Toluene Steam Reforming over Ni/CeZrO2—The Influence of Steam to Carbon Ratio and Contact Time on the Catalyst Performance and Carbon Deposition
Abstract
:1. Introduction
2. Results and Discussion
2.1. Catalytic Runs of Toluene Steam Reforming over CeZrO2 and Ni/CeZrO2
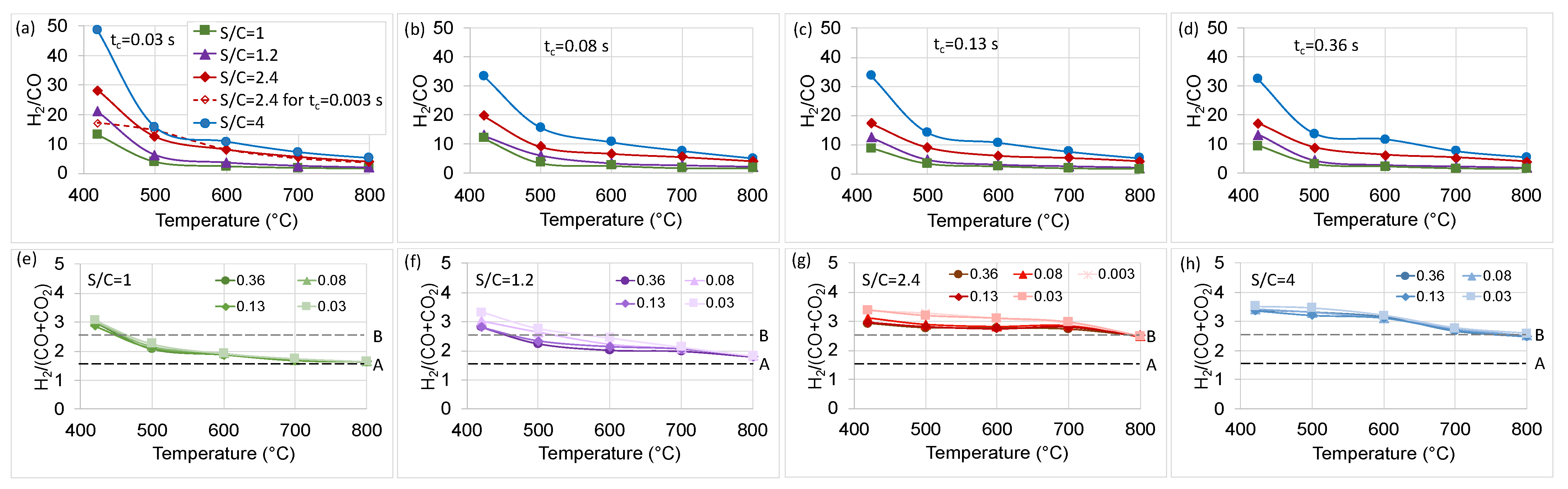
2.2. The Influence of S/C on the Ni/CeZrO2 Activity in SRT
2.3. The Influence of Contact Time
2.4. Stability Tests
3. Materials and Methods
- [C7H8]SR—the concentration of C7H8 converted in SR reaction to CO and CO2;
- [C7H8](in), [H2O](in), [H2](in)—the concentrations of C7H8, H2O, and H2 in the feed;
- [H2](out), [CO2](out), [CO](out)—the concentrations of H2, CO2, and CO at the reactor’s outlet.
4. Conclusions
Funding
Data Availability Statement
Acknowledgments
Conflicts of Interest
References
- Anis, S.; Zainal, Z.A. Tar reduction in biomass producer gas via mechanical, catalytic and thermal methods: A review. Renew. Sust. Energy Rev. 2011, 15, 2355–2377. [Google Scholar] [CrossRef]
- Devi, L.; Ptasinski, K.J.; Janssen, F.J.J.G. Pretreated olivine as tar removal catalyst for biomass gasifiers: Investigation using naphthalene as model biomass tar. Fuel Process. Technol. 2005, 86, 707–730. [Google Scholar] [CrossRef]
- Nair, S.A.; Yan, K.; Pemen, A.J.M.; van Heesch, E.J.M.; Ptasinski, K.J.; Drinkenburg, A.A.H. Tar Removal from Biomass-Derived Fuel Gas by Pulsed Corona Discharges. A Chemical Kinetic Study. Ind. Eng. Chem. Res. 2004, 43, 1649–1658. [Google Scholar] [CrossRef]
- Jess, A. Mechanisms and kinetics of thermal reactions of aromatic hydrocarbons from pyrolysis of solid fuels. Fuel 1996, 75, 1441–1448. [Google Scholar] [CrossRef]
- Łamacz, A.; Krztoń, A.; Musi, A.; Da Costa, P. Reforming of Model Gasification Tar Compounds. Catal. Lett. 2008, 128, 40–48. [Google Scholar] [CrossRef]
- Łamacz, A.; Krztoń, A.; Djéga-Mariadassou, G. Steam reforming of model gasification tars compounds on nickel based ceria-zirconia catalysts. Catal. Today 2011, 176, 347–351. [Google Scholar] [CrossRef]
- Laosiripojana, N.; Assabumrungrat, S. Catalytic steam reforming of ethanol over high surface area CeO2: The role of CeO2 as an internal pre-reforming catalyst. Appl. Catal. B Environ. 2006, 66, 29–39. [Google Scholar] [CrossRef]
- Huang, T.; Huang, M. Effect of Ni content on hydrogen production via steam reforming of methane over Ni/GDC catalysts. Chem. Eng. J. 2008, 145, 149–153. [Google Scholar] [CrossRef]
- Machocki, A.; Denis, A.; Grzegorczyk, W.; Gac, W. Nano- and micro-powder of zirconia and ceria-supported cobalt catalysts for the steam reforming of bio-ethanol. Appl. Surf. Sci. 2010, 256, 5551–5558. [Google Scholar] [CrossRef]
- Laosiripojana, N.; Sangtongkitcharoen, W.; Assabumrungrat, S. Catalytic steam reforming of ethane and propane over CeO2-doped Ni/Al2O3 at SOFC temperature: Improvement of resistance toward carbon formation by the redox property of doping CeO2. Fuel 2006, 85, 323–332. [Google Scholar] [CrossRef]
- Laosiripojana, N.; Assabumrungrat, S. Catalytic steam reforming of dimethyl ether (DME) over high surface area Ce–ZrO2 at SOFC temperature: The possible use of DME in indirect internal reforming operation (IIR-SOFC). Appl. Catal. A Gen. 2007, 320, 105–113. [Google Scholar] [CrossRef]
- Borowiecki, T.; Denis, A.; Gac, W.; Dziembaj, R.; Piwowarska, Z.; Drozdek, M. Oxidation–reduction of Ni/Al2O3 steam reforming catalysts promoted with Mo. Appl. Catal. A Gen. 2004, 274, 259–267. [Google Scholar] [CrossRef]
- Wang, Y.; Chin, Y.H.; Rozmiarek, R.T.; Johnson, B.R.; Gao, Y.; Watson, J.; Tonkovich, A.Y.L.; Vander Wiel, D.P. Highly active and stable Rh/MgOAl2O3 catalysts for methane steam reforming. Catal. Today 2004, 98, 575–581. [Google Scholar] [CrossRef]
- Wu, C.; Liu, R. Carbon deposition behavior in steam reforming of bio-oil model compound for hydrogen production. Int. J. Hydrog. Energy 2010, 35, 7386–7398. [Google Scholar] [CrossRef]
- Kim, H.-W.; Kang, K.-M.; Kwak, H.-Y.; Kim, J.H. Preparation of supported Ni catalysts on various metal oxides with core/shell structures and their tests for the steam reforming of methane. Chem. Eng. J. 2011, 168, 775–783. [Google Scholar] [CrossRef]
- Zhu, H.L.; Pastor-Pérez, L.; Millan, M. Catalytic Steam Reforming of Toluene: Understanding the Influence of the Main Reaction Parameters over a Reference Catalyst. Energies 2020, 13, 813. [Google Scholar] [CrossRef] [Green Version]
- Gołębiowski, A.; Stołecki, K.; Prokop, U.; Kuśmierowska, A.; Borowiecki, T.; Denis, A.; Sikorska, C. Influence of potassium on the properties of steam reforming catalysts. React. Kinet. Catal. Lett. 2004, 82, 179–189. [Google Scholar] [CrossRef]
- Borowiecki, T.; Giecko, G.; Panczyk, M. Effects of small MoO3 additions on the properties of nickel catalysts for the steam reforming of hydrocarbons: II. Ni–Mo/Al2O3 catalysts in reforming, hydrogenolysis and cracking of n-butane. Appl. Catal. A Gen. 2002, 230, 85–97. [Google Scholar] [CrossRef]
- Borowiecki, T.; Gac, W.; Denis, A. Effects of small MoO3 additions on the properties of nickel catalysts for the steam reforming of hydrocarbons: III. Reduction of Ni-Mo/Al2O3 catalysts. Appl. Catal. A Gen. 2004, 270, 27–36. [Google Scholar] [CrossRef]
- Fornasiero, P.; Balducci, G.; Di Monte, R.; Kašpar, J.; Sergo, V.; Gubitosa, G.; Ferrero, A.; Graziani, M. Modification of the Redox Behaviour of CeO2 Induced by Structural Doping with ZrO2. J. Catal. 1996, 164, 173–183. [Google Scholar] [CrossRef]
- Zhuang, Q.; Qin, Y.; Chang, L. Promoting effect of cerium oxide in supported nickel catalyst for hydrocarbon steam-reforming. Appl. Catal. 1991, 70, 1–8. [Google Scholar] [CrossRef]
- Laosiripojana, N.; Assabumrungrat, S. Methane steam reforming over Ni/Ce–ZrO2 catalyst: Influences of Ce–ZrO2 support on reactivity, resistance toward carbon formation, and intrinsic reaction kinetics. Appl. Catal. A Gen. 2005, 290, 200–211. [Google Scholar] [CrossRef]
- Tao, J.; Zhao, L.; Dong, C.; Lu, Q.; Du, X.; Dahlquist, E. Catalytic Steam Reforming of Toluene as a Model Compound of Biomass Gasification Tar Using Ni-CeO2/SBA-15 Catalysts. Energies 2013, 6, 3284–3296. [Google Scholar] [CrossRef] [Green Version]
- Zhou, S.; Chen, Z.; Gong, H.; Wang, X.; Zhu, T.; Zhou, Y. Low-temperature catalytic steam reforming of toluene as a biomass tar model compound over three-dimensional ordered macroporous Ni-Pt/Ce1−xZrxO2 catalysts. Appl. Catal. A Gen. 2020, 607, 117859. [Google Scholar] [CrossRef]
- Silveira, E.B.; Rabelo-Neto, R.C.; Noronha, F.B. Steam reforming of toluene, methane and mixtures over Ni/ZrO2 catalysts. Catal. Today 2017, 289, 289–301. [Google Scholar] [CrossRef]
- Bengaard, H.S.; Nørskov, J.K.; Sehested, J.; Clausen, B.S.; Nielsen, L.P.; Molenbroek, A.M.; Rostrup-Nielsen, J.R. Steam Reforming and Graphite Formation on Ni Catalysts. J. Catal. 2002, 209, 365–384. [Google Scholar] [CrossRef]
- Christensen, K.O.; Chen, D.; Lødeng, R.; Holmen, A. Effect of supports and Ni crystal size on carbon formation and sintering during steam methane reforming. Appl. Catal. A Gen. 2006, 314, 9–22. [Google Scholar] [CrossRef]
- Sehested, J. Four challenges for nickel steam-reforming catalysts. Catal. Today 2006, 111, 103–110. [Google Scholar] [CrossRef]
- Li, D.; Wang, L.; Koike, M.; Nakagawa, Y.; Tomishige, K. Steam reforming of tar from pyrolysis of biomass over Ni/Mg/Al catalysts prepared from hydrotalcite-like precursors. Appl. Catal. B Environ. 2011, 102, 528–538. [Google Scholar] [CrossRef]
- Chen, X.; Tadd, A.; Schwank, J. Carbon deposited on Ni/CeZrO isooctane autothermal reforming catalysts. J. Catal. 2007, 251, 374–387. [Google Scholar] [CrossRef]
- Bona, S.; Guillen, P.; Alcade, J.; Garcia, L.; Bilbao, R. Toluene steam reforming using coprecipitated Ni/Al catalysts modified with lanthanum or cobalt. Chem. Eng. J. 2008, 137, 587–597. [Google Scholar] [CrossRef]
- Gould, B.D.; Chen, X.; Schwank, J.W. N-Dodecane reforming over nickel-based monolith catalysts: Deactivation and carbon deposition. Appl. Catal. A Gen. 2008, 334, 277–290. [Google Scholar] [CrossRef]
- Kihlman, J.; Kaisalo, N.; Koskinen-Soivi, M.-L.; Simell, P.; Niemelä, M.; Lehtonen, J. Whisker carbon formation in catalytic steam reforming of biomass gasification gas. Appl. Catal. B Environ. 2018, 564, 133–141. [Google Scholar] [CrossRef]
- Jin, Q.; Wang, A.; Lu, B.; Xu, X.; Shen, Y.; Zeng, Y. Steam reforming of formaldehyde for generating hydrogen and coproducing carbon nanotubes for enhanced photosynthesis. Catal. Sci. Technol. 2020, 10, 4436–4447. [Google Scholar] [CrossRef]
- Quan, C.; Gao, N.; Wang, H.; Sun, H.; Wu, C.; Wang, X.; Ma, Z. Ethanol steam reforming on Ni/CaO catalysts for coproduction of hydrogen and carbon nanotubes. Int. J. Energy Res. 2019, 43, 1255–1271. [Google Scholar] [CrossRef]
- Zhang, Y.; Williams, P.T. Carbon nanotubes and hydrogen production from the pyrolysis catalysis or catalytic-steam reforming of waste tyres. J. Anal. Appl. Pyrolysis 2016, 122, 490–501. [Google Scholar] [CrossRef] [Green Version]
- Zhang, R.; Wang, B.; Tian, Y.; Ling, L. Quantum Chemistry Studies on the Free-radical Growth Mechanism of Polycyclic Arenes from Benzene Precursors. Chin. J. Chem. Eng. 2009, 17, 394–400. [Google Scholar] [CrossRef]
- Tian, Y.; Hu, Z.; Yang, Y.; Chen, X.; Ji, W.; Chen, Y. Thermal analysis–mass spectroscopy coupling as a powerful technique to study the growth of carbon nanotubes from benzene. Chem. Phys. Lett. 2004, 388, 259–262. [Google Scholar] [CrossRef]
- Tian, Y.; Hu, Z.; Yang, Y.; Wang, X.; Chen, X.; Xu, H.; Wu, Q.; Ji, W.; Chen, Y. In Situ TA-MS Study of the Six-Membered-Ring-Based Growth of Carbon Nanotubes with Benzene Precursor. J. Am. Chem. Soc. 2004, 126, 1180–1183. [Google Scholar] [CrossRef]
- Feng, H.; Ma, J.; Hu, Z. Six-Membered-Ring-Based Radical Mechanism for Catalytic Growth of Carbon Nanotubes with Benzene Precursor. J. Phys. Chem. C 2004, 113, 16495–16502. [Google Scholar] [CrossRef]
- Lee, D.C.; Mikulec, F.V.; Korgel, B.A. Carbon Nanotube Synthesis in Supercritical Toluene. J. Am. Chem. Soc. 2004, 126, 4951–4957. [Google Scholar] [CrossRef] [PubMed]
- Bion, N.; Epron, F.; Duprez, D. Bioethanol reforming for H2 production. A comparison with hydrocarbon reforming. In Catalysis: Volume 22; Spivey, J.J., Dooley, K.M., Eds.; RSC Publishing: London, UK, 2010; pp. 1–55. ISBN 9781847559517. [Google Scholar] [CrossRef] [Green Version]
- Wang, X.; Gorte, R.J. A study of steam reforming of hydrocarbon fuels on Pd/ceria. Appl. Catal. A Gen. 2002, 224, 209–218. [Google Scholar] [CrossRef]
- Doumani, T. Dealkylation of Organic Compounds. Benzene from Toluene. Ind. Eng. Chem. 1958, 50, 1677–1680. [Google Scholar] [CrossRef]
- Xi, M.; Bent, B.E. Iodobenzene on Cu(111): Formation and coupling of adsorbed phenyl groups. Surf. Sci. 1992, 278, 19–32. [Google Scholar] [CrossRef]
- Krishnankutty, N.; Rodriguez, N.M.; Baker, R.T.K. Effect of Copper on the Decomposition of Ethylene over an Iron Catalyst. J. Catal. 1996, 158, 217–227. [Google Scholar] [CrossRef]
- Rodriguez, N.M. A review of catalytically grown carbon nanofibers. J. Mater. Res. 1993, 8, 3233–3250. [Google Scholar] [CrossRef]
- Feng, H.; Qian, Z.; Wang, C.; Chen, C.; Chen, J. Theoretical investigation of formation mechanism of bipyridyl molecule on Ni(111) surface: Implication for synthesis of N-doped graphene from pyridine. Phys. Chem. Chem. Phys. 2011, 13, 6053–6058. [Google Scholar] [CrossRef]
- Seemann, M.; Thunman, H. Methane synthesis. In Substitute Natural Gas from Waste; Academic Press: Cambridge, MA, USA, 2019; pp. 221–243. [Google Scholar] [CrossRef]
- Hansen, H.A.; Wolverton, C. Kinetics and Thermodynamics of H2O Dissociation on Reduced CeO2(111). J. Phys. Chem. C 2014, 118, 27402–27414. [Google Scholar] [CrossRef]
- Kim, S.; Merkle, R.; Maier, J. Oxygen nonstoichiometry of nanosized ceria powder. Surf. Sci. 2004, 549, 196–202. [Google Scholar] [CrossRef]
- Kundakovic, L.; Mullins, D.R.; Overbury, S.H. Adsorption and Reaction of H2O and CO on Oxidized and Reduced Rh/CeOx(111) Surfaces. Surf. Sci. 2000, 457, 51–62. [Google Scholar] [CrossRef]
- Chen, B.; Ma, Y.; Ding, L.; Xu, L.; Wu, Z.; Yuan, Q.; Huang, W. Reactivity of Hydroxyls and Water on a CeO2(111) Thin Film Surface: The Role of Oxygen Vacancy. J. Phys. Chem. C 2013, 117, 5800–5810. [Google Scholar] [CrossRef]
- Henderson, M.A.; Perkins, C.L.; Engelhard, M.H.; Thevuthasan, S.; Peden, C.H.F. Redox Properties of Water on the Oxidized and Reduced Surfaces of CeO2(111). Surf. Sci. 2003, 526, 1–18. [Google Scholar] [CrossRef]
- Carrasco, J.; López-Durán, D.; Liu, Z.; Duchoň, T.; Evans, J.; Senanayake, S.D.; Crumlin, E.J.; Matolín, V.; Rodríguez, J.A.; Ganduglia-Pirovano, M.V. In Situ and Theoretical Studies for the Dissociation of Water on an Active Ni/CeO2 Catalyst: Importance of Strong Metal-Support Interactions for the Cleavage of O-H Bonds. Angew. Chem. Int. Ed. 2015, 54, 3917–3921. [Google Scholar] [CrossRef]











| Catalyst | T (°C) | C7H8 Conversion to CO/CO2 (%) | C7H8 Conversion to C6H6 (%) | Selectivity to C6H6 (%) | H2 Yield (%) |
|---|---|---|---|---|---|
| CeZrO2 | 500 | 1 | 1.51 | 60.1 | >1 |
| 600 | 22 | 1.89 | 7.9 | 30 | |
| 700 | 49 | 2.1 | 4.1 | 51 | |
| 800 | 73 | 0 | 0 | 64 | |
| 900 | 78 | 0 | 0 | 65 | |
| Ni/CeZrO2 | 400 | 21 | - | - | 36 |
| 450 | 36 | 0.15 | 0.4 | 47 | |
| 500 | 64 | 0.25 | 0.4 | 68 | |
| 600 | 88 | 0.21 | 0.2 | 86 | |
| 700 | 98 | 0 | 0 | 80 | |
| 800 | 97 | 0 | 0 | 81 | |
| 900 | 99 | 0 | 0 | 85 |
| T (°C) | C7H8 Conversion to C6H6 (%) | Selectivity to C6H6 (%) | ||
|---|---|---|---|---|
| S/C = 1 | S/C = 2.4 | S/C = 1 | S/C = 2.4 | |
| 420 | 2.1 | 0.6 | 7.2 | 0.9 |
| 500 | 1.6 | 0.5 | 2.5 | 0.6 |
| 600 | 1.3 | 0.2 | 1.7 | 0.2 |
| Ni/CeZrO2 | SBET (m2/g) | d (nm) |
|---|---|---|
| before SRT | 66 | 14.91 |
| after SRT at S/C = 1 | 78 | 14.12 |
| after SRT at S/C = 2.4 | 62 | 15.64 |
| after SRT at S/C = 4 | 65 | 19.62 |
| S/C | Weight Loss (%) | C (mg/gcat/h) |
|---|---|---|
| 1 | 5.4 | 0.45 |
| 1.2 | 3.1 | 0.26 |
| 2.4 | 1.6 | 0.13 |
| 4 | 0.6 | 0.05 |
| tc (s) | Weight Loss (%) | C (mg/gcat/h) |
|---|---|---|
| 0.003 | 6.8 | 0.57 |
| 0.03 | 3 | 0.25 |
| 0.08 | 1.8 | 0.15 |
| 0.13 | 1.7 | 0.14 |
| 0.36 | 1.6 | 0.13 |
| T (°C) | Weight Loss (%) | C (mg/gcat/h) |
|---|---|---|
| 600 | 3.8 | 0.32 |
| 700 | 1.9 | 0.16 |
| 800 | 1.3 | 0.11 |
Publisher’s Note: MDPI stays neutral with regard to jurisdictional claims in published maps and institutional affiliations. |
© 2022 by the author. Licensee MDPI, Basel, Switzerland. This article is an open access article distributed under the terms and conditions of the Creative Commons Attribution (CC BY) license (https://creativecommons.org/licenses/by/4.0/).
Share and Cite
Łamacz, A. Toluene Steam Reforming over Ni/CeZrO2—The Influence of Steam to Carbon Ratio and Contact Time on the Catalyst Performance and Carbon Deposition. Catalysts 2022, 12, 219. https://doi.org/10.3390/catal12020219
Łamacz A. Toluene Steam Reforming over Ni/CeZrO2—The Influence of Steam to Carbon Ratio and Contact Time on the Catalyst Performance and Carbon Deposition. Catalysts. 2022; 12(2):219. https://doi.org/10.3390/catal12020219
Chicago/Turabian StyleŁamacz, Agata. 2022. "Toluene Steam Reforming over Ni/CeZrO2—The Influence of Steam to Carbon Ratio and Contact Time on the Catalyst Performance and Carbon Deposition" Catalysts 12, no. 2: 219. https://doi.org/10.3390/catal12020219
APA StyleŁamacz, A. (2022). Toluene Steam Reforming over Ni/CeZrO2—The Influence of Steam to Carbon Ratio and Contact Time on the Catalyst Performance and Carbon Deposition. Catalysts, 12(2), 219. https://doi.org/10.3390/catal12020219
