Next Article in Journal
Iron Carbon Catalyst Initiated the Generation of Active Free Radicals without Oxidants for Decontamination of Methylene Blue from Waters
Previous Article in Journal
Density Functional Theory Study on the Influence of Cation and Anion Elements Doping on the Surface of Ti3C2 on the Adsorption Performance of Formaldehyde
 
 
Font Type:
Arial Georgia Verdana
Font Size:
Aa Aa Aa
Line Spacing:
Column Width:
Background:
Article

Role of the Hydroxyl Groups Coordinated toTiO2 Surface on the Photocatalytic Decomposition of Ethylene at Different Ambient Conditions

1
Department of Catalytic and Sorbent Materials Engineering, Faculty of Chemical Technology and Engineering, West Pomeranian University of Technology in Szczecin, Piastów Ave. 42, 71-065 Szczecin, Poland
2
Applied Chemistry, Faculty of Engineering, Oita University, 700 Dannoharu, Oita-Shi 870-1192, Japan
*
Author to whom correspondence should be addressed.
Catalysts 2022, 12(4), 386; https://doi.org/10.3390/catal12040386
Submission received: 28 February 2022 / Revised: 25 March 2022 / Accepted: 28 March 2022 / Published: 30 March 2022
(This article belongs to the Topic Catalysis: Homogeneous and Heterogeneous)

Abstract

:
The titania pulp—a semi product received from the industrial production of titania white—was submitted for the thermal heating at 400–600 °C under Ar and H2 to obtain TiO2 with different structure and oxygen surface defects. Heating of titania in H2 atmosphere accelerated dehydration and crystallisation of TiO2 compared to heating in Ar. TiO2 prepared at 500 and 600 °C under H2 had some oxygen vacancies and Ti3+ centres (electron traps), whereas TiO2 obtained at 450 °C under H2 exhibited some hole traps centres. The presence of oxygen vacancies induced adsorption of atmospheric CO2. It was evidenced, that ethylene reacted with TiO2 after UV irradiation. Formic acid was identified on TiO2 surface as the reaction product of ethylene oxidation. Hydroxyl radicals were involved in complete mineralisation of ethylene. TiO2 prepared at 500 °C under H2 was poorly active because some active sites for coordination of ethylene molecules were occupied by CO2. The most active samples were TiO2 with high quantity of OH terminal groups. At 50 °C, the physically adsorbed water molecules on titania surface were desorbed, and then photocatalytic decomposition of ethylene was more efficient. TiO2 with high quantity of chemisorbed OH groups was very active for ethylene decomposition. The acidic surface of TiO2 enhances its hydroxylation. Therefore, it is stated that TiO2 having acidic active sites can be an excellent photocatalyst for ethylene decomposition under UV light.

Graphical Abstract

1. Introduction

Ethylene has a wide range of applications in the world, being used as an anesthetic, a welding gas, and a substrate for making polyethylene, ethylene oxide, or styrene. Ripening fruits such as bananas and apples emit ethylene. Ethylene accumulation during fruit storage can result in premature ripening, bitter taste, loss of chlorophyll, or increased susceptibility to disease [1,2]. Effective ethylene removal in such areas is, therefore, extremely important. These situations can be prevented by using materials or coatings that break down ethylene into simple compounds. One of the methods is use of coatings containing titanium dioxide, which in stages decomposes ethylene to carbon dioxide and water [3,4,5,6,7,8].
Photocatalytic decomposition of ethylene depends not only on the structure of the titania material but also the ambient conditions, such as humidity, temperature and concentration of oxygen [2,3,4,5,9]. It was reported that in the mechanism of ethylene decomposition, the photo-formed OH radicals as well as O2 and O3 anion radicals were the crucial species responsible for its complete photocatalytic oxidation into CO2 and H2O [4]. Hydroxyl radicals could be generated at the presence of water vapor or hydroxyl ions adsorbed on the titania surface; however, in the excess of humidity, the conversion of ethylene is decreased [2,4,9]. The most probable at high concentration of water molecules in the air, under UV irradiation, the titania surface is completely covered with water due to the superhydrophilic effect, and then uptake of oxygen on active titania sites is limited [4]. Adsorption of oxygen on TiO2 is necessary for generation of superoxide anionic radicals and suppression of charge carriers’ recombination. Some of the researchers observed a strong increase in the reaction rate between 30 and 65 °C, attributed to a significant decrease in the adsorption of water molecules which compete with ethylene adsorption [2]. Maximum photocatalytic ethylene oxidation rates were obtained between 100 and 200 °C, and this was related to the differences in the ethylene and water adsorption energies on the polar Ti-OH surface. Decrease in the photocatalytic activity was observed above 200 °C due to the loss of the photogenerated charge carriers, resulting from the nonradiative, multiphonon recombination [2]. During photocatalytic decomposition of ethylene water, molecules are formed and can contribute to adsorption on the titania surface [9]. It was proved that when the photocatalytic decomposition of ethylene was carried out at 32 °C, then the rate of ethylene conversion gradually decreased from the initial one during 3 h up to reaching the steady state. After 3 h, water molecules started to be present in the reaction chamber. The initial decline in ethylene conversion was caused by adsorption of water molecules on the titania surface [9]. Quite a different situation took place when the photocatalytic decomposition was carried out at 108 °C. Then all the water molecules originated from ethylene decomposition were not adsorbed on the titania surface, and no drop in the ethylene decomposition upon the time of UV irradiation was observed [9].
It was reported that the excessive oxygen is necessary for complete decomposition of ethylene [4]. It was suggested that initially ethylene is oxidized to CO and then to CO2 by the excessive oxygen [4]. The reaction mechanism can be expressed as follows:
O* + C2H4 → (C2H4O)* → CO → CO2
From the other hands, Yamazaki et al. [10] proposed the other mechanism, in which adsorbed ethylene reacts with OH radicals to form C2H4OH intermediate radicals that can subsequently react with adsorbed oxygen to get final mineralization into CO2, according to the following reactions:
C2H4 + σ → C2H4σ
H2O + σ → H2
O2 + σ′ → O2σ′
H2Oσ + h+VB → OHσ + H+σ
OHσ + C2H4σ ↔ C2H4OHσ
C2H4OHσ + O2σ′ → mineralization to CO2
where σ and σ′ indicate different types of active sites at the surface of TiO2.
Oxygen and water molecules occupy different active sites on the titania surface, and both of them are sources for generation of reactive radicals, which are utilised for the photocatalytic decomposition of ethylene.
The other mechanism of ethylene decomposition over TiO2 and UV irradiation was introduced by Hauchecorne et al. [11], who did FTIR measurements of titania surface in situ during photocatalytic decomposition of ethylene. They suggested that ethylene was going decomposition through the formation of two intermediates—formaldehyde and formic acid—for which formaldehyde was bound in two different ways (coordinatively and as bidentate). Finally, CO2 and H2O were found as end products, resulting in the complete mineralisation of the pollutant [11]. They summarised that hydroxyl radicals were largely used for total mineralisation of ethylene, as it was illustrated in the stoichiometric reaction below:
C2H4 + 12OH → 2CO2 + 8H2O
Hydroxyl radicals were formed upon reaction of terminated hydroxyl groups on titania surface with the photoinduced holes. During photocatalytic decomposition of ethylene, decreasing of surface hydroxyl groups on TiO2 was observed [11]. The other researchers pointed out the key role of the adsorbed water on TiO2 surface in the ethylene decomposition [3]. They observed that after complete drying of the titania, the ethylene degradation was significantly reduced.
It was largely reported that anatase type TiO2 with a large surface area, large band gap, and numerous OH groups was efficient for the oxidation of ethylene [3,4]. The other researchers indicated that high photocatalytic decomposition of ethylene could be achieved on TiO2 having high quantity of surface defects, which were formed upon calcination of TiO2 at low temperature, such as 450 °C in the excess of oxygen [12]. They proved formation of Ti3+ sites, which were responsible for the effective separation of free charges due to the trapping of the photoinduced electrons and increased adsorption of the oxygen molecules on titania surface [12]. The other researchers investigated the role of the coordination of titanium (Ti) atom on the surface [13]. TiO2 with exposed (001) face exhibits 50% of five-coordinated Ti (Ti5c) atoms, while that with exposed (101) surface exhibits 100% of Ti5c atoms. Thus, the titania structure with (001) facets was considered to be more reactive for the surface catalyzed reactions. However, performed research studies indicated poor photocatalytic activity of the prepared titania with (001) facets towards ethylene decomposition, contrary to acetaldehyde [13]. Ethylene demonstrated lower adsorption energy than acetaldehyde on the TiO2 (001) and indicated the weak interaction with titania surface [13]. Therefore, there is a challenge to design photocatalytic material for indoor air purification with excellence properties towards all the VOCs commonly present in the environment. In our previous paper [14], we have presented properties of the reduced TiO2 towards acetaldehyde decomposition under irradiation of the fluorescent lamp. In this paper, hydrogen reduced TiO2 was tested for ethylene decomposition under fluorescent lamp irradiation and the various UV lamps irradiations at the reactor chamber temperatures of 25 and 50 °C. Impact of the titania parameters such as hydroxylation of surface, presence of defects, anatase crystallites size and specific surface area on its photocatalytic activity towards ethylene decomposition will be presented and discussed.

2. Results

The physicochemical characteristics of the studied samples were introduced in Table 1. In Figure 1, XRD patterns are shown.
Sample denoted as TiO2_A150 was obtained during hydrothermal treatment of titania pulp in autoclave at 150 °C for 1 h; preparation details were published elsewhere [15]. The other samples were obtained through the thermal heating of TiO2_A150 under H2 or Ar atmospheres. Heating of TiO2 under hydrogen accelerated both crystallisation of anatase and transformation of anatase into rutile by comparison with heat treatment in Ar. High increase in anatase crystallites was observed after heating titania at 500 °C under H2 and at 600 °C in Ar. BET surface area of titania samples was greatly diminished when rapid growth of anatase crystallites took place.
Hydrogen treatment of TiO2 was performed in order to introduce some surface defects. In the previous published paper, we have presented some EPR spectra for titania samples heat-treated at 450–600 °C in Ar and at 400–500 °C under hydrogen [14]. Some spins related to the O radicals were observed in titania samples reduced at 450–500 °C in H2 and those treated at 450 and 600 °C in Ar. Sample heat treated at 500 °C in H2 showed some electron traps centres. However, the observed signal in EPR spectrum was very low intensity [14]; therefore, some new measurements were performed for the samples reduced in H2 at 500 and 600 °C using high sensitive apparatus. The EPR spectra obtained for these samples were shown in Figure 2.
The signal at g = 2.002 can be assigned to the Ti4+O2−Ti4+O radicals in anatase, and that at g = 1.988 to electron traps (Ti3+) in anatase and at g = 1.94 − Ti3+ in rutile [16]. These measurements showed clearly that some Ti3+ centres were formed in TiO2 heated at 500 °C in H2, and they are of higher intensity in TiO2 sample heated at 600 °C. Although TiO2 obtained at 600 °C in H2 contained only 8% of rutile, the signal of surface Ti3+ in rutile was of high intensity, most likely due to the higher reduction abilities of rutile than anatase [17] and higher stability of Ti3+ in rutile by comparison with an anatase [12].
The presence of the hydroxyl groups on the titania surface was analysed by FTIR Spectroscopy; in Figure 3, FTIR spectra recorded for the titania samples are presented.
The broad absorption band in the range of 3600–2500 cm−1 can be assigned to the ν(OH) of water molecules and hydroxyls interacting via hydrogen bond, while the signal at around 3700 cm−1 to free OH groups of H2O molecules pointing out from the water surface multilayer [18]. Intensity of this broad band decreases with an increase in temperature of heat treatment, due to the surface dehydration. The band with the maximum at around 1630 cm−1 is assigned to the water bending mode [18]. The intensity of the band at 1630 cm−1 seems to be comparable among the samples prepared in Ar; however, somewhat lower intensity can be noticed for sample heat treated at 500 °C. In case of hydrogenated titania samples, that one prepared at 450 °C seems to have the highest intensity band at 1630 cm−1, but those prepared at 500 and 600 °C exhibited additional a small intensity band at 1552 cm−1, which can be assigned to some -COO groups assigned to CO2 adsorbed on the defect sites [14].
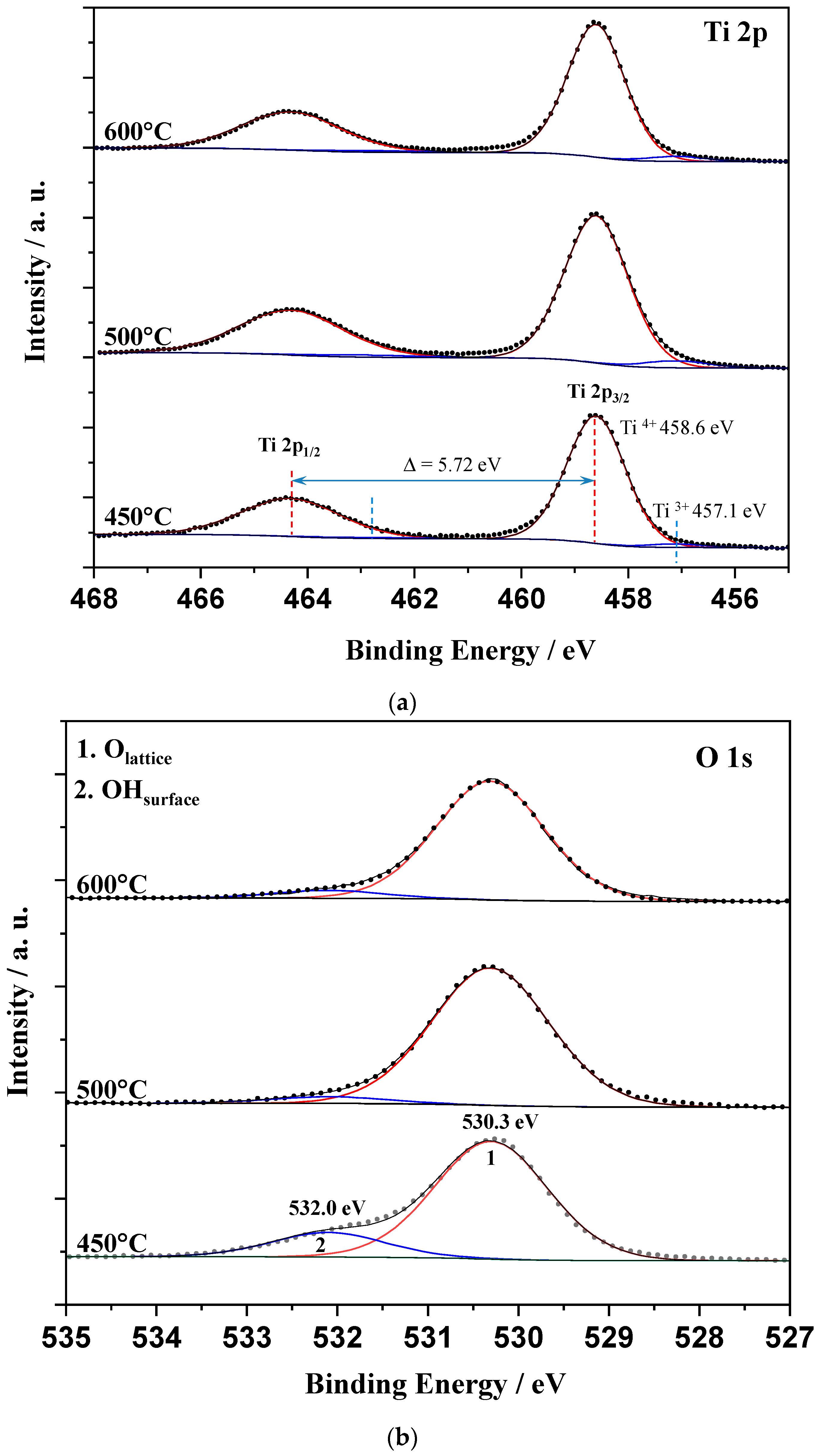
FTIR analyses did not allow to quantify the amount of hydroxyl groups bounded with titania surface through mono and multilayer. XPS measurements were performed to analyse both the presence of the titania surface defects and amount of the surface hydroxyl groups on the titania surface In Figure 4, there are presented some XPS spectra for titania samples prepared under hydrogen treatment.
Ti 2p signal consists of two peaks, Ti2p 1/2 and Ti2p 3/2, with binding energy of 464.4 and 458.6 eV, respectively. The peak at 458.6 eV is slightly asymmetric due to the presence of Ti3+ species, observed after titania reduction. The calculated quantities of Ti3+ on the surface of samples prepared at 450, 500 and 600 °C were equal at 2.7, 4.5, and 3.7%, respectively. Although EPR measurements showed high quantity of Ti3+ centres in titania hydrogenated at 600 °C in the bulk, the sample prepared at 500 °C exhibited the highest quantity of Ti3+ on the surface. A significant difference in the surface hydroxyl groups can be noticed between titania hydrogenated at 450 °C and those obtained at higher temperatures, such as 500 and 600 °C. Calculated concentrations of the surface OH groups on the hydrogenated titania samples were equal at 17.2, 4.6 and 6.2%, for TiO2 prepared at 450, 500 and 600 °C, respectively. All the titania samples heat-treated in Ar showed relatively high concentration of the surface OH groups, from 17.5% at. for sample heated at 600 °C to 20.5% at. for that prepared at 450 °C.
Detailed determination of the OH groups on TiO2 surface was performed by TG analyses. By using the proper temperature program, it was possible to differentiate OH groups, which were weak and strong bounded with titania surface. The impact of the bridging and terminal OH groups on the photocatalytic activity of TiO2 was described elsewhere [19]. In Table 2, the percentage weights of physisorbed and chemisorbed OH groups on TiO2 surface were listed.
In general, samples prepared under H2 treatment contained less OH groups than those heat-treated in Ar at the same temperature. With an increase in temperature of heating, the quantity of OH groups on TiO2 surface decreased.
Higher adsorption of hydroxyl groups on the titania surface can be supported by the acidity of the titania surface [20]. The raw material used for studies was obtained from the industrial production of titania white in Poland, which is running based on the sulphuric method. The raw titania in a form of a white pulp contained a low percentage of sulphates. The percentage of sulphur in the studied titania samples was determined by XRFS technique. The results from the measurements were summarised in Table 3.
Heat treatment of TiO2 under hydrogen gas caused faster removal of sulphates from the titania raw material. High drop in sulphur content was observed in TiO2 samples heated in H2 above 400 °C, which revealed high quantity of surface defects.
In the next step, the acidity of the titania surface was analysed through the performance of acid base titration curve for pair of titania samples heat treated at 450 °C under H2 and Ar. The results are presented in Figure 5.
Sample prepared in Ar showed shifting of IEP towards lower pH. It means that this sample exhibited more acidic sites on the surface than that one heat treated in H2. Higher acidic surface of titania prepared in Ar could be caused by the presence of sulphates, which were of higher amounts than in hydrogenated titania sample. It was reported that the presence of anionic species on titania surface enhanced formation of free hydroxyl radicals [20]. Moreover, these anionic species can force the movement of photogenerated holes to the titania surface due to the electrostatic attraction, so they can improve separation of charge carriers and facilitate formation of hydroxyl radicals.
Hydrogenation of titania can conduct to changes in its optical properties through the formation of some localized electron states induced by formation of oxygen vacancies and Ti3+ defects [21]. The colour of the titania hydrogenated samples can change from white to pale yellow, yellow, brown, blue, grey or black, depending on the preparation methods and conditions [21]. The prepared titania samples under hydrogen treatment above 450 °C revealed change of colour onto brownish (at 500 °C) and grey (at 600 °C). The UV-Vis/DR absorption spectra of the studied samples were illustrated in Figure 6.
The performed measurements indicated that the coloured samples exhibited absorption of the visible light, which was higher for the sample prepared at 600 °C, having the highest number of Ti3+ structural defects. This sample also showed somewhat shifting of the absorption edge towards visible light, which was probably related to the increase in the rutile content and formation of some electron density states below the conduction band.
The photoluminescence spectra were measured for the studied titania samples in order to check the recombination process occurring between electron and hole pairs after excitation with UV light.
The photoluminescence spectra are presented in Figure 7. Titania sample TiO2_A150, which was obtained in the hydrothermal process at 150 °C without further thermal treatment, showed the highest intensity peak of the photoluminescence emission. This sample contained higher quantity of physisorbed water than the others. It was already proved that, formed upon excitation of TiO2, charge carriers on high hydroxylated anatase surface with multilayers of water molecules could follow recombination process faster than on the dry one [22]. The sample prepared at 450 °C in Ar showed quite low intensity emission peak; at this temperature, complete dehydration of physisorbed water usually occurs [23]. Samples, which revealed defected structure in the form of hole traps, showed high photoluminescence peak. Highly reduced TiO2 sample obtained at 600 °C in H2 also showed high photoluminescence. However, the photoluminescence emission was very low for TiO2 heat treated at 500 °C under H2, most likely coexisting both kinds of defects such as hole and electron traps that could induce enhance separation of free radicals.
The morphology of the prepared TiO2 samples was analysed by SEM technique. In Figure 8, some of the SEM images of TiO2 samples were illustrated.
The structure of all the TiO2 samples was quite comparable; some agglomerates consisted from small particles are visible. Sample prepared at 600 °C in H2 showed somewhat higher size agglomerates than the others. SEM images of higher magnification were placed as Supporting Information Figure S1.
All the prepared samples were tested for the photocatalytic decomposition of ethylene at different conditions. Detailed description of the installation set up can be found in our previous paper [14]. For the photocatalytic test performed at temperature 50 °C, the other quartz tube reactor and different UV source were used, and some luminous UV tubes were applied. In Table 4, there are introduced the results of ethylene decomposition after 1 h of irradiation on the prepared titania samples at different conditions.
Titania samples heat treated in Ar at low temperatures, such as 400–450 °C, revealed high photocatalytic decomposition of ethylene under irradiations of both, fluorescent and UV lamps. Contrary to that, samples prepared under hydrogen treatment showed poor activity towards ethylene decomposition when a fluorescent lamp was used, but their activity was greatly enhanced under UV irradiation at the reaction temperature of 50 °C. However, highly reduced samples, prepared at 500 and 600 °C under hydrogen exhibited low photocatalytic activity, even under UV irradiation. Titania sample obtained after hydrothermal treatment in autoclave at 150 °C showed low ethylene decomposition under irradiation of a fluorescent lamp; however, its activity was increased double under UV irradiation at temperature of 50 °C, nevertheless, was still lower in comparison with the other titania samples. This is very interesting that sample TiO2_450-H2 showed enhanced photocatalytic activity under UV irradiation at 50 °C.
It was reported that in the absence of light irradiation, C2H4 did not adsorb nor dissociate with TiO2 [24]. Weak interaction of C2H4 with commercial TiO2-P25 was noted; however, some studies indicated adsorption of ethylene on a reduced anatase TiO2 (001) surface via oxygen vacancy sites [24].
In order to check the interaction of ethylene with titania surface in situ, diffuse reflectance infrared Fourier transform spectroscopy (DRIFTS) was applied with using Praying Mantis DRIFTS accessory. Detailed description of this accessory was reported elsewhere [25]. For the purpose of these measurements, higher concentration of ethylene gas in air was used (200 ppm). The sample surface was irradiated through the quartz window of reactor by the UV LED light-emitting diode having an optical power of 415 mW. Simultaneously FTIR spectra of the sample surface were recorded within the time of the running process. In Figure 9, some of the selected spectra from the adsorption and photocatalytic decomposition of ethylene on two samples: TiO2_400-Ar and TiO2_500-H2 were shown. Recognitions of the IR bands were performed on the basis of the IR spectra library.
The chemical composition of TiO2_500-H2 surface after preparation contained not only the bands related to OH groups (at 3700–2500 and at 1630 cm−1) but also the band at 1552 cm−1, which was assigned to νasCOO vibrations in CO2 adsorbed on TiO2 surface, Figure 9a. The most likely CO2 was adsorbed at the oxygen vacancies sites. This band was not detected in TiO2 hydrogenated under low temperature such as 400–450 °C (Figure 3b). Adsorbed CO2 on TiO2_500-H2 was thermally stable; heat treatment of this sample up to 100 °C in N2 did not cause any CO2 desorption from the titania surface; just some transformation of CO2 bounding was noticed, such as increase the intensity of the bands at 1442 and 1353 cm−1, which were attributed to δ(CH2) and νs(C-O) vibrations in the formaldehyde and formic acid, respectively.
After irradiation of TiO2_500-H2 sample with UV light under flow of ethylene gas, there were observed some bands at 3668, 3632, 1725, 1622, 1552, 1469, 1442 and 1353 cm−1, Figure 9b. The bands at 3668, 3632 cm−1 can be assigned to OH vibrations and that one at 1725 cm−1, to C=O vibrations in the formic acid, as compared with IR pattern spectrum (from the library HR Aldrich Solvents, CAS number: 64-18-6). Band at 1469 cm−1 can be ascribed to formaldehyde on the basis of comparison with the pattern IR spectrum of formaldehyde (from the library HR Nicolet Sampler Library, CAS number: 50-00-0).
These measurements clearly indicated that the formaldehyde and formic acid were intermediate products in the photocatalytic decomposition of ethylene on TiO2 irradiated with UV light. Similar changes in the surface chemical composition were observed on TiO2_Ar-400 sample after UV irradiation and flow of ethylene gas, Figure 9c.
Similar data were reported in the literature [11], where a mechanism of the photocatalytic ethylene decomposition on TiO2 surface was discussed, in which ethylene was transformed to formaldehyde and formic acid before complete mineralisation to CO2 and H2O. During this process, the quantity of hydroxyl groups on TiO2 surface was decreasing. In our studies, the bands at 3600–2500 and at 1622–1625 cm−1 were also reduced after ethylene decomposition.

3. Discussion

The obtained results indicated the great role of hydroxyl groups coordinated to titania surface in the photocatalytic decomposition of ethylene. TiO2 samples prepared at low temperature of heat treatment, such as 400 and 450 °C in Ar, which exhibited high BET surface area and high quantity of hydroxyl groups, revealed high photocatalytic activity towards ethylene decomposition, even under UV irradiation of low intensity emitted by a fluorescence lamp. Hydroxyl groups take part in the formation of hydroxyl radicals, which are responsible for reaction with ethylene and its further degradation. The acidic surface of TiO2 enhances migration of holes to the photocatalyst surface and improves separation of free charges. The presence of hole traps in TiO2 formed upon hydrogen reduction could also increase adsorption of hydroxyl groups on the titania surface; however, photoluminescence spectra showed high recombination process in TiO2 sample prepared at 450 °C under H2, which was defected by hole traps. Interestingly, this sample showed high photocatalytic activity for ethylene decomposition under UV irradiation for higher temperature in the reactor chamber, such as 50 °C, but at conditions of 25 °C exhibited lower activity than TiO2 samples prepared at low temperatures (400–450 °C) in Ar. It is assumed that at 50 °C, water molecules, which occupied active sites on titania surface (O), were desorbed, and at that time, reaction of peroxide anionic radicals O2 with hole traps could occur to yield in O3, which were responsible for ethylene oxidation. D.-R. Park et al. [4] reported that hydroxyl radicals as well as the O2 and O3 anionic ones played a significant role as the key active species in the complete photocatalytic oxidation of ethylene. The multilayer adsorption of water molecules on titania surface deteriorates its photocatalytic activity. However, it was demonstrated that when the photocatalytic process was conducted at higher temperature, such as 50 °C, the physisorbed water molecules could be desorbed, and then it was possible to attain the enhanced activity of TiO2, as observed for TiO2_A150 sample. In general, the excess of water molecules in the gaseous stream is usually inconvenient for the photocatalytic reactions; therefore, an insignificant increase in temperature in the reaction chamber can solve the problem with competitive adsorption of water and gaseous pollutant to the active sites of the photocatalyst. The presence of hole traps in TiO2 seems to enhance its photocatalytic activity towards decomposition of VOCs (Volatitle Organic Compounds). In our previous paper [14], we have reported on enhanced photocatalytic activity of TiO2_450-H2 sample towards acetaldehyde decomposition, which was caused by the presence of hole traps in TiO2 that readily reacted with acetaldehyde molecules through the formation of reactive carbonyl radicals (CH3CO) and took place in the further stages of acetaldehyde decomposition. In case of ethylene species, their reactivity with titania surface is very weak but increases after formation of reactive radicals upon UV irradiation. Superhydrophilic properties of TiO2 cause an increase in water molecules adsorption on its surface after UV irradiation. Formed thin film of water significantly limits adsorption of oxygen on the titania surface, and in this way, separation of free charges can be suppressed. Therefore, in case of ethylene decomposition, increased temperature in the reaction chamber can significantly improve the yield of the photocatalytic reactions. Application of titania samples with hole defects such as TiO2_450-H2 at the increased temperature of reactor can be effective for decomposition of both VOCs, acetaldehyde and ethylene. The presence of oxygen vacancies in TiO2 appeared to be detrimental for its photocatalytic activity towards decomposition of ethylene gas. It was proved that in case of the reduced TiO2 prepared under hydrogenation at 500 and 600 °C, CO2 adsorbed on the oxygen vacancy sites and occupied active sites for ethylene species. Therefore, titania surface with preadsorbed CO2 was less active towards ethylene decomposition. Adsorbed CO2 at the defect sites of TiO2 was thermally stable up to 100 °C; therefore, increase reaction temperature up to 50 °C did not improve its photocatalytic efficiency.
Obtained results of ethylene decomposition on the prepared TiO2 samples are very satisfying by comparison with the literature data. In Table 5, some achievements of an ethylene decomposition on titania materials by the other researchers were reported.
Presented data in Table 5 indicate that high ethylene decomposition can be obtained on TiO2 based material by using high power of UV light such as xenon lamp with a power of 300–400 W [3,13,26]. Our results showed that 50 ppm ethylene in air could be decomposed during 1 h of UV irradiation (UVA-66 W) with efficiency over 90% on the surface of 0.1 g of TiO2 photocatalyst. When we use close distance of UV lamp to the photocatalyst surface, then without applied cooling system, temperature in the reactor increases up to 50 °C, and then we can obtain over 90% of ethylene decomposition by using UV LED lamps 8 × 8 W. When we compare ethylene decomposition under irradiation of the fluorescent light, by using TiO2 prepared at 400 °C in air, we can achieve almost 100% of ethylene decomposition (10 ppm) after 1 h of irradiation, whereas the other studies indicated decomposition of the ethylene (10 ppm) of 75% after 10 days [27]. It can be concluded that the obtained TiO2 from the industrial titania pulp by two step preparation process—hydrothermal treatment in autoclave at 150 °C for 1 h with following heat treatment in Ar at 400 °C—is a very promising material for ethylene decomposition. The most advantageous parameters of this material are high BET surface area and the acidic surface with high quantity of OH groups.

4. Materials and Methods

TiO2 was obtained by a two-step preparation process: hydrothermal treatment in autoclave at 150 °C under pressure of 7.4 bar and following heat treatment at 400–600 °C under flow of Ar or H2. As a source of TiO2, a raw titania pulp was used, which was a semiproduct from production of the titania white in Police Chemical Factory (Poland). The industrial production of titania white in Police Chemical Factory is based on the sulphuric method; therefore, the obtained raw titania pulp contained a low percentage of the sulphuric species and was mostly amorphous. XRD measurements were performed in an Empyrean difractometer of Malvern PANanalytical Ltd. company, Almelo, Netherlands, with using a copper lamp, λ = 0.154439 nm. The measurements were performed with set up parameters of Cu lamp 35 KV and 30 mA. The mean size of anatase and rutile crystallites were calculated from the Scherrer equation by using Rietveld method. The specific surface areas of titania samples were calculated applying the BET equation in the range of partial pressure of p/p0 = 0.05–0.2, from the nitrogen adsorption isotherms measured at 77 K using QUADRASORB Si analyzer (Quantachrome, Boynton Beach, FL, USA). Before measuring, all the samples were degassed at 150 °C for 12 h under high vacuum using MasterPrep degasser by Quantachrome. FTIR/DRS spectra of TiO2 samples were measured by the reflection technique in the air atmosphere using FTIR spectrophotometer (FT/IR 4200, Jasco International Co., Ltd., Tokyo, Japan). Spectra were recorded with the resolution of 4 cm−1. For the in situ FTIR measurements, spectrometer Nicolet iS50 was used with Praying Mantis DRIFTS accessory. UV-Vis/DR spectra were recorded using UV-Vis diffuse reflectance spectrophotometer (V-650, Jasco International Co., Ltd.,Tokyo, Japan). BaSO4 was used as a reference. The amount of sulphur in TiO2 was measured in energy dispersive X-ray fluorescence (EDXRF) spectrometer (Epsilon3, Malvern PANanalytical Ltd. company, Almelo, Netherlands), using internal pattern. Thermogravimetric analyses were carried out under the nitrogen flow (99.999% pure, 30 mL/min) system consisting of the thermobalance (TG, Netzsch STA 449 C, Selb, Germany). Applied temperature program was as follows: heating to 120 °C with 30-min isothermal step, then heating to 500 °C with 15-min isothermal step. Heating rate of 20 K/min was applied. The sample weight for analyses was approximately 10 mg. Mass loss that occurred at 120 °C was then presented as physisorbed hydroxyl groups and mass loss at 500 °C as chemisorbed hydroxyl groups. Photoluminescence spectra were recorded in a fluorescence spectrometer Hitachi F-2500 using low temperature sample compartment accessory. The measurements were performed at the temperature of liquid nitrogen, at excitation wavelength of 290 nm. The emission spectra were recorded in the range of 330–700 nm. The morphology of the samples was analysed by FE-SEM in SEM Hitachi SU8020 with field cold emission.
EPR spectra were recorded at the temperature of 77 K in a JEOL JES-X310 (Japan) in the quartz glass tubes under an inert gas atmosphere. Sample weights used for EPR measurements were equal, 0.2265 and 0.0665 g for TiO2 reduced at 500 and 600 °C under H2, respectively. The presented signals in EPR spectra were not recalculated according to the sample mass. The X-ray photoelectron spectroscopy measurements were performed in a multipurpose (XPS, LEED, UPS, AES) UHV system (PREVAC, Rogów, Poland). The spectrometer was calibrated by using Ag 3d5/2 transition. The XPS measurements were performed under vacuum at the range of 10–9 mbar after thorough degassing of sample. The X-ray photoelectron spectroscopy was performed using magnesium tube MgKα (hν = 1253.7 eV) radiation. The measurements were performed for binding energies corresponding to Ti 2p and O 1s regions. Results were elaborated with using the CasaXPS version 2.3.16 Dev 39. The amount of sulphur in TiO2 was measured in energy dispersive X-ray fluorescence (EDXRF) spectrometer (Epsilon3, PANalytical), using internal pattern. The measurements of zeta potential at the different pH of solution and point of zero charge (pHpzc) of the photocatalysts surface were performed in Multi-Purpose Titrator MPT-2 and degasser attached to the Zetasizer Nano-ZS. The photocatalytic decomposition of ethylene was carried out in the quartz photoreactor, which was placed in the incubator with controlled temperature. The tested sample was coated on the glass plates, which were put inside the quartz tube. The model ethylene gas of concentration 10 or 50 ppm was supplied to the photoreactor from the bottle. The photocatalytic tests in this photoreactor were carried out at the temperature of 25 °C. The scheme of the installation set up was published elsewhere [28]. Another photocatalytic test was performed in the second photoreactor, which was similar to the previous one, but applied by two sets of UV lamps (Semilac UV LED, 36 W), mounted above and beneath the bottom of the quartz tube. The scheme of the second photoreactor was illustrated in Figure 10. The difference between these two photocatalytic systems was that the second one was not equipped in any thermostatic chamber. The measured temperature inside the quartz tube during UV irradiation reached 50 °C. The emission spectrum of the UV LED lamps was measured by the USB4000 Fiber Optic Spectrometer and introduced in Figure 11.

5. Conclusions

Photocatalytic decomposition of ethylene is effective for TiO2 having high quantity of OH groups. However, high quantity of physisorbed water molecules is disadvantageous for the photocatalytic reactions of ethylene oxidation because the presence of aqueous film on TiO2 surface inhibits adsorption of oxygen and accelerates recombination of free carriers. The oxidation process of ethylene is going on mostly by the hydroxyl radicals’ reaction; for total decomposition of one ethylene molecule, 12 molecules of OH radicals are used. Utilisation of OH groups on TiO2 surface upon ethylene decomposition under UV irradiation was confirmed by in situ FTIR measurements. Performed studies indicated that the presence of oxygen vacancies in TiO2 deteriorated its activity towards ethylene decomposition because CO2 molecules were adsorbed at the sites of oxygen vacancies and occupied the active sites for ethylene species. The acidic surface of TiO2 increases adsorption of OH groups and enhances activity of TiO2 towards ethylene decomposition. The optimal amount of OH groups on TiO2 surface retards recombination of free radicals. The excess of adsorbed water molecules can be desorbed during reaction process carrying out at higher temperature. It was proved that prepared TiO2 with hole traps defects can be very active for ethylene decomposition under UV irradiation at 50 °C because at this temperature, desorption of water molecules took place, and some of O species can be active for reaction with ethylene molecules or other oxygen species involved in ethylene oxidation.

Supplementary Materials

The following supporting information can be downloaded at: https://www.mdpi.com/article/10.3390/catal12040386/s1, Figure S1: SEM images of TiO2 prepared in Ar at: (A) 400 °C, (B) 500 °C, (C) 600 °C and at H2: (D) 450 °C, (E) 500 °C, (F) 600 °C, magnification ×200 k.

Author Contributions

P.R.: investigation, data curation, writing-original draft preparation, visualization; B.T.: conceptualization, methodology, writing-review and editing, project administration, funding acquisition; A.S.: investigation, data curation; P.F.: investigation, data curation; J.S.-N.: investigation, data curation; R.J.W.: investigation, data curation, formal analysis; H.N.: investigation, data curation; M.T.: resources, formal analysis. All authors have read and agreed to the published version of the manuscript.

Funding

National Science Centre, Poland, grant nr 2020/39/B/ST8/01514.

Conflicts of Interest

The authors declare no conflict of interest.

References

  1. Ebrahimi, A.; Zabihzadeh Khajavi, M.; Ahmadi, S.; Mortazavian, A.M.; Abdolshahi, A.; Rafiee, S.; Farhoodi, M. Novel Strategies to Control Ethylene in Fruit and Vegetables for Extending Their Shelf Life: A Review. Int. J. Environ. Sci. Technol. 2021. [Google Scholar] [CrossRef]
  2. Keller, N.; Ducamp, M.-N.; Robert, D.; Keller, V. Ethylene Removal and Fresh Product Storage: A Challenge at the Frontiers of Chemistry. Toward an Approach by Photocatalytic Oxidation. Chem. Rev. 2013, 113, 5029–5070. [Google Scholar] [CrossRef] [PubMed]
  3. Hussain, M.; Bensaid, S.; Geobaldo, F.; Saracco, G.; Russo, N. Photocatalytic Degradation of Ethylene Emitted by Fruits with TiO2 Nanoparticles. Ind. Eng. Chem. Res. 2011, 50, 2536–2543. [Google Scholar] [CrossRef]
  4. Park, D.-R.; Zhang, J.; Ikeue, K.; Yamashita, H.; Anpo, M. Photocatalytic Oxidation of Ethylene to CO2 and H2O on Ultrafine Powdered TiO2 Photocatalysts in the Presence of O2 and H2O. J. Catal. 1999, 185, 114–119. [Google Scholar] [CrossRef]
  5. Iwanaga, M.; Akimoto, Y.; Shiraishi, F. Effect of Humid Air on Photocatalytic Decomposition of Ethylene by TiO2 Immobilized on Different Supports 2019. Eco-Eng. 2019, 31, 37–44. [Google Scholar]
  6. De Fonseca, J.M.; Pabón, N.Y.L.; Valencia, G.A.; Nandi, L.G.; Dotto, M.E.R.; de Moreira, R.F.P.M.; Monteiro, A.R. Ethylene Scavenging Properties from Hydroxypropyl Methylcellulose-TiO2 and Gelatin-TiO2 Nanocomposites on Polyethylene Supports for Fruit Application. Int. J. Biol. Macromol. 2021, 178, 154–169. [Google Scholar] [CrossRef] [PubMed]
  7. Zhu, Z.; Zhang, Y.; Shang, Y.; Wen, Y. Electrospun Nanofibers Containing TiO2 for the Photocatalytic Degradation of Ethylene and Delaying Postharvest Ripening of Bananas. Food Bioprocess Technol. 2019, 12, 281–287. [Google Scholar] [CrossRef]
  8. De Chiara, M.L.V.; Pal, S.; Licciulli, A.; Amodio, M.L.; Colelli, G. Photocatalytic Degradation of Ethylene on Mesoporous TiO2/SiO2 Nanocomposites: Effects on the Ripening of Mature Green Tomatoes. Biosyst. Eng. 2015, 132, 61–70. [Google Scholar] [CrossRef]
  9. Fu, X.; Clark, L.A.; Zeltner, W.A.; Anderson, M.A. Effects of Reaction Temperature and Water Vapor Content on the Heterogeneous Photocatalytic Oxidation of Ethylene. J. Photochem. Photobiol. A Chem. 1996, 97, 181–186. [Google Scholar] [CrossRef]
  10. Yamazaki, S.; Tanaka, S.; Tsukamoto, H. Kinetic Studies of Oxidation of Ethylene over a TiO2 Photocatalyst. J. Photochem. Photobiol. A Chem. 1999, 121, 55–61. [Google Scholar] [CrossRef]
  11. Hauchecorne, B.; Terrens, D.; Verbruggen, S.; Martens, J.A.; Van Langenhove, H.; Demeestere, K.; Lenaerts, S. Elucidating the Photocatalytic Degradation Pathway of Acetaldehyde: An FTIR in Situ Study under Atmospheric Conditions. Appl. Catal. B Environ. 2011, 106, 630–638. [Google Scholar] [CrossRef]
  12. Suriye, K.; Praserthdam, P.; Jongsomjit, B. Control of Ti3+surface Defect on TiO2 Nanocrystal Using Various Calcination Atmospheres as the First Step for Surface Defect Creation and Its Application in Photocatalysis. Appl. Surf. Sci. 2007, 253, 3849–3855. [Google Scholar] [CrossRef]
  13. Shi, G.; Mahmood, A.; Lu, G.; Wang, X.; Tong, S.; Ge, M.; Xie, X.; Sun, J. Adsorption and Photodegradation of Acetaldehyde and Ethylene on TiO2 (001) Surface: Experimental and First Principle Studies. Catal. Lett. 2019, 149, 2728–2738. [Google Scholar] [CrossRef]
  14. Rychtowski, P.; Tryba, B.; Fuks, H.; Lillo-Ródenas, M.Á.; Román-Martínez, M.C. Impact of TiO2 Surface Defects on the Mechanism of Acetaldehyde Decomposition under Irradiation of a Fluorescent Lamp. Catalysts 2021, 11, 1281. [Google Scholar] [CrossRef]
  15. Tryba, B.; Rychtowski, P.; Srenscek-Nazzal, J.; Przepiorski, J. The Inflence of TiO2 Structure on the Complete Decomposition of Acetaldehyde Gas. Mater. Res. Bull. 2020, 126, 110816. [Google Scholar] [CrossRef]
  16. Kumar, C.P.; Gopal, N.O.; Wang, T.C.; Wong, M.-S.; Ke, S.C. EPR Investigation of TiO2 Nanoparticles with Temperature-Dependent Properties. J. Phys. Chem. B 2006, 110, 5223–5229. [Google Scholar] [CrossRef] [PubMed]
  17. Xu, J.; Huang, J.; Zhang, S.; Hong, Z.; Huang, F. Understanding the Surface Reduction of Nano Rutile and Anatase: Selective Breaking of Ti-O Bonds. Mater. Res. Bull. 2020, 121, 110617. [Google Scholar] [CrossRef]
  18. Mino, L.; Negri, C.; Santalucia, R.; Cerrato, G.; Spoto, G.; Martra, G. Morphology, Surface Structure and Water Adsorption Properties of TiO2 Nanoparticles: A Comparison of Different Commercial Samples. Molecules 2020, 25, 4605. [Google Scholar] [CrossRef]
  19. Wu, C.-Y.; Tu, K.-J.; Deng, J.-P.; Lo, Y.-S.; Wu, C.-H. Markedly Enhanced Surface Hydroxyl Groups of TiO2 Nanoparticles with Superior Water-Dispersibility for Photocatalysis. Materials 2017, 10, 566. [Google Scholar] [CrossRef] [PubMed]
  20. Dufour, F.; Pigeot-Remy, S.; Durupthy, O.; Cassaignon, S.; Ruaux, V.; Torelli, S.; Mariey, L.; Maugé, F.; Chanéac, C. Morphological Control of TiO2 Anatase Nanoparticles: What Is the Good Surface Property to Obtain Efficient Photocatalysts? Appl. Catal. B Environ. 2015, 174–175, 350–360. [Google Scholar] [CrossRef] [Green Version]
  21. Wang, B.; Shen, S.; Mao, S.S. Black TiO2 for Solar Hydrogen Conversion. J. Mater. 2017, 3, 96–111. [Google Scholar] [CrossRef]
  22. Colbeau-Justin, C. Structural influence on charge-carrier lifetimes in TiO2 powders studied by microwave absorption. J. Mater. Sci. 2003, 38, 2429–2437. [Google Scholar] [CrossRef]
  23. Tryba, B.; Tygielska, M.; Orlikowski, J.; Przepiórski, J. Influence of TiO2 Hydrophilicity on the Photocatalytic Decomposition of Gaseous Acetaldehyde in a Circulated Flow Reactor. React. Kinet. Mech. Catal. 2016, 119, 349–365. [Google Scholar] [CrossRef]
  24. Shukri, G.; Diño, W.A.; Dipojono, H.K.; Agusta, M.K.; Kasai, H. Enhanced Molecular Adsorption of Ethylene on Reduced Anatase TiO2 (001): Role of Surface O-Vacancies. RSC Adv. 2016, 6, 92241–92251. [Google Scholar] [CrossRef]
  25. Sun, S.; Zhang, F. Insights into the Mechanism of Photocatalytic Degradation of Volatile Organic Compounds on TiO2 by Using In-Situ DRIFTS. In Semiconductor Photocatalysis—Materials, Mechanisms and Applications; Cao, W., Ed.; InTech: London, UK, 2016; ISBN 978-953-51-2484-9. [Google Scholar]
  26. Kajita, S.; Miyaguchi, K.; Tanaka, H.; Yasunaga, E.; Yoshida, T.; Ohno, N. Enhanced Photocatalytic Ethylene Decomposition with Anatase-Rutile Mixed Nanostructures Formed by He Plasma Treatment. J. Photochem. Photobiol. A Chem. 2021, 418, 113420. [Google Scholar] [CrossRef]
  27. Maneerat, C.; Hayata, Y. Gas-Phase Photocatalytic Oxidation of Ethylene with TiO2-Coated Packaging Film for Horticultural Products. Trans. ASABE 2008, 51, 163–168. [Google Scholar] [CrossRef]
  28. Tryba, B.; Wozniak, M.; Zolnierkiewicz, G.; Guskos, N.; Morawski, A.; Colbeau-Justin, C.; Wrobel, R.; Nitta, A.; Ohtani, B. Influence of an Electronic Structure of N-TiO2 on Its Photocatalytic Activity towards Decomposition of Acetaldehyde under UV and Fluorescent Lamps Irradiation. Catalysts 2018, 8, 85. [Google Scholar] [CrossRef] [Green Version]
Figure 1. XRD patterns of the prepared TiO2 samples heating at 400–600 °C under (a) Ar, (b) H2.
Figure 1. XRD patterns of the prepared TiO2 samples heating at 400–600 °C under (a) Ar, (b) H2.
Catalysts 12 00386 g001
Figure 2. EPR spectra of TiO2 samples heat treated at 500 and 600 °C in H2.
Figure 2. EPR spectra of TiO2 samples heat treated at 500 and 600 °C in H2.
Catalysts 12 00386 g002
Figure 3. FTIR spectra for TiO2 heat treated at 400–600 °C under (a) Ar, (b) H2.
Figure 3. FTIR spectra for TiO2 heat treated at 400–600 °C under (a) Ar, (b) H2.
Catalysts 12 00386 g003
Figure 4. XPS spectra of TiO2 heat treated at 450–600 °C under hydrogen, (a) Ti2p, (b) O1s.
Figure 4. XPS spectra of TiO2 heat treated at 450–600 °C under hydrogen, (a) Ti2p, (b) O1s.
Catalysts 12 00386 g004
Figure 5. The zeta potential versus pH of TiO2_450-Ar and TiO2_450-H2 suspensions.
Figure 5. The zeta potential versus pH of TiO2_450-Ar and TiO2_450-H2 suspensions.
Catalysts 12 00386 g005
Figure 6. UV-Vis/DR spectra of titania samples heat-treated at 400–600 °C under (a) H2, (b) Ar.
Figure 6. UV-Vis/DR spectra of titania samples heat-treated at 400–600 °C under (a) H2, (b) Ar.
Catalysts 12 00386 g006
Figure 7. Photoluminescence spectra measured after excitation of titania at λ = 390 nm, (a) TiO2 after hydrothermal treatment at 150 °C and these heat treated in Ar and (b) TiO2 heat treated in H2.
Figure 7. Photoluminescence spectra measured after excitation of titania at λ = 390 nm, (a) TiO2 after hydrothermal treatment at 150 °C and these heat treated in Ar and (b) TiO2 heat treated in H2.
Catalysts 12 00386 g007
Figure 8. SEM images of TiO2 prepared in Ar at (A) 400 °C, (B) 500 °C, (C) 600 °C and at H2 (D) 450 °C, (E) 500 °C, (F) 600 °C, magnification ×100 k.
Figure 8. SEM images of TiO2 prepared in Ar at (A) 400 °C, (B) 500 °C, (C) 600 °C and at H2 (D) 450 °C, (E) 500 °C, (F) 600 °C, magnification ×100 k.
Catalysts 12 00386 g008
Figure 9. FTIR spectra from the in situ measurements of ethylene decomposition under UV irradiation with comparison of selected IR spectra patterns of iced CO2, formic acid and formaldehyde, (a) TiO2_500-H2 as prepared, (b) TiO2_500-H2 before and after UV irradiation and (c) TiO2_Ar-400 before and after UV irradiation.
Figure 9. FTIR spectra from the in situ measurements of ethylene decomposition under UV irradiation with comparison of selected IR spectra patterns of iced CO2, formic acid and formaldehyde, (a) TiO2_500-H2 as prepared, (b) TiO2_500-H2 before and after UV irradiation and (c) TiO2_Ar-400 before and after UV irradiation.
Catalysts 12 00386 g009aCatalysts 12 00386 g009b
Figure 10. The scheme of the second photocatalytic system: 1—hydrogen generator, 2—model ethylene gas in the synthetic air (50 ppm), 3—flow meter, 4—quartz tube, 5—Semilac UV LED lamps, 6—gas chromatograph, 7—personal computer.
Figure 10. The scheme of the second photocatalytic system: 1—hydrogen generator, 2—model ethylene gas in the synthetic air (50 ppm), 3—flow meter, 4—quartz tube, 5—Semilac UV LED lamps, 6—gas chromatograph, 7—personal computer.
Catalysts 12 00386 g010
Figure 11. The emission spectrum of UV LED lamps.
Figure 11. The emission spectrum of UV LED lamps.
Catalysts 12 00386 g011
Table 1. Brief characteristics of the titania samples heat-treated under H2 and Ar.
Table 1. Brief characteristics of the titania samples heat-treated under H2 and Ar.
Sample NameHTT (°C)BET Surface Area (m2/g)Phase Composition (Anatase:Rutile)Average Crystallites Size of Anatase (nm)
TiO2_A150-21595:515.2
TiO2_400-H240015597:315.1
TiO2_450-H245013096:416.3
TiO2_500-H25008196:424.3
TiO2_600-H26004092:835.2
TiO2_400-Ar40016797:315.0
TiO2_450-Ar45013995:515.5
TiO2_500-Ar50012396:416.8
TiO2_600-Ar6006896:425.5
Table 2. Amount of OH groups on TiO2 surface determined by TG analyses.
Table 2. Amount of OH groups on TiO2 surface determined by TG analyses.
SampleOH Physisorbed (wt%)OH Chemisorbed (wt%)Total Mass Loss (wt%)
TiO2_400-Ar2.281.844.13
TiO2_450-Ar1.300.912.21
TiO2_500-Ar1.170.962.13
TiO2_600-Ar0.930.381.31
TiO2_400-H21.991.603.59
TiO2_450-H21.170.511.68
TiO2_500-H20.960.451.41
TiO2_600-H20.550.160.71
Table 3. Sulphur content in titania samples measured by XRFS.
Table 3. Sulphur content in titania samples measured by XRFS.
SampleContent of Sulphur
Titania pulp2.1 wt%
TiO2_A1501.5 wt%
TiO2_400-Ar1.40 wt%
TiO2_450-Ar1.46 wt%
TiO2_500-Ar1.39 wt%
TiO2_600-Ar0.76 wt%
TiO2_400-H21.45 wt%
TiO2_450-H20.23 wt%
TiO2_500-H20.20 wt%
TiO2_600-H2821 ppm
Table 4. Percentage decomposition of ethylene on the titania samples after 1 h of irradiation under different conditions.
Table 4. Percentage decomposition of ethylene on the titania samples after 1 h of irradiation under different conditions.
Sample NameConditions of the Photocatalytic Test
C2H4 Concentration 10 ppm
Temperature 25 °C
Lamp-Fluorescent
Flow Rate: 20 mL/min
C2H4 Concentration 50 ppm
Temperature 25 °C
Lamp-UV-1
Flow Rate: 50 mL/min
C2H4 Concentration 50 ppm
Temperature 50 °C
Lamp-UV-2
Flow Rate: 50 mL/min
Ethylene Decomposition after 1 h of Irradiation (%)
TiO2_A15030-66
TiO2_400-Ar939487
TiO2_450-Ar869286
TiO2_500-Ar319685
TiO2_600-Ar839280
TiO2_400-H2309290
TiO2_450-H2308692
TiO2_500-H235340
TiO2_600-H298162
Table 5. Comparison of an ethylene decomposition on the different TiO2 materials.
Table 5. Comparison of an ethylene decomposition on the different TiO2 materials.
Ref.MaterialReaction ConditionsRadiationResults
[3]TiO2 obtained by a sol-gel and calcined at 400 °C
(antase/rutile = 80/20)
100 ppm C2H4 in air, 3 °C, flow rate 100 mL/minUV lamp—300 W
(UVA and UVB)
UV flux at 12 cm
=2476 mW/cm2
90% of C2H4 decomp. per 1 g of TiO2
after 1 h
[13]TiO2 (001) facets prepared by hydrothermal method (200 °C, 24 h) and calcined at 550 °C500 ppm C2H4 in air, flow rate 10 mL/minXenon lamp,
400 W
17% of C2H4 decomp. after 1 h
[26]TiO2 obtained by plasma modification of Ti foil and oxidation50 ppm C2H4
in air,
batch reactor
Xenon lamp,
300 W, 16 mW/cm2 at 280–340 mm
75% of C2H4 decomp. after 2 h
[27]TiO2 coated oriented polypropylene packaging film −10% of TiO2, (30 µm)10 ppm C2H4 in air,
batch reactor
Black light—1.5 mW/cm2
Fluorescent lamp
<0.05 mW/cm2
100% of C2H4 decomp. after 3 h—Bl; 75%—after 10 days—Fl
[7]Nanofibres containing 10% of TiO2100 ppm in air, batch reactorUVA—2.9 µW/cm245% of C2H4 decomp. after 25 h
Publisher’s Note: MDPI stays neutral with regard to jurisdictional claims in published maps and institutional affiliations.

Share and Cite

MDPI and ACS Style

Rychtowski, P.; Tryba, B.; Skrzypska, A.; Felczak, P.; Sreńscek-Nazzal, J.; Wróbel, R.J.; Nishiguchi, H.; Toyoda, M. Role of the Hydroxyl Groups Coordinated toTiO2 Surface on the Photocatalytic Decomposition of Ethylene at Different Ambient Conditions. Catalysts 2022, 12, 386. https://doi.org/10.3390/catal12040386

AMA Style

Rychtowski P, Tryba B, Skrzypska A, Felczak P, Sreńscek-Nazzal J, Wróbel RJ, Nishiguchi H, Toyoda M. Role of the Hydroxyl Groups Coordinated toTiO2 Surface on the Photocatalytic Decomposition of Ethylene at Different Ambient Conditions. Catalysts. 2022; 12(4):386. https://doi.org/10.3390/catal12040386

Chicago/Turabian Style

Rychtowski, Piotr, Beata Tryba, Agnieszka Skrzypska, Paula Felczak, Joanna Sreńscek-Nazzal, Rafał Jan Wróbel, Hiroyasu Nishiguchi, and Masahiro Toyoda. 2022. "Role of the Hydroxyl Groups Coordinated toTiO2 Surface on the Photocatalytic Decomposition of Ethylene at Different Ambient Conditions" Catalysts 12, no. 4: 386. https://doi.org/10.3390/catal12040386

APA Style

Rychtowski, P., Tryba, B., Skrzypska, A., Felczak, P., Sreńscek-Nazzal, J., Wróbel, R. J., Nishiguchi, H., & Toyoda, M. (2022). Role of the Hydroxyl Groups Coordinated toTiO2 Surface on the Photocatalytic Decomposition of Ethylene at Different Ambient Conditions. Catalysts, 12(4), 386. https://doi.org/10.3390/catal12040386

Note that from the first issue of 2016, this journal uses article numbers instead of page numbers. See further details here.

Article Metrics

Back to TopTop