The Effect of Transition Metal Substitution in the Perovskite-Type Oxides on the Physicochemical Properties and the Catalytic Performance in Diesel Soot Oxidation
Abstract
:1. Introduction
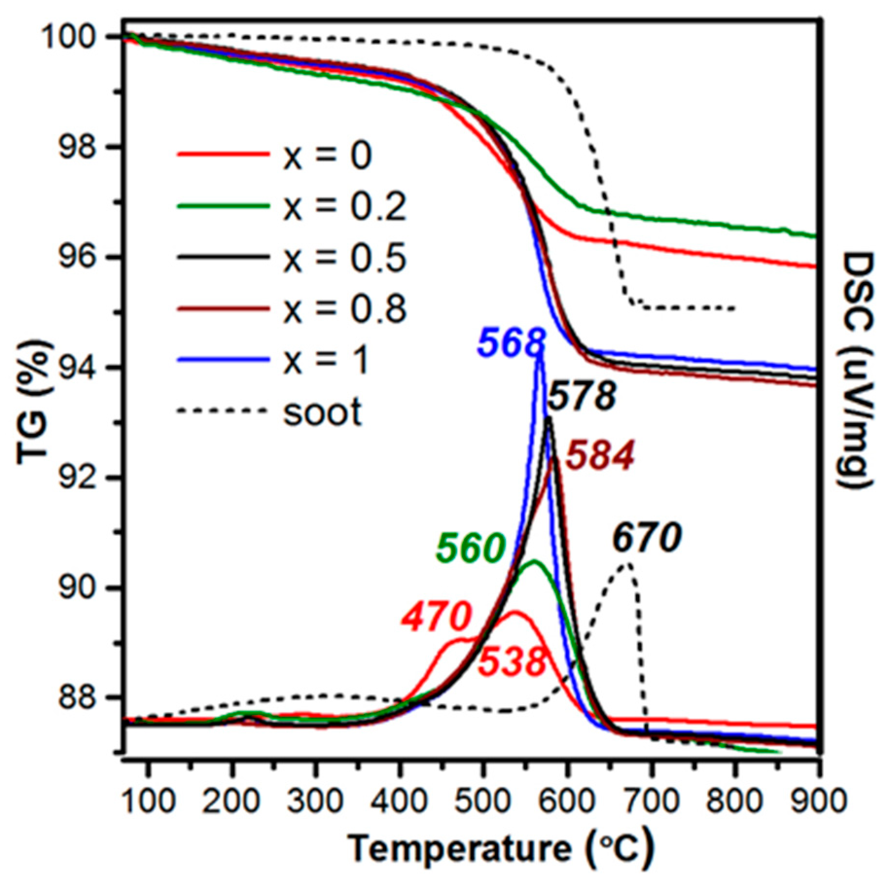
2. Results
3. Materials and Methods
3.1. Characterization
3.2. Catalytic Testing
4. Conclusions
Author Contributions
Funding
Data Availability Statement
Acknowledgments
Conflicts of Interest
References
- Omidvarborna, H.; Kumar, A.; Kim, D.S. Recent studies on soot modeling for diesel combustion. Renew. Sustain. Energy Rev. 2015, 48, 635–647. [Google Scholar] [CrossRef]
- Uppara, H.P.; Pasuparthy, J.S.; Pradhan, S.; Singh, S.K.; Labhsetwar, N.K.; Dasari, H. The comparative experimental investigations of SrMn(Co3+/Co2+)O3±δ and SrMn(Cu2+)O3±δ perovskites towards soot oxidation activity. Mol. Catal. 2019, 482, 110665. [Google Scholar] [CrossRef]
- Castillo Marcano, S.J.; Bensaid, S.; Deorsola, F.A.; Russo, N.; Fino, D. Multifunctional catalyst based on BaO/Pt/CeO2 for NO2-assisted soot abatement and NOx storage. Fuel 2015, 149, 78–84. [Google Scholar] [CrossRef]
- Yamazaki, K.; Kayama, T.; Dong, F.; Shinjoh, H. A mechanistic study on soot oxidation over CeO2-Ag catalyst with ‘rice-ball’ morphology. J. Catal. 2011, 282, 289–298. [Google Scholar] [CrossRef]
- Guo, X.; Meng, M.; Dai, F.; Li, Q.; Zhang, Z.; Jiang, Z.; Zhang, S.; Huang, Y. NOx-assisted soot combustion over dually substituted perovskite catalysts La1−xKxCo1−yPdyO3−δ. Appl. Catal. B Environ. 2013, 142–143, 278–289. [Google Scholar] [CrossRef]
- Yi, Y.; Liu, H.; Chu, B.; Qin, Z.; Dong, L.; He, H.; Tang, C.; Fan, M.; Bin, L. Catalytic removal NO by CO over LaNi0.5M0.5O3 (M = Co, Mn, Cu) perovskite oxide catalysts: Tune surface chemical composition to improve N2 selectivity. Chem. Eng. J. 2019, 369, 511–521. [Google Scholar] [CrossRef]
- Farhang, Y.; Taheri-Nassaj, E.; Rezaei, M. Pd doped LaSrCuO4 perovskite nano-catalysts synthesized by a novel solid state method for CO oxidation and Methane combustion. Ceram. Int. 2018, 44, 21499–21506. [Google Scholar] [CrossRef]
- Kucharczyk, B.; Okal, J.; Tylus, W.; Winiarski, J.; Szczygieł, B. The effect of the calcination temperature of LaFeO3 precursors on the properties and catalytic activity of perovskite in methane oxidation. Ceram. Int. 2019, 45, 2779–2788. [Google Scholar] [CrossRef]
- Sihaib, Z.; Puleo, F.; Pantaleo, G.; La Parola, V.; Valverde, J.L.; Gil, S.; Liotta, L.F.; Giroir-Fendler, A. The effect of citric acid concentration on the properties of LaMnO3 as a catalyst for hydrocarbon oxidation. Catalysts 2019, 9, 226. [Google Scholar] [CrossRef] [Green Version]
- Fang, S.; Wang, L.; Sun, Z.; Feng, N.; Shen, C.; Lin, P.; Wan, H.; Guan, G. Catalytic removal of diesel soot particulates over K and Mg substituted La1−XKxCo1−yMgyO3 perovskite oxides. Catal. Commun. 2014, 49, 15–19. [Google Scholar] [CrossRef]
- Forni, L.; Rossetti, I. Catalytic combustion of hydrocarbons over perovskites. Appl. Catal. B Environ. 2002, 38, 29–37. [Google Scholar] [CrossRef]
- Merino, N.A.; Barbero, B.P.; Eloy, P.; Cadús, L.E. La1−xCaxCoO3 perovskite-type oxides: Identification of the surface oxygen species by XPS. Appl. Surf. Sci. 2006, 253, 1489–1493. [Google Scholar] [CrossRef]
- Lim, H.S.; Lee, M.; Kang, D.; Lee, J.W. Role of transition metal in perovskites for enhancing selectivity of methane to syngas. Int. J. Hydrogen Energy 2018, 43, 20580–20590. [Google Scholar] [CrossRef]
- Dai, X.P.; Wu, Q.; Li, R.J.; Yu, C.C.; Hao, Z.P. Hydrogen production from a combination of the water-gas shift and redox cycle process of methane partial oxidation via lattice oxygen-over LaFeO3 perovskite catalyst. J. Phys. Chem. B. 2006, 110, 25856–25862. [Google Scholar] [CrossRef]
- Dai, X.; Yu, C.; Li, R.; Wu, Q.; Shi, K.; Hao, Z. Effect of calcination temperature and reaction conditions on methane partial oxidation using lanthanum-based perovskite as oxygen donor. J. Rare Earths 2008, 26, 341–346. [Google Scholar] [CrossRef]
- Yafarova, L.; Silyukov, O.; Kryuchkova, T.; Sheshko, T.; Zvereva, I. The influence of Fe substitution in GdFeO3 on redox and catalytic properties. Russ. J. Phys. Chem. A 2020, 13, 2679–2684. [Google Scholar] [CrossRef]
- Kryuchkova, T.; Kost’, V.; Sheshko, T.; Chislova, I.; Yafarova, L.; Zvereva, I. Effect of Cobalt in GdFeO3 Catalyst Systems on Their Activity in the Dry Reforming of Methane to Synthesis Gas. Pet. Chem. 2020, 5, 57–64. [Google Scholar] [CrossRef]
- Sheshko, T.F.; Sharaeva, A.A.; Powella, O.K.; Serov, Y.M.; Chislova, I.V.; Yafarova, L.V.; Koroleva, A.V.; Zvereva, I.A. Carbon Oxide Hydrogenation over GdBO3 (B = Fe, Mn, Co) Complex Oxides: Effect of Carbon Dioxide on Product Composition. Pet. Chem. 2020, 5, 17–23. [Google Scholar] [CrossRef]
- Dyck, C.R.; Peterson, R.C.; Yu, Z.B.; Krstic, V.D. Crystal structure, thermal expansion and electrical conductivity of dual-phase Gd0.8Sr0.2Co1−yFeyO3−δ (0 ≤ y ≤ 1.0). Solid State Ion. 2005, 176, 103–108. [Google Scholar] [CrossRef]
- Marezio, M.; Remeika, J.; Dernier, P. The crystal chemistry of the rare earth orthoferrites. Acta Crystallogr. Sect. B Struct. Crystallogr. Cryst. Chem. 1970, 26, 2008–2022. [Google Scholar] [CrossRef]
- Nedil’ko, S.A.; Ermakova, M.N.; Lyashko, M.N.; Gozhdzinskii, S.M. Rare Earth Metal Cobaltates (III). 1979. [Google Scholar]
- Zhao, K.; Shen, Y.; Huang, Z.; He, F.; Wei, G.; Zheng, A.; Li, H.; Zhao, Z. Different oxidation routes for lattice oxygen recovery of double-perovskite type oxides LaSrFeCoO6 as oxygen carriers for chemical looping steam methane reforming. J. Energy Chem. 2017, 26, 501–509. [Google Scholar] [CrossRef] [Green Version]
- Graat, P.C.J.; Somers, M.A.J. Simultaneous determination of composition and thickness of thin iron-oxide films from XPS Fe 2p spectra. Appl. Surf. Sci. 1996, 100–101, 36–40. [Google Scholar] [CrossRef]
- Tholkappiyan, R.; Vishista, K. Tuning the composition and magnetostructure of dysprosium iron garnets by Co-substitution: An XRD, FT-IR, XPS and VSM study. Appl. Surf. Sci. 2015, 351, 1016–1024. [Google Scholar] [CrossRef]
- Wang, Y.; Ren, J.; Wang, Y.; Zhang, F.; Liu, X.; Guo, Y.; Lu, G. Nanocasted synthesis of mesoporous LaCoO3 perovskite with extremely high surface area and excellent activity in methane combustion. J. Phys. Chem. C. 2008, 112, 15293–15298. [Google Scholar] [CrossRef]
- Bhattacharya, A.; Chu, X.; Gao, Q.; Li, X.; Dong, Y.; Liang, S.; Chakraborty, A.K. Influence of Gd+3 Incorporation on Ethanol Sensing Properties of Barium Stannate Microrod Films Prepared by Coprecipitation Method. Appl. Surf. Sci. 2019, 504, 144289. [Google Scholar] [CrossRef]
- Wu, Y.; Li, L.; Chu, B.; Yi, Y.; Qin, Z.; Fan, M.; Qin, Q.; He, H.; Zhang, L.; Dong, L.; et al. Catalytic reduction of NO by CO over B-site partially substituted LaM0.25Co0.75O3 (M = Cu, Mn, Fe) perovskite oxide catalysts: The correlation between physicochemical properties and catalytic performance. Appl. Catal. A Gen. 2018, 568, 43–53. [Google Scholar] [CrossRef]
- Barbero, B.P.; Gamboa, J.A.; Cadús, L.E. Synthesis and characterisation of La1−xCaxFeO3 perovskite-type oxide catalysts for total oxidation of volatile organic compounds. Appl. Catal. B Environ. 2006, 65, 21–30. [Google Scholar] [CrossRef]
- Levasseur, B.; Kaliaguine, S. Effect of the rare earth in the perovskite-type mixed oxides AMnO3 (A = Y, La, Pr, Sm, Dy) as catalysts in methanol oxidation. J. Solid State Chem. 2008, 181, 2953–2963. [Google Scholar] [CrossRef]
- Kaliaguine, S.; Van Neste, A.; Szabo, V.; Gallot, J.E.; Bassir, M.; Muzychuk, R. Perovskite-type oxides synthesized by reactive grinding. Part I. Preparation and characterization. Appl. Catal. A Gen. 2001, 209, 345–358. [Google Scholar] [CrossRef]
- Bueno-López, A.; Krishna, K.; Makkee, M.; Moulijn, J.A. Enhanced soot oxidation by lattice oxygen via La3+-doped CeO2. J. Catal. 2005, 230, 237–248. [Google Scholar] [CrossRef]
- Yafarova, L.V.; Chislova, I.V.; Zvereva, I.A.; Kryuchkova, T.A.; Kost, V.V.; Sheshko, T.F. Sol–gel synthesis and investigation of catalysts on the basis of perovskite-type oxides GdMO3 (M = Fe, Co). J. Sol-Gel Sci. Technol. 2019, 92, 264–272. [Google Scholar] [CrossRef]





| Sample | x | Lattice Parameters (Å) | Crystallite Size (nm) | SBET (m2/g) | Loading of Elements According to ICP (wt%) | |||
|---|---|---|---|---|---|---|---|---|
| Exper. | Liter. | Fe | Co | Fe/Co | ||||
| GdFeO3 | 0 | a = 5.606 (8) b = 7.671 (0) c = 5.352 (1) | a = 5.616 b = 7.669 c = 5.349 [20] | 53.4 | 10 | 22 | - | - |
| GdFe0.8Co0.2O3 | 0.2 | a = 5.597 (9) b = 7.654 (7) c = 5.340 (9) | a = 5.550 b = 7.641 c = 5.345 [19] | 47.3 | 3 | 15 | 4 | 3.75 |
| GdFe0.5Co0.5O3 | 0.5 | a = 5.508 (5) b = 7.671 (2) c = 5.291 (5) | - | 50.5 | 3 | 9.3 | 9.4 | 0.99 |
| GdFe0.2Co0.8O3 | 0.8 | a = 5.439 (4) b = 7.498 (9) c = 5.253 (5) | a = 5.439 b = 7.498 c = 5.258 [19] | 65.2 | 3 | 13 | 15 | 0.87 |
| GdCoO3 | 1 | a = 5.394 (1) b = 7.566 (3) c = 5.225 (0) | a = 5.392 b = 7.471 c = 5.221 [21] | 59.9 | 2 | - | 21 | - |
| Samples | Atomic Concentration (at. %) | Atomic Ratio | ||||||
|---|---|---|---|---|---|---|---|---|
| Gd | Co | Fe | Os | Ol | Co2+/Co2+ + Co3+ | Fe2+/Fe2+ + Fe3+ | Os/Ol | |
| GdFeO3 | 23.60 | - | 16.32 | 36.27 | 23.80 | - | 0.64 | 1.52 |
| GdFe0.8Co0.2O3 | 18.31 | 6.56 | 12.66 | 23.28 | 39.19 | 0.51 | 0.43 | 0.59 |
| GdFe0.5Co0.5O3 | 20.31 | 11.11 | 8.39 | 27.03 | 33.13 | 0.50 | 0.58 | 0.81 |
| GdFe0.2Co0.8O3 | 20.19 | 15.96 | 17.62 | 20.82 | 25.41 | 0.13 | 0.58 | 0.82 |
| GdCoO3 | 18.19 | 21.99 | - | 26.61 | 32.21 | 0.47 | - | 0.83 |
| Samples | Reduction Temperature (°C) | H2 Consumed, μmol/g | |||
|---|---|---|---|---|---|
| Peak 1 (Me3+→Me2+) | Peak 2 (Me2+→Me0) | Peak 1 | Peak 2 | Total | |
| GdFeO3 | 468 | 944 | 141 | 752 | 893 |
| GdFe0.8Co0.2O3 | 416 | 876 | 186 | 806 | 991 |
| GdFe0.5Co0.5O3 | 445 | 757 | 296 | 799 | 1095 |
| GdFe0.2Co0.8O3 | 450 | 642 | 329 | 544 | 874 |
| GdCoO3 | 434 | 561 | 381 | 592 | 974 |
Publisher’s Note: MDPI stays neutral with regard to jurisdictional claims in published maps and institutional affiliations. |
© 2021 by the authors. Licensee MDPI, Basel, Switzerland. This article is an open access article distributed under the terms and conditions of the Creative Commons Attribution (CC BY) license (https://creativecommons.org/licenses/by/4.0/).
Share and Cite
Yafarova, L.V.; Mamontov, G.V.; Chislova, I.V.; Silyukov, O.I.; Zvereva, I.A. The Effect of Transition Metal Substitution in the Perovskite-Type Oxides on the Physicochemical Properties and the Catalytic Performance in Diesel Soot Oxidation. Catalysts 2021, 11, 1256. https://doi.org/10.3390/catal11101256
Yafarova LV, Mamontov GV, Chislova IV, Silyukov OI, Zvereva IA. The Effect of Transition Metal Substitution in the Perovskite-Type Oxides on the Physicochemical Properties and the Catalytic Performance in Diesel Soot Oxidation. Catalysts. 2021; 11(10):1256. https://doi.org/10.3390/catal11101256
Chicago/Turabian StyleYafarova, Liliya V., Grigory V. Mamontov, Irina V. Chislova, Oleg I. Silyukov, and Irina A. Zvereva. 2021. "The Effect of Transition Metal Substitution in the Perovskite-Type Oxides on the Physicochemical Properties and the Catalytic Performance in Diesel Soot Oxidation" Catalysts 11, no. 10: 1256. https://doi.org/10.3390/catal11101256
APA StyleYafarova, L. V., Mamontov, G. V., Chislova, I. V., Silyukov, O. I., & Zvereva, I. A. (2021). The Effect of Transition Metal Substitution in the Perovskite-Type Oxides on the Physicochemical Properties and the Catalytic Performance in Diesel Soot Oxidation. Catalysts, 11(10), 1256. https://doi.org/10.3390/catal11101256

