Wastewater Purification and All-Solid Z-Scheme Heterojunction ZnO-C/MnO2 Preparation: Properties and Mechanism
Abstract
1. Introduction
2. Results and Discussion
2.1. Representational Analysis
2.2. Photocatalytic Performances
2.2.1. Degradation of Antibiotic Wastewater Simulated by TC
2.2.2. Degradation of Actual Petrochemical Wastewater
2.3. Exploration of TC Transformation Pathway
2.4. Photocatalysis Mechanism
2.4.1. Analysis of Heterostructure
2.4.2. Analysis of Photocatalysis Mechanism
3. Experimental
3.1. Materials
3.2. Preparation of ZnO-C
3.3. Preparation of MnO2
3.4. Preparation of ZnO-C/MnO2
3.5. Photocatalytic Tests
3.6. Characterizations
4. Conclusions
Supplementary Materials
Author Contributions
Funding
Data Availability Statement
Conflicts of Interest
References
- Li, Z.-X.; Bao, Z.-Y.; Yao, F.-Y.; Cao, H.-Q.; Wang, J.-H.; Qiu, L.; Lv, J.; Sun, X.; Zhang, Y.; Wu, Y.-C. One-dimensional bismuth vanadate nanostructures constructed Z-scheme photocatalyst for highly efficient degradation of antibiotics. J. Water Process Eng. 2022, 46, 102599. [Google Scholar] [CrossRef]
- Zhang, L.; Bai, J.-H.; Wang, C.; Wei, Z.-Q.; Wang, Y.-Q.; Zhang, K.-G.; Xiao, R.; Jorquera, M.A.; Acuña, J.J.; Campos, M. Fate and ecological risks of antibiotics in water-sediment systems with cultivated and wild Phragmites australis in a typical Chinese shallow lake. Chemosphere 2022, 305, 135370. [Google Scholar] [CrossRef] [PubMed]
- Zhou, L.; Li, S.-N.; Li, F.-X. Damage and elimination of soil and water antibiotic and heavy metal pollution caused by livestock husbandry. Environ. Res. 2022, 215, 114188. [Google Scholar] [CrossRef] [PubMed]
- Han, S.; Xiao, P.-F. Catalytic degradation of tetracycline using peroxymonosulfate activated by cobalt and iron Co-loaded pomelo peel biochar nanocomposite: Characterization, performance and reaction mechanism. Sep. Purif. Technol. 2022, 287, 120533. [Google Scholar] [CrossRef]
- Tang, S.; Lin, L.-J.; Wang, X.-S.; Yu, A.-Q.; Sun, X. Interfacial interactions between collected nylon microplastics and three divalent metal ions (Cu(II), Ni(II), Zn(II)) in aqueous solutions. J. Hazard. Mater. 2021, 403, 123548. [Google Scholar] [CrossRef]
- Lin, L.-J.; Tang, S.; Wang, X.-S.; Sun, X.; Han, Z.-X.; Chen, Y. Accumulation mechanism of tetracycline hydrochloride from aqueous solutions by nylon microplastics. Environ. Technol. Innov. 2020, 18, 100750. [Google Scholar] [CrossRef]
- Peng, J.-B.; Wang, Z.-X.; Wang, S.-Y.; Liu, J.; Zhang, Y.-Z.; Wang, B.-J.; Gong, Z.-M.; Wang, M.-J.; Dong, H.; Shi, J.-L.; et al. Enhanced removal of methylparaben mediated by cobalt/carbon nanotubes (Co/CNTs) activated peroxymonosulfate in chloride-containing water: Reaction kinetics, mechanisms and pathways. Chem. Eng. J. 2021, 409, 128176. [Google Scholar] [CrossRef]
- Jin, X.-K.; Chen, J.-J.; Chen, F.-J.; Duan, H.-M.; Wang, Z.-Y.; Li, J.-H. Solid-State Synthesis of ZnO/ZnS Photocatalyst with Efficient Organic Pollutant Degradation Performance. Catalysts 2022, 12, 981. [Google Scholar] [CrossRef]
- Zhao, J.-Y.; Sun, J.-P.; Meng, X.-C.; Li, Z.-Z. Recent Advances in Vehicle Exhaust Treatment with Photocatalytic Technology. Catalysts 2022, 12, 1051. [Google Scholar] [CrossRef]
- Dai, Y.-H.; Cao, H.; Qi, C.-D.; Zhao, Y.-J.; Wen, Y.-N.; Xu, C.-M.; Zhong, Q.; Sun, D.-Y.; Zhou, S.-H.; Yang, B.; et al. L-cysteine boosted Fe(III)-activated peracetic acid system for sulfamethoxazole degradation: Role of L-cysteine and mechanism. Chem. Eng. J. 2023, 451, 138588. [Google Scholar] [CrossRef]
- Cao, F.; Wang, T.; Ji, X.-H. Enhanced visible photocatalytic activity of tree-like ZnO/CuO nanostructure on Cu foam. Appl. Surf. Sci. 2019, 471, 417–424. [Google Scholar] [CrossRef]
- Ashoka, S.; Chithaiah, P.; Thipperudraiah, K.V.; Chandrappa, G.T. Nanostructural zinc oxide hollow spheres: A facile synthesis and catalytic properties. Inorg. Chim. Acta 2010, 363, 3442–3447. [Google Scholar] [CrossRef]
- Goktas, A.; Modanlı, S.; Tumbul, A.; Kilic, A. Facile synthesis and characterization of ZnO, ZnO: Co, and ZnO/ZnO: Co nano rod-like homojunction thin films: Role of crystallite/grain size and microstrain in photocatalytic performance. J. Alloys Compd. 2022, 893, 162334. [Google Scholar] [CrossRef]
- Vasantharaj, S.; Sathiyavimal, S.; Senthilkumar, P.; Kalpana, V.N.; Rajalakshmi, G.; Alsehli, M.; Elfasakhany, A.; Pugazhendhi, A. Enhanced photocatalytic degradation of water pollutants using bio-green synthesis of zinc oxide nanoparticles (ZnO NPs). J. Environ. Chem. Eng. 2021, 9, 105772. [Google Scholar] [CrossRef]
- Borsagli, F.J.L.M.; Paiva, A.E. Eco-friendly luminescent ZnO nanoconjugates with thiol group for potential environmental photocatalytic activity. J. Environ. Chem. Eng. 2021, 9, 105491. [Google Scholar] [CrossRef]
- Dai, Y.-H.; Qi, C.-D.; Cao, H.; Wen, Y.-N.; Zhao, Y.-J.; Xu, C.-M.; Yang, S.-G.; He, H. Enhanced degradation of sulfamethoxazole by microwave-activated peracetic acid under alkaline condition: Influencing factors and mechanism. Sep. Purif. Technol. 2022, 288, 20716. [Google Scholar] [CrossRef]
- Zhao, W.-X.; Liu, S.; Zhang, S.; Wang, R.; Wang, K.-Q. Preparation and visible-light photocatalytic activity of N-doped TiO2 by plasma-assisted sol-gel method. Catal. Today 2019, 337, 37–43. [Google Scholar] [CrossRef]
- Wang, S.-B.; Zhang, X.-W.; Li, S.; Fang, Y.; Pan, L.; Zou, J.-J. C-doped ZnO ball-in-ball hollow microspheres for efficient photocatalytic and photoelectrochemical applications. J. Hazard. Mater. 2017, 331, 235–245. [Google Scholar] [CrossRef]
- Li, Y.-Y.; Liang, S.-Y.; Sun, H.-H.; Hua, W.; Wang, J.-G. Defect Engineering and Surface Polarization of TiO2 Nanorod Arrays toward Efficient Photoelectrochemical Oxygen Evolution. Catalysts 2022, 12, 1021. [Google Scholar] [CrossRef]
- Wang, H.-W.; Yu, T.-T.; Li, Y.-H.; Liu, L.-F.; Gao, C.-F.; Ding, J. Self-sustained bioelectrical reduction system assisted iron–manganese doped metal-organic framework membrane for the treatment of electroplating wastewater. J. Clean. Prod. 2022, 331, 129972. [Google Scholar] [CrossRef]
- Zhu, W.-R.; Hao, N.; Yang, X.-D. Study on the determination of glucose based on manganese dioxide-oxygen-doped carbon nitride, coenzyme-free colorimetry. Anal. Chem. 2020, 48, 727–732. [Google Scholar]
- Liu, Y.-G.; Li, Z.-G.; Chen, W.-Z. Enzyme-free hydrogen peroxide sensor based on prussian manganese dioxide composite modified electrode. J. Inorg. Chem. 2020, 36, 421–425. [Google Scholar]
- Belousov, A.S.; Suleimanov, E.V.; Parkhacheva, A.A.; Fukina, D.G.; Koryagin, A.V.; Koroleva, A.V.; Zhizhin, E.V.; Gorshkov, A.P. Regulating of MnO2 photocatalytic activity in degradation of organic dyes by polymorphic engineering. Solid State Sci. 2022, 132, 106997. [Google Scholar] [CrossRef]
- Çakıroğlu, B.; Demirci, Y.C.; Gökgöz, E.; Özacar, M. A photoelectrochemical glucose and lactose biosensor consisting of gold nano- particles, MnO2 and g-C3N4 decorated TiO2. Sens. Actuators B Chem. 2019, 282, 282–289. [Google Scholar] [CrossRef]
- Majumder, T.; Dhar, S.; Debnath, K.; Mondal, S.P. Role of S, N co-doped graphene quantum dots as a green photosensitizer with Ag-doped ZnO nanorods for improved electrochemical solar energy conversion. Mater. Res. Bull. 2017, 93, 214–222. [Google Scholar] [CrossRef]
- Mika, K.; Syrek, K.; Uchacz, T.; Sulka, G.D.; Zaraska, L. Dark nanostructured ZnO films formed by anodic oxidation as photoanodes in photoelectrochemical water splitting. Electrochimica Acta 2022, 414, 140176. [Google Scholar] [CrossRef]
- Chiam, S.L.; Pung, S.Y.; Yeoh, F.Y. Recent developments in MnO2-based photocatalysts for organic dye removal: A review. Environ. Sci. Pollut. Res. 2020, 27, 5759–5778. [Google Scholar] [CrossRef]
- Lu, Y.-Q.; Ding, C.-S.; Guo, J.; Gan, W.; Chen, P.; Zhang, M.; Sun, Z.-Q. Highly efficient photodegradation of ciprofloxacin by dual Z-scheme Bi2MoO6/GQDs/TiO2 heterojunction photocatalysts: Mechanism analysis and pathway exploration. J. Alloys Compd. 2022, 924, 166533. [Google Scholar] [CrossRef]
- Saud Athar, M.; Danish, M.; Muneer, M. Fabrication of visible light-responsive dual Z-Scheme (α-Fe2O3/CdS/g-C3N4) ternary nanocomposites for enhanced photocatalytic performance and adsorption study in aqueous suspension. J. Environ. Chem. Eng. 2021, 9, 105754. [Google Scholar] [CrossRef]
- Yu, T.-T.; Liu, Q.-S.; Chen, G.; Liu, L.-F.; Zhang, J.-L.; Gao, C.-F.; Yang, T. Microbial coupled photocatalytic fuel cell with a double Z-scheme g-C3N4/ZnO/Bi4O5Br2 cathode for the degradation of different organic pollutants. Int. J. Hydrog. Energy 2022, 47, 3781–3790. [Google Scholar] [CrossRef]
- Jia, X.-W.; Wang, C.; Li, Y.-F.; Zhang, R.-Y.; Shi, Z.; Liu, X.-C.; Yu, X.-D.; Zhang, M.; Xing, Y. All-Solid-State Z-scheme Ta3N5/Bi/CaTaO2N photocatalyst transformed from perovskite CaBi2Ta2O9 for efficient overall water splitting. Chem. Eng. J. 2022, 431, 134041. [Google Scholar] [CrossRef]
- Zhang, M.; Yin, H.-F.; Yao, J.-C.; Arif, M.; Qiu, B.; Li, P.-F.; Liu, X.-H. All-solid-state Z-scheme BiOX(Cl, Br)-Au-CdS heterostructure: Photocatalytic activity and degradation pathway. Colloids Surf. A Physicochem. Eng. Asp. 2020, 602, 124778. [Google Scholar] [CrossRef]
- Jia, K.; Liu, G.; Lang, D.-N.; Chen, S.-F.; Yang, C.; Wu, R.-L.; Wang, W.; Wang, J.-D. Degradation of tetracycline by visible light over ZnO nanophotocatalyst. J. Taiwan Inst. Chem. Eng. 2022, 136, 104422. [Google Scholar] [CrossRef]
- Shaly, A.A.; Priya, G.H.; Matharasi, A.; Prabha, A.S.; Linet, J.M. The nature and role of α-MnO2 nanowires in the photocatalytic degradation of the antibiotic tetracycline. Mater. Today Proc. 2022, 5, 174. [Google Scholar]
- Liu, R.; Zuo, D.-Y.; Tan, C. Construction of C/ZnO/BiOI photocatalyst for enhanced degradation of carbaryl: Characterization, performance and mechanism. J. Alloys Compd. 2022, 911, 165023. [Google Scholar] [CrossRef]
- Zou, J.; Wu, K.; Wu, H.-D.; Guo, J.; Zhang, L.-F. Synthesis of heterostructure δ-MnO2/h-MoO3 nanocomposite and the enhanced photodegradation activity of methyl orange in aqueous solutions. J. Mater. Sci. 2020, 55, 3329–3346. [Google Scholar] [CrossRef]
- Ma, M.-L.; Chen, Y.; Jiang, J.B.; Bi, Y.-X.; Liao, Z.-J.; Ma, Y. One-dimensional recoverable ZnFe2O4/C/MnO2/BiOI magnetic composite with enhanced photocatalytic performance for organic dyes degradation. Environ. Sci. Pollut. Res. 2022, 29, 63233–63247. [Google Scholar] [CrossRef]
- Gao, Y.-Y.-X.; Li, L.; Zu, W.L.; Sun, Y.-G.; Gun, J.H.; Cao, Y.Z.; Yu, H.X.; Zhang, W.-Z. Preparation of Dual Z-scheme Bi2MoO6/ZnSnO3/ZnO Heterostructure Photocatalyst for Efficient Visible Light Degradation of Organic Pollutants. J. Inorg. Organomet. Polym. 2022, 32, 1840–1852. [Google Scholar] [CrossRef]
- Ma, M.-L.; Yang, Y.-Y.; Chen, Y.; Jiang, J.-B.; Ma, Y.; Wang, Z.-F.; Huang, W.-B.; Wang, S.-S.; Liu, M.-Q.; Ma, D.-X.; et al. Fabrication of hollow flower-like magnetic Fe3O4/C/MnO2/C3N4 composite with enhanced photocatalytic activity. Sci. Rep. 2021, 11, 2597. [Google Scholar] [CrossRef]
- Luo, Q.-Z.; Sun, Y.-H.; Lv, X.; Huang, L.; Fang, L.; Wang, R. Creation of direct Z-scheme Al/Ga co-doping biphasic ZnO/g-C3N4 heterojunction for the sunlight-driven photocatalytic degradations of methylene blue. J. Sol-Gel. Sci. Technol. 2022, 103, 876–889. [Google Scholar] [CrossRef]
- Zhou, Q.-J.; Zhang, L.-Z.; Zuo, P.J.; Wang, Y.; Yu, Z.-J. Enhanced photocatalytic performance of spherical BiOI/MnO2 composite and mechanism investigation. RSC Adv. 2018, 8, 36161–36166. [Google Scholar] [CrossRef] [PubMed]
- Zhang, G.-P.; Chen, D.Y.; Li, N.J.; Xu, Q.-F.; Li, H.; He, J.-H.; Lu, J.-M. Preparation of ZnIn2S4 nanosheet-coated CdS nanorod heterostructures for efficient photocatalytic reduction of Cr(VI). Appl. Catal. B Environ. 2018, 232, 164–174. [Google Scholar] [CrossRef]
- Yang, Y.-S.; Zhang, Y.; Gou, C.-S.; Wu, W.-J.; Wang, H.; Zeng, Q.-R. Solar photocatalytic degradation of thidiazuron in Yangtze river water matrix by Ag/AgCl-AC at circumneutral condition. Environ. Sci. Pollut. Res. Vol. 2020, 27, 40857–40869. [Google Scholar] [CrossRef] [PubMed]
- Chang, Y.-C.; Chiao, Y.-C.; Fun, Y.-X. Cu2O/CuS/ZnS Nanocomposite Boosts Blue LED-Light-Driven Photocatalytic Hydrogen Evolution. Catalysts 2022, 12, 1035. [Google Scholar] [CrossRef]
- Meda, U.S.; Vora, K.; Athrey, Y.; Mandi, U.A. Titanium dioxide based heterogeneous and heterojunction photocatalysts for pollution control applications in the construction industry. Process Saf. Environ. Prot. 2022, 161, 771–787. [Google Scholar] [CrossRef]
- Qi, C.-D.; Wen, Y.-N.; Zhao, Y.-J.; Li, Y.-P.; Xu, C.-M.; Yang, S.-G.; He, H. Enhanced degradation of organic contaminants by Fe(III)/peroxymonosulfate process with l-cysteine. Chin. Chem. Lett. 2022, 33, 2125–2128. [Google Scholar] [CrossRef]
- Zhang, B.; Hu, X.-Y.; Liu, E.-Z.; Fan, J. Novel S-scheme 2D/2D BiOBr/g-C3N4 heterojunctions with enhanced photocatalytic activity. Chin. J. Catal. 2021, 42, 1519–1529. [Google Scholar] [CrossRef]
- Mohamed, R.-G.; Fan, H.-Q.; Ian, H.-L. Room-temperature solid state synthesis of Co3O4/ZnO p-n heterostructure and its photocatalytic activity. Adv. Powder Technol. 2017, 28, 953–963. [Google Scholar] [CrossRef]
- Yao, S.-Y.; Wang, S.-Y.; Liu, R.-C. Delocalizing the d-electrons spin states of Mn site in MnO2 for anion-intercalation energy storage. Nano Energy 2022, 99, 107391. [Google Scholar] [CrossRef]
- Kim, D.; Yong, K. Boron doping induced charge transfer switching of a C3N4/ZnO photocatalyst from Z-scheme to type II to enhance photocatalytic hydrogen production. Appl. Catal. B Environ. 2021, 282, 119538. [Google Scholar] [CrossRef]
- Liu, Z.-H.; Cai, X.-N.; Fan, S.-L.; Zhang, Y.-J.; Hu, H.-Y.; Huang, Z.-Q.; Liang, J.; Qin, Y.-B. Preparation of a stable polyurethane sponge supported Sn-doped ZnO composite via double-template-regulated bionic mineralization for visible-light-driven photocatalytic degradation of tetracycline. J. Environ. Chem. Eng. 2021, 9, 105541. [Google Scholar] [CrossRef]
- Mollavali, M.; Falamaki, C.; Rohani, S. High performance NiS-nanoparticles sensitized TiO2 nanotube arrays for water reduction. Int. J. Hydrog. Energy 2016, 41, 5887–5901. [Google Scholar] [CrossRef]
- Feng, M.; Liu, Y.; Zhang, S.-N.; Liu, Y.-P.; Luo, N.; Wang, D.-A. Carbon quantum dots (CQDs) modified TiO2 nanorods photoelectrode for enhanced photocathodic protection of Q235 carbon steel. Corros. Sci. 2020, 176, 108919. [Google Scholar] [CrossRef]
- Liu, Y.; Yu, C.-Y.; Dai, W.; Gao, X.H.; Qian, H.-S.; Hu, Y.; Hu, X. One-pot solvothermal synthesis of multi-shelled α-Fe2O3 hollow spheres with enhanced visible-light photocatalytic activity. J. Alloys Compd. 2013, 551, 440–443. [Google Scholar] [CrossRef]
- Wan, N.; Xing, Z.-P.; Kuang, J.-Y.; Li, Z.-Z.; Yin, J.-W.; Zhu, Q.; Zhou, W. Oxygen vacancy-mediated efficient electron-hole separation for C-N-S-tridoped single crystal black TiO2(B) nanorods as visible-light-driven photocatalysts. Appl. Surf. Sci. 2018, 457, 287–294. [Google Scholar] [CrossRef]
- Eskizeybek, V.; Sarı, F.; Gülce, H.; Gülce, A.; Avcı, A. Preparation of the new polyaniline/ZnO nanocomposite and its photocatalytic activity for degradation of methylene blue and malachite green dyes under UV and natural sun lights irradiations. Appl. Catal. B Environ. 2012, 119–120, 197–206. [Google Scholar] [CrossRef]
- Li, Y.-J.; George, P. Demopoulos; Precipitation of nanosized titanium dioxide from aqueous titanium(IV) chloride solutions by neutralization with MgO. Hydrometallurgy 2008, 90, 26–33. [Google Scholar] [CrossRef]
- Dimitrakopoulou, D.; Rethemiotaki, I.; Frontistis, Z.; Xekoukoulotakis, N.P.; Venieri, D.; Mantzavinos, D. Degradation, mineralization and antibiotic inactivation of amoxicillin by UV-A/TiO2 photocatalysis. J. Environ. Manag. 2012, 98, 168–174. [Google Scholar] [CrossRef]
- Murgolo, S.; Petronella, F.; Ciannarella, R.; Comparelli, R.; Agostiano, A.; Curri, M.L.; Mascolo, G. UV and solar-based photocatalytic degradation of organic pollutants by nano-sized TiO2 grown on carbon nanotubes. Catal. Today 2015, 240, 114–124. [Google Scholar] [CrossRef]
- Mohite, S.V.; Kim, S.; Lee, C.; Bae, J.; Kim, Y. Z-scheme heterojunction photocatalyst: Deep eutectic solvents-assisted synthesis of Cu2O nanocluster improved hydrogen production of TiO2. J. Alloys Compd. 2022, 928, 167168. [Google Scholar] [CrossRef]
- Chen, Y.; Li, H.; Wang, Z.-P.; Tao, T.; Hu, C. Photoproducts of tetracycline and oxytetracycline involving self-sensitized oxidation in aqueous solutions:effects of Ca2+ and Mg2+. J. Environ. Sci. 2011, 23, 1634–1639. [Google Scholar] [CrossRef]
- Ahmadi, M.; Motlagh, H.R.; Jaafarzadeh, N.; Mostoufi, A.; Saeedi, R.; Barzegar, G.; Jorfi, S. Enhanced photocatalytic degradation of tetracycline and real pharmaceutical wastewater using MWC NT/TiO2, nano-composite. J. Environ. Manag. 2017, 186, 55–63. [Google Scholar] [CrossRef] [PubMed]
- Wan, J.; Xue, P.; Wang, R.-M.; Liu, L.; Liu, E.-Z.; Sai, X.; Fan, J.; Hu, X.-Y. Synergistic effects in simultaneous photocatalytic removal of Cr(VI) and tetracycline hydrochloride by Z-scheme Co3O4/Ag/Bi2WO6 heterojunction. Appl. Surf. Sci. 2019, 483, 677–687. [Google Scholar] [CrossRef]
- Xu, Q.-L.; Zhang, L.-Y.; Yu, J.-Q.; Swelm, W.; Al-Ghamdi, A.A.; Jaroniec, M. Direct Z-scheme photocatalysts: Principles, synthesis, and applications. Mater. Today 2018, 21, 1042–1063. [Google Scholar] [CrossRef]
- Wang, J.; Wang, G.-H.; Wang, X.; Wu, Y.; Su, Y.; Tang, H. 3D/2D direct Z-scheme heterojunctions of hierarchical TiO2 microflowers/g-C3N4 nanosheets with enhanced charge carrier separation for photocatalytic H2 evolution. Carbon 2019, 149, 618–626. [Google Scholar] [CrossRef]













| Catalyst Composition | Type | Name of Pollution | Degradation Efficiency | References |
|---|---|---|---|---|
| SDS/ZnO | Type-ǁ | TC | 49% | [33] |
| α-MnO2 | TC | 51.55% | [34] | |
| C/ZnO/BiOI | Type-ǁ | carbaryl | 62.9% | [35] |
| δ-MnO2/h-MoO3 | Type-ǁ | MO | 80.55% | [36] |
| ZnFe2O4/C/MnO2 | Type-ǁ | MO | 91% | [37] |
| Bi2MoO6/ZnSnO3/ZnO | Type-Z | TC | 90% | [38] |
| Fe3O4/C/MnO2/C3N4 | Type-Z | MO | 94.11% | [39] |
| ZnO/g-C3N4 | Type-Z | MB | 95.4% | [40] |
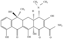
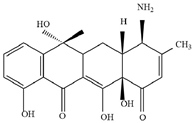
| Compound | [M+H]+ | Molecular Formula | Molecular Structural Formula |
|---|---|---|---|
| TC | 445 | C22H24O8N2 | ![]() |
| 1 | 388 | C20H20O8 | ![]() |
| 2 | 372 | C20H21O6N | ![]() |
| 3 | 330 | C19H22O5 | ![]() |
| 4 | 304 | C20H16O3 | ![]() |
| 5 | 279 | C15H21O4N | ![]() |
Publisher’s Note: MDPI stays neutral with regard to jurisdictional claims in published maps and institutional affiliations. |
© 2022 by the authors. Licensee MDPI, Basel, Switzerland. This article is an open access article distributed under the terms and conditions of the Creative Commons Attribution (CC BY) license (https://creativecommons.org/licenses/by/4.0/).
Share and Cite
Zhao, L.; Yu, T.; Yang, B.; Guo, H.; Liu, L.; Zhang, J.; Gao, C.; Yang, T.; Wang, M.; Zhang, Y. Wastewater Purification and All-Solid Z-Scheme Heterojunction ZnO-C/MnO2 Preparation: Properties and Mechanism. Catalysts 2022, 12, 1250. https://doi.org/10.3390/catal12101250
Zhao L, Yu T, Yang B, Guo H, Liu L, Zhang J, Gao C, Yang T, Wang M, Zhang Y. Wastewater Purification and All-Solid Z-Scheme Heterojunction ZnO-C/MnO2 Preparation: Properties and Mechanism. Catalysts. 2022; 12(10):1250. https://doi.org/10.3390/catal12101250
Chicago/Turabian StyleZhao, Lei, Tingting Yu, Bing Yang, Huilin Guo, Lifen Liu, Jinlong Zhang, Changfei Gao, Tao Yang, Mingyan Wang, and Yu Zhang. 2022. "Wastewater Purification and All-Solid Z-Scheme Heterojunction ZnO-C/MnO2 Preparation: Properties and Mechanism" Catalysts 12, no. 10: 1250. https://doi.org/10.3390/catal12101250
APA StyleZhao, L., Yu, T., Yang, B., Guo, H., Liu, L., Zhang, J., Gao, C., Yang, T., Wang, M., & Zhang, Y. (2022). Wastewater Purification and All-Solid Z-Scheme Heterojunction ZnO-C/MnO2 Preparation: Properties and Mechanism. Catalysts, 12(10), 1250. https://doi.org/10.3390/catal12101250






