Controlled Synthesis of CuS and Cu9S5 and Their Application in the Photocatalytic Mineralization of Tetracycline
Abstract
:1. Introduction
2. Results and Discussion
2.1. Structural Studies
2.2. SEM and TEM Analysis
2.3. UV–Vis and Photoluminescence Spectra
2.4. Photocatalysis Studies
2.5. Dark Absorption and Photocatalytic Performances
2.6. Photocatalytic Degradation of TC Using Digenite and Covellite Catalysts
2.7. Effect of Catalysts Loading
3. Materials and Methods
3.1. Instrumentation
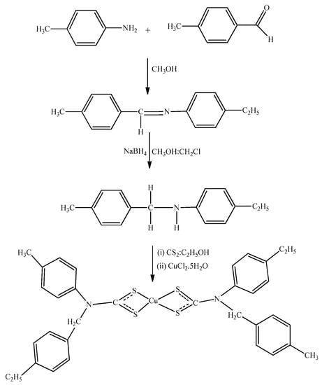
3.2. Preparation of Copper(II) bis(N-4-methylbenzyl)-N-(4-ethylphenyl) Dithiocarbamate
3.3. Preparation of Copper Sulfide Nanoparticles
3.4. Photocatalytic Experiment
4. Conclusions
Author Contributions
Funding
Acknowledgments
Conflicts of Interest
References
- Senthilkumar, M.; Babu, S.M. Synthesis and characterization of hexagonal faceted copper sulfide (Cu1.8S) nanodisks. Mater. Sci. Semicond. Process. 2015, 40, 203–208. [Google Scholar] [CrossRef]
- Zheng, L.; Teng, F.; Ye, X.; Zheng, H.; Fang, X. Photo/electrochemical applications of metal sulfide/TiO2 heterostructures. Adv. Energy Mater. 2020, 10, 1902355. [Google Scholar] [CrossRef]
- Botha, N.L.; Ajibade, P.A. Effect of temperature on crystallite sizes of copper sulfide nanocrystals prepared from copper (II) dithiocarbamate single source precursor. Mater. Sci. Semicond. Process. 2016, 43, 149–154. [Google Scholar] [CrossRef]
- Wang, Y.; Hu, Y.; Zhang, Q.; Ge, J.; Lu, Z.; Hou, Y.; Yin, Y. One-pot synthesis and optical property of copper (I) sulfide nanodisks. Inorg. Chem. 2010, 49, 6601–6608. [Google Scholar] [CrossRef]
- Tian, Q.; Jiang, F.; Zou, R.; Liu, Q.; Chen, Z.; Zhu, M.; Yang, S.; Wang, J.; Wang, J.; Hu, J. Hydrophilic Cu9S5 nanocrystals: A photothermal agent with a 25.7% heat conversion efficiency for photothermal ablation of cancer cells in vivo. ACS Nano 2011, 5, 9761–9771. [Google Scholar] [CrossRef]
- Abdelhady, A.L.; Malik, M.A.; O’Brien, P. High-throughput route to Cu2− xS nanoparticles from single molecular precursor. Mater. Sci. Semicond. Process. 2012, 15, 218–221. [Google Scholar] [CrossRef]
- Ghahremaninezhad, A.; Asselin, E.; Dixon, D. Electrodeposition and growth mechanism of copper sulfide nanowires. J. Phys. Chem. C 2011, 115, 9320–9334. [Google Scholar] [CrossRef]
- Yoon, D.; Jin, H.; Ryu, S.; Park, S.; Baik, H.; Oh, S.J.; Haam, S.; Joo, C.; Lee, K. Scalable synthesis of djurleite copper sulphide (Cu1.94S) hexagonal nanoplates from a single precursor copper thiocyanate and their photothermal properties. CrystEngComm 2015, 17, 4627–4631. [Google Scholar] [CrossRef]
- Zhang, H.; Zhang, Y.; Yu, J.; Yang, D. Phase-selective synthesis and self-assembly of monodisperse copper sulfide nanocrystals. J. Phys. Chem. C 2008, 112, 13390–13394. [Google Scholar] [CrossRef]
- Whiteside, L.S.; Goble, R.J. Structural and compositional changes in copper sulfide during leaching and dissolution. Can. Mineral. 1986, 24, 247–258. [Google Scholar]
- Senthilkumar, M.; Mary, C.I.; Manobalaji, G.; Babu, S.M. Ligand assisted tunability of morphological and optical properties of copper sulfide nanocrystals. Mater. Sci. Semicond. Process. 2019, 104, 104685. [Google Scholar] [CrossRef]
- Liu, Y.; Liu, M.; Swihart, M.T. Reversible crystal phase interconversion between covellite CuS and high chalcocite Cu2S nanocrystals. Chem. Mater. 2017, 29, 4783–4791. [Google Scholar] [CrossRef]
- Liao, X.-H.; Chen, N.-Y.; Xu, S.; Yang, S.-B.; Zhu, J.-J. A microwave assisted heating method for the preparation of copper sulfide nanorods. J. Cryst. Growth 2003, 252, 593–598. [Google Scholar] [CrossRef]
- Mu, C.-F.; Yao, Q.-Z.; Qu, X.-F.; Zhou, G.-T.; Li, M.-L.; Fu, S.-Q. Controlled synthesis of various hierarchical nanostructures of copper sulfide by a facile microwave irradiation method. Colloids Surf. A Physicochem. Eng. Asp. 2010, 371, 14–21. [Google Scholar] [CrossRef]
- Jia, B.; Qin, M.; Jiang, X.; Zhang, Z.; Zhang, L.; Liu, Y.; Qu, X. Synthesis, characterization, shape evolution, and optical properties of copper sulfide hexagonal bifrustum nanocrystals. J. Nanoparticle Res. 2013, 15, 1469. [Google Scholar] [CrossRef]
- Chen, L.; Yu, W.; Li, Y. Synthesis and characterization of tubular CuS with flower-like wall from a low temperature hydrothermal route. Powder Technol. 2009, 191, 52–54. [Google Scholar] [CrossRef]
- Phuruangrat, A.; Thongtem, T.; Thongtem, S. Characterization of copper sulfide hexananoplates, and nanoparticles synthesized by a sonochemical method. Chalcogenide Lett. 2011, 8, 291–295. [Google Scholar]
- Singh, A.; Manivannan, R.; Victoria, S.N. Simple one-pot sonochemical synthesis of copper sulphide nanoparticles for solar cell applications. Arab. J. Chem. 2019, 12, 2439–2447. [Google Scholar] [CrossRef] [Green Version]
- Cheng, Z.; Wang, S.; Si, D.; Geng, B. Controlled synthesis of copper sulfide 3D nanoarchitectures through a facile hydrothermal route. J. Alloys Compd. 2010, 492, L44–L49. [Google Scholar] [CrossRef]
- Li, J.; Zhao, H.; Chen, X.; Jia, H.; Zheng, Z. In situ fabricate Cu2S thin film with hierarchical petal-like nanostructures. Mater. Res. Bull. 2013, 48, 2940–2943. [Google Scholar] [CrossRef]
- Coughlan, C.; Ibanez, M.; Dobrozhan, O.; Singh, A.; Cabot, A.; Ryan, K.M. Compound copper chalcogenide nanocrystals. Chem. Rev. 2017, 117, 5865–6109. [Google Scholar] [CrossRef]
- Ajibade, P.A.; Botha, N.L. Synthesis and structural studies of copper sulfide nanocrystals. Results Phys. 2016, 6, 581–589. [Google Scholar] [CrossRef] [Green Version]
- Dhasade, S.; Patil, J.; Han, S.; Rath, M.; Fulari, V. Copper sulfide nanorods grown at room temperature for photovoltaic application. Mater. Lett. 2013, 90, 138–141. [Google Scholar] [CrossRef]
- Ke, H.; Luo, W.; Cheng, G.; Tian, X.; Pi, Z. Synthesis of flower-like CuS nanostructured microspheres using poly (ethylene glycol) 200 as solvent. J. Nanosci. Nanotechnol. 2010, 10, 7770–7773. [Google Scholar] [CrossRef]
- Das, G.; Kakati, N.; Lee, S.H.; Karak, N.; Yoon, Y.S. Water soluble sodium sulfate nanorods as a versatile template for the designing of copper sulfide nanotubes. J. Nanosci. Nanotechnol. 2014, 14, 4455–4461. [Google Scholar] [CrossRef]
- Lim, W.P.; Wong, C.T.; Ang, S.L.; Low, H.Y.; Chin, W.S. Phase-selective synthesis of copper sulfide nanocrystals. Chem. Mater. 2006, 18, 6170–6177. [Google Scholar] [CrossRef]
- Du, W.; Qian, X.; Ma, X.; Gong, Q.; Cao, H.; Yin, J. Shape-Controlled Synthesis and Self-Assembly of Hexagonal Covellite (CuS) Nanoplatelets. Chem. A Eur. J. 2007, 13, 3241–3247. [Google Scholar] [CrossRef] [PubMed]
- Zhang, P.; Gao, L. Copper sulfide flakes and nanodisks. J. Mater. Chem. 2003, 13, 2007–2010. [Google Scholar] [CrossRef]
- Du, Y.; Yin, Z.; Zhu, J.; Huang, X.; Wu, X.-J.; Zeng, Z.; Yan, Q.; Zhang, H. A general method for the large-scale synthesis of uniform ultrathin metal sulphide nanocrystals. Nat. Commun. 2012, 3, 1177. [Google Scholar] [CrossRef] [Green Version]
- Zhu, H.; Ji, X.; Yang, D.; Ji, Y.; Zhang, H. Novel CuS hollow spheres fabricated by a novel hydrothermal method. Microporous Mesoporous Mater. 2005, 80, 153–156. [Google Scholar] [CrossRef]
- Wu, S.; Hu, H.; Lin, Y.; Zhang, J.; Hu, Y.H. Visible light photocatalytic degradation of tetracycline over TiO2. Chem. Eng. J. 2020, 382, 122842. [Google Scholar] [CrossRef]
- Leng, Y.; Bao, J.; Xiao, H.; Song, D.; Du, J.; Mohapatra, S.; Werner, D.; Wang, J. Transformation mechanisms of tetracycline by horseradish peroxidase with/without redox mediator ABTS for variable water chemistry. Chemosphere 2020, 258, 127306. [Google Scholar] [CrossRef] [PubMed]
- Rizzi, V.; Lacalamita, D.; Gubitosa, J.; Fini, P.; Petrella, A.; Romita, R.; Agostiano, A.; Gabaldón, J.A.; Fortea Gorbe, M.I.; Gómez-Morte, T.; et al. Removal of tetracycline from polluted water by chitosan-olive pomace adsorbing films. Sci. Total Environ. 2019, 693, 133620. [Google Scholar] [CrossRef]
- Zhang, Z.; Ding, C.; Li, Y.; Ke, H.; Cheng, G. Efficient removal of tetracycline hydrochloride from aqueous solution by mesoporous cage MOF-818. SN Appl. Sci. 2020, 2, 669. [Google Scholar] [CrossRef] [Green Version]
- Wu, K.; Zhang, C.; Liu, T.; Lei, H.; Yang, S.; Jin, P. The removal of tetracycline, oxytetracycline, and chlortetracycline by manganese oxide-doped copper oxide: The behaviors and insights of Cu-Mn combination for enhancing antibiotics removal. Environ. Sci. Pollut. Res. Int. 2020, 27, 12613–12623. [Google Scholar] [CrossRef]
- Smilack, J.D. The tetracyclines. Mayo Clin. Proc. 1999, 74, 727–729. [Google Scholar] [CrossRef]
- Græsbøll, K.; Larsen, I.; Clasen, J.; Birkegård, A.C.; Nielsen, J.P.; Christiansen, L.E.; Olsen, J.E.; Angen, Ø.; Folkesson, A. Effect of tetracycline treatment regimens on antibiotic resistance gene selection over time in nursery pigs. BMC Microbiol. 2019, 19, 269. [Google Scholar] [CrossRef] [Green Version]
- Garrett, J.P.D.; Margolis, D.J. Impact of Long-Term Antibiotic Use for Acne on Bacterial Ecology and Health Outcomes: A Review of Observational Studies. Curr. Dermatol. Rep. 2012, 1, 23–28. [Google Scholar] [CrossRef] [Green Version]
- Miao, J.; Wang, F.; Chen, Y.; Zhu, Y.; Zhou, Y.; Zhang, S. The adsorption performance of tetracyclines on magnetic graphene oxide: A novel antibiotics absorbent. Appl. Surf. Sci. 2019, 475, 549–558. [Google Scholar] [CrossRef]
- Gao, Y.; Li, Y.; Zhang, L.; Huang, H.; Hu, J.; Shah, S.M.; Su, X. Adsorption and removal of tetracycline antibiotics from aqueous solution by graphene oxide. J. Colloid Interface Sci. 2012, 368, 540–546. [Google Scholar] [CrossRef] [PubMed]
- Zhao, C.; Yin, W.; Xu, J.; Zhang, Y.; Shang, D.; Guo, Z.; Wang, Q.; Wang, J.; Kong, Q. Removal of Tetracycline from Water Using Activated Carbon Derived from the Mixture of Phragmites australis and Waterworks Sludge. ACS Omega 2020, 5, 16045–16052. [Google Scholar] [CrossRef]
- Saitoh, T.; Shibata, K.; Fujimori, K.; Ohtani, Y. Rapid removal of tetracycline antibiotics from water by coagulation-flotation of sodium dodecyl sulfate and poly (allylamine hydrochloride) in the presence of Al (III) ions. Sep. Purif. Technol. 2017, 187, 76–83. [Google Scholar] [CrossRef]
- Jeong, J.; Song, W.; Cooper, W.J.; Jung, J.; Greaves, J. Degradation of tetracycline antibiotics: Mechanisms and kinetic studies for advanced oxidation/reduction processes. Chemosphere 2010, 78, 533–540. [Google Scholar] [CrossRef] [PubMed]
- Guo, J.; Jiang, L.; Liang, J.; Xu, W.; Yu, H.; Zhang, J.; Ye, S.; Xing, W.; Yuan, X. Photocatalytic degradation of tetracycline antibiotics using delafossite silver ferrite-based Z-scheme photocatalyst: Pathways and mechanism insight. Chemosphere 2021, 270, 128651. [Google Scholar] [CrossRef]
- Vu, T.H.; Ngo, T.M.V.; Duong, T.T.A.; Nguyen, T.H.L.; Mai, X.T.; Pham, T.H.N.; Le, T.P.; Tran, T.H. Removal of Tetracycline from Aqueous Solution Using Nanocomposite Based on Polyanion-Modified Laterite Material. J. Anal. Methods Chem. 2020, 2020, 6623511. [Google Scholar] [CrossRef]
- Ji, H.; Cao, J.; Feng, J.; Chang, X.; Ma, X.; Liu, J.; Zheng, M. Fabrication of CuS nanocrystals with various morphologies in the presence of a nonionic surfactant. Mater. Lett. 2005, 59, 3169–3172. [Google Scholar] [CrossRef]
- Rajendran, V.; Gajendiran, J. Nonionic surfactant poly (ethane 1, 2-diol)-400 assisted solvothermal synthesis of copper monosulfide (CuS) nanoplates and their structural, topographical, optical and luminescent properties. Mater. Sci. Semicond. Process. 2015, 36, 92–95. [Google Scholar] [CrossRef]
- Yadav, S.; Bajpai, P.K. Synthesis of copper sulfide nanoparticles: pH dependent phase stabilization. Nano Struct. Nano Objects 2017, 10, 151–158. [Google Scholar] [CrossRef]
- Leidinger, P.; Popescu, R.; Gerthsen, D.; Lünsdorf, H.; Feldmann, C. Nanoscale copper sulfide hollow spheres with phase-engineered composition: Covellite (CuS), digenite (Cu1.8S), chalcocite (Cu2S). Nanoscale 2011, 3, 2544–2551. [Google Scholar] [CrossRef] [PubMed]
- Sithole, R.K.; Machogo, L.F.E.; Moloto, M.J.; Gqoba, S.S.; Mubiayi, K.P.; Van Wyk, J.; Moloto, N. One-step synthesis of Cu3N, Cu2S and Cu9S5 and photocatalytic degradation of methyl orange and methylene blue. J. Photochem. Photobiol. A Chem. 2020, 397, 112577. [Google Scholar] [CrossRef]
- Olalekan, O.C.; Onwudiwe, D.C. Temperature controlled evolution of pure phase Cu9S5 nanoparticles by solvothermal process. Front. Mater. 2021, 7562. [Google Scholar] [CrossRef]
- Yadav, S.; Shrivas, K.; Bajpai, P. Role of precursors in controlling the size, shape and morphology in the synthesis of copper sulfide nanoparticles and their application for fluorescence detection. J. Alloys Compd. 2019, 772, 579–592. [Google Scholar] [CrossRef]
- Iqbal, S.; Shaid, N.A.; Sajid, M.M.; Javed, Y.; Fakhar-e-Alam, M.; Mahmood, A.; Ahmad, G.; Afzal, A.M.; Hussain, S.Z.; Ali, F. Extensive evaluation of changes in structural, chemical and thermal properties of copper sulfide nanoparticles at different calcination temperature. J. Cryst. Growth 2020, 547, 125823. [Google Scholar] [CrossRef]
- Tao, F.; Zhang, Y.; Zhang, F.; An, Y.; Dong, L.; Yin, Y. Structural evolution from CuS nanoflowers to Cu9S5 nanosheets and their applications in environmental pollution removal and photothermal conversion. RSC Adv. 2016, 6, 63820–63826. [Google Scholar] [CrossRef]
- Hosseinpour, Z.; Alemi, A.; Khandar, A.A.; Zhao, X.; Xie, Y. A controlled solvothermal synthesis of CuS hierarchical structures and their natural-light-induced photocatalytic properties. New J. Chem. 2015, 39, 5470–5476. [Google Scholar] [CrossRef]
- Zhao, Y.; Pan, H.; Lou, Y.; Qiu, X.; Zhu, J.; Burda, C. Plasmonic Cu2−xS nanocrystals: Optical and structural properties of copper-deficient copper (I) sulfides. J. Am. Chem. Soc. 2009, 131, 4253–4261. [Google Scholar] [CrossRef]
- Jiang, J.; Jiang, Q.; Deng, R.; Xie, X.; Meng, J. Controllable preparation, formation mechanism and photocatalytic performance of copper base sulfide nanoparticles. Mater. Chem. Phys. 2020, 254, 123504. [Google Scholar] [CrossRef]
- Tauc, J. Optical properties and electronic structure of amorphous Ge and Si. Mater. Res. Bull. 1968, 3, 37–46. [Google Scholar] [CrossRef]
- Kundu, J.; Pradhan, D. Controlled synthesis and catalytic activity of copper sulfide nanostructured assemblies with different morphologies. ACS Appl. Mater. Interfaces 2014, 6, 1823–1834. [Google Scholar] [CrossRef]
- Cruz, J.S.; Hernández, S.M.; Delgado, F.P.; Angel, O.Z.; Pérez, R.C.; Delgado, G.T. Optical and electrical properties of thin films of CuS nanodisks ensembles annealed in a vacuum and their photocatalytic activity. Int. J. Photoenergy 2013, 2013, 178017. [Google Scholar]
- Senthilkumar, M.; Babu, S.M. Crystal structure controlled synthesis and characterization of copper sulfide nanoparticles. Proc. AIP Conf. 2016, 050131. [Google Scholar] [CrossRef]
- Shi, J.; Zhou, X.; Liu, Y.; Su, Q.; Zhang, J.; Du, G. Sonochemical synthesis of CuS/reduced graphene oxide nanocomposites with enhanced absorption and photocatalytic performance. Mater. Lett. 2014, 126, 220–223. [Google Scholar] [CrossRef]
- Jiang, X.; Xie, Y.; Lu, J.; He, W.; Zhu, L.; Qian, Y. Preparation and phase transformation of nanocrystalline copper sulfides (Cu9S8, Cu7S4 and CuS) at low temperature. J. Mater. Chem. 2000, 10, 2193–2196. [Google Scholar] [CrossRef]
- Sreelekha, N.; Subramanyam, K.; Reddy, D.A.; Murali, G.; Ramu, S.; Varma, K.R.; Vijayalakshmi, R. Structural, optical, magnetic and photocatalytic properties of Co doped CuS diluted magnetic semiconductor nanoparticles. Appl. Surf. Sci. 2016, 378, 330–340. [Google Scholar] [CrossRef]
- Kalyanikutty, K.; Nikhila, M.; Maitra, U.; Rao, C.N.R. Hydrogel-assisted synthesis of nanotubes and nanorods of CdS, ZnS and CuS, showing some evidence for oriented attachment. Chem. Phys. Lett. 2006, 432, 190–194. [Google Scholar] [CrossRef]
- Wang, X.-y.; Fang, Z.; Lin, X. Copper sulfide nanotubes: Facile, large-scale synthesis, and application in photodegradation. J. Nanoparticle Res. 2009, 11, 731–736. [Google Scholar] [CrossRef]
- Zhang, F.; Wong, S.S. Controlled synthesis of semiconducting metal sulfide nanowires. Chem. Mater. 2009, 21, 4541–4554. [Google Scholar] [CrossRef]
- Wessels, J.; Ford, W.; Szymczak, W.; Schneider, S. The complexation of tetracycline and anhydrotetracycline with Mg2+ and Ca2+: A spectroscopic study. J. Phys. Chem. B 1998, 102, 9323–9331. [Google Scholar] [CrossRef]
- Jin, L.; Amaya-Mazo, X.; Apel, M.E.; Sankisa, S.S.; Johnson, E.; Zbyszynska, M.A.; Han, A. Ca2+ and Mg2+ bind tetracycline with distinct stoichiometries and linked deprotonation. Biophys. Chem. 2007, 128, 185–196. [Google Scholar] [CrossRef] [PubMed]
- Figueroa, R.A.; Leonard, A.; MacKay, A.A. Modeling tetracycline antibiotic sorption to clays. Environ. Sci. Technol. 2004, 38, 476–483. [Google Scholar] [CrossRef] [PubMed]
- Boreen, A.L.; Arnold, W.A.; McNeill, K. Photochemical fate of sulfa drugs in the aquatic environment: Sulfa drugs containing five-membered heterocyclic groups. Environ. Sci. Technol. 2004, 38, 3933–3940. [Google Scholar] [CrossRef] [PubMed]
- Jiao, S.; Zheng, S.; Yin, D.; Wang, L.; Chen, L. Aqueous photolysis of tetracycline and toxicity of photolytic products to luminescent bacteria. Chemosphere 2008, 73, 377–382. [Google Scholar] [CrossRef]
- Yu, X.; He, J.; Zhang, Y.; Hu, J.; Chen, F.; Wang, Y.; He, G.; Liu, J.; He, Q. Effective photodegradation of tetracycline by narrow-energy band gap photocatalysts La2−xSrxNiMnO6 (x = 0, 0.05, 0.10, and 0.125). J. Alloys Compd. 2019, 806, 451–463. [Google Scholar] [CrossRef]
- Yousaf, M.; Minallah, S.; Niazi, M.; Pervaiz, E.; Yang, M.; Liu, H. Ternary adsorbent photocatalyst hybrid (APH) nanomaterials for improved abstraction of tetracycline from water. Sep. Sci. Technol. 2019, 54. [Google Scholar] [CrossRef]
- Lou, Y.; Chen, X.; Samia, A.C.; Burda, C. Femtosecond Spectroscopic Investigation of the Carrier Lifetimes in Digenite Quantum Dots and Discrimination of the Electron and Hole Dynamics via Ultrafast Interfacial Electron Transfer. J. Phys. Chem. B 2003, 107, 12431–12437. [Google Scholar] [CrossRef]
- Nagamine, M.; Osial, M.; Jackowska, K.; Krysinski, P.; Widera-Kalinowska, J. Tetracycline Photocatalytic Degradation under CdS Treatment. J. Mar. Sci. Eng. 2020, 8, 483. [Google Scholar] [CrossRef]
- Sathiyaraj, E.; Thirumaran, S.; Ciattini, S.; Selvanayagam, S. Synthesis and characterization of Ni (II) complexes with functionalized dithiocarbamates: New single source precursors for nickel sulfide and nickel-iron sulfide nanoparticles. Inorg. Chim. Acta 2019, 498, 119162. [Google Scholar] [CrossRef]










Publisher’s Note: MDPI stays neutral with regard to jurisdictional claims in published maps and institutional affiliations. |
© 2021 by the authors. Licensee MDPI, Basel, Switzerland. This article is an open access article distributed under the terms and conditions of the Creative Commons Attribution (CC BY) license (https://creativecommons.org/licenses/by/4.0/).
Share and Cite
Ravele, M.P.; Oyewo, O.A.; Onwudiwe, D.C. Controlled Synthesis of CuS and Cu9S5 and Their Application in the Photocatalytic Mineralization of Tetracycline. Catalysts 2021, 11, 899. https://doi.org/10.3390/catal11080899
Ravele MP, Oyewo OA, Onwudiwe DC. Controlled Synthesis of CuS and Cu9S5 and Their Application in the Photocatalytic Mineralization of Tetracycline. Catalysts. 2021; 11(8):899. https://doi.org/10.3390/catal11080899
Chicago/Turabian StyleRavele, Murendeni P., Opeyemi A. Oyewo, and Damian C. Onwudiwe. 2021. "Controlled Synthesis of CuS and Cu9S5 and Their Application in the Photocatalytic Mineralization of Tetracycline" Catalysts 11, no. 8: 899. https://doi.org/10.3390/catal11080899
APA StyleRavele, M. P., Oyewo, O. A., & Onwudiwe, D. C. (2021). Controlled Synthesis of CuS and Cu9S5 and Their Application in the Photocatalytic Mineralization of Tetracycline. Catalysts, 11(8), 899. https://doi.org/10.3390/catal11080899

