Abundant Oxygen Vacancies Induced by the Mechanochemical Process Boost the Low-Temperature Catalytic Performance of MnO2 in NH3-SCR
Abstract
1. Introduction
2. Results and Discussion
2.1. Characterization of the Catalysts
2.1.1. XRD and PSD Analysis
2.1.2. N2 Adsorption Measurements
2.1.3. SEM Observation
2.1.4. H2-TPR Analysis
2.1.5. XPS Analysis
2.1.6. NH3-TPD Analysis
2.2. Formation Mechanism of MnO2-M
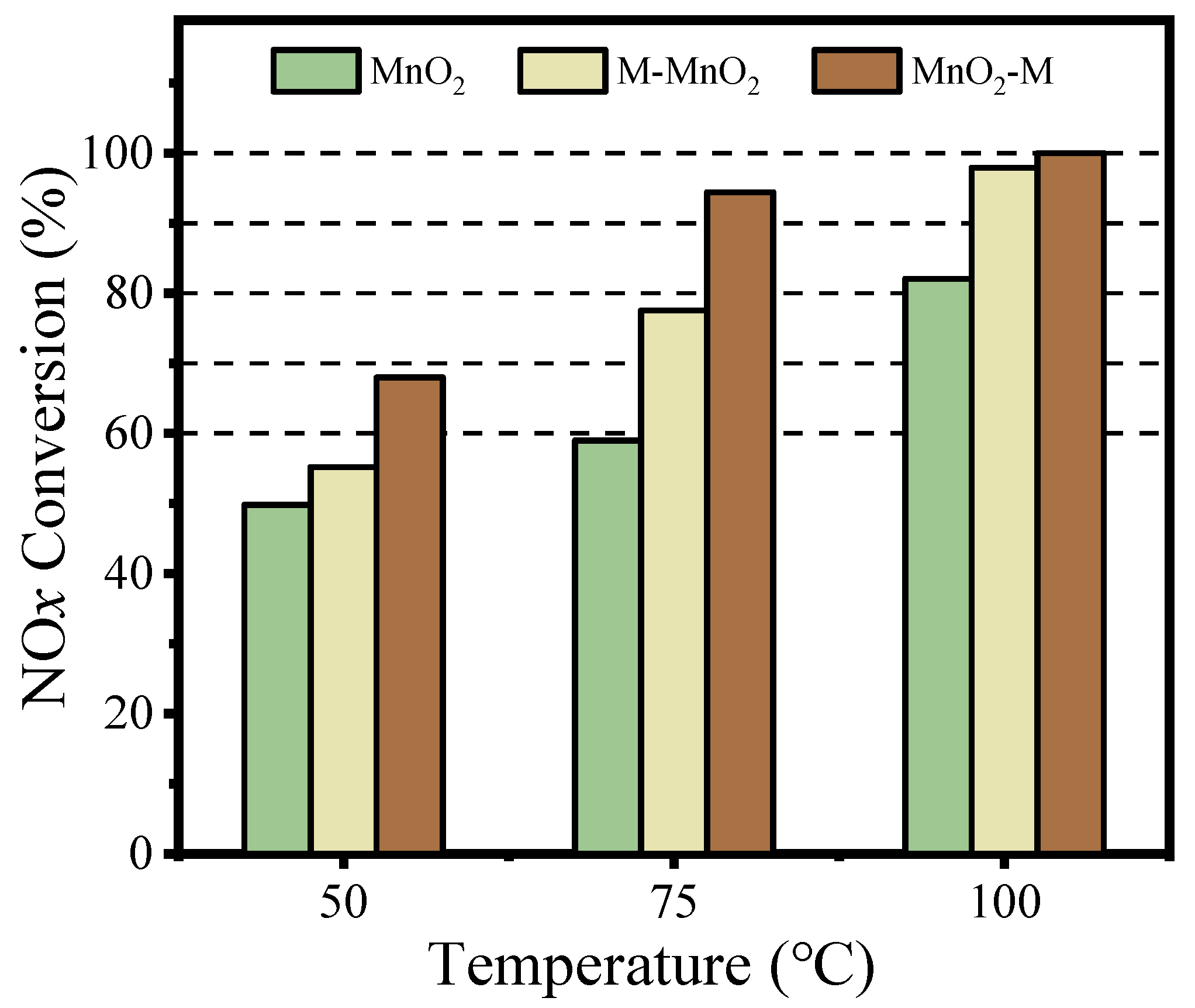
2.3. Catalytic Performance
2.4. In Situ DRIFTS Studies
3. Experiment
3.1. Chemical Reagents
3.2. Preparation of Catalysts
3.3. Characterization
3.4. Catalytic Measurement
4. Conclusions
Author Contributions
Funding
Data Availability Statement
Acknowledgments
Conflicts of Interest
References
- Liu, Z.; Liu, Y.; Li, Y.; Su, H.; Ma, L. WO3 promoted Mn–Zr mixed oxide catalyst for the selective catalytic reduction of NOx with NH3. Chem. Eng. J. 2016, 283, 1044–1050. [Google Scholar] [CrossRef]
- Anenberg, S.C.; Miller, J.; Minjares, R.; Du, L.; Henze, D.K.; Lacey, F.; Malley, C.S.; Emberson, L.; Franco, V.; Klimont, Z.; et al. Impacts and mitigation of excess diesel-related NOx emissions in 11 major vehicle markets. Nature 2017, 545, 467–471. [Google Scholar] [CrossRef] [PubMed]
- Xie, S.; Tan, W.; Li, Y.; Ma, L.; Ehrlich, S.N.; Deng, J.; Xu, P.; Gao, F.; Dong, L.; Liu, F. Copper Single Atom-Triggered Niobia–Ceria Catalyst for Efficient Low-Temperature Reduction of Nitrogen Oxides. ACS Catal. 2022, 12, 2441–2453. [Google Scholar] [CrossRef]
- Yao, X.; Zhang, L.; Li, L.; Liu, L.; Cao, Y.; Dong, X.; Gao, F.; Deng, Y.; Tang, C.; Chen, Z.; et al. Investigation of the structure, acidity, and catalytic performance of CuO/Ti0.95Ce0.05O2 catalyst for the selective catalytic reduction of NO by NH3 at low temperature. Appl. Catal. B Environ. 2014, 150–151, 315–329. [Google Scholar] [CrossRef]
- Forzatti, P.; Nova, I.; Tronconi, E. Enhanced NH3 Selective Catalytic Reduction for NOx Abatement. Angew. Chem. 2009, 121, 8516–8518. [Google Scholar] [CrossRef]
- Xu, L.; Wang, C.; Chang, H.; Wu, Q.; Zhang, T.; Li, J. New Insight into SO2 Poisoning and Regeneration of CeO2-WO3/TiO2 and V2O5-WO3/TiO2 Catalysts for Low-Temperature NH3-SCR. Environ. Sci. Technol. 2018, 52, 7064–7071. [Google Scholar] [CrossRef]
- Qiu, Y.; Liu, B.; Du, J.; Tang, Q.; Liu, Z.; Liu, R.; Tao, C. The monolithic cordierite supported V2O5–MoO3/TiO2 catalyst for NH3-SCR. Chem. Eng. J. 2016, 294, 264–272. [Google Scholar] [CrossRef]
- Chen, H.; Xia, Y.; Fang, R.; Huang, H.; Gan, Y.; Liang, C.; Zhang, J.; Zhang, W.; Liu, X. The effects of tungsten and hydrothermal aging in promoting NH3-SCR activity on V2O5/WO3-TiO2 catalysts. Appl. Surf. Sci. 2018, 459, 639–646. [Google Scholar] [CrossRef]
- Beretta, A.; Lanza, A.; Lietti, L.; Alcove Clave, S.; Collier, J.; Nash, M. An investigation on the redox kinetics of NH3-SCR over a V/Mo/Ti catalyst: Evidence of a direct role of NO in the re-oxidation step. Chem. Eng. J. 2019, 359, 88–98. [Google Scholar] [CrossRef]
- Liu, L.; Xu, K.; Su, S.; He, L.; Qing, M.; Chi, H.; Liu, T.; Hu, S.; Wang, Y.; Xiang, J. Efficient Sm modified Mn/TiO2 catalysts for selective catalytic reduction of NO with NH3 at low temperature. Appl. Catal. A Gen. 2020, 592, 117413. [Google Scholar] [CrossRef]
- Zhang, N.; Yan, H.; Li, L.; Wu, R.; Song, L.; Zhang, G.; Liang, W.; He, H. Use of rare earth elements in single-atom site catalysis: A critical review—Commemorating the 100th anniversary of the birth of Academician Guangxian Xu. J. Rare Earths 2021, 39, 233–242. [Google Scholar] [CrossRef]
- Jia, L.; Liu, J.; Huang, D.; Zhao, J.; Zhang, J.; Li, K.; Li, Z.; Zhu, W.; Zhao, Z.; Liu, J. Interface Engineering of a Bifunctional Cu-SSZ-13@CZO Core–Shell Catalyst for Boosting Potassium Ion and SO2 Tolerance. ACS Catal. 2022, 12, 11281–11293. [Google Scholar] [CrossRef]
- Chen, L.; Li, R.; Li, Z.; Yuan, F.; Niu, X.; Zhu, Y. Effect of Ni doping in NixMn1−xTi10 (x = 0.1–0.5) on activity and SO2 resistance for NH3-SCR of NO studied with in situ DRIFTS. Catal. Sci. Technol. 2017, 7, 3243–3257. [Google Scholar] [CrossRef]
- Raja, S.; Alphin, M.S.; Sivachandiran, L.; Singh, P.; Damma, D.; Smirniotis, P.G. TiO2-carbon nanotubes composite supported MnOx-CuO catalyst for low-temperature NH3-SCR of NO: Investigation of SO2 and H2O tolerance. Fuel 2022, 307, 121886. [Google Scholar] [CrossRef]
- Yang, J.; Ren, S.; Zhou, Y.; Su, Z.; Yao, L.; Cao, J.; Jiang, L.; Hu, G.; Kong, M.; Yang, J.; et al. In situ IR comparative study on N2O formation pathways over different valence states manganese oxides catalysts during NH3–SCR of NO. Chem. Eng. J. 2020, 397, 125446. [Google Scholar] [CrossRef]
- Tang, X.; Hao, J.; Xu, W.; Li, J. Low temperature selective catalytic reduction of NO with NH3 over amorphous MnOx catalysts prepared by three methods. Catal. Commun. 2007, 8, 329–334. [Google Scholar] [CrossRef]
- Fang, X.; Liu, Y.; Cen, W.; Cheng, Y. Birnessite as a Highly Efficient Catalyst for Low-Temperature NH3-SCR: The Vital Role of Surface Oxygen Vacancies. Ind. Eng. Chem. Res. 2020, 59, 14606–14615. [Google Scholar] [CrossRef]
- Liu, J.; Wei, Y.; Li, P.-Z.; Zhang, P.; Su, W.; Sun, Y.; Zou, R.; Zhao, Y. Experimental and Theoretical Investigation of Mesoporous MnO2 Nanosheets with Oxygen Vacancies for High-Efficiency Catalytic DeNOx. ACS Catal. 2018, 8, 3865–3874. [Google Scholar] [CrossRef]
- Chen, H.; Yang, M.; Tao, S.; Chen, G. Oxygen vacancy enhanced catalytic activity of reduced Co3O4 towards p-nitrophenol reduction. Appl. Catal. B Environ. 2017, 209, 648–656. [Google Scholar] [CrossRef]
- Sun, M.; Li, W.; Zhang, B.; Cheng, G.; Lan, B.; Ye, F.; Zheng, Y.; Cheng, X.; Yu, L. Enhanced catalytic performance by oxygen vacancy and active interface originated from facile reduction of OMS-2. Chem. Eng. J. 2018, 331, 626–635. [Google Scholar] [CrossRef]
- Hilpert, K.; Steinbrech, R.W.; Boroomand, F.; Wessel, E.; Meschke, F.; Zuev, A.; Teller, O.; Nickel, H.; Singheiser, L. Defect formation and mechanical stability of perovskites based on LaCrO3 for solid oxide fuel cells (SOFC). J. Eur. Ceram. Soc. 2003, 23, 3009–3020. [Google Scholar] [CrossRef]
- Yim, C.M.; Pang, C.L.; Thornton, G. Oxygen vacancy origin of the surface band-gap state of TiO2(110). Phys. Rev. Lett. 2010, 104, 036806. [Google Scholar] [CrossRef] [PubMed]
- Wu, S.; Liu, H.; Huang, Z.; Xu, H.; Shen, W. O-vacancy-rich porous MnO2 nanosheets as highly efficient catalysts for propane catalytic oxidation. Appl. Catal. B Environ. 2022, 312, 121387. [Google Scholar] [CrossRef]
- Ji, J.; Lu, X.; Chen, C.; He, M.; Huang, H. Potassium-modulated δ-MnO2 as robust catalysts for formaldehyde oxidation at room temperature. Appl. Catal. B Environ. 2020, 260, 118210. [Google Scholar] [CrossRef]
- Chen, L.; Ren, S.; Xing, X.; Yang, J.; Li, J.; Yang, J.; Liu, Q. Effect of MnO2 crystal types on CeO2@MnO2 oxides catalysts for low-temperature NH3-SCR. J. Environ. Chem. Eng. 2022, 10, 108239. [Google Scholar] [CrossRef]
- Huang, N.; Qu, Z.; Dong, C.; Qin, Y.; Duan, X. Superior performance of α@β-MnO2 for the toluene oxidation: Active interface and oxygen vacancy. Appl. Catal. A Gen. 2018, 560, 195–205. [Google Scholar] [CrossRef]
- Wang, Y.; Li, Z.; Ding, Z.; Kang, N.; Fan, R.; Wang, Y.; Zhang, C.; Guo, X.; Wang, R. Effect of Ion-Exchange Sequences on Catalytic Performance of Cerium-Modified Cu-SSZ-13 Catalysts for NH3-SCR. Catalysts 2021, 11, 997. [Google Scholar] [CrossRef]
- Andreoli, S.; Deorsola, F.A.; Pirone, R. MnOx-CeO2 catalysts synthesized by solution combustion synthesis for the low-temperature NH3-SCR. Catal. Today 2015, 253, 199–206. [Google Scholar] [CrossRef]
- Li, S.; Huang, B.; Yu, C. A CeO2-MnOx core-shell catalyst for low-temperature NH3-SCR of NO. Catal. Commun. 2017, 98, 47–51. [Google Scholar] [CrossRef]
- Duan, X.; Dou, J.; Zhao, Y.; Khoshk Rish, S.; Yu, J. A Study on Mn-Fe Catalysts Supported on Coal Fly Ash for Low-Temperature Selective Catalytic Reduction of NOx in Flue Gas. Catalysts 2020, 10, 1399. [Google Scholar] [CrossRef]
- Chen, C.; Xie, H.; He, P.; Liu, X.; Yang, C.; Wang, N.; Ge, C. Comparison of low-temperature catalytic activity and H2O/SO2 resistance of the Ce-Mn/TiO2 NH3-SCR catalysts prepared by the reverse co-precipitation, co-precipitation and impregnation method. Appl. Surf. Sci. 2022, 571, 151285. [Google Scholar] [CrossRef]
- Fang, N.; Guo, J.; Shu, S.; Luo, H.; Chu, Y.; Li, J. Enhancement of low-temperature activity and sulfur resistance of Fe0.3Mn0.5Zr0.2 catalyst for NO removal by NH3-SCR. Chem. Eng. J. 2017, 325, 114–123. [Google Scholar] [CrossRef]
- Liu, S.; Ji, Y.; Xu, W.; Zhang, J.; Jiang, R.; Li, L.; Jia, L.; Zhong, Z.; Xu, G.; Zhu, T.; et al. Hierarchically interconnected porous MnxCo3-xO4 spinels for Low-temperature catalytic reduction of NO by CO. J. Catal. 2022, 406, 72–86. [Google Scholar] [CrossRef]
- Liu, Y.-z.; Guo, R.-t.; Duan, C.-p.; Wu, G.-l.; Miao, Y.-f.; Gu, J.-w.; Pan, W.-g. A highly effective urchin-like MnCrOx catalyst for the selective catalytic reduction of NOx with NH3. Fuel 2020, 271, 117667. [Google Scholar] [CrossRef]
- Xie, S.; Li, L.; Jin, L.; Wu, Y.; Liu, H.; Qin, Q.; Wei, X.; Liu, J.; Dong, L.; Li, B. Low temperature high activity of M (M = Ce, Fe, Co, Ni) doped M-Mn/TiO2 catalysts for NH3-SCR and in situ DRIFTS for investigating the reaction mechanism. Appl. Surf. Sci. 2020, 515, 146014. [Google Scholar] [CrossRef]
- Chen, Z.; Ren, S.; Wang, M.; Yang, J.; Chen, L.; Liu, W.; Liu, Q.; Su, B. Insights into samarium doping effects on catalytic activity and SO2 tolerance of MnFeOx catalyst for low-temperature NH3-SCR reaction. Fuel 2022, 321, 124113. [Google Scholar] [CrossRef]
- Yuan, H.; Sun, N.; Chen, J.; Jin, J.; Wang, H.; Hu, P. Insight into the NH3-Assisted Selective Catalytic Reduction of NO on β-MnO2(110): Reaction Mechanism, Activity Descriptor, and Evolution from a Pristine State to a Steady State. ACS Catal. 2018, 8, 9269–9279. [Google Scholar] [CrossRef]
- Meng, Z.; Yan, X.; Cui, M.; Hou, L.; Wu, W. Study on denitration performance of mineral catalyst prepared by high energy ball milling of rare earth concentrate supported Fe2O3 for NH3-SCR. Mater. Chem. Phys. 2022, 276, 125248. [Google Scholar] [CrossRef]
- Xie, Y.; Yu, Y.; Gong, X.; Guo, Y.; Guo, Y.; Wang, Y.; Lu, G. Effect of the crystal plane figure on the catalytic performance of MnO2 for the total oxidation of propane. CrystEngComm 2015, 17, 3005–3014. [Google Scholar] [CrossRef]
- Li, Q.; Gu, H.; Li, P.; Zhou, Y.; Liu, Y.; Qi, Z.; Xin, Y.; Zhang, Z. In situ IR studies of selective catalytic reduction of NO with NH3 on Ce-Ti amorphous oxides. Chin. J. Catal. 2014, 35, 1289–1298. [Google Scholar] [CrossRef]
- Wang, W.; McCool, G.; Kapur, N.; Yuan, G.; Shan, B.; Nguyen, M.; Graham, U.M.; Davis, B.H.; Jacobs, G.; Cho, K.; et al. Mixed-phase oxide catalyst based on Mn-mullite (Sm, Gd)Mn2O5 for NO oxidation in diesel exhaust. Science 2012, 337, 832–835. [Google Scholar] [CrossRef] [PubMed]
- Xin, Y.; Li, H.; Zhang, N.; Li, Q.; Zhang, Z.; Cao, X.; Hu, P.; Zheng, L.; Anderson, J.A. Molecular-Level Insight into Selective Catalytic Reduction of NOx with NH3 to N2 over a Highly Efficient Bifunctional Va-MnOx Catalyst at Low Temperature. ACS Catal. 2018, 8, 4937–4949. [Google Scholar] [CrossRef]
- Kong, M.; Liu, Q.; Zhou, J.; Jiang, L.; Tian, Y.; Yang, J.; Ren, S.; Li, J. Effect of different potassium species on the deactivation of V2O5-WO3/TiO2 SCR catalyst: Comparison of K2SO4, KCl and K2O. Chem. Eng. J. 2018, 348, 637–643. [Google Scholar] [CrossRef]
- Zhu, M.; Lai, J.K.; Tumuluri, U.; Wu, Z.; Wachs, I.E. Nature of Active Sites and Surface Intermediates during SCR of NO with NH3 by Supported V2O5-WO3/TiO2 Catalysts. J. Am. Chem. Soc. 2017, 139, 15624–15627. [Google Scholar] [CrossRef] [PubMed]
- Hu, X.; Shi, Q.; Zhang, H.; Wang, P.; Zhan, S.; Li, Y. NH3-SCR performance improvement over Mo modified Mo(x)-MnOx nanorods at low temperatures. Catal. Today 2017, 297, 17–26. [Google Scholar] [CrossRef]














| Catalyst | SBET i (m2 g−1) | VP ii (cm3 g−1) | Lattice Parameter iii (Å) | Average Crystallite Size iv (nm) | |
|---|---|---|---|---|---|
| a = b | c | ||||
| MnO2-M | 177.9 | 0.335 | 9.7904 | 2.8544 | 4.92 |
| MnO2 | 66.4 | 0.149 | 9.8156 | 2.8561 | 27.17 |
| Catalyst | H2 Consumption i (mmol g−1) | Total H2 Consumption i (mmol g−1) | Theoretical H2 Consumption i (mmol g−1) | |
|---|---|---|---|---|
| I | II | |||
| MnO2-M | 4.85 | 3.91 | 8.76 | 11.50 |
| MnO2 | 3.91 | 2.27 | 6.18 | 11.50 |
| Catalyst | Mn4+/(Mn3+ + Mn2+) | Oads/Olatt |
|---|---|---|
| MnO2-M | 0.81 | 1.17 |
| MnO2 | 0.56 | 0.60 |
| Catalyst | Surface Acidity i (μmol g−1) |
|---|---|
| MnO2-M | 0.43 |
| MnO2 | 0.32 |
Publisher’s Note: MDPI stays neutral with regard to jurisdictional claims in published maps and institutional affiliations. |
© 2022 by the authors. Licensee MDPI, Basel, Switzerland. This article is an open access article distributed under the terms and conditions of the Creative Commons Attribution (CC BY) license (https://creativecommons.org/licenses/by/4.0/).
Share and Cite
Dong, Y.; Jin, B.; Liu, S.; Gao, J.; Wang, K.; Su, F. Abundant Oxygen Vacancies Induced by the Mechanochemical Process Boost the Low-Temperature Catalytic Performance of MnO2 in NH3-SCR. Catalysts 2022, 12, 1291. https://doi.org/10.3390/catal12101291
Dong Y, Jin B, Liu S, Gao J, Wang K, Su F. Abundant Oxygen Vacancies Induced by the Mechanochemical Process Boost the Low-Temperature Catalytic Performance of MnO2 in NH3-SCR. Catalysts. 2022; 12(10):1291. https://doi.org/10.3390/catal12101291
Chicago/Turabian StyleDong, Yuanyuan, Baofang Jin, Shaomian Liu, Jiajian Gao, Kangjun Wang, and Fabing Su. 2022. "Abundant Oxygen Vacancies Induced by the Mechanochemical Process Boost the Low-Temperature Catalytic Performance of MnO2 in NH3-SCR" Catalysts 12, no. 10: 1291. https://doi.org/10.3390/catal12101291
APA StyleDong, Y., Jin, B., Liu, S., Gao, J., Wang, K., & Su, F. (2022). Abundant Oxygen Vacancies Induced by the Mechanochemical Process Boost the Low-Temperature Catalytic Performance of MnO2 in NH3-SCR. Catalysts, 12(10), 1291. https://doi.org/10.3390/catal12101291

