Quinoline Derivatives with Different Functional Groups: Evaluation of Their Catecholase Activity
Abstract
1. Introduction
2. Results and Discussions
3. Materials and Methods
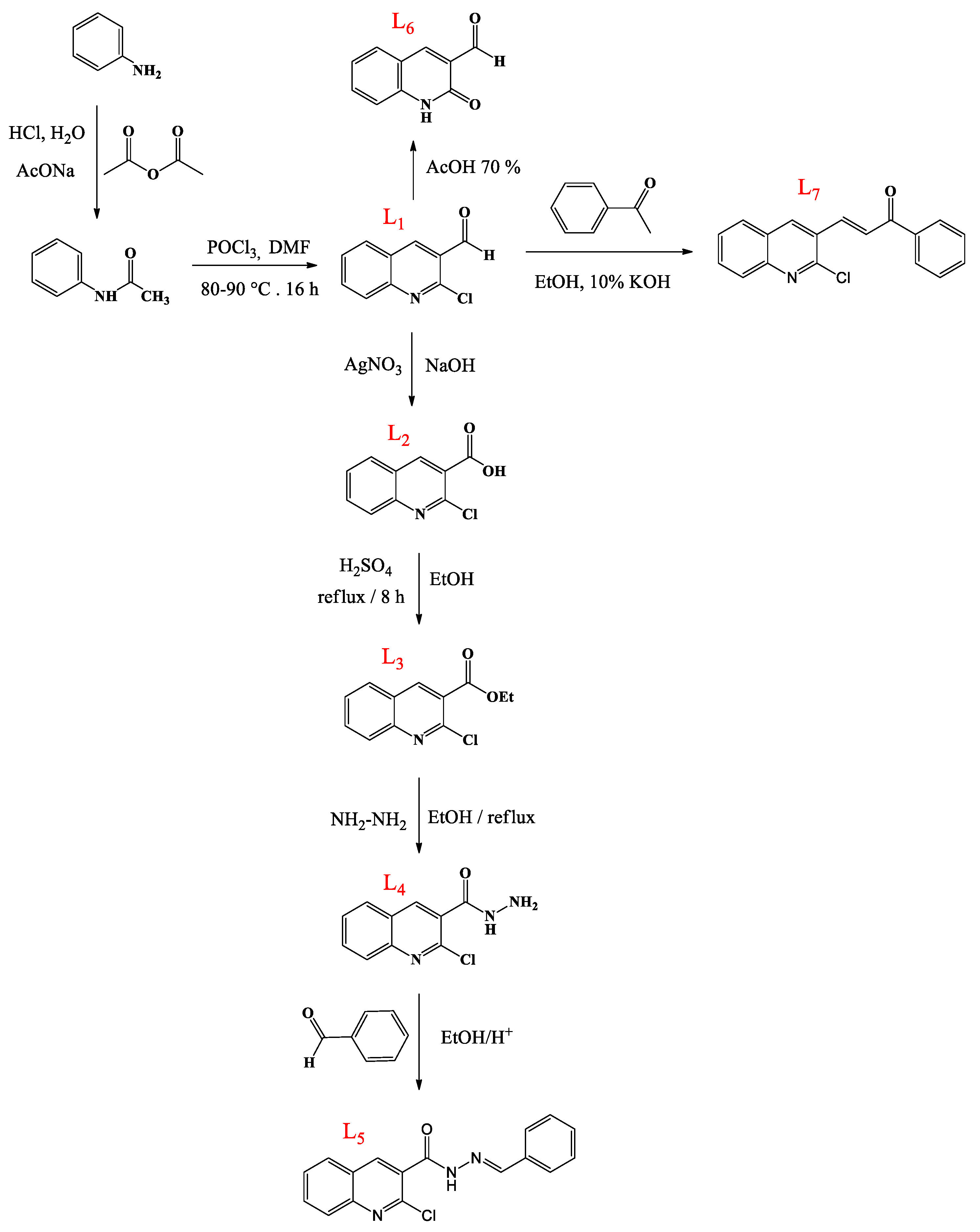
3.1. Reaction and Method
3.2. Synthesis of Ligands
4. Conclusions
Supplementary Materials
Author Contributions
Funding
Data Availability Statement
Acknowledgments
Conflicts of Interest
References
- Trammell, R.; Rajabimoghadam, K.; Garcia-Bosch, I. Copper-promoted functionalization of organic molecules: From biologically relevant Cu/O2 model systems to organometallic transformations. Chem. Rev. 2019, 119, 2954–3031. [Google Scholar] [CrossRef] [PubMed]
- Tripathy, R.; Singha, S.; Sarkar, S. A review on bio-functional models of catechol oxidase probed by less explored first-row transition metals. J. Coord. Chem. 2022, 8, 1–51. [Google Scholar] [CrossRef]
- Hauser, D.; Septiadi, D.; Turner, J.; Petri-Fink, A.; Rothen-Rutishauser, B. From bioinspired glue to medicine: Polydopamine as a biomedical material. Materials 2020, 13, 1730. [Google Scholar] [CrossRef] [PubMed]
- Tabassum, R.; Ashfaq, M.; Oku, H. Current pharmaceutical aspects of synthetic quinoline derivatives. Mini-Rev. Med. Chem. 2021, 21, 1152–1172. [Google Scholar] [CrossRef] [PubMed]
- Insuasty, D.; Vidal, O.; Bernal, A.; Marquez, E.; Guzman, J. Antimicrobial activity of quinoline-based hydroxyimidazolium hybrids. Antibiotics 2019, 8, 239. [Google Scholar] [CrossRef]
- Guan, Y.F.; Liu, X.J.; Yuan, X.Y.; Liu, W.B.; Li, Y.R.; Yu, G.X.; Zhang, S.Y. Design, Synthesis, and Anticancer Activity Studies of Novel Quinoline-Chalcone Derivatives. Molecules 2021, 26, 4899. [Google Scholar] [CrossRef]
- Diaconu, D.; Antoci, V.; Mangalagiu, V.; Amariucai-Mantu, D.; Mangalagiu, I.I. Quinoline–imidazole/benzimidazole derivatives as dual-/multi-targeting hybrids inhibitors with anticancer and antimicrobial activity. Sci. Rep. 2022, 12, 1–17. [Google Scholar] [CrossRef]
- Zablotsky, D.; Segal, I.; Zablotskaya, A.; Maiorov, M.; Nguyen, T.A. 19—Antimicrobial Activity of Hybrid Organic-Inorganic Core-Shell Magnetic Nanocomposites. In Magnetic Nanoparticle-Based Hybrid Materials; Woodhead Publishing: Cambridge, UK, 2021; pp. 501–507. ISBN 978-0-12-823688-8. [Google Scholar] [CrossRef]
- Ajani, O.O.; Iyaye, K.T.; Ademosun, O.T. Recent advances in chemistry and therapeutic potential of functionalized quinoline motifs–A review. RSC Adv. 2022, 12, 18594–18614. [Google Scholar] [CrossRef]
- Qin, T.H.; Liu, J.C.; Zhang, J.Y.; Tang, L.X.; Ma, Y.N.; Yang, R. Synthesis and biological evaluation of new 2-substituted-4-amino-quinolines and-quinazoline as potential antifungal agents. Bioorganic Med. Chem. Lett. 2022, 72, 128877. [Google Scholar] [CrossRef]
- Wyman, K.A.; Girgis, A.S.; Surapaneni, P.S.; Moore, J.M.; Abo Shama, N.M.; Mahmoud, S.H.; Panda, S.S. Synthesis of Potential Antiviral Agents for SARS-CoV-2 Using Molecular Hybridization Approach. Molecules 2022, 27, 5923. [Google Scholar] [CrossRef]
- Ji, K.L.; Liu, W.; Yin, W.H.; Li, J.Y.; Yue, J.M. Quinoline alkaloids with anti-inflammatory activity from Zanthoxylum avicennae. Org. Biomol. Chem. 2022, 20, 4176–4182. [Google Scholar] [CrossRef] [PubMed]
- Abdi, B.; Fekadu, M.; Zeleke, D.; Eswaramoorthy, R.; Melaku, Y. Synthesis and Evaluation of the Antibacterial and Antioxidant Activities of Some Novel Chloroquinoline Analogs. J. Chem. 2021, 2021, 2408006. [Google Scholar] [CrossRef]
- El-Saghier, A.M.; El-Naggar, M.; Husseinm, A.H.M.; El-Adasy, A.B.A.; Olish, M.; Abdelmonsef, A.H. Eco-Friendly Synthesis, Biological Evaluation, and In Silico Molecular Docking Approach of Some New Quinoline Derivatives as Potential Antioxidant and Antibacterial Agents. Front. Chem. 2021, 397, 679967. [Google Scholar] [CrossRef] [PubMed]
- El Rhabori, S.; El Aissouq, A.; Chtita, S.; Khalil, F. Design of novel quinoline derivatives as anti-breast cancer using 3D-QSAR, molecular docking, and pharmacokinetic investigation. Anti-Cancer Drugs 2022, 33, 789–802. [Google Scholar] [CrossRef] [PubMed]
- Gentile, D.; Fuochi, V.; Rescifina, A.; Furneri, P.M. New Anti SARS-CoV-2 Targets for Quinoline Derivatives Chloroquine and Hydroxychloroquine. Int. J. Mol. Sci. 2020, 21, 5856. [Google Scholar] [CrossRef]
- Verma, C.; Quraishi, M.A.; Ebenso, E.E. Quinoline and its derivatives as corrosion inhibitors: A review. Surf. Interfaces 2020, 21, 100634. [Google Scholar] [CrossRef]
- Alamiery, A. Investigations on corrosion inhibitory effect of newly quinoline derivative on mild steel in HCl solution complemented with antibacterial studies. Biointerface Res. Appl. Chem. 2022, 2, 1561–1568. [Google Scholar]
- Da Silva Neto, G.J.; Silva, L.R.; Annunciato, Y. Dual quinoline-hybrid compounds with antimalarial activity against Plasmodium falciparum parasites. New J. Chem. 2022, 46, 6502–6518. [Google Scholar] [CrossRef]
- Saddik, R.; Abrigach, F.; Benchat, N.; El Kadiri, S.; Hammouti, B.; Touzani, R. Catecholase Activity Investigation for Pyridazinone- and Thiopyridazinone-Based Ligands. Res. Chem. Intermed. 2012, 38, 1987–1998. [Google Scholar] [CrossRef]
- Belferdi, F.; Merabet, N.; Belkhiri, L.; Douara, B. Regioselective demethylation of quinoline derivatives. A DFT rationalization. J. Mol. Struct. 2016, 1118, 10–17. [Google Scholar] [CrossRef]
- Syniugin, A.R.; Chekanov, M.O.; Volynets, G.P.; Starosyla, S.A.; Bdzhola, V.G.; Yarmoluk, S.M. Design, synthesis, and evaluation of 3-quinoline carboxylic acids as new inhibitors of protein kinase CK2. J. Enzym. Inhib. Med. Chem. 2016, 31, 160–169. [Google Scholar] [CrossRef] [PubMed]
- Krishnakumar, V.; Khan, F.-R.N.; Mandal, B.K.; Mitta, S.; Dhasamandha, R.; Govindan, V.N. Quinoline-3-Carboxylates as Potential Antibacterial Agents. Res. Chem. Intermed. 2012, 38, 1819–1826. [Google Scholar] [CrossRef]
- Abass, M.; Alzandi, A.R.A.; Hassan, M.M.; Mohamed, N. Recent Advances on Diversity Oriented Heterocycle Synthesis of Fused Quinolines and Its Biological Evaluation. Polycycl. Aromat. Compd. 2021, 41, 2120–2209. [Google Scholar] [CrossRef]
- As, T.; Sal, S. Synthesis and Characterisation of Substituted Quinoline by Vilsmeier-Haack Reagent. Int. J. Chem. Stud. 2017, 5, 1–4. [Google Scholar]
- Hamama, W.S.; Ibrahim, M.E.; Gooda, A.A.; Zoorob, H.H. Recent Advances in the Chemistry of 2-Chloroquinoline-3-Carbaldehyde and Related Analogs. RSC Adv. 2018, 8, 8484–8515. [Google Scholar] [CrossRef] [PubMed]
- Li, W.; Xu, F.; Shuai, W.; Sun, H.; Yao, H.; Ma, C.; Xu, S.; Yao, H.; Zhu, Z.; Yang, D.-H.; et al. Discovery of Novel Quinoline–Chalcone Derivatives as Potent Antitumor Agents with Microtubule Polymerization Inhibitory Activity. J. Med. Chem. 2019, 62, 993–1013. [Google Scholar] [CrossRef]





| Cu(OAc)2 | CuSO4 | Cu(NO3)2 | CuCl2 | Ligands Only | |
|---|---|---|---|---|---|
| L1 | 71.38 | 34.86 | 16.53 | 13.33 | 11.39 |
| L2 | 94.30 | 26.25 | 18.61 | 11.25 | 10.83 |
| L3 | 85.27 | 27.91 | 17.36 | 12.22 | 12.08 |
| L4 | 126.80 | 65.13 | 31.25 | 15.55 | 12.64 |
| L5 | 114.44 | 52.63 | 27.64 | 14.03 | 8.61 |
| L6 | 69.30 | 26.53 | 14.03 | 11.39 | 7.92 |
| L7 | 89.58 | 48.75 | 17.91 | 12.64 | 7.08 |
| Salt only | 47.63 | 17.91 | 13.33 | 5.83 | |
| Without catalysis | 2.78 | ||||
Publisher’s Note: MDPI stays neutral with regard to jurisdictional claims in published maps and institutional affiliations. |
© 2022 by the authors. Licensee MDPI, Basel, Switzerland. This article is an open access article distributed under the terms and conditions of the Creative Commons Attribution (CC BY) license (https://creativecommons.org/licenses/by/4.0/).
Share and Cite
Moutaouakil, M.; Tighadouini, S.; M. Almarhoon, Z.; I. Al-Zaben, M.; Ben Bacha, A.; H. Masand, V.; Jamaleddine, J.; Saddik, R. Quinoline Derivatives with Different Functional Groups: Evaluation of Their Catecholase Activity. Catalysts 2022, 12, 1468. https://doi.org/10.3390/catal12111468
Moutaouakil M, Tighadouini S, M. Almarhoon Z, I. Al-Zaben M, Ben Bacha A, H. Masand V, Jamaleddine J, Saddik R. Quinoline Derivatives with Different Functional Groups: Evaluation of Their Catecholase Activity. Catalysts. 2022; 12(11):1468. https://doi.org/10.3390/catal12111468
Chicago/Turabian StyleMoutaouakil, Mohamed, Said Tighadouini, Zainab M. Almarhoon, Maha I. Al-Zaben, Abir Ben Bacha, Vijay H. Masand, Jamal Jamaleddine, and Rafik Saddik. 2022. "Quinoline Derivatives with Different Functional Groups: Evaluation of Their Catecholase Activity" Catalysts 12, no. 11: 1468. https://doi.org/10.3390/catal12111468
APA StyleMoutaouakil, M., Tighadouini, S., M. Almarhoon, Z., I. Al-Zaben, M., Ben Bacha, A., H. Masand, V., Jamaleddine, J., & Saddik, R. (2022). Quinoline Derivatives with Different Functional Groups: Evaluation of Their Catecholase Activity. Catalysts, 12(11), 1468. https://doi.org/10.3390/catal12111468

