Mechanistic Insights into Selective Hydrogenation of C=C Bonds Catalyzed by CCC Cobalt Pincer Complexes: A DFT Study
Abstract
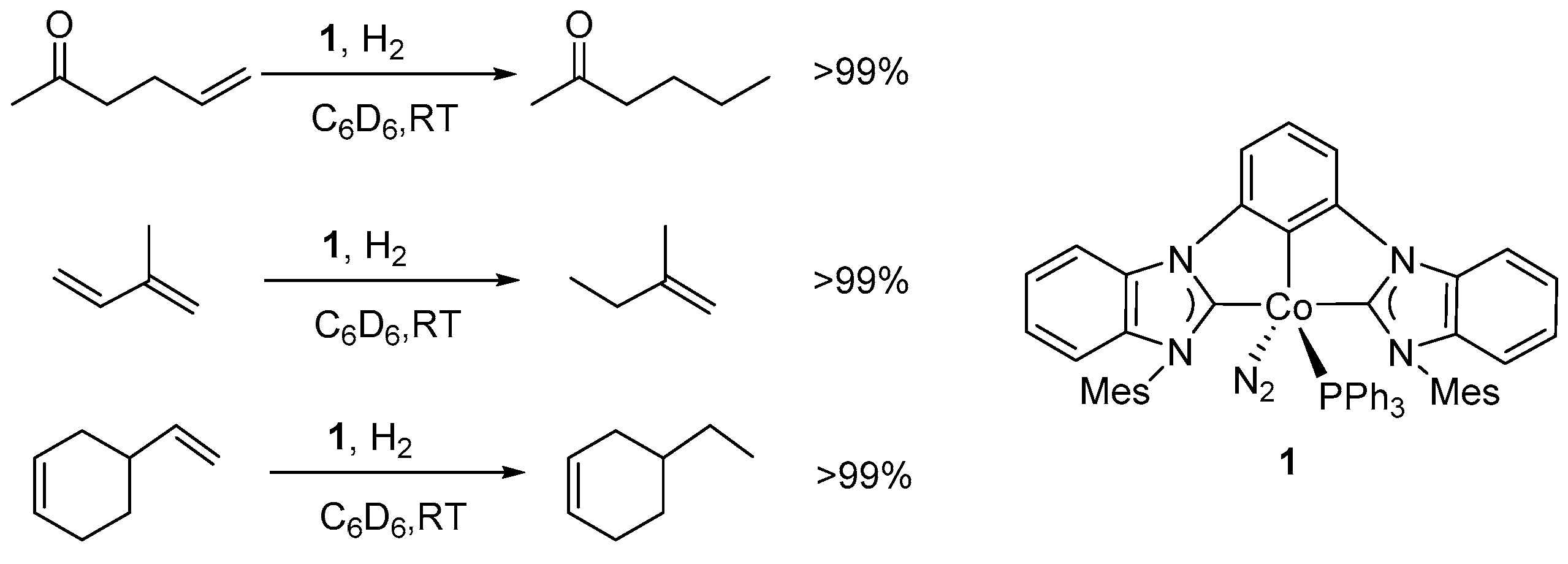
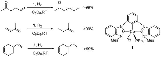
1. Introduction
2. Results and Discussion
2.1. Hydrogenation of Hex-5-En-2-One
2.1.1. Hydrogenation of C=C Bond
2.1.2. Hydrogenation of C=O Bond
2.2. Hydrogenation of Isoprene
2.2.1. Hydrogenation of Singly Substituted C=C Double Bond
2.2.2. Hydrogenation of the Doubly Substituted C=C Double Bond
2.3. Hydrogenation of 4-Vinylcyclohex-1-Ene
2.3.1. Hydrogenation of the Exocycle C=C Bond
2.3.2. Hydrogenation of the C=C Bond in Cycle
3. Computational Details
4. Conclusions
Supplementary Materials
Author Contributions
Funding
Data Availability Statement
Conflicts of Interest
References
- Verendel, J.J.; Pamies, O.; Dieguez, M.; Andersson, P.G. Asymmetric Hydrogenation of Olefins Using Chiral Crabtree-Type Catalysts: Scope and Limitations. Chem. Rev. 2014, 114, 2130–2169. [Google Scholar] [CrossRef]
- Burgess, K.; Zhu, Y. Filling Gaps in Asymmetric Hydrogenation Methods for Acyclic Stereocontrol: Application to Chirons for Polyketide-Derived Natural Products. Acc. Chem. Res. 2011, 45, 1623–1636. [Google Scholar]
- Church, T.L.; Andersson, P.G. Iridium catalysts for the asymmetric hydrogenation of olefins with nontraditional functional substituents. Coord. Chem. Rev. 2008, 252, 513–531. [Google Scholar] [CrossRef]
- Roseblade, S.J.; Pfaltz, A. Iridium-Catalyzed Asymmetric Hydrogenation of Olefins. Acc. Chem. Res. 2007, 40, 1402–1411. [Google Scholar] [CrossRef] [PubMed]
- Burgess, K.; Cui, X.H. Catalytic Homogeneous Asymmetric Hydrogenations of Largely Unfunctionalized Alkenes. Chem. Rev. 2005, 105, 3272–3296. [Google Scholar]
- Hartwig, J.F. (Ed.) Organotransition Metal Chemistry: From Bonding to Reactivity; University Science Books: Sausalito, CA, USA, 2010. [Google Scholar]
- Choi, J.; MacArthur, A.H.; Brookhart, M.; Goldman, A.S. Dehydrogenation and related reactions catalyzed by iridium pincer complexes. Chem. Rev. 2011, 111, 1761–1779. [Google Scholar] [CrossRef] [PubMed]
- Wu, X.; Li, X.; Zanotti-Gerosa, A.; Pettman, A.; Liu, J.; Mills, A.J.; Xiao, J. RhIII- and IrIII-catalyzed asymmetric transfer hydrogenation of ketones in water. Chem. Eur. J. 2008, 14, 2209–2222. [Google Scholar] [CrossRef]
- Etayo, P.; Vidal-Ferran, A. Rhodium-catalysed asymmetric hydrogenation as a valuable synthetic tool for the preparation of chiral drugs. Chem. Soc. Rev. 2013, 42, 728–754. [Google Scholar] [CrossRef]
- Junge, H.; Loges, B.; Beller, M. Novel improved ruthenium catalysts for the generation of hydrogen from alcohols. Chem. Commun. 2007, 522–524. [Google Scholar] [CrossRef]
- Huff, C.A.; Kampf, J.W.; Sanford, M.S. Reversible carbon-carbon bond formation between carbonyl compounds and a ruthenium pincer complex. Chem. Commun. 2013, 49, 7147–7149. [Google Scholar] [CrossRef]
- Nielsen, M.; Alberico, E.; Baumann, W.; Drexler, H.J.; Junge, H.; Gladiali, S.; Beller, M. Low-temperature aqueous-phase methanol dehydrogenation to hydrogen and carbon dioxide. Nature 2013, 495, 85–89. [Google Scholar] [CrossRef] [PubMed]
- Dobereiner, G.E.; Crabtree, R.H. Dehydrogenation as a Substrate-Activating Strategy in Homogeneous Transition-Metal Catalysis. Chem. Rev. 2010, 110, 681–703. [Google Scholar] [CrossRef] [PubMed]
- Chen, Q.A.; Ye, Z.S.; Duan, Y.; Zhou, Y.G. Homogeneous palladium-catalyzed asymmetric hydrogenation. Chem. Soc. Rev. 2013, 42, 497–511. [Google Scholar] [CrossRef] [PubMed]
- Chirik, P.J. Iron- and Cobalt-Catalyzed Alkene Hydrogenation: Catalysis with Both Redox-Active and Strong Field Ligands. Acc. Chem. Res. 2015, 48, 1687–1695. [Google Scholar] [CrossRef]
- Bart, S.C.; Lobkovsky, E.; Chirik, P.J. Preparation and Molecular and Electronic Structures of Iron(0) Dinitrogen and Silane Complexes and Their Application to Catalytic Hydrogenation and Hydrosilation. J. Am. Chem. Soc. 2004, 126, 13794–13807. [Google Scholar] [CrossRef]
- Fong, H.; Peters, J.C. Hydricity of an Fe-H Species and Catalytic CO2 Hydrogenation. Inorg. Chem. 2015, 54, 5124–5135. [Google Scholar] [CrossRef]
- Liu, T.; Wang, X.; Hoffmann, C.; DuBois, D.L.; Bullock, R.M. Heterolytic cleavage of hydrogen by an iron hydrogenase model: An Fe-H···H-N dihydrogen bond characterized by neutron diffraction. Angew. Chem. Int. Ed. 2014, 53, 5300–5304. [Google Scholar] [CrossRef]
- Archer, A.M.; Bouwkamp, M.W.; Cortez, M.P.; Lobkovsky, E.; Chirik, P.J. Arene Coordination in Bis(imino)pyridine Iron Complexes: Identification of Catalyst Deactivation Pathways in Iron-Catalyzed Hydrogenation and Hydrosilation. Organometallics 2006, 25, 4269–4278. [Google Scholar] [CrossRef]
- Yu, R.P.; Darmon, J.M.; Hoyt, J.M.; Margulieux, G.W.; Turner, Z.R.; Chirik, P.J. High-Activity Iron Catalysts for the Hydrogenation of Hindered, Unfunctionalized Alkenes. ACS Catal. 2012, 2, 1760–1764. [Google Scholar] [CrossRef]
- Knijnenburg, Q.; Horton, A.D.; Heijden, H.; Kooistra, T.M.; Hetterscheid, D.G.H.; Smits, J.M.M.; Bruin, B.; Budzelaar, P.H.M.; Gal, A.W. Olefin Hydrogenation Using Diimine Pyridine Complexes of Co and Rh. J. Mol. Catal. A Chem. 2005, 232, 151–159. [Google Scholar] [CrossRef]
- Zhang, G.; Scott, B.L.; Hanson, S.K. Mild and Homogeneous Cobalt-Catalyzed Hydrogenation of C=C, C=O, and C=N Bonds. Angew. Chem. Int. Ed. 2012, 51, 12102–12106. [Google Scholar] [CrossRef] [PubMed]
- Zhang, G.; Vasudevan, K.V.; Scott, B.L.; Hanson, S.K. Understanding the Mechanisms of Cobalt-Catalyzed Hydrogenation and Dehydrogenation Reactions. J. Am. Chem. Soc. 2013, 135, 8668–8681. [Google Scholar] [CrossRef] [PubMed]
- Lin, T.P.; Peters, J.C. Boryl-Metal Bonds Facilitate Cobalt/Nickel-Catalyzed Olefin Hydrogenation. J. Am. Chem. Soc. 2014, 136, 13672–13683. [Google Scholar] [CrossRef] [PubMed]
- Lin, T.P.; Peters, J.C. Boryl-Mediated Reversible H2 Activation at Cobalt: Catalytic Hydrogenation, Dehydrogenation, and Transfer Hydrogenation. J. Am. Chem. Soc. 2013, 135, 15310–15313. [Google Scholar] [CrossRef]
- Friedfeld, M.R.; Shevlin, M.; Margulieux, G.W.; Campeau, L.C.; Chirik, P.J. Cobalt-Catalyzed Enantioselective Hydrogenation of Minimally Functionalized Alkenes: Isotopic Labeling Provides Insight into the Origin of Stereoselectivity and Alkene Insertion Preferences. J. Am. Chem. Soc. 2016, 138, 3314–3324. [Google Scholar] [CrossRef] [PubMed]
- Tokmic, K.; Markus, C.R.; Zhu, L.; Fout, A.R. Well-Defined Cobalt(I) Dihydrogen Catalyst: Experimental Evidence for a Co(I)/Co(III) Redox Process in Olefin Hydrogenation. J. Am. Chem. Soc. 2016, 138, 11907–11913. [Google Scholar] [CrossRef]
- Tokmic, K.; Greer, R.B.; Zhu, L.; Fout, A.R. (13)C NMR Signal Enhancement Using Parahydrogen-Induced Polarization Mediated by a Cobalt Hydrogenation Catalyst. J. Am. Chem. Soc. 2018, 140, 14844–14850. [Google Scholar] [CrossRef]
- Tokmic, K.; Fout, A.R. Alkyne Semihydrogenation with a Well-Defined Nonclassical Co-H2 Catalyst: A H2 Spin on Isomerization and E-Selectivity. J. Am. Chem. Soc. 2016, 138, 13700–13705. [Google Scholar] [CrossRef]
- Muhammad, S.R.; Nugent, J.W.; Tokmic, K.; Zhu, L.; Mahmoud, J.; Fout, A.R. Electronic Ligand Modifications on Cobalt Complexes and Their Application toward the Semi-Hydrogenation of Alkynes and Para-Hydrogenation of Alkenes. Organometallics 2019, 38, 3132–3138. [Google Scholar] [CrossRef]
- Frisch, M.J.; Trucks, G.W.; Schlegel, H.B.; Scuseria, G.E.; Robb, M.A.; Cheeseman, J.R.; Scalmani, G.; Barone, V.; Mennucci, B.; Petersson, G.A.; et al. Gaussian 09, Revision, C.01; Gaussian, Inc.: Wallingford, CT, USA, 2010. [Google Scholar]
- Chai, J.D.; Head-Gordon, M. Long-range corrected hybrid density functionals with damped atom-atom dispersion corrections. Phys. Chem. Chem. Phys. 2008, 10, 6615–6620. [Google Scholar] [CrossRef]
- Hehre, W.J.; Ditchfield, R.; Pople, J.A. Self-Consistent Molecular Orbital Methods. XII. Further Extensions of Gaussian-Type Basis Sets for Use in Molecular Orbital Studies of Organic Molecules. J. Chem. Phys. 1972, 56, 2257–2261. [Google Scholar] [CrossRef]
- Krishnan, R.; Binkley, J.S.; Seeger, R.; Pople, J.A. Self-consistent molecular orbital methods. XX. A basis set for correlated wave functions. J. Chem. Phys. 1980, 72, 650–654. [Google Scholar] [CrossRef]
- Martin, J.M.L.; Sundermann, A. Correlation consistent valence basis sets for use with the Stuttgart-Dresden-Bonn relativistic effective core potentials: The atoms Ga-Kr and In-Xe. J. Chem. Phys. 2000, 132, 3408–3420. [Google Scholar] [CrossRef]
- Tomasi, J.; Mennucci, B.; Cammi, R. Quantum Mechanical Continuum Solvation Models. Chem. Rev. 2005, 105, 2999–3093. [Google Scholar] [CrossRef]
- Marenich, A.V.; Cramer, C.T.; Truhlar, D.G. Universal Solvation Model Based on Solute Electron Density and on a Continuum Model of the Solvent Defined by the Bulk Dielectric Constant and Atomic Surface Tensions. J. Phys. Chem. B 2009, 113, 6378–6396. [Google Scholar] [CrossRef]
- Manson, J.; Webster, C.E.; Hall, M.B. JIMP2, Version 0.091; A Free Program for Visualizing and Manipulating Molecules; Texas A&M University: College Station, TX, USA, 2006. [Google Scholar]




















Publisher’s Note: MDPI stays neutral with regard to jurisdictional claims in published maps and institutional affiliations. |
© 2021 by the authors. Licensee MDPI, Basel, Switzerland. This article is an open access article distributed under the terms and conditions of the Creative Commons Attribution (CC BY) license (http://creativecommons.org/licenses/by/4.0/).
Share and Cite
Zuo, Z.; Yang, X. Mechanistic Insights into Selective Hydrogenation of C=C Bonds Catalyzed by CCC Cobalt Pincer Complexes: A DFT Study. Catalysts 2021, 11, 168. https://doi.org/10.3390/catal11020168
Zuo Z, Yang X. Mechanistic Insights into Selective Hydrogenation of C=C Bonds Catalyzed by CCC Cobalt Pincer Complexes: A DFT Study. Catalysts. 2021; 11(2):168. https://doi.org/10.3390/catal11020168
Chicago/Turabian StyleZuo, Zheng, and Xinzheng Yang. 2021. "Mechanistic Insights into Selective Hydrogenation of C=C Bonds Catalyzed by CCC Cobalt Pincer Complexes: A DFT Study" Catalysts 11, no. 2: 168. https://doi.org/10.3390/catal11020168
APA StyleZuo, Z., & Yang, X. (2021). Mechanistic Insights into Selective Hydrogenation of C=C Bonds Catalyzed by CCC Cobalt Pincer Complexes: A DFT Study. Catalysts, 11(2), 168. https://doi.org/10.3390/catal11020168

