Optimization of Hydroperoxide Lyase Production for Recombinant Lipoxygenase Pathway Cascade Application
Abstract
:1. Introduction
2. Results
2.1. Lipoxygenase
2.1.1. High Cell Density Cultivation of E. coli Expressing LOX
2.1.2. Synthesis of 13-HPOT
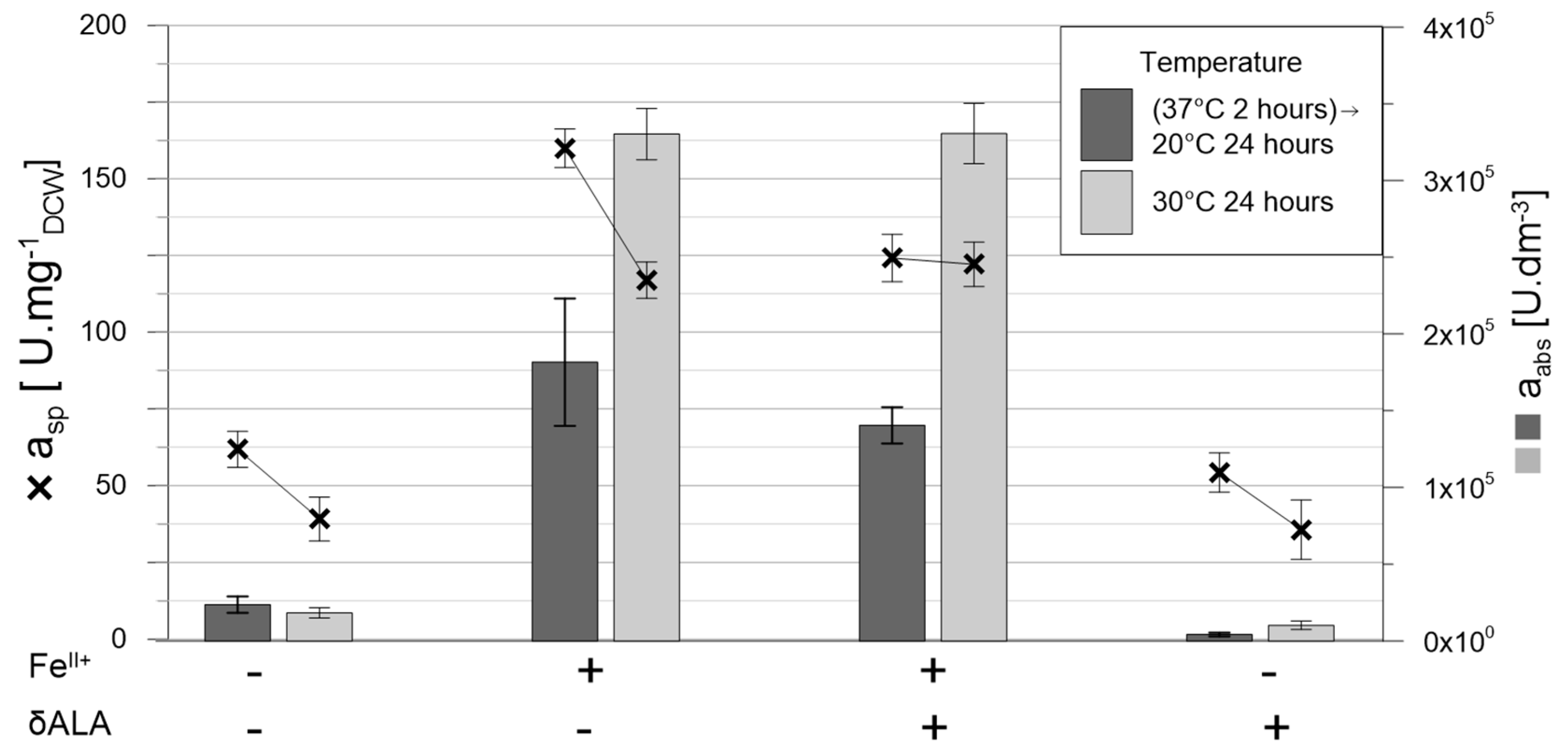
2.2. Hydroperoxide Lyase
Recombinant Production of HPL
3. Materials and Methods
3.1. Bacterial Strains and Plasmids
3.2. Materials and Media
3.3. High Cell Density Cultivation of E. coli Expressing LOX
3.4. HPLC Analysis of Media
3.5. Synthesis of 13-HPOT
3.6. Cultivation of E. coli Expressing HPL
3.7. Determination of HPL Activity
3.8. GC Analysis of C-6 Aldehydes
4. Conclusions
Author Contributions
Funding
Data Availability Statement
Conflicts of Interest
References
- Matsui, K. Green Leaf Volatiles: Hydroperoxide Lyase Pathway of Oxylipin Metabolism. Curr. Opin. Plant Biol. 2006, 9, 274–280. [Google Scholar] [CrossRef]
- ul Hassan, M.N.; Zainal, Z.; Ismail, I. Green Leaf Volatiles: Biosynthesis, Biological Functions and Their Applications in Biotechnology. Plant. Biotechnol. J. 2015, 13, 727–739. [Google Scholar] [CrossRef]
- Mukhtarova, L.S.; Mukhitova, F.K.; Gogolev, Y.V.; Grechkin, A.N. Hydroperoxide Lyase Cascade in Pea Seedlings: Non-Volatile Oxylipins and Their Age and Stress Dependent Alterations. Phytochemistry 2011, 72, 356–364. [Google Scholar] [CrossRef] [PubMed]
- Zhao, Y.; Xu, S.; Lu, H.; Zhang, D.; Liu, F.; Lin, J.; Zhou, C.; Mu, W. Effects of the Plant Volatile Trans-2-Hexenal on the Dispersal Ability, Nutrient Metabolism and Enzymatic Activities of Bursaphelenchus Xylophilus. Pestic. Biochem. Physiol. 2017, 143, 147–153. [Google Scholar] [CrossRef] [PubMed]
- Mu, W.; Xue, Q.; Jiang, B.; Hua, Y. Molecular Cloning, Expression, and Enzymatic Characterization of Solanum Tuberosum Hydroperoxide Lyase. Eur. Food Res. Technol. 2012, 234, 723–731. [Google Scholar] [CrossRef]
- Feussner, I.; Wasternack, C. The Lipoxygenase Pathway. Annu. Rev. Plant. Biol. 2002, 53, 275–297. [Google Scholar] [CrossRef] [PubMed]
- Villaverde, J.J.; van der Vlist, V.; Santos, S.A.O.; Haarmann, T.; Langfelder, K.; Pirttimaa, M.; Nyyssölä, A.; Jylhä, S.; Tamminen, T.; Kruus, K.; et al. Hydroperoxide Production from Linoleic Acid by Heterologous Gaeumannomyces Graminis Tritici Lipoxygenase: Optimization and Scale-Up. Chem. Eng. J. 2013, 217, 82–90. [Google Scholar] [CrossRef]
- RoyChowdhury, M.; Li, X.; Qi, H.; Li, W.; Sun, J.; Huang, C.; Wu, D. Functional Characterization of 9-/13-LOXs in Rice and Silencing Their Expressions to Improve Grain Qualities. BioMed Res. Int. 2016, 2016, 4275904. [Google Scholar] [CrossRef] [PubMed] [Green Version]
- Shaaban, H.A.; Mahmoud, K.F.; Amin, A.A.; El Banna, H.A. Application of Biotechnology to the Production of Natural Flavor and Fragrance Chemicals. Res. J. Pharm. Biol. Chem. Sci. 2016, 7, 2670–2717. [Google Scholar]
- Brühlmann, F.; Bosijokovic, B.; Ullmann, C.; Auffray, P.; Fourage, L.; Wahler, D. Directed Evolution of a 13-Hydroperoxide Lyase (CYP74B) for Improved Process Performance. J. Biotechnol. 2013, 163, 339–345. [Google Scholar] [CrossRef]
- Liu, Q.; Hua, Y. Continuous Synthesis of Hexanal by Immobilized Hydroperoxide Lyase in Packed-Bed Reactor. Bioprocess. Biosyst. Eng. 2015, 38, 2439–2449. [Google Scholar] [CrossRef]
- Contreras, C.; Beaudry, R. Lipoxygenase-Associated Apple Volatiles and Their Relationship with Aroma Perception during Ripening. Postharvest Biol. Technol. 2013, 82, 28–38. [Google Scholar] [CrossRef]
- Vong, W.C.; Liu, S.-Q. Bioconversion of Green Volatiles in Okara (Soybean residue) into Esters by Coupling Enzyme Catalysis and Yeast (Lindnera saturnus) Fermentation. Appl. Microbiol. Biotechnol. 2018, 102, 10017–10026. [Google Scholar] [CrossRef]
- Liu, Q.; Kong, X.; Zhang, C.; Chen, Y.; Hua, Y. Immobilisation of a Hydroperoxide Lyase and Comparative Enzymological Studies of the Immobilised Enzyme with Membrane-Bound Enzyme. J. Sci. Food Agric. 2013, 93, 1953–1959. [Google Scholar] [CrossRef] [PubMed]
- Lu, J.; Zhang, C.; Leong, H.Y.; Show, P.L.; Lu, F.; Lu, Z. Overproduction of Lipoxygenase from Pseudomonas aeruginosa in Escherichia coli by Auto-Induction Expression and Its Application in Triphenylmethane Dyes Degradation. J. Biosci. Bioeng. 2020, 129, 327–332. [Google Scholar] [CrossRef]
- Kelle, S.; Zelena, K.; Krings, U.; Linke, D.; Berger, R.G. Expression of Soluble Recombinant Lipoxygenase from Pleurotus Sapidus in Pichia Pastoris. Protein Expr. Purif. 2014, 95, 233–239. [Google Scholar] [CrossRef] [PubMed]
- Zhang, C.; Tao, T.; Ying, Q.; Zhang, D.; Lu, F.; Bie, X.; Lu, Z. Extracellular Production of Lipoxygenase from Anabaena sp. PCC 7120 in Bacillus Subtilis and Its Effect on Wheat Protein. Appl. Microbiol. Biotechnol. 2012, 94, 949–958. [Google Scholar] [CrossRef]
- Mukhtarova, L.S.; Brühlmann, F.; Hamberg, M.; Khairutdinov, B.I.; Grechkin, A.N. Plant Hydroperoxide-Cleaving Enzymes (CYP74 Family) Function as Hemiacetal Synthases: Structural Proof of Hemiacetals by NMR Spectroscopy. Biochim. Biophys. Acta BBA—Mol. Cell Biol. Lipids 2018, 1863, 1316–1322. [Google Scholar] [CrossRef] [PubMed]
- Rehbock, B.; Berger, R. Covalent Immobilization of a Hydroperoxidase Lyase from Mung Beans (Phaseolus radiatus L.). Biotechnol. Tech. 1998, 12, 539–544. [Google Scholar] [CrossRef]
- Atwal, A.S.; Bisakowski, B.; Richard, S.; Robert, N.; Lee, B. Cloning and Secretion of Tomato Hydroperoxide Lyase in Pichia Pastoris. Process. Biochem. 2005, 40, 95–102. [Google Scholar] [CrossRef]
- Santiago-Gómez, M.P.; Vergely, C.; Policar, C.; Nicaud, J.-M.; Belin, J.-M.; Rochette, L.; Husson, F. Characterization of Purified Green Bell Pepper Hydroperoxide Lyase Expressed by Yarrowia Lipolytica: Radicals Detection during Catalysis. Enzyme Microb. Technol. 2007, 41, 13–18. [Google Scholar] [CrossRef]
- Ge, B.; Chen, Y.; Yu, Q.; Lin, X.; Li, J.; Qin, S. Regulation of the Heme Biosynthetic Pathway for Combinational Biosynthesis of Phycocyanobilin in Escherichia coli. Process. Biochem. 2018, 71, 23–30. [Google Scholar] [CrossRef]
- Varnado, C. Enhancing Expression of Recombinant Hemoproteins: Progress toward Understanding Structure/Function and Therapeutic Application. Ph.D. Thesis, Auburn University, Auburn, AL, USA, 2006. [Google Scholar]
- Sudhamsu, J.; Kabir, M.; Airola, M.V.; Patel, B.A.; Yeh, S.-R.; Rousseau, D.L.; Crane, B.R. Co-Expression of Ferrochelatase Allows for Complete Heme Incorporation into Recombinant Proteins Produced in E. coli. Protein Expr. Purif. 2010, 73, 78–82. [Google Scholar] [CrossRef] [Green Version]
- Delcarte, J.; Fauconnier, M.-L.; Jacques, P.; Matsui, K.; Thonart, P.; Marlier, M. Optimisation of Expression and Immobilized Metal Ion Affinity Chromatographic Purification of Recombinant (His)6-Tagged Cytochrome P450 Hydroperoxide Lyase in Escherichia coli. J. Chromatogr. B 2003, 786, 229–236. [Google Scholar] [CrossRef]
- Woyski, D.; Cupp-Vickery, J.R. Enhanced Expression of Cytochrome P450s from Lac-Based Plasmids Using Lactose as the Inducer. Arch. Biochem. Biophys. 2001, 388, 276–280. [Google Scholar] [CrossRef] [PubMed]
- Tijet, N.; Wäspi, U.; Gaskin, D.J.; Hunziker, P.; Muller, B.L.; Vulfson, E.N.; Slusarenko, A.; Brash, A.R.; Whitehead, I.M. Purification, Molecular Cloning, and Expression of the Gene Encoding Fatty Acid 13-Hydroperoxide Lyase from Guava Fruit (Psidium guajava). Lipids 2000, 35, 709–720. [Google Scholar] [CrossRef] [PubMed] [Green Version]
- Petrovičová, T.; Gyuranová, D.; Plž, M.; Myrtollari, K.; Smonou, I.; Rebroš, M. Application of Robust Ketoreductase from Hansenula Polymorpha for the Reduction of Carbonyl Compounds. Mol. Catal. 2021, 502, 111364. [Google Scholar] [CrossRef]
- Vick, B.A. A Spectrophotometric Assay for Hydroperoxide Lyase. Lipids 1991, 26, 315–320. [Google Scholar] [CrossRef]
- de Carvalho, C.C.C.R. Whole Cell Biocatalysts: Essential Workers from Nature to the Industry. Microb. Biotechnol. 2017, 10, 250–263. [Google Scholar] [CrossRef] [Green Version]
- Noordermeer, M.A.; van der Goot, W.; van Kooij, A.J.; Veldsink, J.W.; Veldink, G.A.; Vliegenthart, J.F.G. Development of a Biocatalytic Process for the Production of C6-Aldehydes from Vegetable Oils by Soybean Lipoxygenase and Recombinant Hydroperoxide Lyase. J. Agric. Food Chem. 2002, 50, 4270–4274. [Google Scholar] [CrossRef] [PubMed] [Green Version]
- Jacopini, S.; Vincenti, S.; Mariani, M.; Brunini-Bronzini de Caraffa, V.; Gambotti, C.; Desjobert, J.-M.; Muselli, A.; Costa, J.; Tomi, F.; Berti, L.; et al. Activation and Stabilization of Olive Recombinant 13-Hydroperoxide Lyase Using Selected Additives. Appl. Biochem. Biotechnol. 2017, 182, 1000–1013. [Google Scholar] [CrossRef]
- Chu, D.; Barnes, D.J. The Lag-Phase during Diauxic Growth Is a Trade-off between Fast Adaptation and High Growth Rate. Sci. Rep. 2016, 6, 25191. [Google Scholar] [CrossRef]
- Mayer, S.; Junne, S.; Ukkonen, K.; Glazyrina, J.; Glauche, F.; Neubauer, P.; Vasala, A. Lactose Autoinduction with Enzymatic Glucose Release: Characterization of the Cultivation System in Bioreactor. Protein Expr. Purif. 2014, 94, 67–72. [Google Scholar] [CrossRef]
- Ukkonen, K.; Mayer, S.; Vasala, A.; Neubauer, P. Use of Slow Glucose Feeding as Supporting Carbon Source in Lactose Autoinduction Medium Improves the Robustness of Protein Expression at Different Aeration Conditions. Protein Expr. Purif. 2013, 91, 147–154. [Google Scholar] [CrossRef] [PubMed]
- Kabbua, T.; Anwised, P.; Boonmee, A.; Subedi, B.P.; Pierce, B.S.; Thammasirirak, S. Autoinduction, Purification, and Characterization of Soluble α-Globin Chains of Crocodile (Crocodylus siamensis) Hemoglobin in Escherichia coli. Protein Expr. Purif. 2014, 103, 56–63. [Google Scholar] [CrossRef] [PubMed]
- Stover, C.K.; Pham, X.Q.; Erwin, A.L.; Mizoguchi, S.D.; Warrener, P.; Hickey, M.J.; Brinkman, F.S.; Hufnagle, W.O.; Kowalik, D.J.; Lagrou, M.; et al. Complete Genome Sequence of Pseudomonas aeruginosa PAO1, an Opportunistic Pathogen. Nature 2000, 406, 959–964. [Google Scholar] [CrossRef] [PubMed]
- Studier, F.W. Protein Production by Auto-Induction in High-Density Shaking Cultures. Protein Expr. Purif. 2005, 41, 207–234. [Google Scholar] [CrossRef] [PubMed]
- Graves, P.E.; Henderson, D.P.; Horstman, M.J.; Solomon, B.J.; Olson, J.S. Enhancing Stability and Expression of Recombinant Human Hemoglobin in E. coli: Progress in the Development of a Recombinant HBOC Source. Biochim. Biophys. Acta BBA—Proteins Proteom. 2008, 1784, 1471–1479. [Google Scholar] [CrossRef] [Green Version]





Publisher’s Note: MDPI stays neutral with regard to jurisdictional claims in published maps and institutional affiliations. |
© 2021 by the authors. Licensee MDPI, Basel, Switzerland. This article is an open access article distributed under the terms and conditions of the Creative Commons Attribution (CC BY) license (https://creativecommons.org/licenses/by/4.0/).
Share and Cite
Kazimírová, V.; Zezulová, V.; Krasňan, V.; Štefuca, V.; Rebroš, M. Optimization of Hydroperoxide Lyase Production for Recombinant Lipoxygenase Pathway Cascade Application. Catalysts 2021, 11, 1201. https://doi.org/10.3390/catal11101201
Kazimírová V, Zezulová V, Krasňan V, Štefuca V, Rebroš M. Optimization of Hydroperoxide Lyase Production for Recombinant Lipoxygenase Pathway Cascade Application. Catalysts. 2021; 11(10):1201. https://doi.org/10.3390/catal11101201
Chicago/Turabian StyleKazimírová, Veronika, Viktória Zezulová, Vladimír Krasňan, Vladimír Štefuca, and Martin Rebroš. 2021. "Optimization of Hydroperoxide Lyase Production for Recombinant Lipoxygenase Pathway Cascade Application" Catalysts 11, no. 10: 1201. https://doi.org/10.3390/catal11101201
APA StyleKazimírová, V., Zezulová, V., Krasňan, V., Štefuca, V., & Rebroš, M. (2021). Optimization of Hydroperoxide Lyase Production for Recombinant Lipoxygenase Pathway Cascade Application. Catalysts, 11(10), 1201. https://doi.org/10.3390/catal11101201

