Effect of the Colloidal Preparation Method for Supported Preformed Colloidal Au Nanoparticles for the Liquid Phase Oxidation of 1,6-Hexanediol to Adipic Acid
Abstract
1. Introduction
2. Results and Discussion
2.1. Characterization of the Catalysts
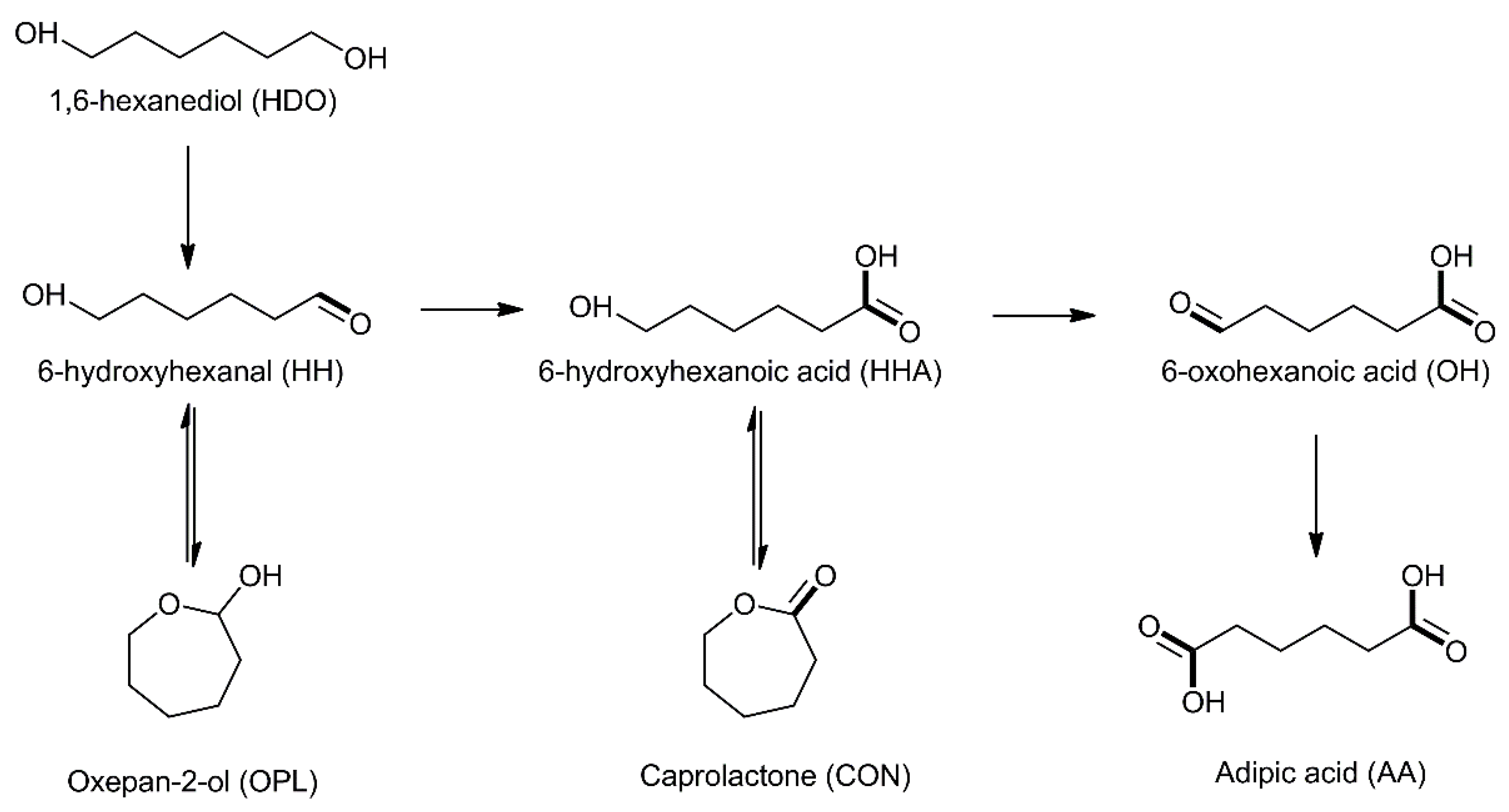
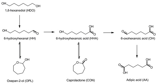
2.2. Catalytic Activity
2.2.1. Effect of Stabilizer and Polymer to Au Weight Ratio
2.2.2. Effect of Experimental Conditions on Optimized Au Catalysts
3. Materials and Methods
3.1. Materials
3.2. Catalyst Preparation
3.3. Characterization of Catalysts
3.4. Catalytic Test
4. Conclusions
Supplementary Materials
Author Contributions
Funding
Data Availability Statement
Acknowledgments
Conflicts of Interest
References
- Oppenheim, J.P.; Dickerson, G.L. Adipic acid. In Kirk-Othmer Encyclopedia of Chemical Technology, 5th ed.; John Wiley & Sons: Hoboken, NJ, USA, 2004; pp. 553–582. [Google Scholar]
- Van de Vyver, S.; Román-Leshkov, Y. Emerging catalytic processes for the production of adipic acid. Catal. Sci. Technol. 2013, 3, 1465–1479. [Google Scholar] [CrossRef]
- Beerthuis, R.; Rothenberg, G.; Raveendran Shiju, N. Catalytic routes towards acrylic acid, adipic acid and ε-caprolactam starting from biorenewables. Green. Chem. 2015, 17, 1341–1361. [Google Scholar] [CrossRef]
- Rahman, A.; Mupa, M.; Mahamadi, C. A mini review on new emerging trends for the synthesis of adipic acid from metal-nano heterogeneous catalysts. Catal. Lett. 2016, 146, 788–799. [Google Scholar] [CrossRef]
- Han, J. A bio-based ‘green’ process for catalytic adipic acid production from lignocellulosic biomass using cellulose and hemicellulose derived γ-valerolactone. Energy Convers. Manag. 2016, 129, 75–80. [Google Scholar] [CrossRef]
- Gunukula, S.; Anex, R.P. Techno-economic analysis of multiple bio-based routes to adipic acid. Biofuels Bioprod. Bioref. 2017, 11, 897–907. [Google Scholar] [CrossRef]
- Boussie, T.R.; Dias, E.L.; Fresco, Z.M.; Murphy, V.J. Production of Adipic Acid and Derivatives from Carbohydrate-Containing Materials. U.S. Patent 2010/0317822, 2010. [Google Scholar]
- Diamond, G.M.; Murphy, V.; Boussie, T.R. Modern Applications of High Throughput R & D Heterogenous Catalysis; Volpe, F., Ed.; Bentham Science Publishers: Al Sharjah, United Arab Emirates, 2014; pp. 288–309. [Google Scholar]
- Boussie, T.R.; Dias, E.L.; Fresco, Z.M.; Murphy, V.J.; Shoemaker, J.; Archer, R.; Jiang, H. Production of Adipic Acid and Derivatives from Carbohydrate-Containing Materials. U.S. Patent 2014/8669397, 2014. [Google Scholar]
- Wang, T.; Ide, M.S.; Nolan, M.R.; Davis, R.J.; Shanks, B.H. Renewable production of nylon-6,6 monomers from biomass-derived 5-hydroxymethylfurfural (HMF). Energy Environ. Focus 2016, 5, 13–17. [Google Scholar] [CrossRef][Green Version]
- Wan, X.; Zhou, C.; Chen, J.; Deng, W.; Zhang, Q.; Yang, Y.; Wang, Y. Base-free aerobic oxidation of 5-hydroxymethyl-furfural to 2,5-furandicarboxylic acid in water catalyzed by functionalized carbon nanotube-supported Au–Pd alloy nanoparticles. ACS Catal. 2014, 4, 2175–2185. [Google Scholar] [CrossRef]
- Lolli, A.; Albonetti, S.; Utili, L.; Amadori, R.; Ospitali, F.; Lucarelli, C.; Cavani, F. Insights into the reaction mechanism for 5-hydroxymethylfurfural oxidation to FDCA on bimetallic Pd–Au nanoparticles. Appl. Catal. A Gen. 2015, 504, 408–419. [Google Scholar] [CrossRef]
- Bianchi, C.L.; Canton, P.; Dimitratos, N.; Porta, F.; Prati, L. Selective oxidation of glycerol with oxygen using mono and bimetallic catalysts based on Au, Pd and Pt metals. Catal. Today 2005, 102, 203–212. [Google Scholar] [CrossRef]
- Enache, D.I.; Edwards, J.K.; Landon, P.; Solsona-Espriu, B.; Carley, A.F.; Herzing, A.A.; Watanabe, M.; Kiely, C.J.; Knight, D.W.; Hutchings, G.J. Solvent-free oxidation of primary alcohols to aldehydes using Au-Pd/TiO2 catalysts. Science 2006, 311, 362–365. [Google Scholar] [CrossRef]
- Villa, A.; Wang, D.; Su, D.; Veith, G.M.; Prati, L. Using supported Aunanoparticles as starting material for preparing uniform Au/Pd bimetallic catalysts. Phys. Chem. Chem. Phys. 2010, 12, 2183–2189. [Google Scholar] [CrossRef] [PubMed]
- Hou, W.; Dehm, N.; Scott, R. Alcohol oxidations in aqueous solutions using Au, Pd, and bimetallic AuPd nanoparticle catalysts. J. Catal. 2008, 253, 22–27. [Google Scholar] [CrossRef]
- Dimitratos, N.; Lopez-Sanchez, J.A.; Hutchings, G.J. Selective liquid phase oxidation with supported metal nanoparticles. Chem. Sci. 2012, 3, 20–44. [Google Scholar] [CrossRef]
- Dias, E.L.; Murphy, V.J.; Shoemaker, J.A.W. Process for Production of Adipic Acid from 1,6-Hexanediol. U.S. Patent 2013/0331606, 19 May 2015. [Google Scholar]
- Mounguengui-Diallo, M.; Vermersch, F.; Perret, N.; Pinel, C.; Besson, M. Base free oxidation of 1,6-hexanediol to adipic acid over supported noble metal mono- and bimetallic catalysts. Appl. Catal. A Gen. 2018, 551, 88–97. [Google Scholar] [CrossRef]
- Mounguengui-Diallo, M.; Sadier, A.; Da Silva Perez, D.; Nikitine, C.; Puchot, L.; Habibi, Y.; Pinel, C.; Perret, N.; Besson, M. Aerobic oxidation of C4–C6 α,ω-diols to the diacids in base-free medium over zirconia-supported (bi)metallic catalysts. New J. Chem. 2019, 43, 9873–9885. [Google Scholar] [CrossRef]
- Dimitratos, N.; Villa, A.; Prati, L.; Hammond, C.; Chan-Thaw, C.E.; Cookson, J.; Bishop, P.T. Effect of the preparation method of supported Au nanoparticles in the liquid phase oxidation of glycerol. Appl. Catal. A Gen. 2016, 514, 267–275. [Google Scholar] [CrossRef]
- Capelli, S.; Motta, D.; Evangelisti, C.; Dimitratos, N.; Prati, L.; Pirola, C.; Villa, A. Effect of carbon support, capping agent amount, and Pd NPs size for bio-adipic acid production from muconic acid and sodium muconate. Nanomaterials 2020, 10, 505. [Google Scholar] [CrossRef]
- Freakley, S.J.; Agarwal, N.; McVicker, R.U.; Althahban, S.; Lewis, R.J.; Morgan, D.J.; Dimitratos, N.; Kiely, C.J.; Hutchings, G.J. Gold–palladium colloids as catalysts for hydrogen peroxide synthesis, degradation and methane oxidation: Effect of the PVP stabiliser. Catal. Sci. Technol. 2020, 17, 5935–5944. [Google Scholar] [CrossRef]
- Yang, N.; Pattisson, S.; Douthwaite, M.; Zeng, G.; Zhang, H.; Ma, J.; Hutchings, G.J. Influence of stabilizers on the performance of Au/TiO2 catalysts for CO oxidation. ACS Catal. 2021, 11, 11607–11615. [Google Scholar] [CrossRef]
- Li, Y.; El-Sayed, M.A. The effect of stabilizers on the catalytic activity and stability of Pd colloidal nanoparticles in the Suzuki reactions in aqueous solution. J. Phys. Chem. B 2001, 105, 8938–8943. [Google Scholar] [CrossRef]
- Ansar, S.M.; Kitchens, C.L. Impact of gold nanoparticle stabilizing ligands on the colloidal catalytic reduction of 4-nitrophenol. ACS Catal. 2016, 6, 5553–5560. [Google Scholar] [CrossRef]
- Lee, K.Y.; Lee, Y.W.; Lee, J.H.; Han, S.W. Effect of ligand structure on the catalytic activity of Au nanocrystals. Colloids Surf. A Physicochem. Eng. Aspects 2010, 372, 146–150. [Google Scholar] [CrossRef]
- Jia, C.J.; Schüth, F. Colloidal metal nanoparticles as a component of designed catalyst. Phys. Chem. Chem. Phys. 2011, 13, 2457–2487. [Google Scholar] [CrossRef] [PubMed]
- Rossi, L.M.; Fiorio, J.L.; Garcia, M.A.S.; Ferraz, C.P. The role and fate of capping ligands in colloidally prepared metal nanoparticle catalysts. Dalton Trans. 2018, 47, 5889–5915. [Google Scholar] [CrossRef] [PubMed]
- Campisi, S.; Schiavoni, M.; Chan-Thaw, C.E.; Villa, A. Untangling the role of the capping agent in nanocatalysis: Recent advances and perspectives. Catalysts 2016, 6, 185. [Google Scholar] [CrossRef]
- Dimitratos, N.; Lopez-Sanchez, J.A.; Morgan, D.; Carley, A.; Prati, L.; Hutchings, G.J. Solvent free liquid phase oxidation of benzyl alcohol using Au supported catalysts prepared using a sol immobilization technique. Catal. Today 2007, 122, 317–324. [Google Scholar] [CrossRef]
- Pritchard, J.; Kesavan, L.; Piccinini, M.; He, Q.; Tiruvalam, R.; Dimitratos, N.; Lopez-Sanchez, J.A.; Carley, A.F.; Edwards, J.K.; Kiely, C.J.; et al. Direct synthesis of hydrogen peroxide and benzyl alcohol oxidation using Au−Pd catalysts prepared by sol immobilization. Langmuir 2010, 26, 16568–16577. [Google Scholar] [CrossRef]
- Haiss, W.; Thanh, N.T.K.; Aveyard, J.; Fernig, D.G. Determination of size and concentration of gold nanoparticles from UV−Vis spectra. Anal. Chem. 2007, 79, 4215–4221. [Google Scholar] [CrossRef] [PubMed]
- Link, S.; El-Sayed, M.A. Size and temperature dependence of the plasmon absorption of colloidal gold nanoparticles. J. Phys. Chem. B 1999, 103, 4212–4217. [Google Scholar] [CrossRef]
- Tsunoyama, H.; Sakurai, H.; Ichikuni, N.; Negishi, Y.; Tsukuda, T. Colloidal gold nanoparticles as catalyst for carbon−carbon bond formation: Application to aerobic homocoupling of phenylboronic acid in water. Langmuir 2004, 20, 11293–11296. [Google Scholar] [CrossRef]
- Zhong, R.-Y.; Sun, K.-Q.; Hong, Y.-C.; Xu, B.-Q. Impacts of organic stabilizers on catalysis of Au nanoparticles from colloidal preparation. ACS Catal. 2014, 4, 3982–3993. [Google Scholar] [CrossRef]
- Agarwal, N.; Freakley, S.J.; McVicker, R.U.; Althahban, S.M.; Dimitratos, N.; He, Q.; Morgan, D.J.; Jenkins, R.L.; Willock, D.J.; Taylor, S.H.; et al. Aqueous Au-Pd colloids catalyze selective CH4 oxidation to CH3OH with O2 under mild conditions. Science 2017, 358, 223–227. [Google Scholar] [CrossRef] [PubMed]
- Visco, A.M.; Neri, F.; Neri, G.; Donato, A.; Milone, C.; Galvagno, S. X-ray photoelectron spectroscopy of Au/Fe2O3 catalyst. Phys. Chem. Chem. Phys. 1999, 1, 2869–2873. [Google Scholar] [CrossRef]
- Zwijnenburg, A.; Goosens, A.; Sloof, W.G.; Graje, M.W.J.; Kraan, A.M.; Jongth, L.J.; Makee, M.; Moulijn, J.A. XPS and Mössbauer characterization of Au/TiO2 propene epoxidation catalysts. J. Phys. Chem. B 2002, 106, 9853–9862. [Google Scholar] [CrossRef]
- Dimitratos, N.; Villa, A.; Bianchi, C.L.; Prati, L.; Makkee, M. Gold on titania: Effect of preparation method in the liquid phase oxidation. Appl. Catal. A 2006, 311, 185–192. [Google Scholar] [CrossRef]
- Capece, N.; Sadier, A.; Ferraz, C.P.; Thuriot-Roukos, J.; Pietrowski, M.; Zieliński, M.; Paul, S.; Cavani, F.; Wojcieszak, R. Aerobic oxidation of 1,6-hexanediol to adipic acid over Au-based catalysts: The role of basic supports. Catal. Sci. Technol. 2020, 10, 2644–2651. [Google Scholar] [CrossRef]
- Hashmi, A.S.K.; Hutchings, G.J. Gold catalysis. Angewandte Chemie Int. Ed. 2006, 45, 7896–7936. [Google Scholar] [CrossRef] [PubMed]
- Pina, C.D.; Falletta, E.; Prati, L.; Rossi, M. Selective oxidation using gold. Chem. Soc. Rev. 2008, 37, 2077–2095. [Google Scholar] [CrossRef]
- Villa, A.; Dimitratos, N.; Chan-Thaw, C.E.; Hammond, C.; Prati, L.; Hutchings, G.J. Glycerol oxidation using gold-containing catalysts. Acc. Chem. Res. 2015, 48, 1403–1412. [Google Scholar] [CrossRef]
- Carrettin, S.; McMorn, P.; Johnston, P.; Griffin, K.; Kiely, C.J.; Hutchings, G.J. Oxidation of glycerol using supported Pt, Pd and Au catalysts. Phys. Chem. Chem. Phys. 2003, 5, 1329–1336. [Google Scholar] [CrossRef]
- Porta, F.; Prati, L. Selective oxidation of glycerol to sodium glycerate with gold-on-carbon catalyst: An insight into reaction selectivity. J. Catal. 2004, 224, 397–403. [Google Scholar] [CrossRef]
- Ferraz, C.; Zielinski, M.; Pietrowski, M.; Heyte, S.; Dumeignil, F.; Rossi, L.M.; Wojcieszak, R. Influence of support basic sites in green oxidation of biobased substrates using Au-promoted catalysts. ACS Sustain. Chem. Eng. 2018, 6, 16332–16340. [Google Scholar] [CrossRef]
- Lopez-Sanchez, J.A.; Dimitratos, N.; Hammond, C.; Brett, G.L.; Kesavan, L.; White, S.; Miedziak, P.; Tiruvalam, R.; Jenkins, R.L.; Carley, A.F.; et al. Facile removal of stabilizer-ligands from supported gold nanoparticles. Nat. Chem. 2011, 3, 551–556. [Google Scholar] [CrossRef] [PubMed]
- Scurti, S.; Monti, E.; Rodríguez-Aguado, E.; Caretti, D.; Cecilia, J.A.; Dimitratos, N. Effect of polyvinyl alcohol ligands on supported gold nano-catalysts: Morphological and kinetics studies. Nanomaterials 2021, 11, 879. [Google Scholar] [CrossRef] [PubMed]
- Luciania, S.; Cavani, F.; Dal Santo, V.; Dimitratos, N.; Rossi, M.; Bianchi, C.L. The mechanism of surface doping in vanadyl pyrophosphate, catalyst for n-butane oxidation to maleic anhydride: The role of Au promoter. Catal. Today 2011, 169, 200–206. [Google Scholar] [CrossRef]









| Samples | Stabilizing Polymer | Polymer:Au Weight Ratio | Mean Particle Size of Au (nm) |
|---|---|---|---|
| Au/AC_0 | None | 0 | 7.9 ± 6.3 |
| Au/AC_PVA_0.3 | 0.3 | 4.3 ± 3.6 | |
| Au/AC_PVA_0.6 | PVA | 0.6 | 2.7± 1.6 |
| Au/AC_PVA_1.2 | 1.2 | 2.6± 2.1 | |
| Au/AC_PVA_2.4 | 2.4 | 2.4± 1.2 | |
| Au/AC_PVP_0.3 | 0.3 | 5.5± 3.6 | |
| Au/AC_PVP_0.65 | PVP | 0.65 | 5.6 ± 3.9 |
| Au/AC_PVP_1.2 | 1.2 | 7.4± 4.7 | |
| Au/AC_PVP_2.4 | 2.4 | 8.4 ± 4.9 |
| Samples | BE Gold (eV) | Au on Surface (at%) | C on Surface (at%) | N on Surface (at%) | Surface Atomic Ratio Au/C |
|---|---|---|---|---|---|
| Au/AC _0 | 84.0 | 2.61 | 91.64 | - | 0.028 |
| Au/AC_ PVA0.3 | 84.1 | 3.48 | 87.52 | - | 0.039 |
| Au/AC_ PVA0.6 | 84.1 | 2.80 | 85.80 | - | 0.033 |
| Au/AC_PVA1.2 | 84.1 | 2.40 | 82.55 | - | 0.029 |
| Au/AC_PVA2.4 | 84.1 | 1.81 | 82.53 | - | 0.022 |
| Au/AC_PVP0.3 | 84.0 | 1.43 | 90.94 | 2.10 | 0.016 |
| Au/AC_PVP0.65 | 84.0 | 1.17 | 88.69 | 3.25 | 0.013 |
| Au/AC_ PVP1.2 | 84.0 | 0.15 | 90.81 | 2.90 | 0.0016 |
| Au/AC_PVP2.4 | 84.1 | 0.12 | 89.53 | 3.60 | 0.0013 |
| Atomic Concentration (%) | ||||
|---|---|---|---|---|
| Catalysts | C | Au | Na | Au/C |
| Au/AC_PVA Fresh | 82.55 | 2.4 | 0.0 | 0.029 |
| Au/AC_PVA Spent | 88.32 | 0.18 | 1.47 | 0.002 |
| Au/AC_PVP Fresh | 90.81 | 0.15 | 0.0 | 0.0016 |
| Au/AC_PVP Spent | 86.22 | 0.12 | 1.45 | 0.001 |
Publisher’s Note: MDPI stays neutral with regard to jurisdictional claims in published maps and institutional affiliations. |
© 2022 by the authors. Licensee MDPI, Basel, Switzerland. This article is an open access article distributed under the terms and conditions of the Creative Commons Attribution (CC BY) license (https://creativecommons.org/licenses/by/4.0/).
Share and Cite
Monti, E.; Ventimiglia, A.; Garcia Soto, C.A.; Martelli, F.; Rodríguez-Aguado, E.; Cecilia, J.A.; Sadier, A.; Ospitali, F.; Tabanelli, T.; Albonetti, S.; et al. Effect of the Colloidal Preparation Method for Supported Preformed Colloidal Au Nanoparticles for the Liquid Phase Oxidation of 1,6-Hexanediol to Adipic Acid. Catalysts 2022, 12, 196. https://doi.org/10.3390/catal12020196
Monti E, Ventimiglia A, Garcia Soto CA, Martelli F, Rodríguez-Aguado E, Cecilia JA, Sadier A, Ospitali F, Tabanelli T, Albonetti S, et al. Effect of the Colloidal Preparation Method for Supported Preformed Colloidal Au Nanoparticles for the Liquid Phase Oxidation of 1,6-Hexanediol to Adipic Acid. Catalysts. 2022; 12(2):196. https://doi.org/10.3390/catal12020196
Chicago/Turabian StyleMonti, Eleonora, Alessia Ventimiglia, Carolina Alejandra Garcia Soto, Francesca Martelli, Elena Rodríguez-Aguado, Juan Antonio Cecilia, Achraf Sadier, Francesca Ospitali, Tommaso Tabanelli, Stefania Albonetti, and et al. 2022. "Effect of the Colloidal Preparation Method for Supported Preformed Colloidal Au Nanoparticles for the Liquid Phase Oxidation of 1,6-Hexanediol to Adipic Acid" Catalysts 12, no. 2: 196. https://doi.org/10.3390/catal12020196
APA StyleMonti, E., Ventimiglia, A., Garcia Soto, C. A., Martelli, F., Rodríguez-Aguado, E., Cecilia, J. A., Sadier, A., Ospitali, F., Tabanelli, T., Albonetti, S., Cavani, F., Wojcieszak, R., & Dimitratos, N. (2022). Effect of the Colloidal Preparation Method for Supported Preformed Colloidal Au Nanoparticles for the Liquid Phase Oxidation of 1,6-Hexanediol to Adipic Acid. Catalysts, 12(2), 196. https://doi.org/10.3390/catal12020196

