left to dry in darkness before loading onto a STEM stub and into the MERLIN SEM instrument. Thermogravimetric analysis (TGA) was performed on a simultaneous analyzer (STA) 8000 in order to investigate the thermal stability of the catalysts. Approximately 0.03 g of sample was placed in the sample holder. The sample was then heated at a ramp rate of 10 °C/min from 30–1000 °C under a flow of argon gas.

3.4. Catalytic Evaluation

The catalysts were evaluated using a fixed bed quartz microreactor (i.d. 14 mm, length 600 mm) at atmospheric pressure and 600 °C. For the experiments, 1 g of the selected catalyst, diluted with silicon carbide beads, was loaded into the reactor. This was followed by flowing propane and nitrogen into the reactor (molar ratio of 1:1). The total flow rate equaled 30 mL/min. The catalyst particle size was in the range 200–250 µm and the WHSV equaled 3.7 g/h (residence time 3 min). The obtained products were then analyzed using a Bruker 450-GC. Gas products were analyzed on a BR-Alumina Na2SO4 column. Propane conversion and product selectivity were calculated using the formulas shown below. The conversion % was calculated with the assumption that feed (out) is unconverted propane.
%   Propane   conversion = feed in   feed out feed in   ×   100
The product selectivity was calculated for each component x i
%   Product   selectivity = mass   component   x i x i   ×   100

4. Conclusions

Nickel catalysts supported on MgAl2O4 were successfully prepared using (NH4)2SO4 (S1), (NH4)2S (S2), and DMSO (S3). The catalysts were sulfided at 200 °C, 400 °C, and 550 °C. For S1 catalysts, Ni/MgAl2O4-S1-200 contained the highest percentage of unreacted Ni with sulfur, and peaks associated with nickel-sulfur phases were absent, according to XRD analysis.
For the Ni/MgAl2O4-S1-400 and Ni/MgAl2O4-S1-550 catalysts, decomposition of the sulfiding agent increased with temperature above the decomposition temperature of 250 °C, leading better sulfur dispersion and interaction with the catalyst. XRD analysis displayed peaks for MgSO4, indicating a stronger interaction between the support and SO42- ion of the sulfiding agent when the temperature was increased.
Ni/MgAl2O4-S2-200, Ni/MgAl2O4-S2-400, and Ni/MgAl2O4-S2-550 catalysts contained NiS and Ni3S2, while Ni/MgAl2O4-S3-200, Ni/MgAl2O4-S3-400, and Ni/MgAl2O4-S3-550 catalysts contained only the Ni3S2 phase, indicating that the sulfiding agent and sulfiding conditions such as temperature may influence the NiSx phase formed. Although Ni/MgAl2O4-Sx-y catalysts were reduced prior to sulfidation, S3 catalysts contained the presence of NiO, which decreased with an increase in sulfidation temperature. The presence of NiO could be an indication that the catalyst was not completely reduced.
This could indicate that the sulfiding agent decomposed to a higher extent at the elevated temperatures of 400 °C and 550 °C compared to the sulfidation temperature of 200 °C. Furthermore, it was noted that the increase in sulfidation temperature resulted in an increase in crystallite size of the nickel-sulfided particles, which could be due to sintering that commonly occurs at higher temperatures.
SEM analysis showed that the morphology of the catalysts was distinct with respect to sulfiding agent and sulfidation temperature. Electron mapping images confirmed the strong interaction between MgAl2O4 and S, with visual evidence of MgSO4 as seen in Ni/MgAl2O4-S1-400 and Ni/MgAl2O4-S1-550 catalysts. The S2 catalysts displayed the presence of a “coating” that became more apparent with an increase in sulfidation temperature, resulting in a low dispersion. This coating was attributed to Ni3S2, highlighting the strong interaction between nickel and sulfur with an increase in temperature, as observed from TGA.
The S3 catalysts (Ni/MgAl2O4-S3-200, Ni/MgAl2O4-S3-400, and Ni/MgAl2O4-S3-550) had the lowest sulfur content and best dispersion compared to S1 and S2 catalysts, indicating that the type of sulfiding agent and sulfiding conditions used may influence the dispersion of NiSx species. However, Ni/MgAl2O4-S3-550 showed the strongest interaction of nickel and sulfur, visible by clusters of Ni3S2 on the catalyst surface. TEM analysis indicate that the particle size was affected by increased sulfidation temperature on S1 catalysts S3 catalysts displayed improved dispersion, with clusters of smaller particles, highlighting the geometric effect of sulfur.
The sulfided catalysts were then tested for the dehydrogenation of propane. The Ni/MgAl2O4-S1-400 and Ni/MgAl2O4-S1-550 catalysts performed better than Ni/MgAl2O4-S1-200, as the former catalysts contained less unreacted Ni and had a higher impact by sulfur as the decomposition was more efficient at higher temperatures. The catalysts seemed to undergo an induction period, in particular Ni/MgAl2O4-S1-200, as the (NH4)2SO4 crystals were reduced to Ni3S2 during the reaction. The conversion % for S2 catalysts were 50% with a selectivity toward propylene equal to 78%. This could be due to Ni3S2 present on the catalyst being the active phase, promoting better interaction between nickel and sulfur as sulfur content increased with higher sulfiding temperatures.
The high propene selectivities were attributed to increased desorption of olefins due to sulfur interaction with the Ni metal. Ni/MgAl2O4-S3-550 showed the highest conversion % of propane and selectivity % toward propylene at 120 min of the reaction. This catalyst displayed the best overall performance compared to all the catalysts, which could be attributed to the high dispersion of metal sulfide species. This led to strong Ni-S interactions and ultimately higher activity, selectivity, and enhanced stability.
By sulfiding catalysts at 200 °C, 400 °C, and 550 °C, the findings show that the sulfiding agent (containing the different anions) and the sulfidation conditions (temperature) have an influence on the catalyst structural and textural properties in terms of decomposition and sulfur content, which affect morphology, particle size, dispersion, and Ni-S interaction. The catalytic performance was shown to be most dependent on Ni-S interaction and particle dispersion, of which the best results were obtained with DMSO (S3). DMSO used as a sulfiding agent improved conversion, increased selectivity to propene (80%), and enhanced stability, especially when a high sulfiding temperature (550 °C) was utilized.

Supplementary Materials

The following supporting information can be downloaded at: https://www.mdpi.com/article/10.3390/catal12050483/s1, Figure S1: TEM image of unmodified Ni/MgAl2O4; Figure S2: XRD analysis of spent catalysts, Table S1: Crystallite size of spent catalysts

Author Contributions

Conceptualization: T.T. and E.M. Methodology: T.T. Formal analysis: T.T., E.M., A.B., M.F., S.B. Writing—original draft preparation: T.T. Writing—review and editing: T.T., E.M. Supervision: E.M., M.M.M. All authors have read and agreed to the published version of the manuscript.

Funding

This work was financially supported by the Petroleum, Oil and Gas Corporation of South Africa (PetroSA) and National Research Foundation of South Africa. The APC was funded by PetroSA.

Acknowledgments

Ithemba Labs for XRD analysis and STEM and SEM analysis by Central analytical facilities at the University of Stellenbosch. The Electron Microscope Unit at the University of the Western Cape for the TEM images.

Conflicts of Interest

The authors declare no conflict of interest. The funders had no role in the design of the study; in the collection, analyses, or interpretation of data; in the writing of the manuscript, or in the decision to publish the results.

References

  1. Bhasin, M.M.; McCain, J.H.; Vora, B.V.; Imai, T.; Pujadó, P.R. Dehydrogenation and Oxydehydrogenation of Paraffins to Olefins. Appl. Catal. A Gen. 2001, 221, 397–419. [Google Scholar] [CrossRef]
  2. Nawaz, Z. Light Alkane Dehydrogenation to Light Olefin Technologies: A Comprehensive Review. Rev. Chem. Eng. 2015, 31, 413–436. [Google Scholar] [CrossRef]
  3. Zhu, Q.; Wang, G.; Liu, J.; Su, L.; Li, C. Effect of Sn on Isobutane Dehydrogenation Performance of Ni/SiO2Catalyst: Adsorption Modes and Adsorption Energies of Isobutane and Isobutene. ACS Appl. Mater. Interfaces 2017, 9, 30711–30721. [Google Scholar] [CrossRef] [PubMed]
  4. Wang, G.; Meng, Z.; Liu, J.; Li, C.; Shan, H. Promoting Effect of Sulfur Addition on the Catalytic Performance of Ni/MgAl2O4 Catalysts for Isobutane Dehydrogenation. ACS Catal. 2013, 3, 2992–3001. [Google Scholar] [CrossRef]
  5. Airaksinen, S.M.K.; Harlin, M.E.; Krause, A.O.I. Kinetic Modeling of Dehydrogenation of Isobutane on Chromia/Alumina Catalyst. Ind. Eng. Chem. Res. 2002, 41, 5619–5626. [Google Scholar] [CrossRef]
  6. Gaspar, A.B.; Brito, J.L.F.; Dieguez, L.C. Characterization of Chromium Species in Catalysts for Dehydrogenation and Polymerization. J. Mol. Catal. A Chem. 2003, 203, 251–266. [Google Scholar] [CrossRef]
  7. Farjoo, A.; Khorasheh, F.; Niknaddaf, S.; Soltani, M. Kinetic Modeling of Side Reactions in Propane Dehydrogenation over Pt-Sn/γ-Al2O3 Catalyst. Sci. Iran. 2011, 18, 458–464. [Google Scholar] [CrossRef]
  8. Wang, G.; Li, C.; Shan, H. Highly Efficient Metal Sulfide Catalysts for Selective Dehydrogenation of Isobutane to Isobutene. ACS Catal. 2014, 4, 1139–1143. [Google Scholar] [CrossRef]
  9. Cheng, E.; McCullough, L.; Noh, H.; Farha, O.; Hupp, J.; Notestein, J. Isobutane Dehydrogenation over Bulk and Supported Molybdenum Sulfide Catalysts. Ind. Eng. Chem. Res. 2020, 59, 1113–1122. [Google Scholar] [CrossRef]
  10. Højlund Nielsen, P.E.; Nielsen, R.M.; Lemus-Yegres, L.J. Sulfide-Based Alkane Dehydrogenation Catalysts. WO Patent 2017162427A1, 21 February 2019. [Google Scholar]
  11. Resasco, D.E.; Marcus, B.K.; Huang, C.S.; Durante, V.A. Compositions Comprising Sulfided Nickel and Aluminauseful as Dehydrogenation Catalysts. U.S. Patent US005468710A, 21 November 1995. [Google Scholar]
  12. Chianelli, R.R.; Daage, M.; Ledoux, M.J. Fundamental Studies of Transition-Metal Sulfide Catalytic Materials. Adv. Catal. 1994, 40, 177–232. [Google Scholar] [CrossRef]
  13. Watanabe, R.; Hirata, N.; Miura, K.; Yoda, Y.; Fushimi, Y.; Fukuhara, C. Formation of Active Species for Propane Dehydrogenation with Hydrogen Sulfide Co-Feeding over Transition Metal Catalyst. Appl. Catal. A Gen. 2019, 587, 117238. [Google Scholar] [CrossRef]
  14. Ziolek, M.; Kujawa, J.; Saur, O.; Lavalley, J.C. Influence of Hydrogen Sulfide Adsorption on the Catalytic Properties of Metal Oxides. J. Mol. Catal. A. Chem. 1995, 97, 49–55. [Google Scholar] [CrossRef]
  15. Wang, G.; Zhu, X.; Li, C. Recent Progress in Commercial and Novel Catalysts for Catalytic Dehydrogenation of Light Alkanes. Chem. Rec. 2019, 19, 1–14. [Google Scholar] [CrossRef] [PubMed]
  16. Gao, Z.; Yang, W.; Ding, X.; Lv, G.; Yan, W. Support Effects in Single Atom Iron Catalysts on Adsorption Characteristics of Toxic Gases (NO2, NH3, SO3 and H2S). Appl. Surf. Sci. 2018, 436, 585–595. [Google Scholar] [CrossRef]
  17. Liu, B.; Liu, L.; Chai, Y.; Zhao, J.; Li, Y.; Liu, Y.; Liu, C. Highly Active CoMoS/Al2O3 Catalysts Ex Situ Presulfided with Ammonium Sulfide for Selective Hydrodesulfurization of Fluid Catalytic Cracking Gasoline. Ind. Eng. Chem. Res. 2018, 57, 2041–2049. [Google Scholar] [CrossRef]
  18. Resasco, D.E.; Marcus, B.K.; Huang, C.S.; Durante, V.A. Isobutane Dehydrogenation over Sulfided Nickel Catalysts. J. Catal. 1994, 146, 40–55. [Google Scholar] [CrossRef]
  19. Wang, G.; Sun, N.; Gao, C.; Zhu, X.; Sun, Y.; Li, C.; Shan, H. Promoting Mechanism of Sulfur Addition in Catalytic Dehydrogenation of Isobutane over Mo/MgAl2O4 Catalysts. Appl. Catal. A Gen. 2014, 478, 71–80. [Google Scholar] [CrossRef]
  20. Alhassan, F.H.; Rashid, U.; Al-Qubaisi, M.S.; Rasedee, A.; Taufiq-Yap, Y.H. The Effect of Sulfate Contents on the Surface Properties of Iron-Manganese Doped Sulfated Zirconia Catalysts. Powder Technol. 2014, 253, 809–813. [Google Scholar] [CrossRef]
  21. Wang, S.; Murata, K.; Hayakawa, T.; Hamakawa, S.; Suzuki, K. Oxidative Dehydrogenation of Ethane by Carbon Dioxide over Sulfate-Modified Cr2O3/SiO2 Catalysts. Catal. Lett. 1999, 63, 59–64. [Google Scholar] [CrossRef]
  22. Sun, Y.N.; Gao, Y.N.; Wu, Y.; Shan, H.; Wang, G.; Li, C. Effect of Sulfate Addition on the Performance of Co/Al2O3 Catalysts in Catalytic Dehydrogenation of Propane. Catal. Commun. 2015, 60, 42–45. [Google Scholar] [CrossRef]
  23. Matira, E.M.; Chen, T.C.; Lu, M.C.; Dalida, M.L.P. Degradation of Dimethyl Sulfoxide through Fluidized-Bed Fenton Process. J. Hazard. Mater. 2015, 300, 218–226. [Google Scholar] [CrossRef] [PubMed]
  24. Chemical, G. Reaction Solvent Dimethyl Sulfoxide (DMSO). Available online: http://chemistry-chemists.com/N3_2011/U/DMSO-technical_bulletin.pdf (accessed on 4 December 2021).
  25. Hoffer, B.W.; Moulijn, J.A.; Devred, F.; Kooyman, P.J.; van Langeveld, A.D.; Bonné, R.L.C.; Griffiths, C.; Lok, C.M. Characterization of Ex Situ Presulfided Ni/Al2O3 Catalysts for Pyrolysis Gasoline Hydrogenation. J. Catal. 2002, 209, 245–255. [Google Scholar] [CrossRef]
  26. Hoffer, B.W.; Bonné, R.L.C.; Van Langeveld, A.D.; Griffiths, C.; Lok, C.M.; Moulijn, J.A. Enhancing the Start-up of Pyrolysis Gasoline Hydrogenation Reactors by Applying Tailored Ex Situ Presulfided Ni/Al2O3 Catalysts. Fuel 2004, 83, 1–8. [Google Scholar] [CrossRef]
  27. Yu, Z.; Hu, X.; Jia, P.; Zhang, Z.; Dong, D.; Hu, G.; Hu, S.; Wang, Y.; Xiang, J. Steam Reforming of Acetic Acid over Nickel-Based Catalysts: The Intrinsic Effects of Nickel Precursors on Behaviors of Nickel Catalysts. Appl. Catal. B Environ. 2018, 237, 538–553. [Google Scholar] [CrossRef]
  28. Jiang, M.; Wang, B.; Lv, J.; Wang, H.; Li, Z.; Ma, X.; Qin, S.; Sun, Q. Effect of Sulfidation Temperature on the Catalytic Activity of MoO3/CeO2-Al2O3 toward Sulfur-Resistant Methanation. Appl. Catal. A Gen. 2013, 466, 224–232. [Google Scholar] [CrossRef]
  29. Farag, H. Effect of Sulfidation Temperatures on the Bulk Structures of Various Molybdenum Precursors. Energy Fuels 2002, 16, 944–950. [Google Scholar] [CrossRef]
  30. Okamoto, Y.; Kato, A.; Usman; Rinaldi, N.; Fujikawa, T.; Koshika, H.; Hiromitsu, I.; Kubota, T. Effect of Sulfidation Temperature on the Intrinsic Activity of Co-MoS2 and Co-WS2 Hydrodesulfurization Catalysts. J. Catal. 2009, 265, 216–228. [Google Scholar] [CrossRef]
  31. Nassar, M.Y.; Ahmed, I.S.; Samir, I. A Novel Synthetic Route for Magnesium Aluminate (MgAl2O4) Nanoparticles Using Sol-Gel Auto Combustion Method and Their Photocatalytic Properties. Spectrochim. Acta-Part A Mol. Biomol. Spectrosc. 2014, 131, 329–334. [Google Scholar] [CrossRef] [Green Version]
  32. Yu, S.H.; Yoshimura, M. Fabrication of Powders and Thin Films of Various Nickel Sulfides by Soft Solution-Processing Routes. Adv. Funct. Mater. 2002, 12, 277–285. [Google Scholar] [CrossRef]
  33. Li, W.; Wang, S.; Xin, L.; Wu, M.; Lou, X. Single-Crystal β-NiS Nanorod Arrays with a Hollow-Structured Ni3S2 Framework for Supercapacitor Applications. J. Mater. Chem. A 2016, 4, 7700–7709. [Google Scholar] [CrossRef]
  34. Wang, W.; Wang, S.Y.; Gao, Y.L.; Wang, K.Y.; Liu, M. Nickel Sulfide Nanotubes Formed by a Directional Infiltration Self-Assembly Route in AAO Templates. Mater. Sci. Eng. B Solid-State Mater. Adv. Technol. 2006, 133, 167–171. [Google Scholar] [CrossRef]
  35. Jin, C.; Zhou, L.; Fu, L.; Zhu, J.; Li, D.; Yang, W. The Acceleration Intermediate Phase (NiS and Ni3S2) Evolution by Nanocrystallization in Li/NiS2 Thermal Batteries with High Specific Capacity. J. Power Sources 2017, 352, 83–89. [Google Scholar] [CrossRef]
  36. Qu, Y.; Yang, H.; Yang, N.; Fan, Y.; Zhu, H.; Zou, G. The Effect of Reaction Temperature on the Particle Size, Structure and Magnetic Properties of Coprecipitated CoFe2O4 Nanoparticles. Mater. Lett. 2006, 60, 3548–3552. [Google Scholar] [CrossRef]
  37. Mustard, D.G.; Bartholomew, C.H. Determination of Metal Crystallite Size and Morphology in Supported Nickel Catalysts. J. Catal. 1981, 67, 186–206. [Google Scholar] [CrossRef]
  38. Sehested, J.; Carlsson, A.; Janssens, T.V.W.; Hansen, P.L.; Datye, A.K. Sintering of Nickel Steam-Reforming Catalysts on MgAl2O4 Spinel Supports. J. Catal. 2001, 209, 200–209. [Google Scholar] [CrossRef]
  39. Jeong, Y.U.; Manthiram, A. Synthesis of Nickel Sulfides in Aqueous Solutions Using Sodium Dithionite. Inorg. Chem. 2001, 40, 73–77. [Google Scholar] [CrossRef]
  40. Li, G.; Xiong, X.; Wang, L.; Che, L.; Wei, L.; Cheng, H.; Zou, X.; Xu, Q.; Zhou, Z.; Li, S.; et al. Sulfation Roasting of Nickel Oxide-Sulfide Mixed Ore Concentrate in the Presence of Ammonium Sulfate: Experimental and DFT Studies. Metals 2019, 9, 1256. [Google Scholar] [CrossRef] [Green Version]
  41. Schrauzer, G.N.; Mayweg, V. Reaction of Diphenylacetylene with Nickel Sulfides. J. Am. Chem. Soc. 1962, 84, 1057–1058. [Google Scholar] [CrossRef]
  42. Gerle, A.; Piotrowski, J.; Podwórny, J. Thermochemistry OfMgCr2O4, MgAl2O4, MgFe2O4 Spinels in SO2−O2−SO3 Atmosphere. Process. Appl. Ceram. 2016, 10, 25–31. [Google Scholar] [CrossRef]
  43. Wang, J.A.; Li, C.L. SO2 Adsorption and Thermal Stability and Reducibility of Sulfates Formed on the Magnesium-Aluminate Spinel Sulfur-Transfer Catalyst. Appl. Surf. Sci. 2000, 161, 406–416. [Google Scholar] [CrossRef]
  44. Veerakumar, P.; Velayudham, M.; Lu, K.L.; Rajagopal, S. Highly Dispersed Silica-Supported Nanocopper as an Efficient Heterogeneous Catalyst: Application in the Synthesis of 1,2,3-Triazoles and Thioethers. Catal. Sci. Technol. 2011, 1, 1512–1525. [Google Scholar] [CrossRef]
  45. Liu, J.; Ruffini, N.; Pollet, P.; Llopis-Mestre, V.; Dilek, C.; Eckert, C.A.; Liotta, C.L.; Roberts, C.B. More Benign Synthesis of Palladium Nanoparticles in Dimethyl Sulfoxide and Their Extraction into an Organic Phase. Ind. Eng. Chem. Res. 2010, 49, 8174–8179. [Google Scholar] [CrossRef]
  46. Wang, G.; Gao, C.; Zhu, X.; Sun, Y.; Li, C.; Shan, H. Isobutane Dehydrogenation over Metal (Fe, Co, and Ni) Oxide and Sulfide Catalysts: Reactivity and Reaction Mechanism. ChemCatChem 2014, 6, 2305–2314. [Google Scholar] [CrossRef]
  47. Li, P.P.; Lang, W.Z.; Xia, K.; Luan, L.; Yan, X.; Guo, Y.J. The Promotion Effects of Ni on the Properties of Cr/Al Catalysts for Propane Dehydrogenation Reaction. Appl. Catal. A Gen. 2016, 522, 172–179. [Google Scholar] [CrossRef]
  48. He, S.; Sun, C.; Du, H.; Dai, X.; Wang, B. Effect of Carbon Addition on the Pt-Sn/γ-Al2O3 Catalyst for Long Chain Paraffin Dehydrogenation to Olefin. Chem. Eng. J. 2008, 141, 284–289. [Google Scholar] [CrossRef]
  49. Wijayanti, K.; Andonova, S.; Kumar, A.; Li, J.; Kamasamudram, K.; Currier, N.W.; Yezerets, A.; Olsson, L. Impact of Sulfur Oxide on NH3-SCR over Cu-SAPO-34. Appl. Catal. B Environ. 2015, 166–167, 568–579. [Google Scholar] [CrossRef]
  50. Watanabe, R.; Hirata, N.; Yoda, Y.; Fushimi, Y.; Fukuhara, C. Effect of Support Species on Performance of Transition Metal-Based Catalysts for Propane Dehydrogenation with Co-Feeding of H 2 S. J. Jpn. Pet. Inst. 2020, 63, 228–237. [Google Scholar] [CrossRef]
  51. Taghavinezhad, P.; Haghighi, M.; Alizadeh, R. CO2/O2-Oxidative Dehydrogenation of Ethane to Ethylene over Highly Dispersed Vanadium Oxide on MgO-Promoted Sulfated-Zirconia Nanocatalyst: Effect of Sulfation on Catalytic Properties and Performance. Korean J. Chem. Eng. 2017, 34, 1346–1357. [Google Scholar] [CrossRef]
  52. Tahier, T.; Mohiuddin, E.; Key, D.; Mdleleni, M.M. In-Depth Investigation of the Effect of MgAl2O4 and SiO2 Support on Sulfur Promoted Nickel Catalysts for the Dehydrogenation of Propane. Catal. Today 2021, 377, 176–186. [Google Scholar] [CrossRef]
Figure 1. (a) XRD pattern of Ni/MgAl2O4. (b) XRD pattern of Ni/MgAl2O4-S1 sulfided at 200 °C, 400 °C, and 550 °C. (c) XRD pattern of Ni/MgAl2O4-S2 sulfided at 200 °C, 400 °C, and 550 °C. (d) XRD pattern of Ni/MgAl2O4-S3 sulfided at 200 °C, 400 °C, and 550 °C.
Figure 1. (a) XRD pattern of Ni/MgAl2O4. (b) XRD pattern of Ni/MgAl2O4-S1 sulfided at 200 °C, 400 °C, and 550 °C. (c) XRD pattern of Ni/MgAl2O4-S2 sulfided at 200 °C, 400 °C, and 550 °C. (d) XRD pattern of Ni/MgAl2O4-S3 sulfided at 200 °C, 400 °C, and 550 °C.
Catalysts 12 00483 g001
Figure 2. TGA profiles of catalysts sulfided with (a) (NH4)2SO4. (b) (NH4)2S, and (c) DMSO at 200 °C, 400 °C, and 550 °C.
Figure 2. TGA profiles of catalysts sulfided with (a) (NH4)2SO4. (b) (NH4)2S, and (c) DMSO at 200 °C, 400 °C, and 550 °C.
Catalysts 12 00483 g002
Figure 3. SEM images of Ni/MgAl2O4 sulfided with (a) (NH4)2SO4 (b) (NH4)2S and (c) DMSO at 200 °C, 400 °C, and 550 °C.
Figure 3. SEM images of Ni/MgAl2O4 sulfided with (a) (NH4)2SO4 (b) (NH4)2S and (c) DMSO at 200 °C, 400 °C, and 550 °C.
Catalysts 12 00483 g003aCatalysts 12 00483 g003b
Figure 4. X-ray mapping of (a) Ni/MgAl2O4-S1-200, (b) Ni/MgAl2O4-S1-400 and (c) Ni/MgAl2O4-S1-550. Evidence of sulfur interacting with MgAl2O4 indicated by white arrows.
Figure 4. X-ray mapping of (a) Ni/MgAl2O4-S1-200, (b) Ni/MgAl2O4-S1-400 and (c) Ni/MgAl2O4-S1-550. Evidence of sulfur interacting with MgAl2O4 indicated by white arrows.
Catalysts 12 00483 g004aCatalysts 12 00483 g004b
Figure 5. X-ray mapping of (a) Ni/MgAl2O4-S2-200, (b) Ni/MgAl2O4-S2-400 and (c) Ni/MgAl2O4-S2-550.
Figure 5. X-ray mapping of (a) Ni/MgAl2O4-S2-200, (b) Ni/MgAl2O4-S2-400 and (c) Ni/MgAl2O4-S2-550.
Catalysts 12 00483 g005aCatalysts 12 00483 g005b
Figure 6. X-ray mapping of (a) Ni/MgAl2O4-S3-200, (b) Ni/MgAl2O4-S3-400 and (c) Ni/MgAl2O4-S3-550. Nickel-sulfided species indicated by white arrows.
Figure 6. X-ray mapping of (a) Ni/MgAl2O4-S3-200, (b) Ni/MgAl2O4-S3-400 and (c) Ni/MgAl2O4-S3-550. Nickel-sulfided species indicated by white arrows.
Catalysts 12 00483 g006aCatalysts 12 00483 g006b
Figure 7. TEM images of Ni/MgAl2O4 sulfided with (NH4)2SO4 (S1) at (a) 200 °C, (b) 400 °C, and (c) 550 °C. Nickel-sulfided species indicated by white arrows.
Figure 7. TEM images of Ni/MgAl2O4 sulfided with (NH4)2SO4 (S1) at (a) 200 °C, (b) 400 °C, and (c) 550 °C. Nickel-sulfided species indicated by white arrows.
Catalysts 12 00483 g007
Figure 8. Particle size distribution of Ni/MgAl2O4 sulfided with (NH4)2SO4 (S1) at (a) 200 °C, (b) 400 °C, and (c) 550 °C.
Figure 8. Particle size distribution of Ni/MgAl2O4 sulfided with (NH4)2SO4 (S1) at (a) 200 °C, (b) 400 °C, and (c) 550 °C.
Catalysts 12 00483 g008
Figure 9. TEM images of Ni/MgAl2O4 sulfided with (NH4)2S (S2) at (a) 200 °C, (b) 400 °C, and (c) 550 °C. Nickel-sulfided species indicated by white arrows.
Figure 9. TEM images of Ni/MgAl2O4 sulfided with (NH4)2S (S2) at (a) 200 °C, (b) 400 °C, and (c) 550 °C. Nickel-sulfided species indicated by white arrows.
Catalysts 12 00483 g009
Figure 10. Particle size distribution of Ni/MgAl2O4 sulfided with (NH4)2S (S2) at (a) 200 °C, (b) 400 °C, and (c) 550 °C.
Figure 10. Particle size distribution of Ni/MgAl2O4 sulfided with (NH4)2S (S2) at (a) 200 °C, (b) 400 °C, and (c) 550 °C.
Catalysts 12 00483 g010
Figure 11. TEM images of Ni/MgAl2O4 sulfided with DMSO (S3) at (a) 200 °C, (b) 400 °C, and (c) 550 °C. Nickel-sulfided species indicated by white arrows.
Figure 11. TEM images of Ni/MgAl2O4 sulfided with DMSO (S3) at (a) 200 °C, (b) 400 °C, and (c) 550 °C. Nickel-sulfided species indicated by white arrows.
Catalysts 12 00483 g011
Figure 12. Particle size distribution of Ni/MgAl2O4 sulfided with DMSO (S3) at (a) 200 °C, (b) 400 °C, and (c) 550 °C.
Figure 12. Particle size distribution of Ni/MgAl2O4 sulfided with DMSO (S3) at (a) 200 °C, (b) 400 °C, and (c) 550 °C.
Catalysts 12 00483 g012
Figure 13. (a) N2 adsorption–desorption isotherms of Ni/MgAl2O4 sulfided with (NH4)2SO4 (S1) at various temperatures. (b) N2 adsorption–desorption isotherms of Ni/MgAl2O4 sulfided with (NH4)2S (S2) at various temperatures. (c) N2 adsorption–desorption isotherms of Ni/MgAl2O4 sulfided with DMSO (S3) at various temperatures.
Figure 13. (a) N2 adsorption–desorption isotherms of Ni/MgAl2O4 sulfided with (NH4)2SO4 (S1) at various temperatures. (b) N2 adsorption–desorption isotherms of Ni/MgAl2O4 sulfided with (NH4)2S (S2) at various temperatures. (c) N2 adsorption–desorption isotherms of Ni/MgAl2O4 sulfided with DMSO (S3) at various temperatures.
Catalysts 12 00483 g013aCatalysts 12 00483 g013b
Figure 14. Conversion % of Ni/MgAl2O4 sulfided with (NH4)2SO4 at 200 °C (black square), 400 °C (red circle) and 550 °C (blue triangle).
Figure 14. Conversion % of Ni/MgAl2O4 sulfided with (NH4)2SO4 at 200 °C (black square), 400 °C (red circle) and 550 °C (blue triangle).
Catalysts 12 00483 g014
Figure 15. Selectivity % of Ni/MgAl2O4 sulfided with (NH4)2SO4 at (a) 3 min, (b) 30 min, (c) 60 min, and (d) 120 min.
Figure 15. Selectivity % of Ni/MgAl2O4 sulfided with (NH4)2SO4 at (a) 3 min, (b) 30 min, (c) 60 min, and (d) 120 min.
Catalysts 12 00483 g015
Figure 16. Conversion % of Ni/MgAl2O4 sulfided with (NH4)2S at 200 °C (black square), 400 °C (red circle) and 550 °C (blue triangle).
Figure 16. Conversion % of Ni/MgAl2O4 sulfided with (NH4)2S at 200 °C (black square), 400 °C (red circle) and 550 °C (blue triangle).
Catalysts 12 00483 g016
Figure 17. Selectivity % of Ni/MgAl2O4 sulfided with (NH4)2S at (a) 3 min, (b) 30 min, (c) 60 min, and (d) 120 min.
Figure 17. Selectivity % of Ni/MgAl2O4 sulfided with (NH4)2S at (a) 3 min, (b) 30 min, (c) 60 min, and (d) 120 min.
Catalysts 12 00483 g017
Figure 18. Conversion % of Ni/MgAl2O4 sulfided with DMSO at 200 °C (black square), 400 °C (red circle) and 550 °C (blue triangle).
Figure 18. Conversion % of Ni/MgAl2O4 sulfided with DMSO at 200 °C (black square), 400 °C (red circle) and 550 °C (blue triangle).
Catalysts 12 00483 g018
Figure 19. Selectivity % of Ni/MgAl2O4 sulfided with DMSO at (a) 3 min, (b) 30 min, (c) 60 min, and (d) 120 min.
Figure 19. Selectivity % of Ni/MgAl2O4 sulfided with DMSO at (a) 3 min, (b) 30 min, (c) 60 min, and (d) 120 min.
Catalysts 12 00483 g019
Figure 20. EDS data of (a) S1 catalysts, (b) S2 catalysts, and (c) S3 catalysts at sulfidation temperatures of 200 °C, 400 °C, and 550 °C.
Figure 20. EDS data of (a) S1 catalysts, (b) S2 catalysts, and (c) S3 catalysts at sulfidation temperatures of 200 °C, 400 °C, and 550 °C.
Catalysts 12 00483 g020
Table 1. EDS data showing wt% S on catalysts sulfided at 200 °C, 400 °C, and 550 °C.
Table 1. EDS data showing wt% S on catalysts sulfided at 200 °C, 400 °C, and 550 °C.
Ni/MgAl2O4
Sulfiding Conditions:
200 °C400 °C550 °C
(NH4)2SO4 (S1)33.72412.87
(NH4)2S (S2)9.4213.8118.17
DMSO (S3)2.553.185.91
Table 2. Surface area, pore volume, pore size, and crystallite size of supported catalysts.
Table 2. Surface area, pore volume, pore size, and crystallite size of supported catalysts.
SampleSBET (m2/g)Pore Volume (cm3/g)Pore Size (nm)
MgAl2O4850.1907.9
Ni/MgAl2O4580.1569.2
Ni/MgAl2O4-S1-20040.02222.4
Ni/MgAl2O4-S1-4001190.3408.3
Ni/MgAl2O4-S1-550900.40016
Ni/MgAl2O4-S2-200300.11914
Ni/MgAl2O4-S2-400630.18811
Ni/MgAl2O4-S2-550560.19412
Ni/MgAl2O4-S3-200490.20014
Ni/MgAl2O4-S3-400500.20015
Ni/MgAl2O4-S3-550510.20015
Publisher’s Note: MDPI stays neutral with regard to jurisdictional claims in published maps and institutional affiliations.

Share and Cite

MDPI and ACS Style

Tahier, T.; Mohiuddin, E.; Botes, A.; Frazenburg, M.; Botha, S.; Mdleleni, M.M. Synthesis, Characterization, and Catalytic Activity of Nickel Sulfided Catalysts for the Dehydrogenation of Propane: Effect of Sulfiding Agent and Sulfidation Temperature. Catalysts 2022, 12, 483. https://doi.org/10.3390/catal12050483

AMA Style

Tahier T, Mohiuddin E, Botes A, Frazenburg M, Botha S, Mdleleni MM. Synthesis, Characterization, and Catalytic Activity of Nickel Sulfided Catalysts for the Dehydrogenation of Propane: Effect of Sulfiding Agent and Sulfidation Temperature. Catalysts. 2022; 12(5):483. https://doi.org/10.3390/catal12050483

Chicago/Turabian Style

Tahier, Tayyibah, Ebrahim Mohiuddin, Alicia Botes, Madelaine Frazenburg, Subelia Botha, and Masikana M. Mdleleni. 2022. "Synthesis, Characterization, and Catalytic Activity of Nickel Sulfided Catalysts for the Dehydrogenation of Propane: Effect of Sulfiding Agent and Sulfidation Temperature" Catalysts 12, no. 5: 483. https://doi.org/10.3390/catal12050483

APA Style

Tahier, T., Mohiuddin, E., Botes, A., Frazenburg, M., Botha, S., & Mdleleni, M. M. (2022). Synthesis, Characterization, and Catalytic Activity of Nickel Sulfided Catalysts for the Dehydrogenation of Propane: Effect of Sulfiding Agent and Sulfidation Temperature. Catalysts, 12(5), 483. https://doi.org/10.3390/catal12050483

Note that from the first issue of 2016, this journal uses article numbers instead of page numbers. See further details here.

Article Metrics

Back to TopTop