Rapid and Simple Microwave-Assisted Synthesis of Benzoxazoles Catalyzed by [CholineCl][Oxalic Acid]
Abstract
1. Introduction
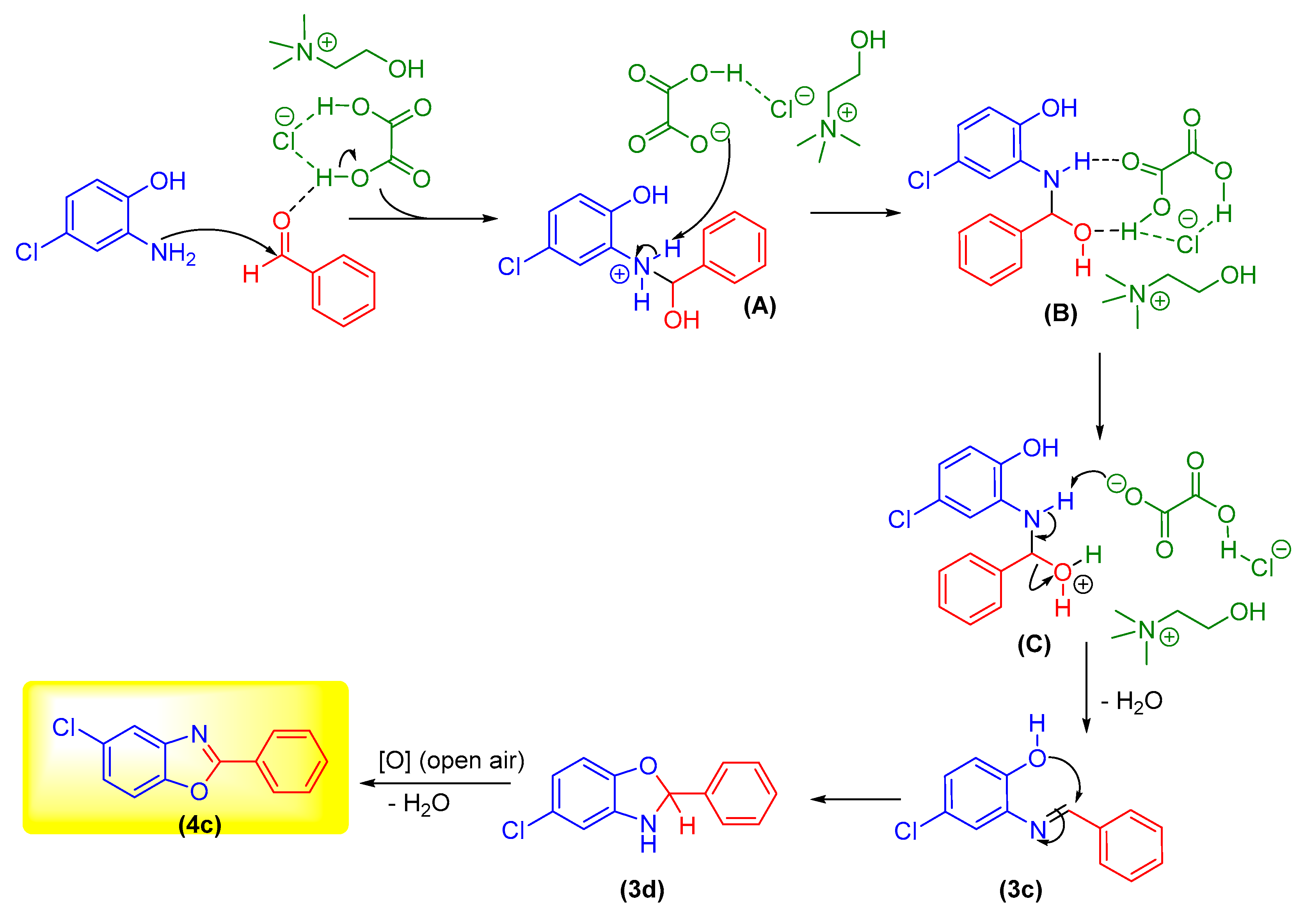
2. Results and Discussion
3. Experimental Section
3.1. Chemicals and Equipment
3.2. Synthesis of [CholineCl][Oxalic Acid]
3.3. Synthesis of Benzoxazole Derivatives
3.4. Recycling of [CholineCl][Oxalic Acid]
3.5. Spectroscopy Data
4. Conclusions
Supplementary Materials
Author Contributions
Funding
Data Availability Statement
Acknowledgments
Conflicts of Interest
References
- Gorla, S.K.; Kavitha, M.; Zhang, M.; Chin, J.E.W.; Liu, X.; Striepen, B.; Makowska-Grzyska, M.; Kim, Y.; Joachimiak, A.; Hedstrom, L.; et al. Optimization of Benzoxazole-Based Inhibitors of Cryptosporidium parvum Inosine 5′-Monophosphate Dehydrogenase. J. Med. Chem. 2013, 56, 4028–4043. [Google Scholar] [CrossRef]
- Seth, K.; Garg, S.K.; Kumar, R.; Purohit, P.; Meena, V.S.; Goyal, R.; Banerjee, U.C.; Chakraborti, A.K. 2-(2-Arylphenyl)benzoxazole As a Novel Anti-Inflammatory Scaffold: Synthesis and Biological Evaluation. ACS Med. Chem. Lett. 2014, 5, 512–516. [Google Scholar] [CrossRef]
- Gerova, M.S.; Stateva, S.R.; Radonova, E.M.; Kalenderska, R.B.; Rusew, R.I.; Nikolova, R.P.; Chanev, C.D.; Shivachev, B.L.; Apostolova, M.D.; Petrov, O.I. Combretastatin A-4 analogues with benzoxazolone scaffold: Synthesis, structure and biological activity. Eur. J. Med. Chem. 2016, 120, 121–133. [Google Scholar] [CrossRef]
- Abdelgawad, M.A.; Bakr, R.B.; Omar, H.A. Design, synthesis and biological evaluation of some novel benzothiazole/benzoxazole and/or benzimidazole derivatives incorporating a pyrazole scaffold as antiproliferative agents. Bioorg. Chem. 2017, 74, 82–90. [Google Scholar] [CrossRef]
- Zhang, W.; Liu, J.; Macho, J.M.; Jiang, X.; Xie, D.; Jiang, F.; Liu, W.; Fu, L. Design, synthesis and antimicrobial evaluation of novel benzoxazole derivatives. Eur. J. Med. Chem. 2017, 126, 7–14. [Google Scholar] [CrossRef]
- Desai, S.; Desai, V.; Shingade, S. In-vitro anti-cancer assay and apoptotic cell pathway of newly synthesized benzoxazole-N-heterocyclic hybrids as potent tyrosine kinase inhibitors. Bioorg. Chem. 2020, 94, 103382. [Google Scholar] [CrossRef]
- Sirgamalla, R.; Kommakula, A.; Konduru, S.; Ponakanti, R.; Devaram, J.; Boda, S. Copper-catalyzed an efficient synthesis, characterization of 2-substituted benzoxazoles, 2-substituted benzothiazoles derivatives and their anti-fungal activity. Chem. Data Collect. 2020, 27, 100362. [Google Scholar] [CrossRef]
- Zheng, L.-L.; Yin, B.; Tian, X.-C.; Yuan, M.-Y.; Li, X.-H.; Gao, F. Pd/Cu bimetallic co-catalyzed direct 2-arylation of benzoxazole with aryl chloride. Tetrahedron Lett. 2019, 60, 151316. [Google Scholar] [CrossRef]
- Khalafi-Nezhad, A.; Panahi, F. Ruthenium-Catalyzed Synthesis of Benzoxazoles Using Acceptorless Dehydrogenative Coupling Reaction of Primary Alcohols with 2-Aminophenol under Heterogeneous Conditions. ACS Catal. 2014, 4, 1686–1692. [Google Scholar] [CrossRef]
- Oshimoto, K.; Tsuji, H.; Kawatsura, M. Synthesis of benzoxazoles via the copper-catalyzed hydroamination of alkynones with 2-aminophenols. Org. Biomol. Chem. 2019, 17, 4225–4229. [Google Scholar] [CrossRef]
- Niu, Z.-J.; Li, L.-H.; Liu, X.-Y.; Liang, Y.-M. Transition-Metal-Free Alkylation/Arylation of Benzoxazole via Tf2O-Activated-Amide. Adv. Synth. Catal. 2019, 361, 5217–5222. [Google Scholar] [CrossRef]
- Tian, Q.; Luo, W.; Gan, Z.; Li, D.; Dai, Z.; Wang, H.; Wang, X.; Yuan, J. Eco-Friendly Syntheses of 2-Substituted Benzoxazoles and 2-Substituted Benzothiazoles from 2-Aminophenols, 2-Aminothiophenols and DMF Derivatives in the Presence of Imidazolium Chloride. Molecules 2019, 24, 174. [Google Scholar] [CrossRef]
- Yang, J. Pyrazole-3-carboxylates assisted N-heterocyclic carbene palladium complexes: Synthesis, characterization, and catalytic activities towards arylation of azoles with arylsulfonyl hydrazides. Appl. Organomet. Chem. 2020, 34, e5450. [Google Scholar] [CrossRef]
- Tang, Y.; Li, M.; Gao, H.; Rao, G.; Mao, Z. Efficient Cu-catalyzed intramolecular O-arylation for synthesis of benzoxazoles in water. RSC Adv. 2020, 10, 14317–14321. [Google Scholar] [CrossRef]
- Sahoo, K.; Pradhan, P.; Panda, N. Access to C4-arylated benzoxazoles from 2-amidophenol through C-H activation. Org. Biomol. Chem. 2020, 18, 1820–1832. [Google Scholar] [CrossRef]
- Hooshmand, S.E.; Afshari, R.; Ramón, D.J.; Varma, R.S. Deep eutectic solvents: Cutting-edge applications in cross-coupling reactions. Green Chem. 2020, 22, 3668–3692. [Google Scholar] [CrossRef]
- Kovács, A.; Neyts, E.C.; Cornet, I.; Wijnants, M.; Billen, P. Modeling the Physicochemical Properties of Natural Deep Eutectic Solvents. ChemSusChem 2020, 13, 3789–3804. [Google Scholar] [CrossRef]
- Qin, H.; Hu, X.; Wang, J.; Cheng, H.; Chen, L.; Qi, Z. Overview of acidic deep eutectic solvents on synthesis, properties and applications. Green Energy Environ. 2020, 5, 8–21. [Google Scholar] [CrossRef]
- Biernacki, K.; Souza, H.K.S.; Almeida, C.M.R.; Magalhães, A.L.; Gonçalves, M.P. Physicochemical Properties of Choline Chloride-Based Deep Eutectic Solvents with Polyols: An Experimental and Theoretical Investigation. ACS Sustain. Chem. Eng. 2020, 8, 18712–18728. [Google Scholar] [CrossRef]
- Pandey, A.; Bhawna; Dhingra, D.; Pandey, S. Hydrogen Bond Donor/Acceptor Cosolvent-Modified Choline Chloride-Based Deep Eutectic Solvents. J. Phys. Chem. 2017, 121, 4202–4212. [Google Scholar] [CrossRef]
- García-Álvarez, J. Deep Eutectic Mixtures: Promising Sustainable Solvents for Metal-Catalysed and Metal-Mediated Organic Reactions. Eur. J. Inorg. Chem. 2015, 2015, 5147–5157. [Google Scholar] [CrossRef]
- Abbott, A.P.; Capper, G.; McKenzie, K.J.; Glidle, A.; Ryder, K.S. Electropolishing of stainless steels in a choline chloride based ionic liquid: An electrochemical study with surface characterisation using SEM and atomic force microscopy. Phys. Chem. Chem. Phys. 2006, 8, 4214–4221. [Google Scholar] [CrossRef]
- Cooper, E.R.; Andrews, C.D.; Wheatley, P.S.; Webb, P.B.; Wormald, P.; Morris, R.E. Ionic liquids and eutectic mixtures as solvent and template in synthesis of zeolite analogues. Nature 2004, 430, 1012–1016. [Google Scholar] [CrossRef]
- Ge, X.; Gu, C.; Wang, X.; Tu, J. Deep eutectic solvents (DESs)-derived advanced functional materials for energy and environmental applications: Challenges, opportunities, and future vision. J. Mater. Chem. A 2017, 5, 8209–8229. [Google Scholar] [CrossRef]
- Juneidi, I.; Hayyan, M.; Hashim, M.A. Intensification of biotransformations using deep eutectic solvents: Overview and outlook. Process Biochem. 2018, 66, 33–60. [Google Scholar] [CrossRef]
- Gotor-Fernández, V.; Paul, C.E. Deep eutectic solvents for redox biocatalysis. J. Biotechnol. 2019, 293, 24–35. [Google Scholar] [CrossRef]
- Bodachivskyi, I.; Kuzhiumparambil, U.; Williams, D.B.G. Catalytic Valorization of Native Biomass in a Deep Eutectic Solvent: A Systematic Approach toward High-Yielding Reactions of Polysaccharides. ACS Sustainable Chem. Eng. 2020, 8, 678–685. [Google Scholar] [CrossRef]
- Truong Nguyen, H.; Nguyen Chau, D.-K.; Tran, P.H. A green and efficient method for the synthesis of pyrroles using a deep eutectic solvent ([CholineCl][ZnCl2]3) under solvent-free sonication. New J. Chem. 2017, 41, 12481–12489. [Google Scholar] [CrossRef]
- Tran, P.H.; Tran, P.V. A highly selective and efficient method for the production of 5-hydroxymethylfurfural from dehydration of fructose using SACS/DES catalytic system. Fuel 2019, 246, 18–23. [Google Scholar] [CrossRef]
- Wang, Y.; Hou, Y.; Wu, W.; Liu, D.; Ji, Y.; Ren, S. Roles of a hydrogen bond donor and a hydrogen bond acceptor in the extraction of toluene from n-heptane using deep eutectic solvents. Green Chem. 2016, 18, 3089–3097. [Google Scholar] [CrossRef]
- Habibi, E.; Ghanemi, K.; Fallah-Mehrjardi, M.; Dadolahi-Sohrab, A. A novel digestion method based on a choline chloride–oxalic acid deep eutectic solvent for determining Cu, Fe, and Zn in fish samples. Anal. Chim. Acta 2013, 762, 61–67. [Google Scholar] [CrossRef]
- Patel, D.M.; Patel, H.M. Trimethylglycine-betaine-based-catalyst-promoted novel and ecocompatible pseudo-four-component reaction for regioselective synthesis of functionalized 6, 8-dihydro-1′ H, 5 H-spiro [[1, 3] dioxolo [4, 5-g] quinoline-7, 5′-pyrimidine]-2′, 4′, 6′(3′ H)-trione derivatives. ACS Sustain. Chem. Eng. 2019, 7, 18667–18676. [Google Scholar] [CrossRef]
- Patel, D.M.; Patel, H.J.; Padrón, J.M.; Patel, H.M. A novel substrate directed multicomponent reaction for the syntheses of tetrahydro-spiro [pyrazolo [4, 3-f] quinoline]-8, 5′-pyrimidines and tetrahydro-pyrazolo [4, 3-f] pyrimido [4, 5-b] quinolines via selective multiple C–C bond formation under metal-free conditions. RSC Adv. 2020, 10, 19600–19609. [Google Scholar] [CrossRef]
- Shaibuna, M.; Hiba, K.; Shebitha, A.; Kuniyil, M.J.K.; Sreekumar, K. Sustainable and selective synthesis of benzimidazole scaffolds using deep eutectic solvents. Curr. Opin. Green Sustain. Chem. 2022, 5, 100285. [Google Scholar] [CrossRef]
- Albano, G.; Decandia, G.; Capozzi, M.A.M.; Zappimbulso, N.; Punzi, A.; Farinola, G.M. Infrared Irradiation-Assisted Solvent-Free Pd-Catalyzed (Hetero)aryl-aryl Coupling via C−H Bond Activation. ChemSusChem 2021, 14, 3391–3401. [Google Scholar] [CrossRef]
- Phakhodee, W.; Duangkamol, C.; Wiriya, N.; Pattarawarapan, M. Ultrasound-assisted synthesis of substituted 2-aminobenzimidazoles, 2-aminobenzoxazoles, and related heterocycles. Tetrahedron Lett. 2016, 57, 5290–5293. [Google Scholar] [CrossRef]
- Riadi, Y.; Ouerghi, O.; Geesi, M.H.; Kaiba, A.; Anouar, E.H.; Guionneau, P. Efficient novel eutectic-mixture-mediated synthesis of benzoxazole-linked pyrrolidin-2-one heterocycles. J. Mol. Liq. 2021, 323, 115011. [Google Scholar] [CrossRef]
- Achar, T.K.; Bose, A.; Mal, P. Mechanochemical synthesis of small organic molecules. Beilstein J. Org. Chem. 2017, 13, 1907–1931. [Google Scholar] [CrossRef]
- Mehta, V.P.; Van der Eycken, E.V. Microwave-assisted C–C bond forming cross-coupling reactions: An overview. Chem. Soc. Rev. 2011, 40, 4925. [Google Scholar] [CrossRef]
- Razzaq, T.; Kappe, C.O. Rapid preparation of pyranoquinolines using microwave dielectric heating in combination with fractional product distillation. Tetrahedron Lett. 2007, 48, 2513–2517. [Google Scholar] [CrossRef]
- Loupy, A.; de la Hoz, A. Microwaves in Organic Synthesis; John Wiley & Sons: Hoboken, NJ, USA, 2013. [Google Scholar]
- Nguyen, Q.T.; Hang, A.H.T.; Nguyen, T.L.H.; Chau, D.K.N.; Tran, P.H. Phosphonium acidic ionic liquid: An efficient and recyclable homogeneous catalyst for the synthesis of 2-arylbenzoxazoles, 2-arylbenzimidazoles, and 2-arylbenzothiazoles. RSC Adv. 2018, 8, 11834–11842. [Google Scholar] [CrossRef]
- Tran, P.H.; Dang, M.-H.D.; Nguyen, L.H.T. Sulfur/DABCO promoted reductive coupling/annulation cascade reaction between o-hydroxy/amino nitrobenzenes and benzaldehydes. Synthesis 2020, 52, 1687–1694. [Google Scholar] [CrossRef]
- Nguyen, H.T.; Nguyen, T.H.; Pham, D.D.; Nguyen, C.T.; Tran, P.H. A green approach for the synthesis of 2-substituted benzoxazoles and benzothiazoles via coupling/cyclization reactions. Heliyon 2021, 7, e08309. [Google Scholar] [CrossRef]
- Nguyen, H.T.; Tran, P.H. An extremely efficient and green method for the acylation of secondary alcohols, phenols and naphthols with a deep eutectic solvent as the catalyst. RSC Adv. 2016, 6, 98365–98368. [Google Scholar] [CrossRef]
- Tran, M.-N.T.; Nguyen, X.-T.T.; Nguyen, H.T.; Chau, D.-K.N.; Tran, P.H. Deep eutectic solvent: An efficient and green catalyst for the three-component condensation of indoles, aromatic aldehydes, and activated methylene compounds. Tetrahedron Lett. 2020, 61, 151481. [Google Scholar] [CrossRef]
- Zhang, H.; Lang, J.; Lan, P.; Yang, H.; Lu, J.; Wang, Z. Study on the Dissolution Mechanism of Cellulose by ChCl-Based Deep Eutectic Solvents. Materials 2020, 13, 278. [Google Scholar] [CrossRef]
- Laitinen, O.; Suopajärvi, T.; Österberg, M.; Liimatainen, H. Hydrophobic, Superabsorbing Aerogels from Choline Chloride-Based Deep Eutectic Solvent Pretreated and Silylated Cellulose Nanofibrils for Selective Oil Removal. ACS Appl. Mater. Interfaces 2017, 9, 25029–25037. [Google Scholar] [CrossRef]
- Zhou, Y.; Liu, W.; Liu, Y.; Guan, J.; Yan, J.; Yuan, J.-J.; Tao, D.-J.; Song, Z. Oxidative NHC catalysis for base-free synthesis of benzoxazinones and benzoazoles by thermal activated NHCs precursor ionic liquid catalyst using air as oxidant. Mol. Catal. 2020, 492, 111013. [Google Scholar] [CrossRef]
- Gorepatil, P.B.; Mane, Y.D.; Ingle, V.S. Samarium(III) Triflate as an Efficient and Reusable Catalyst for Facile Synthesis of Benzoxazoles and Benzothiazoles in Aqueous Medium. Synlett 2013, 24, 2241–2244. [Google Scholar] [CrossRef]
- Cho, Y.H.; Lee, C.-Y.; Ha, D.-C.; Cheon, C.-H. Cyanide as a Powerful Catalyst for Facile Preparation of 2-Substituted Benzoxazoles via Aerobic Oxidation. Adv. Synth. Catal. 2012, 354, 2992–2996. [Google Scholar] [CrossRef]
- Saha, S.K.; Dey, S.; Chakraborty, R. Effect of choline chloride-oxalic acid based deep eutectic solvent on the ultrasonic assisted extraction of polyphenols from Aegle marmelos. J. Mol. Liq. 2019, 287, 110956. [Google Scholar] [CrossRef]
- Abbott, A.P.; Boothby, D.; Capper, G.; Davies, D.L.; Rasheed, R.K. Deep Eutectic Solvents Formed between Choline Chloride and Carboxylic Acids: Versatile Alternatives to Ionic Liquids. J. Am. Chem. Soc. 2004, 126, 9142–9147. [Google Scholar] [CrossRef]
- Hayyan, A.; Mjalli, F.S.; AlNashef, I.M.; Al-Wahaibi, Y.M.; Al-Wahaibi, T.; Hashim, M.A. Glucose-based deep eutectic solvents: Physical properties. J. Mol. Liq. 2013, 178, 137–141. [Google Scholar] [CrossRef]
- Balaji, R.; Ilangeswaran, D. Choline chloride—Urea deep eutectic solvent an efficient media for the preparation of metal nanoparticles. J. Indian Chem. Soc. 2022, 99, 100446. [Google Scholar] [CrossRef]
- Islamčević Razboršek, M.; Ivanović, M.; Krajnc, P.; Kolar, M. Choline Chloride Based Natural Deep Eutectic Solvents as Extraction Media for Extracting Phenolic Compounds from Chokeberry (Aronia melanocarpa). Molecules 2020, 25, 1619. [Google Scholar] [CrossRef]
- Wang, Y.; Ma, C.; Liu, C.; Lu, X.; Feng, X.; Ji, X. Thermodynamic Study of Choline Chloride-Based Deep Eutectic Solvents with Water and Methanol. J. Chem. Eng. Data 2020, 65, 2446–2457. [Google Scholar] [CrossRef]
- Delso, I.; Lafuente, C.; Muñoz-Embid, J.; Artal, M. NMR study of choline chloride-based deep eutectic solvents. J. Mol. Liq. 2019, 290, 111236. [Google Scholar] [CrossRef]
- Teo, Y.C.; Riduan, S.N.; Zhang, Y. Iodine-mediated arylation of benzoxazoles with aldehydes. Green Chem. 2013, 15, 2365–2368. [Google Scholar] [CrossRef]
- Tang, L.; Guo, X.; Yang, Y.; Zha, Z.; Wang, Z. Gold nanoparticles supported on titanium dioxide: An efficient catalyst for highly selective synthesis of benzoxazoles and benzimidazoles. Chem. Commun. 2014, 50, 6145–6148. [Google Scholar] [CrossRef]
- Wang, L.; Ma, Z.-G.; Wei, X.-J.; Meng, Q.-Y.; Yang, D.-T.; Du, S.-F.; Chen, Z.-F.; Wu, L.-Z.; Liu, Q. Synthesis of 2-substituted pyrimidines and benzoxazoles via a visible-light-driven organocatalytic aerobic oxidation: Enhancement of the reaction rate and selectivity by a base. Green Chem. 2014, 16, 3752–3757. [Google Scholar] [CrossRef]
- Prakash, O.; Batra, A.; Sharma, V.; Saini, R.K.; Verma, R.S. Hypervalent iodine (III) mediated synthesis of 2-substituted benzoxazoles. ChemInform 2005, 36, 1031–1034. [Google Scholar] [CrossRef]
- Zhou, Q.; Zhang, J.-F.; Cao, H.; Zhong, R.; Hou, X.-F. Synthesis of o-Alkenylated 2-Arylbenzoxazoles via Rh-Catalyzed Oxidative Olefination of 2-Arylbenzoxazoles: Scope Investigation, Structural Features, and Mechanism Studies. J. Org. Chem. 2016, 81, 12169–12180. [Google Scholar] [CrossRef]
- Srivastava, A.; Shukla, G.; Singh, M.S. p-Toluenesulfonic acid-catalyzed metal-free formal [4+ 1] heteroannulation via NH/OH/SH functionalization: One-pot access to 2-aryl/hetaryl/alkyl benzazole derivatives. Tetrahedron 2017, 73, 879–887. [Google Scholar] [CrossRef]
- Vosooghi, M.; Arshadi, H.; Saeedi, M.; Mahdavi, M.; Jafapour, F.; Shafiee, A.; Foroumadi, A. A novel and efficient route for the synthesis of 5-nitrobenzo[d] oxazole derivatives. J. Fluor. Chem. 2014, 161, 83–86. [Google Scholar] [CrossRef]






![]() | ||||
|---|---|---|---|---|
| Entry | Catalyst Loading (mol%) | Reaction Condition | Conversion [b] (%) | Ratio of 3c/4c |
| 1 | 30 | 100 °C, 15 min, MW | 86 | 29/71 |
| 2 | 30 | 120 °C, 15 min, MW | 90 | 6/94 |
| 3 | 30 | 130 °C, 15 min, MW | 94 | 4/96 |
| 4 | 30 | 140 °C, 15 min, MW | 88 | 2/98 |
| 5 | 30 | 120 °C, 5 min, MW | 74 | 10/90 |
| 6 | 30 | 120 °C, 10 min, MW | 75 | 28/72 |
| 7 | 30 | 120 °C, 20 min, MW | 87 | 3/97 |
| 8 | 30 | 120 °C, 25 min, MW | 90 | 2/98 |
| 9 | 30 | 120 °C, 30 min, MW | 95 | 1/99 |
| 10 | 0 | 120 °C, 15 min, MW | 77 | 100/0 |
| 11 | 10 | 120 °C, 15 min, MW | 99 | 1/99 |
| 12 | 20 | 120 °C, 15 min, MW | 95 | 1/99 |
| 13 | 40 | 120 °C, 15 min, MW | 91 | 17/83 |
| 14 | 50 | 120 °C, 15 min, MW | 72 | 15/85 |
| 15 | 10 | 120 °C, 15 min, Stirring | 14 | 1/99 |
| 16 | 10 | 120 °C, 60 min, Stirring | 25 | 1/99 |
| 17 | 10 | 80 °C, 15 min, Ultrasound | 6 | 0/100 |
| Entry | Catalyst | Conversion [b] (%) | Selective Ratio of (3c)/(4c) (%) |
|---|---|---|---|
| 1 | [CholineCl][oxalic acid] | 99 (85) [c] | 1/99 (11/89) [c] |
| 2 | [CholineCl][succinic acid] | 86 | 7/93 |
| 3 | [CholineCl][Urea]2 | 86 | 94/6 |
| 4 | [CholineCl][ethyleneglycol]2 | 72 | 8/92 |
| 5 | [CholineCl]2[glucose] | 33 | 41/59 |
| 6 | [CholineCl]2[fructose] | 39 | 41/59 |
| Entry | Catalyst | Temperature (°C) | Time (h) | Yield or Conversion (%) |
|---|---|---|---|---|
| 1 | ([BMIm]2[WO4]) (0.1 mmol), 1,4-dioxane (5 mL) | 100 | 5 | 81 |
| 2 | Sm(OTf)3 (10 mol%), EtOH–H2O (4:2 mL) | 50–60 | 2 | 92 |
| 3 | NaCN (10 mol%), DMF, air | 80 | 4 | 71 |
| 4 | Cu2O/DMSO | r.t. | 2 | 95 |
| 5 | Present work: [CholineCl][oxalic acid] (10 mol%), MW | 120 | 0.25 | 99 |
![]() | |||||||
|---|---|---|---|---|---|---|---|
| Entry | Structure of Products | ![]() | Product | Time (min) | Temperature (°C) | Conversion [b] (%) | Ratio of 3/4 [b] (%) |
| 1 | ![]() | –H | 4a | 15 | 120 | 81 | 25/75 |
| 2 | –OMe | 4b | 15 | 160 | 84 | 21/79 | |
| 3 | ![]() | –H | 4c | 15 | 120 | 99 | 1/99 |
| 4 | –Me | 4d | 15 | 160 | 99 | 4/96 | |
| 5 | –F | 4e | 15 | 160 | 89 | 1/99 | |
| 6 | –Br | 4f | 15 | 160 | 92 | 1/99 | |
| 7 | ![]() | –H | 4g | 30 | 130 | 99 | 11/89 |
| 8 | –Me | 4h | 30 | 140 | 99.5 | 6.5/93.5 | |
| 9 | –F | 4i | 15 | 160 | 88 | 10/90 | |
| 10 | –Cl | 4j | 15 | 160 | 87 | 9/91 | |
| 11 | –Br | 4k | 15 | 160 | 87 | 9/91 | |
| 12 | ![]() | –H | 4l | 30 | 130 | 38 | 18/82 |
| 13 | –Me | 4m | 30 | 140 | 42 | 1/99 | |
| 14 | –F | 4n | 15 | 160 | 30 | 43/57 | |
Publisher’s Note: MDPI stays neutral with regard to jurisdictional claims in published maps and institutional affiliations. |
© 2022 by the authors. Licensee MDPI, Basel, Switzerland. This article is an open access article distributed under the terms and conditions of the Creative Commons Attribution (CC BY) license (https://creativecommons.org/licenses/by/4.0/).
Share and Cite
Pham, P.T.; Nguyen, H.T.; Nguyen, T.T.; Nguyen, L.H.T.; Dang, M.-H.D.; Doan, T.L.H.; Pham, D.D.; Nguyen, C.T.; Tran, P.H. Rapid and Simple Microwave-Assisted Synthesis of Benzoxazoles Catalyzed by [CholineCl][Oxalic Acid]. Catalysts 2022, 12, 1394. https://doi.org/10.3390/catal12111394
Pham PT, Nguyen HT, Nguyen TT, Nguyen LHT, Dang M-HD, Doan TLH, Pham DD, Nguyen CT, Tran PH. Rapid and Simple Microwave-Assisted Synthesis of Benzoxazoles Catalyzed by [CholineCl][Oxalic Acid]. Catalysts. 2022; 12(11):1394. https://doi.org/10.3390/catal12111394
Chicago/Turabian StylePham, Phuoc Thi, Hai Truong Nguyen, The Thai Nguyen, Linh Ho Thuy Nguyen, Minh-Huy Dinh Dang, Tan Le Hoang Doan, Dung Duc Pham, Cong Tien Nguyen, and Phuong Hoang Tran. 2022. "Rapid and Simple Microwave-Assisted Synthesis of Benzoxazoles Catalyzed by [CholineCl][Oxalic Acid]" Catalysts 12, no. 11: 1394. https://doi.org/10.3390/catal12111394
APA StylePham, P. T., Nguyen, H. T., Nguyen, T. T., Nguyen, L. H. T., Dang, M.-H. D., Doan, T. L. H., Pham, D. D., Nguyen, C. T., & Tran, P. H. (2022). Rapid and Simple Microwave-Assisted Synthesis of Benzoxazoles Catalyzed by [CholineCl][Oxalic Acid]. Catalysts, 12(11), 1394. https://doi.org/10.3390/catal12111394








