Abstract
Doubly promoted MeMo/Nb2O5 catalysts, in which Me = Pt, Ni, or Co oxides were prepared for the selective catalytic reduction of NOx by CO reaction (CO-SCR). Comparable chemical, textural, and structural analyses revealed similarities between NiMo and CoMo impregnated on Nb2O5, in contrast to PtMo sites, which were not homogeneously dispersed on the support surface. Both the acid function and metal dispersion gave a synergistic effect for CO-SCR at moderate temperatures. The reactivity of PtMo catalysts towards NOx and CO chemisorption was at low reaction temperatures, whereas the NOx conversion over CoMo was greatly improved at relatively high temperatures. Careful XPS, NH3-TPD, and HRTEM analyses confirmed that the large amounts of strong and moderate acid sites from PtOx entrapped on MoO3 sites induced high NOx conversions. NiMo/Nb2O5 showed poor performance in all conditions. Poisoning of the MeMo sites with water vapor or SO2 (or both) provoked the decline of the NOx conversions over NiMo and PtMo sites, whereas the structure of CoMo ones remained very active with a maximum NOx conversion of 70% at 350 °C for 24 h of reaction. This was due to the interaction of the Co3+/Co2+ and Mo6+ actives sites and the weak strength Lewis acid Nb5+ ones, as well.
1. Introduction
The future development of the technologies for the abatement of gases from combustion of fossil fuels and diesel engines will require efficient routes for the conversion of these polluting gases into useful chemicals [1,2,3]. In this respect, selective catalytic reduction of hydrocarbons (SCR) has been recently claimed to be an extremely promising technology to eliminate exhaust gases [1,4]. This approach results in the reduction of the gases’ release into the atmosphere, especially nitrogen oxides (NOx), carbon oxides (COx), particulate matter (PM), volatile organic compounds (VOC) and sulfur oxides (SOx) emissions [5,6,7].
Current SCR processes are conducted worldwide to control both NOx and hydrocarbons (HC) pollutant emissions including the NH3-SCR, HC-SCR, and urea-SCR among other SCR technologies [2,8,9,10,11,12]. Alternatively, another reaction employing SCR is the direct denitrification, in which NOx can be promptly converted by CO into CO2 and N2, the so-called CO-SCR [3,13]. Thus, the need for robust and efficient catalysts for the CO-SCR reaction (Equations (1) and (2)) has increased dramatically over the past decades with the support and active centers of the catalysts playing an important role in achieving good catalytic performances [3,5].
NO + CO→1/2 N2 + CO2
NO2 + 2 CO→1/2 N2 + 2CO2
Although the NH3-SCR is the main technology for NOx removal from mobile and stationary resources, the CO-SCR would be suitable for the reduction of NOx emitted from low temperature reaction conditions. Regarding the catalyst supports for CO-SCR, we have recently demonstrated that the NOx denitrification by CO-SCR reaction takes place through bifunctional γ-Al2O3 and Al2O3-La2O3 supported catalysts with appropriate active metal centers, e.g., Pt, Ni, or Co and acid supports [3,5]. Despite the fact that the solids have high activities for the CO-SCR reaction, there are a number of disadvantages in the reaction such as low tolerance to water and SO2 poisons [5]. Of all the different niobium oxides i.e., NbO2, NbO, and Nb2O5 niobium-pentoxide also known as niobia, is often cited as the most thermodynamic stable form; certainly, it is far and wide used as a carrier and promoter for catalysts [14]. In particular, Nb2O5 is perceived as an efficient material with superior physicochemical properties to catalytic reactions due to its characteristic acidity nature having both Brϕnsted and Lewis acid sites. Furthermore, niobium pentoxide has a relatively high specific surface area and water tolerant Lewis acid sites, which are desirable features for catalytic reactions [14,15].
Denitrification of NOx through SCR reactions over Nb2O5-based catalysts has also been reported, owing to its versatile oxidation state i.e., Nb5+, tunable quantity and strength of the acid sites, relatively low cost and a more resistant structure [16,17,18]. There are still controversial roles for Nb2O5 in SCR reactions. If on the one hand, Nb2O5 depicts poor tolerance to sulfur poising due to the competition between SO2 and NOx for adsorption sites on the Nb-based catalysts; on the other hand, Nb2O5 improves sulfur resistance when Nb is added in low amounts to active phases of the catalysts [19,20,21].
It should be pointed out that surface sulfates species from SO2 block Nb5+ active sites for the NOx-SCR. Consequently, sulfates may hinder the formation of isocyanates e.g., NCO intermediate during the HC-SCR reaction, which implies the inhibitory effect on the aci-nitromethane intermediate formation. The latter entity is responsible for the formation of the NCO species coordinated to the Me sites ([15,19,22] and references herewith).
Both aci-nitromethane and isocyanates are the main HC-SCR reaction active intermediates and, therefore, their low production caused by the sulfation of the solids may decrease the catalytic performance [15]. Thereby, sulfur may also limit the availability of the niobia surface and thus, result in drawbacks to disperse the active metals and consequently, overcome the SO2 tolerance ability of niobia.
The distinct effects of niobia on the SCR reaction are still under debate. On the basis of the idea of combining the advantages of the acidity of Nb2O5 and MoO3 promoter, herein, modified MeMo/Nb2O5-based catalysts were prepared for the CO-SCR reaction. Molybdenum helps to disperse the active metal sites during the HC-SCR reactions [5]. Thus, by adding molybdenum in niobia, it should be possible to determine improvements in the metals’ dispersions on the niobia surface. In addition, the complementary investigations on the role of the active metal dispersion e.g., Pt, Co, or Ni in the CO-SCR reaction is also studied under mild reaction conditions.
2. Results and Discussion
2.1. Structure by XRD and Raman Measurements
XRD patterns of the catalysts are depicted in Figure 1. The diffractograms of all catalysts exhibit peaks of high intensity along with broad and weak ones. Some of these diffraction peaks with the (001), (180), (200), (201), (181), (002), (580), and (182) planes can be indexed to the δ-Nb2O5 orthorhombic structure (space group Pbam, JCPDS: 30-0873).
Figure 1.
XRD patterns of the catalysts: (a) CoMo/Nb2O5, (b) NiMo/Nb2O5 and (c) PtMo/Nb2O5.
Other diffraction peaks appearing at 2θ values of 23.8, 26.7, 35.2, 43.6, 45.1 and 56.4° are indexed as (001), (100), (101), (002), (110) and (182), respectively. These reflections are associated with the pseudohexagonal γ-Nb2O5 structure matching well with the space group (P6/mmm, JCPDS: 28-317).
The niobium pentoxide exists in several structures with the polymorphs mostly being derived from the ReO3 type structure. The main phase for Nb2O5 occurs upon calcination of the amorphous niobium oxide in the 600–800 °C range with predominance of orthorhombic structure e.g., T-Nb2O5 while the pseudohexagonal one, e.g., TT-Nb2O5 is observed at lower temperatures [23,24,25,26,27,28].
It is worth mentioning that the coexistence of the mixture of δ-Nb2O5 orthorhombic and pseudohexagonal γ-Nb2O5 phases arises upon calcination of the solids at 700 °C with the latter phase being predominant. Importantly, the sharp diffraction peaks with narrow widths for δ-Nb2O5 phase suggest the high crystallinity of the crystals whereas the weak peaks with broad widths hint that there are relatively small crystal sizes. The poor crystallinity of the δ-Nb2O5 structure is observed through their low intensity and broad diffraction peaks. Moreover, it is apparent that some peaks of very low intensity arise with the (110), (140), (130), (111), (160), and (211) planes, which are ascribed to be from α-MoO3 [5]. Additionally, the average crystallite sizes are estimated to be 24 nm through the (001) plane of the prominent peak at 2θ = 22.5° for δ-Nb2O5, as estimated using the Scherrer equation. Noteworthy, CoMo/Nb2O5 has XRD peaks comparable to those of the support (Figure 1a) besides the α-MoO3 phase but, a small peak detected at 2θ = 23.3° (002) is due to the Co3O4 phase. Furthermore, the impregnation of the transition metal oxides on the Nb2O5 support does not show characteristic diffraction patterns neither for PtOx in PtMo/Nb2O5 catalyst (Figure 1c) nor NiO as in the case of NiMo/Nb2O5 one (Figure 1b). This result can be understood taking into account that the amount of metal oxides is extremely low e.g., 1 wt % to generate diffraction peaks in these catalysts. In addition, the Ni and Pt oxides may be well-dispersed on the Nb2O5 support due to the action of α-MoO3 as a promoter to disperse these oxides. Indeed, our previous work reported that Mo oxide helps the dispersion of PtOx and NiO oxides onto Al2O3-La2O3 support [5]. This is also in accordance with further HRTEM measurements that undergo the dispersion of the nanoparticles onto the Nb2O5 support.
Raman spectra depict the structural features of the catalysts (Figure 2). In all the spectra, the strong bands below 150 cm−1 (highlighted in the squares) are attributed to the external modes of the metal–metal vibrations [23]. According to the findings, Nb2O5 crystal structure has both NbO6 octahedra and NbO4 tetrahedra with the corner and edge shared octahedra vibrations clearly visible by the ν1 mode of the Nb-O bonds [23,28].
Figure 2.
Raman spectra of the catalysts: (a) CoMo/Nb2O5, (b) PtMo/Nb2O5, and (c) NiMo/Nb2O5.
In addition, the pseudohexagonal γ-Nb2O5 involves constitutional defects of an oxygen atom per unit cell. Moreover, these defects may interact to give tetra and penta bipyramids with 6 or 7 oxygen atoms shared per niobium atom [24,26]. In the case of the orthorhombic Nb2O5, the unit cell can be described as much distorted NbO6 octahedra and NbO7 pentagonal bipyramids with 6 or 7 oxygen atoms coordinated per niobium atom [24]. The broad band located at 200–300 cm−1 is assigned to the bending vibrations of the Nb-O-Nb bonds [26,27]. Moreover, the internal modes at 400–750 cm−1 assign the stretching of the Nb-O vibrations, while the band at around 600−650 cm−1 is associated with the ν2 transverse optical mode of Nb-O stretchings [23,24,27]. Besides, it can be noticed that at 930 cm−1, a relatively preeminent mode indicates the high concentration of terminal surface Nb=O groups, whereas the modes at around 906 and 992 cm−1 are associated with the longitudinal optic mode of edge shared O-Nb=O stretchings [23]. Also, the assignment of the vibrational modes of the solids is shown in Table S1 (Supplementary Material).
Hence, Raman spectra are consistent with the XRD results, confirming the existence of both pseudohexagonal and orthorhombic Nb2O5 phases in the catalysts.
It is important to note that the terminal oxygen bonds of Mo=O also appear in the range of 900–1000 cm−1 while the translational Raman bands of α-MoO3 arises below at 130 cm−1 [5,23].
Another observation is that the aforesaid ν2 mode of Nb-O stretching appears in the same region e.g., around 600 cm−1 as those of the triply coordinated oxygen (Mo3-O) stretching mode arising from the edge-shared oxygen in common with three octahedra [23]. Therefore, the modes of Nb2O5 and α-MoO3 may be overlapped in the Raman spectra. This can be related to the fact that the Mo oxide is dispersed on the Nb2O5 support, as suggested by XRD measurements.
Moreover, the Raman spectrum of the CoMo/Nb2O5 (Figure 2a) depicts a sharpening of the bands at 199, 483, and 687 cm−1 owing to the ordered structure existing in either δ-Nb2O5 or Co3O4 phase. More importantly, both PtMo/Nb2O5 (Figure 2b) and NiMo/Nb2O5 (Figure 2c) have almost the same Raman spectra, in terms of shapes and intensities of the bands. Nevertheless, some shifts in the position of the modes occur in the case of the symmetric stretching Raman bands from 640 to 700 cm−1 due to the band order of the niobia polyhedra. This is consistent with the observations reported in the literature [28]. In addition, no modes of the Ni and Pt metal oxides are observed, confirming their good dispersion on the support.
2.2. Texture and Morphology
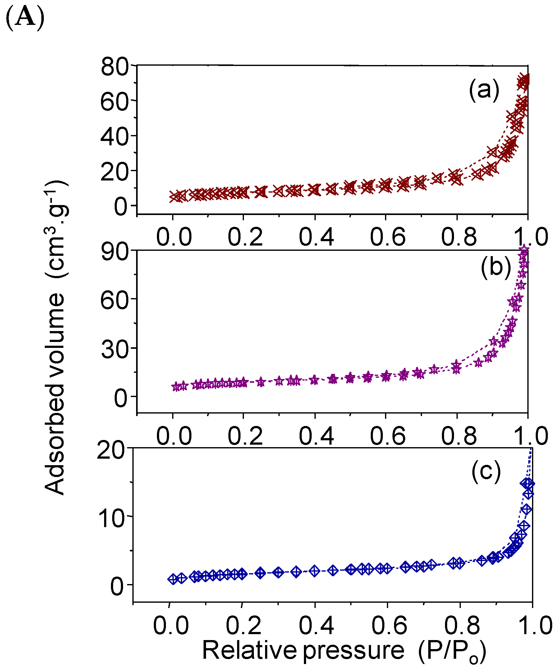
The textural properties of the catalysts are examined through nitrogen adsorption–desorption isotherms (Figure 3A).

Figure 3.
(A) Nitrogen physisorption isotherms and (B) their corresponding the pore size distribution curves of the catalysts: (a) CoMo/Nb2O5, (b) PtMo/Nb2O5, and (c) NiMo/Nb2O5.
The curves of all samples undergo prominently type-IV isotherm with an H3 hysteresis loop. According to the IUPAC classification, this type of isotherm is characterized by a sharp capillary condensation step. Additionally, the hysteresis loop is seen at P/P0 relative pressures close to the saturation pressure e.g., P/P0 = 0.8–1.0. This is an indication of the presence of slit-shaped pores formed from aggregates of plate-like particles [27]. Moreover, the surface area, total volume, and average pore diameter are listed in Table 1. The Nb2O5 support has surface area of about 87 m2 g−1 and pore volume of 0.16 cm3 g−1. These values are close to those of the orthorhombic and pseudohexagonal Nb2O5 phases obtained at temperature above 600 °C [25].
Table 1.
Summary of the physicochemical properties of the solids. Total acidity and density of the acid sites are taken by NH3-TPD whereas the textural properties are obtained from the nitrogen physisorption isotherms.
Compared to Nb2O5 support, the textural parameters of the MeMo/Nb2O5 supported solids slightly dropped, after loading niobia with CoMo. On the contrary, impregnation of the NiMo and PtMo on niobia gives lower values of the textural parameters, especially for PtMo/Nb2O5, which is less than twice that of CoMo/Nb2O5 (50 m2 g−1 and pore volume of 0.10 cm3 g−1). The various calcination processes to which the MeMo/Nb2O5 supported solids are submitted may be responsible for the crystal growth and aggregation of the particles, hence, decreasing the textural parameters of PtMo/Nb2O5 and NiMo/Nb2O5. These results also illustrate that the good dispersion of the CoMo particles on Nb2O5 gives the highest textural parameters, in opposition to the large Pt particles on the support causing the decrease of the textural parameters of the PtMo/Nb2O5 solid. Another possibility is that some Pt oxide particles may block the pores of the support, resulting in the reduction of both surface area and pore volume of the catalyst. Also, some agglomeration of Ni oxide particles on the support may cause the decrease of the textural parameters of the NiMo/Nb2O5. These observations are further confirmed by SEM-EDS.
Additionally, the pore size distribution curves are broad with the presence of mesopore diameter centered in the range of 21–46 Å (Figure 3B). As it can be seen, PtMo/Nb2O5 experiences a remarkable drop in the pore size (Table 1) compared to the other samples due to the pore blockage by Pt particles.
Although the samples are mostly mesoporous, the supported solids also have micropores located within 1 nm that are formed during the calcination processes.
The morphologies of samples are observed by means of SEM-EDS micrographs (Figure 4). As it can be seen, the SEM micrographs indicate that the solids are formed of plates, some of them composed of aggregated nanorods like morphology. These aspects clearly evidence that the catalysts have the same morphology regarding the formation of the platelets with undefined shapes, after the successive calcination processes to which they are submitted. This matches well with the textural properties that suggest the low values of surface area and pore volumes, compared to Nb2O5 support, due to the larger sizes of the MeMo/Nb2O5 solids. Particularly, NiMo/Nb2O5 and PtMo/Nb2O5 experience a reduction of their textural properties coming from both the rise in temperature and formation of large particles.

Figure 4.
SEM-EDS and HRTEM micrographs of the catalysts: (a) PtMo/Nb2O5, (b) NiMo/Nb2O5 and (c) CoMo/Nb2O5.
Furthermore, the elemental mapping in Figure 4a illustrates the agglomeration of Pt particles, which are surrounded by Mo ones in the PtMo/Nb2O5 solid. Accordingly, the contents of Nb, O, Pt, and Mo measured by EDS are 78.1, 10.1, 2.8 and 1.7%, respectively. This means that the Pt/Nb ratio on the surface is of 0.036, which is considered to be very high as a consequence of the uneven distribution Pt species on the surface of the Nb2O5 support.
Moreover, Figure 4b also displays the presence of Ni distributed on the surface of the NiMo/Nb2O5 catalyst. Indeed, some of these Ni particles are highly agglomerated and close to those of Mo ones on the Nb2O5 support. The contents of Nb, O, Mo, and Ni are 75.4, 21.6, 0.9 and 2.1%, respectively. Accordingly, the Ni/Nb ratio on surface is 0.027, being very high as a consequence of the NiO agglomeration on the solid surface. On the contrary, EDS mapping of CoMo/Nb2O5 (Figure 4c) reveals the homogeneous distribution of cobalt particles on the solid surface with Nb, O, Co, and Mo contents of 73.6, 23.0, 1.3 and 2.1%, respectively. Indeed, the Co/Nb is of approximately 0.028, which is indicative of the Co species on solid surface. The Mo helps the dispersion of the of small Co particles, in agreement with the findings [5,29]. This is consistent with the results from textural parameters showing relatively high textural properties for CoMo/Nb2O5, most probably due to the small size of the Co particles compared to those of Pt and Ni.
The morphology and structure of the solids are also investigated by TEM. The PtMo/Nb2O5 catalyst shows nanoparticles identified as PtOx with a d spacing of 0.23 nm, corresponding to the Pt (111) plane. These PtOx particles are surrounded by the large dark MoO3 particles of various sizes (Figure 4a). In addition, the lattice fringe size of ca. 0.31 nm in the brightest areas confirms the presence of the (180) plane of the orthorhombic γ-Nb2O5 phase. The d spacings of ca. 0.32 and 0.25 nm correspond to the (100) and (101) planes of the pseudohexagonal δ-Nb2O5 [25].
As indicated above, the Raman and XRD assumptions demonstrated the presence of both pseudohexagonal and orthorhombic niobia phases with a long-range order porous structure. The existence of domains of different sizes for PtOx oxide nanoparticles is clearly visible with particle sizes ranging from 1 to 30 nm (Figure 4a, HRTEM images included). Thus, the Pt particles are enveloped by the Mo ones, the former being not well dispersed on the support, SEM-EDS. Also, this result is corroborated by the textural properties that illustrate low values of surface area and pore volumes due to the formation of large PtOx particles.
In addition, the Ni particles are randomly attached on the surface of the Nb2O5 support (Figure 4b), but they are quite agglomerated on the Mo ones, as marked with an arrow in the high magnification image of Figure 4b. Also, the particle size distribution shows thousands of hundreds of Ni nanoparticles with average sizes of about 5–25 nm. The morphology of CoMo/Nb2O5 (Figure 4c) is drastically different from that of PtMo/Nb2O5 with a much better uniform cobalt dispersion, which also illustrates that the addition of MoO3 can improve the dispersion of Co3O4 nanoparticles. Some of the smallest particles may be assigned to Co3O4, whereas the largest ones come from MoO3 distributed mainly on the Nb2O5 support (Figure 4c inset). The periodic lattice fringe spacings of 0.20 nm (400) and 0.34 nm (201) are found to be from cubic spinel Co3O4 and orthorhombic α-MoO3, respectively. Besides, both pseudohexagonal and orthorhombic Nb2O5 phases are still present as support. Compared to PtMo/Nb2O5, the diameter of the Co particles lies in the range of 2–14 nm with an average size of about 5 nm.
The differences in the structure and morphology of the samples may come from the better dispersion of Co particles provided by Mo ones while Pt particles are surrounded by Mo having a worse dispersion of these particles. Moreover, the Ni particles are agglomerated on the vicinity of Mo particles, which implies in their low dispersion on the Nb2O5 surface.
2.3. Surface Acidity and Oxidation States
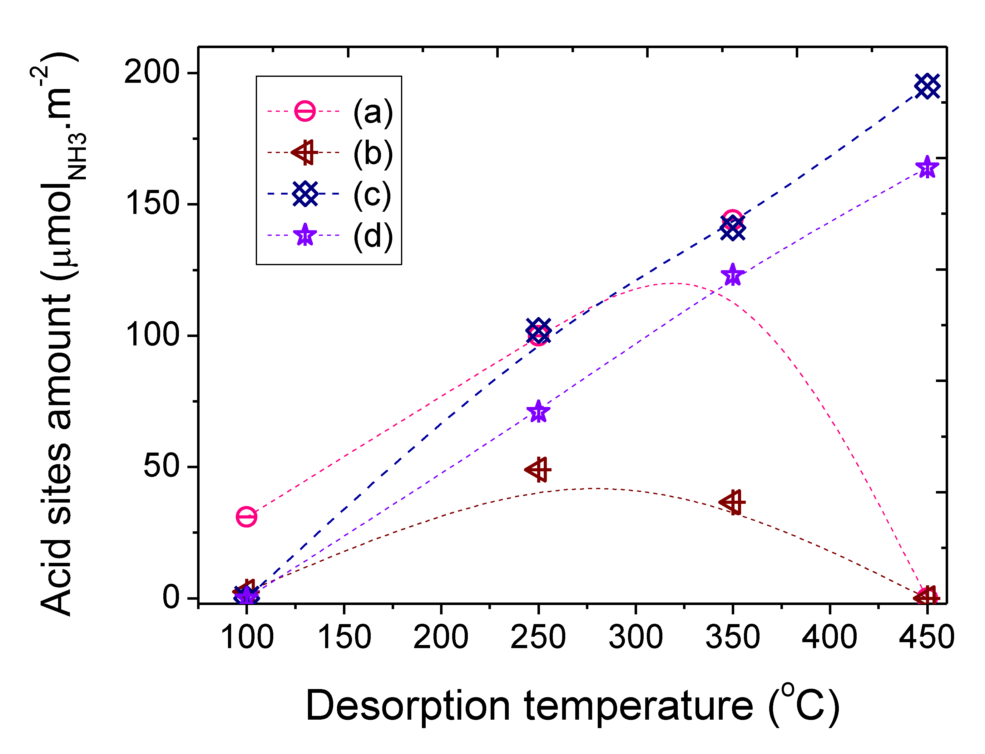
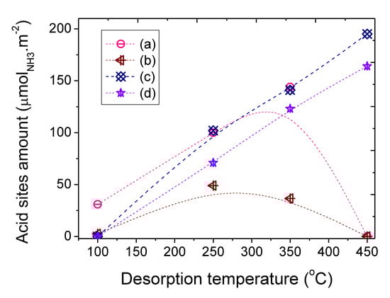
To assess the surface acidity of the solids and correlate it with the catalytic performance, NH3-TPD experiments are performed. The acid strength distribution of the solids is determined in the region of weak e.g., 100–250 °C, medium e.g., 250–350 °C and strong, e.g., 350–450 °C strengths acid sites in the TPD profiles. The Nb2O5 support has weak and medium acid sites in the 100–350 °C range (Figure 5) with the acidity of ca. 275 µmol NH3·g−1 mostly coming from the moderate acidic sites. The corresponding surface acid site density is of ca. 3.2 µmolNH3·m−2 (Table 1).
Figure 5.
Acid sites amount in function of the desorption temperature of the catalysts: (a) Nb2O5, (b) CoMo/Nb2O5, (c) PtMo/Nb2O5 and (d) NiMo/Nb2O5.
It is known that the acidity of niobium oxide is known to depend on the degree of hydration with this type of solid having thermal instability at room temperature [30]. Besides, the Brønsted acid sites acidity arises from OH groups bonded to Nb-OH groups [30,31]. Thereby, the acid sites of Nb2O5 seem to originate from the coordinative unsaturated Nb atoms due to the calcination of the support at 700 °C, which is in accordance with those observed for Nb2O5 prepared by other methods [19,31]. The acidic features of metal supported Nb2O5 change with the addition of MeMo. It is important to say that pure MoO3 exclusively has Lewis acid sites of low to medium strengths, as illustrated by pyridine adsorption [19]. The acidity decreases drastically when CoMo is dispersed on niobia with the acid sites of weak to moderate strengths being responsible for the acidity. The latter is attributed to the highly dispersed Co3O4 and MoO3 oxides on niobia masking the surface acid sites of Nb2O5, as previously shown by SEM-EDS and TEM results. Moreover, the results indicate that Mo contributes to decreasing the acidity of Nb2O5 [30], which confirms the obtained results for CoMo/Nb2O5.
On the contrary, the introduction of PtMo on the surface of niobia enhances the overall acidity as shown for PtMo/Nb2O5 catalyst with the acid sites having mostly medium to strong strengths up to 250 °C (Figure 5). Furthermore, the total acidity of PtMo/Nb2O5 is of ca. 438 µmol NH3·g−1, whereas the acid density is of ca. 17.5 µmolNH3·m−2 (Table 1). The latter value is almost six times higher than that of Nb2O5 owing to the low surface area of the PtMo/Nb2O5. This behavior clearly evidences that the positively charged and acidic PtOx species are available for ammonia adsorption, even if Pt particles are entrapped by the Mo ones, as previously shown by TEM measurements.
Nonetheless, the acidity increases marginally in the NiMo/Nb2O5 catalyst compared to the Nb2O5 support. Also, the acid sites of the former are found above 250 °C in the medium to strong regions with a total acidity of ca 358 µmol NH3·g−1. This is an indication that Ni increases the acid strength of Nb and thereby forms moderate acid sites, as shown in our previous work for NiMo-dispersed on alumina [5]. Interestingly, the density of the acid sites of NiMo/Nb2O5 is half the density of PtMo/Nb2O5 due to the relatively higher surface area of NiMo compared to that of PtMo catalyst. Thus, the effect of the textural parameters on the density of the acid sites of NiMo/Nb2O5 is very little compared to PtMo/Nb2O5.
The total acidity of the solids follows the order, PtMo/Nb2O5 > NiMo/Nb2O5 > CoMo/Nb2O5 > Nb2O5 but, the density of the acid sites order is as follows: PtMo/Nb2O5 > NiMo/Nb2O5 > Nb2O5 > CoMo/Nb2O5.
The chemical states of the constituent elements of the catalysts are studied by X-ray photoelectron spectroscopy (XPS). The BE results are summarized in Table 2. XPS spectra of pure Nb2O5 and supported catalysts depict binding energies from the Nb 3d doublet (Nb 3d5/2 and Nb 3d3/2) at 207.3 and 210.0 eV, respectively. This demonstrates the presence of Nb5+ in all the studied catalysts. Moreover, the high resolution Mo 3d region for CoMo/Nb2O5 and PtMo/Nb2O5 samples (Figure 6a) shows a doublet corresponding to the 3d5/2 and Mo 3d3/2 core levels at 232.4 and 235.5 eV, respectively. This assigns the presence of the Mo6+ species from α-MoO3 [5], which is in line with Raman and XRD results. For PtMo/Nb2O5, the Mo 3d spectrum depicts similar doublets having binding energy values of Mo 3d5/2 contributions at 231.7 eV and 232.9 eV.
Table 2.
Binding energies (in eV) of the constituent elements for the studied catalysts. The values in parentheses are the area% of each contribution.

Figure 6.
(a) Mo 3d high resolution XPS spectra of fresh CoMo/Nb2O5 and PtMo/Nb2O5 samples and PtMo/Nb2O5 spent catalyst. (b) Pt 4f spectra of both fresh and spent PtMo/Nb2O5 catalysts.
Importantly, the most intense contribution ca. 71% at 232.9 eV is assigned to be from Mo6+ species from α-MoO3 on the surface of niobia, in agreement with the HRTEM results that suggest the existence of the molly species. Also, the minor contribution of ca. 29% at 231.7 eV is attributed to the presence of Mo5+ species [32].
Additionally, the O 1s core level spectra comprise of a pair of doublets with asymmetric signals at about 530.4 and 531.7 eV (Table 2). The most intense peak at low binding energy value could be related to the lattice oxygen species of the metal oxides mainly that of the Nb2O5 support, whereas the low intensity contribution is associated with the OH surface groups [16].
Meanwhile, CoMo/Nb2O5 depicts BE at 781.1 eV from Co 2p core level. This indicates that Co is mostly in Co2+ state [5]. Particularly, the Mo/Nb atomic ratio is of ca. 0.165 (Table 3) suggesting that Co nanoparticles are mostly on the solid surface, in close contact with the Mo ones, as illustrated by the HRTEM images. Regarding the Co/Mo surface atomic ratio of 0.72, it is plausible to have a small amount of Co2+ on solid surface.
Table 3.
Surface chemical composition in atomic concentration (%) of the studied catalysts determined by XPS.
The Pt 4f core level spectra of PtMo/Nb2O5 sample is shown in Figure 6b. The deconvolution of the spectra reveals three doublets at low BE for Pt 4f7/2 peak at 71.4 eV (16%), 73.0 (70%), and 74.7 eV (14%). A peak overlapping with the peak at 74.7 eV along with two peaks at 76.1 and 77.4 eV can be found for Pt 4f5/2 (Figure 6b). According to the findings, the BE at 73.0 and 74.7 eV are due to Pt2+ from PtOx species, whereas the contribution at 74.7 and 77.4 eV are assigned to the presence of Pt4+ species [33,34]. The minor contribution at 71.4 eV is associated with the Pt° [33], although this specie is not probable in the fresh catalyst. Moreover, the Mo/Nb ratio for PtMo/Nb2O5 sample is 0.254, being higher than that of CoMo/Nb2O5 indicating that Mo particles are mostly exposed on surface of the PtMo/Nb2O5 catalyst.
After the catalytic test (Figure 6b), the BE for Pt 4f7/2 core level observed at 71.4 (80%) and 72.7 eV (20%) remain with the former having a major contribution. This indicates that the PtOx species are reduced from to Pt4+/Pt2+ from PtOx species to Pto. Also, the Pt/Nb ratio decreases from 0.0042 in the fresh sample to 0.0018 as found for spent catalyst suggesting the leaching of the Pt species after the catalytic test. Indeed, the Pt content of ca. 0.32% for the spent solid confirms these assumptions (Table 3). Additionally, the Mo species amount for PtMo/Nb2O5 catalyst does not change after the catalytic test.
The C 1s core level spectra for CoMo/Nb2O5 and PtMo/Nb2O5 are deconvoluted into three contributions. The first one at about 288.7 eV can be related to the presence of carboxyl groups, in addition to the other typical peak at 284.8 eV of adventitious carbon. At 286.2 eV, the C-OH groups can be detected. All these contributions could be related to the carbon deposition after the catalytic test, which further will explain the low performance of PtMo/Nb2O5. In agreement, the BE for O 1s core level reveals peaks at 530.4 and 532.0 eV, which are associated to surface oxygen groups. The peak at 530.4 eV is assigned to be from C-O/C=O and Me-O functional groups while the peak at 532.0 eV can be attributed to the presence of other carboxylic species bonded to the OH functional groups [35]. Moreover, a slight increase in the oxygen content after the catalytic test is observed (Table 3) in comparison to the fresh Pt-containing solid. This might be attributed to the surface oxidation, mainly Mo species in the presence of CO and NOx species from SCR reaction.
2.4. Catalytic Results
2.4.1. Temperature Effects
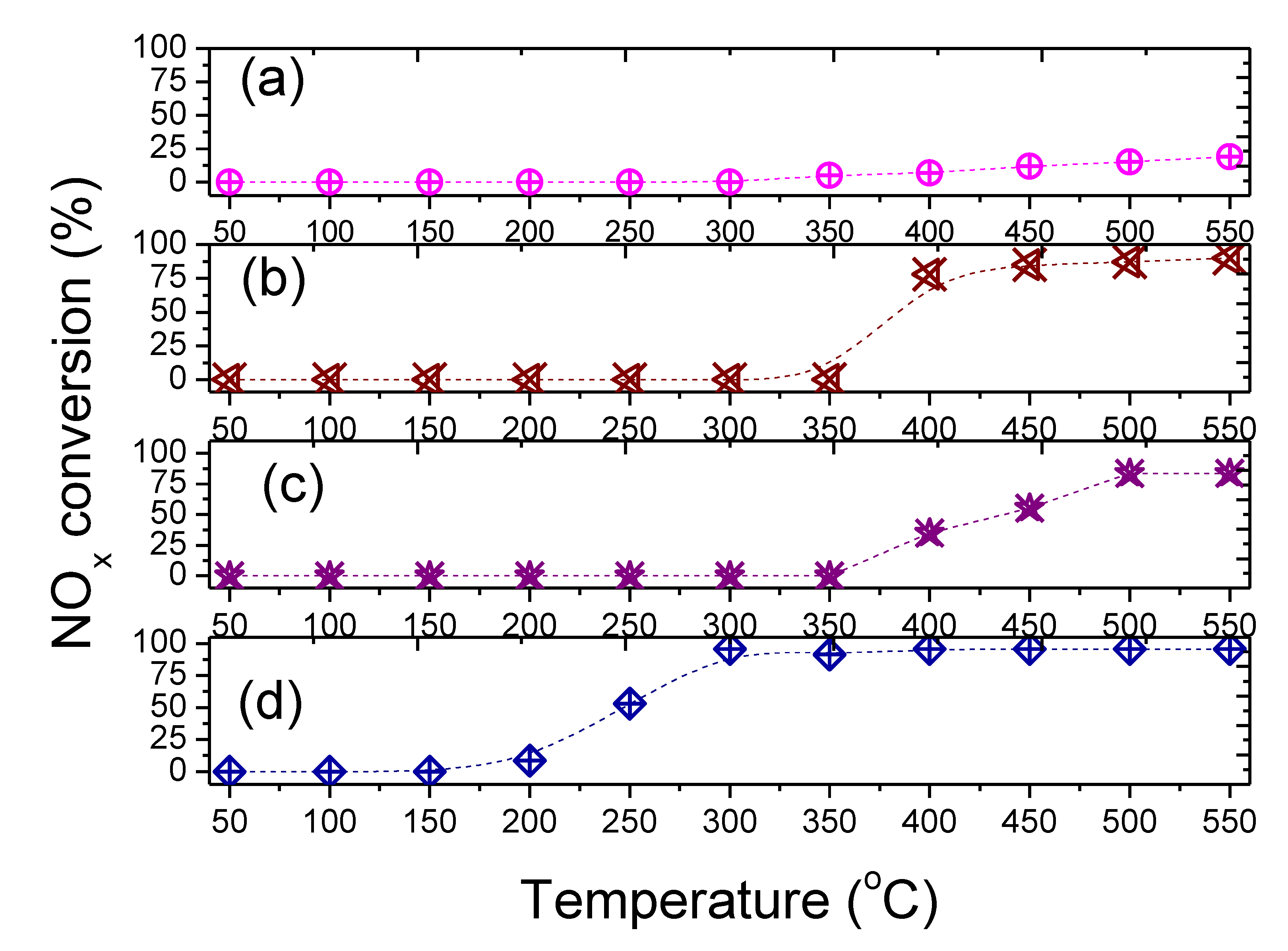
The catalysts are screened for the CO-SCR reaction to find out the optimum conditions for maximum NOx conversions. In all cases, the amounts of the catalysts are 150 mg and the total flow of NOx, CO, and He is 80 mL·min−1 with the variations in reaction temperatures from 50 to 500 °C (Figure 7).
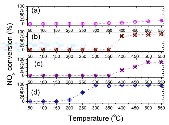
Figure 7.
Influence of the temperature on overall NOx conversions using the MeMo/ Nb2O5 catalysts: (a) Nb2O5, (b) CoMo/Nb2O5, (c) NiMo/Nb2O5, and (d) PtMo/Nb2O5. Reaction conditions: 500 ppm of NO, 1000 ppm of CO, and balance with He. Catalyst mass = 150 mg, total flow rate = 80 mL·h−1 and GHSV = 48,000 h−1.
At temperatures below 200 °C, all solids exhibit negligible NOx conversion in the CO-SCR reaction. Considering that the SCR is not a fast reaction [36]; thus, NOx and CO are stable as temperature increases from 50 to 200 °C, requiring more heat to be decomposed. It is noted that for PtMo/Nb2O5, the increase of temperature to 200 °C more likely provides the NOx and CO decomposition by moderated temperatures with NOx being converted ca. 10%. Eventually, all the available PtOx nanoparticles on Nb2O5 surface act catalyzing the reaction along with the high conversions at higher temperatures. This is probably due to either the adsorption of CO by Pt sites and NOx decomposition, in line with the literature reports for SCR reactions [14,34].
A further increase in temperature up to 200 °C increases the overall conversion of NOx for PtMo/Nb2O5 reaching 90% at 300 °C. On the contrary, the CoMo/Nb2O5, NiMo/Nb2O5 and Nb2O5 catalysts illustrate that the SCR reaction is limited at temperatures below 350 °C. It is notable that in the case of the Nb2O5 support, the NOx conversion starts at 350 °C and reaches a maximum value of 19% at 500 °C. Thermal conversion of the Brønsted to Lewis acid sites Nb2O5 above 350 °C evidences the reduction of NOx and the oxidation of CO to form N2 and CO2, respectively. Based on the NH3-SCR reaction over niobia catalysts [21], the Brønsted acid sites present on Nb2O5 works in the SCR reaction at relatively low temperature ranges and maybe difficult to convert NOx at temperatures higher than 350 °C due to its low stability. Most probably, the Lewis acid sites of Nb2O5 help to convert NOx at relatively high temperatures, as indicated by acidity measurements (Figure 5).
At temperatures above 400 °C, the activity of the MeMo supported catalysts gradually raised with PtMo/Nb2O5 and CoMo/Nb2O5 achieving NOx conversions greater than 90% at 550 °C, while the NiMo/Nb2O5 catalyst converts 83% of NOx at the same temperature. Apparently, the activity is influenced by the physicochemical properties of MeMo with PtMo and CoMo having more pronounced effects to improve the catalytic performance than NiMo counterparts. In agreement, studies on Co-based bimetallic and Ir monometallic catalysts demonstrate a superior catalytic performance at relatively low temperatures as a result of the strong adsorption of the gases on Me active sites [37,38]. Besides, total acidity follows the same order of the activity whereas the acidity of the Lewis acid sites is not the only factor affecting conversion.
Important is to note that the Mo/Nb2O5, Ni/Nb2O5, and Co/Nb2O5 are inactive in the CO-SCR reaction under all the above mentioned conditions whereas Pt/Nb2O5 catalysts exhibit a very modest performance up to 400 °C.
2.4.2. Stability of the Catalysts against Poisons
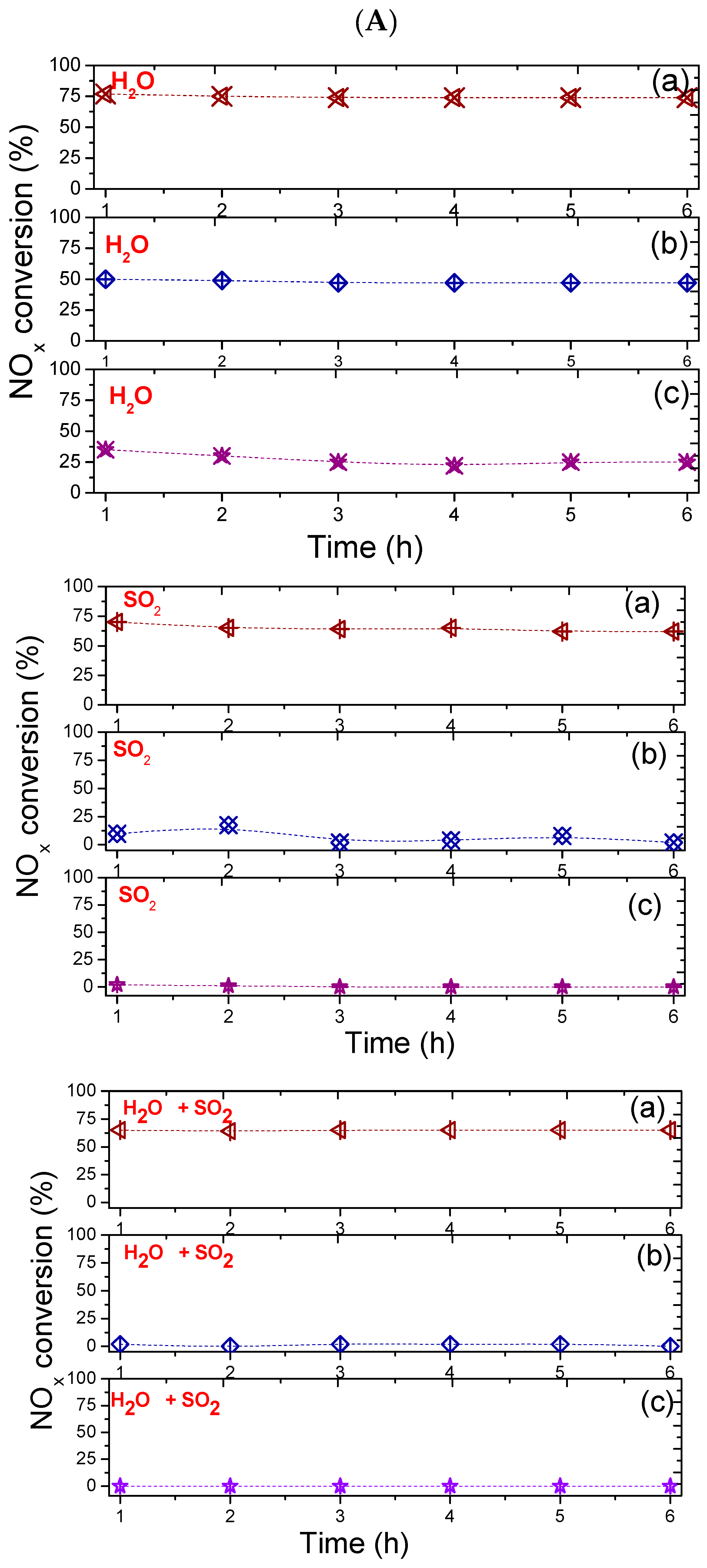
Attempts are also being made to investigate the impact of H2O and SO2 (or both) poisons on NOx conversions and correlate with the stability of the MeMo/Nb2O5 samples. These studies are carried out after each run at 350 °C for the samples for 24 h.
Figure 8A depicts the evolution of the reaction after 6 h of operation solely in the presence of 10 wt % water vapor, as poison. For all catalysts, no noticeable variation of NOx conversions is observed upon time on stream. The CoMo/Nb2O5 catalyst, among the tested solids, is the most active towards the CO-SCR reaction, as evidenced by the very high NOx conversion of 74% in 6 h of reaction, whereas the conversion dropped below 47% as measured for PtMo/Nb2O5 and CoMo/Nb2O5 catalysts. In agreement, the NH3-TPD results (Figure 5) illustrate that the Lewis sites are formed on MeMo/Nb2O5 catalysts at 350 °C, especially for CoMo/Nb2O5 and PtMo/Nb2O5 ones.

Figure 8.
(A) CO-SCR performances of catalysts in the presence of distinct poisons. The catalysts studied are as follows: (a) CoMo/Nb2O5, (b) PtMo/Nb2O5, and (c) NiMo/Nb2O5. Reaction conditions: catalyst mass = 150 mg, total flow rate = 80 mL h−1, GHSV = 48,000 h−1 at 350 °C. (B) Cutting in and cutting off the poison experiments using the following catalysts: (a) CoMo/Nb2O5, (b) NiMo/Nb2O5, and (c) PtMo/Nb2O5. Reactants composition: 500 ppm of NO, 1000 ppm of CO and balance with He. A 10 wt% (v/v) of water vapor or 50 ppm of SO2 (or both) was used during the poisoning tests for 24 h. GHSV = 48,000 h−1 at 350 °C.
Thus, H2O vapor is unlikely to poison Lewis acid catalytic active sites possessing medium to stong acidity. Hence, water vapor does not compete with either CO or NOx for active sites, leading to increased stability of CoMo/Nb2O5 and MoMo/Nb2O5 catalysts. This result corroborates with the findings that explain the weak interaction between water molecules and Nb2O5 acid active sites resulting in low H2O adsorption energy on these sites; thus, water does not affect the active sites of niobia necessary to maintain the catalytic activity of solids, as found elsewhere [39,40]. Despite considerable efforts to define the role of water as poison during SCR reactions, the debate on this issue still continues in the NOx, CO, and H2O adsorption at different sites on the surface of CoMo/Nb2O5 and PtMo/Nb2O5 catalysts. Even if there is a competitive NOx, CO, and H2O adsorption for the active species, the linear, bridged, or germinal CO interaction with the Me and the Me monodentate nitrate or nitrite sites from NOx may exist [14,40], but the CO-SCR remains unaffected by H2O vapor addition. On the contrary, Ni and Nb Lewis acid sites of NiMo/Nb2O5 catalyst with weak to medium strengths have low water tolerance, presumably because Ni is quite reactive towards H2O and therefore lead to irreversible adsorption on Ni sites with consequent loss of catalytic performance. Studies on water adsorption on NiO demonstrate that water can be decomposed on NiO surfaces, forming saturated OH groups [41,42], in agreement with our observations.
Further experiments with the addition of 50 ppm of SO2 are carried out, as shown in Figure 8A. As one can see, the SO2 inlet declines more the catalytic performance of the solids compared to just the H2O inlet, especially for NiMo and PtMo catalysts. Sulfur is considered to be a poison for catalytic reactions as it strongly interacts with both acid and metallic active sites of a catalyst that allows the deactivation of the catalysts [43]. The favorable adsorption of the sulfur species bound to the MeMo or Nb surface may lead to a blocking of the catalyst’s surface and pores and, thus, the coexistence of SO2, CO, and NOx deactivate the catalyst. Similarly, PtMo sites are deactivated by SO2 addition due to the sulfur bound to Pt sites giving sulfided phases, which produce a diminution in the availability of active sites, being Pt sites less effective to activate the hydrocarbons during HDS reactions [43,44].
On the literature for NH3-SCR, dispersed Ni and Mo species on CeO2 that possess strong Lewis acid depicts low catalytic performance due to the active sites’ deactivation by sulfur [45].
Although there is a slight reduction in the catalytic activity of CoMo/Nb2O5, the NOx, conversion by 63% in 6 h of time on stream evidences that the well dispersed Co3O4 and MoO3 on Nb2O5 gives a more resistant catalyst against sulfur poison than the NiMo and PtMo analogues. Due to the similarity in the structural and acid properties of CoMo/Nb2O5 and CoMo/Al2O3 catalyst, the former shows an excellent activity in the SCR reaction due to the availability of its cobalt sites for CO and NOx adsorption, whereas sulfided CoMo/Al2O3 shows a modest catalytic performance [43,46].
To verify whether the catalysts are stable against the simultaneous addition of H2O and SO2, the same experiment is performed with all three catalysts, as shown in Figure 8. As before, PtMo/Nb2O5 and NiMo/Nb2O5 exhibit poor performances reaching NOx conversions less than 5%. In marked contrast, the catalytic performance of CoMo/Nb2O5 is not restrained, when adding both water vapor and SO2 with NOx conversion of ca. 63% in 6 h. Such a difference in catalytic activity suggests that the formation of Co and Mo active species on Nb2O5 played the crucial role in the CO-SCR owing to Co ability to adsorb CO and NOx at the Mo and Nb sites. IR spectra of carbon monoxide adsorbed on a series of CoMo/Al2O3 and NiMo/Al2O3 confirm these assumptions demonstrating that CO can interact either with a Co atom or with a Mo atom adjacent to a Co atom in CoMo/Al2O3 while CO adsorption on Ni centers of NiMo/Al2O3 results in competitive adsorption of CO for Ni or Mo sites [45,47]. The focus will now be directed towards the stability of the solids by performing long-term stability runs. Thus, the CO-SCR reaction is studied as a function of reaction time using poisons in cutting in and cutting off experiments (Figure 8B).
At the beginning of the reaction, NOx conversion is high for both CoMo/Nb2O5 and PtMo/Nb2O5 catalysts, in contrast to the low performance depicted by NiMo/Nb2O5. This is expected considering that the dispersion of active PtOx and Co2O4 species on Nb2O5 surface is helped by MoO3 (XPS, TEM, and SEM-EDS). This results in the availability of Co and Mo for CO and NOx. Also, the acidity of PtMo/Nb2O5 greatly enhances the NOx conversion, as discussed above. In the case of NiMo/Nb2O5, the agglomeration of Ni particles may hamper the reactants to be adsorbed by the Lewis Nb sites and Ni redox ones and, thus, both CO and NOx adsorption decreased slightly compared with their PtMo/Nb2O5 and CoMo/Nb2O5 corresponding ones (Figure 8B).
As the reaction proceeds, water vapor is introduced into the reaction (step II) and the catalytic activity follows similar trends, as previously shown by short term stability runs (Figure 8A). Interestingly, the NOx conversion of CoMo is maintained in 64%, while NiMo/Nb2O5 activity only increases to 10% in the presence of steam. In contrast to CoMo/Nb2O5, the Pt sites of PtMo/Nb2O5 experience a remarkable decay from 70 to 60% in NOx conversion. It is understandable that the density of the acid sites of the solids themselves change much for PtMo/Nb2O5 due to the steam poisoning; consequently, a decrease of the strength of the medium to strong Lewis acid sites. On the contrary, NiMo/Nb2O5 has lower values of the density of the acid sites, which can effectively illustrate the deactivation of Ni active sites by water vapor, as aforesaid. For CoMo/Nb2O5, the low density of the acid sites ca. 1.8 µmolNH3.m2 seems do not influence its performance. Afterwards, water vapor is cut off from the reaction and SO2 is added immediately with the consequent decay in CO-SCR activity to values nearly to zero on PtMo/Nb2O5 and NiMo/Nb2O5. These results are ascribed to the strong chemisorption of SO2 by Pt and Ni active species, which greatly decrease the effective active sites availability for CO and NOx. Theoretical studies through DFT calculations corroborate with our results demonstrating the detrimental effect of NO2 and SO2 on the Pt sites [48]. Such decrease in NOx conversion is less pronounced for the CoMo/Nb2O5 catalyst, since CO preferentially adsorbs on Co and Mo sites, forming mono and bidentate species, as found elsewhere [49,50]. Also, the Mo and Nb sites may form the nitrate and nitrites species, which are in close proximity of the CO adsorbed on the Co and Mo bound to the previous CO species forming the intermediate isocyanate. This chemical entity is responsible for forming CO2 and N2 during the CO-SCR reaction [3,14,16]. Thereby, the activity of CoMo/Nb2O5 is not severely affected by low SO2 concentration such as 50 ppm with the NOx conversion remaining nearby 63%. Subsequently, the introduction of SO2 and H2O vapor gives similar results for NOx conversion in 7 h of reaction. The suppression of the poisons restores the NOx conversion on all the studied solids from 10 to 20 h of reaction. However, there is significantly more deactivation of the PtMo/Nb2O5 and NiMo/Nb2O5 catalysts by repeating the cycles of cutting in and cutting off again upon using the poisons during the CO-SCR reaction. Especially for PtMo/Nb2O5 and NiMo/Nb2O5, the NOx conversion drops continuously for 24 h. Possible reasons for the activity decay could be due to the covering of a part of the Ni and Pt species by coke deposits from CO decomposition, as previously shown for Ni and Pt-based catalysts [34,51]. Although the NOx conversion decreases in the presence of SO2 over CoMo/Nb2O5, the solid shows excellent tolerance to the poisons, when H2O is added simultaneously with sulfur during more than 20 h of reaction. This may be due to the surface Co and Mo active sites interaction with CO, while NOx may be adsorbed on Nb sites of moderate acidity. As the sites are in close proximity, isocyanate species could be formed and react with the NO3−/NO2 surface complex, which is formed by both oxidation of NOx and CO. Careful observation of acidity, HRTEM, and XPS results confirm that the surface of Co and Mo as well as the acid nature of the Nb species formed in the catalysts play an important role on the catalytic performance.
3. Materials and Methods
3.1. Nb2O5 Supported Transition Metal Catalysts Preparation
Commercial Nb2O5 powder was purchased from Sigma-Aldrich (Sigma-Aldrich, Darmstadt, Germany) and calcined at 700 °C for 2 h under air flow. In a typical procedure, 1.0 g of the calcined niobia was mixed with 1.0 wt % of ammonium heptamolybdate ((NH4)6Mo7O24) precursor (Vetec) and dispersed by rotatory evaporator at 50 °C for 1 h. Then, the pH of the solution was adjusted to 9.0 by adding ammonia aqueous solution. After that, the sample was calcined at 500 °C for 2 h by flowing air producing the Mo/Nb2O5 sample. Subsequently, the Mo/Nb2O5 catalyst was impregnated with either Co(NO3)2·6H2O or Ni(NO3)2·6H2O solution possessing a 1.0 wt % of each metal. The mixture was heated at 70 °C in a rotatory evaporator for 4 h. Finally, the previous sample was washed, dried, and calcined at 350 °C for 2 h under air, yielding the supported transition metal oxides denoted as CoMo/Nb2O5 and NiMo/Nb2O5.
A Pt-containing sample was obtained by impregnating a 1.0 wt% of hexachloroplatinic acid (H2PtCl6·6H2O) ethanolic solution to the Mo/Nb2O5. After calcination of the solid, the catalyst was denoted as PtMo/Nb2O5. For simplifications, the catalysts were denoted as MeMo/Nb2O5 (in which, Me=Co, Ni, Pt) referring to CoMo/Nb2O5, NiMo/Nb2O5, and PtMo/Nb2O5.
3.2. Characterizations
The crystal structure of the catalysts was determined by the X-ray diffraction (XRD) in a DMAXB Rigaku diffractometer (Rigaku, Tokyo, Japan) using CuKα radiation at 40 kV and 40 mA. The intensities were determined at 2θ angles in the 20–60° range. The diffractograms were compared with those of the Joint Committee of Powder Diffraction Standard (JCPDS) database files.
Raman spectroscopy measurements were performed using a LabRAM HR Horiba Scientific spectrometer (Horiba—Jobin Yvon, Kyoto, Japan) with a liquid nitrogen cooled detector at a resolution of 2 cm−1 and a laser power of 10 mW. The 514.5 nm line of an argon ion laser was used and an objective lens from Olympus was used. The recorded spectra were obtained in the 100–1100 cm−1 range.
The morphology of catalysts was observed by scanning electron microscopy (SEM) in a FEI, Quanta 200 FEG electron microscope (FEI Company, Hillsboro, OR, USA) in SEM mode, which was coupled to an energy dispersive spectroscopy (EDS) system. Previously, the samples were silver sputtered to better conduction.
Transmission electron microscopy (TEM) images were carried out in a field emission FEI Tecnai 20 G2 microscope operating at 200 kV. Previously, the samples were dispersed in ethanol, sonicated, and then drop casted onto a holey-carbon copper TEM grid.
The textural properties of the solids—such as surface areas, and pore volumes and sizes—were obtained by nitrogen adsorption–desorption isotherms at −196 °C in a ASAP 2420 apparatus from Micromeritics (Norcross, GA, USA). Before analyses, the solids were heated at 150 °C under vacuum for 5 h. The surface areas and pore volumes were assessed by the Brunauer–Emmett–Teller (BET) equation whereas the average pore diameters were calculated from the Barrett–Joyner–Halenda (BJH) method to the adsorption curves.
The acidity of the solids was determined by temperature-programmed desorption of ammonia (NH3-TPD) in a Chembet-3000 model from Quantachrome Instruments equipment (Anton Paar, Ashland, VA, USA). The samples were previously pretreated flowing N2 at 300 °C. Then, a mixture of 5% NH3 in N2 was introduced during NH3 adsorption at 100 °C for 40 min. After purging with nitrogen to remove the physically adsorbed ammonia from the solid surface, the desorption was performed at 10 °C. min−1 in the 100–470 °C range.
X-ray photoelectron spectroscopy (XPS) spectra were collected to provide information on the surface composition and oxidation states of the constituent elements of the studied catalysts in a Physical Electronics VersaProbe II Scanning XPS Microprobe (Physical Electronics GmbH, Feldkirchen, Germany). The scanning monochromatic X-ray Al Kα radiation (100 µm area analyzed, 52.8 W, 15 kV, 1486.6 eV) and a charge neutralizer were used. The C 1s electron binding energy corresponding to adventitious carbon was used as a reference at 284.8 eV.
3.3. Catalytic Activity Tests
The selective catalytic reduction of CO (CO-SCR) was carried out using a quartz fixed-bed reactor with an inner diameter of 8 mm at ambient pressure. About 150 mg of catalysts (40−60 mesh) were placed into the reactor and pretreated in 80 mL·min−1 flowing 10% O2/He at 350 °C for 1 h. Subsequently, the solids were evacuated with helium and cooled to room temperature. Then, the reactants with the composition of 500 ppm of NOx and 1000 ppm of CO balanced with helium were fed into the reactor.
The total flow rate was kept at 80 mL·min−1 during the catalytic experiments. The reaction temperature was elevated to 50 °C increments and maintained constant to reach the steady-state NOx conversion. Unless otherwise described, the catalytic reactions were carried out in the 50–500 °C range. The concentrations of NO and NO2 were obtained by a NO/NO2/NOx electrochemical analyzer from Seitron model chemistry 400 flue gas analyzer (Seitron, Mussolente VI, Italy). Evaluation of the catalytic activity was through the NOx conversions, which was calculated according to previous work [3].
The poisoning experiments were conducted using a composition of 500 ppm of NOx, 1000 ppm of CO, and balance with He. A 10 wt % (v/v) of steam or 50 ppm of SO2 (or both) was used as poison during the reaction for 24 h at 350 °C. The space velocity in GHSV was 48,000 h−1.
The catalytic performance is evaluated through the NOx conversion
where XNOx is the NOx conversion. The subscripts in and out in the equation are the inlet and outlet concentration of NOx at steady state, respectively.
4. Conclusions
A series of MeMo/Nb2O5 catalysts (Me=Co, Ni, or Pt) oxides were prepared and characterized by various physicochemical techniques. Molybdenum had a promoter effect of helping the dispersion of Me oxides on the catalyst surfaces. The strengths of the Lewis acid sites were believed to be correlated to the acid PtOx and NiO aided by MoO3 on Nb2O5, whereas Co3O4 is well dispersed by MoO3 on niobia having acid sites of moderate to weak strengths.
The influence of the nature and dispersion of the Me oxide active sites on the activity of supported MeMo catalysts in the CO-SCR reaction was considerably greater than that of the acidity of the catalysts. Little difference with respect to the dispersion of NiMo and PtMo, namely, Ni or Pt sites close to Mo, and on the other hand, the Co sites away from Mo particles determine the performance of the solids in the reaction. Among the MeMo/Nb2O5 catalysts, PtMo/Nb2O5 had a remarkably low-temperature NOx conversion due to the PtOx ability to convert NOx and CO, whereas Co3O4 and NiO active sites of CoMo/Nb2O5 and NiMo/Nb2O5 worked better above 350 °C. In other words, the PtOx and MoO3 and Nb sites with Lewis acid sites of moderate to strong strengths were only active for a short CO-SCR reaction period. For CoMo/Nb2O5, Co3+/Co2+ sites on Nb2O5 promoted the oxidation of CO and generated more N2 through NOx reduction in 6 h of the title reaction. In similar lines, the synergistic effect between Co3+/Co2+ and Mo6+ sites in CoMo/Nb2O5 was a key parameter for the performances of the catalyst towards either water vapor or SO2 (or both) poisons.
Supplementary Materials
The following are available online at https://www.mdpi.com/2073-4344/10/9/1048/s1, Table S1: Raman modes vibrations and their corresponding assignations.
Author Contributions
L.F.O., M.S.S., R.S.A., and R.L. performed the experiments; A.C.O., E.R.-C., and E.R.-A. analyzed the data and wrote the manuscript; J.P.S.N. designed and performed the experiments and analyzed the data, as well. All authors have read and agreed to the published version of the manuscript.
Funding
This work is sponsored by Petrobras (‘Física do Petróleo em Meios Porosos’ project number: F0185) and Cnpq grant no. 406629/2018-8). E.R.C. and E.R.A thank to project RTI2018-099668-BC22 of Ministerio de Ciencia, Innovación y Universidades, and project UMA18-FEDERJA-126 of Junta de Andalucía and FEDER funds.
Acknowledgments
The authors acknowledge Central Analítica da Universidade Federal do Ceará and Cetene for the work on some characterizations of the catalysts. LFO is acknowledges FUNCAP for her master scholarship.
Conflicts of Interest
The authors declare no conflict of interest.
References
- Zhou, H.; Ge, M.; Zhao, H.; Wu, S.; Li, M.; Su, Y. Selective Catalytic Reduction of Nitric Oxide with Propylene over Fe/Beta Catalysts Under Lean-Burn Conditions. Catalysts 2019, 9, 205. [Google Scholar] [CrossRef]
- He, D.; Wang, Z.; Deng, D.; Deng, S.; He, H.; Liu, L. Synthesis of Cu-SSZ-13 catalyst by using different silica sources for NO-SCR by NH3. Mol. Catal. 2020, 484, 110738. [Google Scholar] [CrossRef]
- Oton, L.F.; Oliveira, A.C.; De Araujo, J.C.; Araujo, R.S.; De Sousa, F.F.; Saraiva, G.D.; Lang, R.; Otubo, L.; Duarte, G.C.D.S.; Campos, A. Selective catalytic reduction of NOx by CO (CO-SCR) over metal-supported nanoparticles dispersed on porous alumina. Adv. Powder Technol. 2020, 31, 464–476. [Google Scholar] [CrossRef]
- Chavez-Rivas, F.; Rodriguez-Iznaga, I.; Berlier, G.; Ferro, D.T.; Concepción-Rosabal, B.; Petranovskii, V. Fe Speciation in Iron Modified Natural Zeolites as Sustainable Environmental Catalysts. Catalysts 2019, 9, 866. [Google Scholar] [CrossRef]
- Nascimento, J.P.S.; Oliveira, A.C.; Araujo, J.C.; De Sousa, F.F.; Saraiva, G.D.; Rodríguez-Aguado, E.; Rodríguez-Castellón, E. Combined promoting effect of molybdenum on the bimetallic Al2O3-La2O3 catalysts for NOx reduction by CO. Fuel 2020, 275, 117872. [Google Scholar] [CrossRef]
- Święs, A.; Kowalczyk, A.; Rutkowska, M.; Diaz, U.; Palomares, A.E.; Chmielarz, L. Ferrierite and Its Delaminated and Silica-Intercalated Forms Modified with Copper as Effective Catalysts for NH3-SCR Process. Catalysts 2020, 10, 734. [Google Scholar] [CrossRef]
- Ouyang, F.; Zhu, R.-S.; Sato, K.; Haneda, M.; Hamada, H. Promotion of surface SOx on the selective catalytic reduction of NO by hydrocarbons over Ag/Al2O3. Appl. Surf. Sci. 2006, 252, 6390–6393. [Google Scholar] [CrossRef]
- Resitoglu, I.A.; Altinisik, K.; Keskin, A.; Ocakoglu, K. The effects of Fe2O3 based DOC and SCR catalyst on the exhaust emissions of diesel engines. Fuel 2020, 262, 116501. [Google Scholar] [CrossRef]
- Li, L.; Wang, Y.; Zhang, L.; Yu, Y.; He, H. Low-Temperature Selective Catalytic Reduction of NOx on MnO2 Octahedral Molecular Sieves (OMS-2) Doped with Co. Catalysts 2020, 10, 396. [Google Scholar] [CrossRef]
- Wang, Y.; Li, D.; Li, K.; Farrauto, R. Enhanced propane and carbon monoxide oxidation activity by structural interactions of CeO2 with MnOx/Nb2O5-x catalysts. Appl. Catal. B Environ. 2020, 267, 118363. [Google Scholar] [CrossRef]
- Gao, E.; Pan, H.; Wang, L.; Shi, Y.; Chen, J. Identification of Main Active Sites and the Role of NO2 on NOx Reduction with CH4 over In/BEA Catalyst: A Computational Study. Catalysts 2020, 10, 572. [Google Scholar] [CrossRef]
- Kim, H.-S.; Kasipandi, S.; Kim, J.; Kang, S.-H.; Kim, J.-H.; Ryu, J.-H.; Bae, J.W. Kim Current Catalyst Technology of Selective Catalytic Reduction (SCR) for NOx Removal in South Korea. Catalysts 2020, 10, 52. [Google Scholar] [CrossRef]
- Zhang, Y.; Zhao, L.; Duan, J.; Bi, S. Insights into deNOx processing over Ce-modified Cu-BTC catalysts for the CO-SCR reaction at low temperature by In Situ DRIFTS. Sep. Purif. Technol. 2020, 234, 116081. [Google Scholar] [CrossRef]
- Pinto, M.B.; Soares, A.L., Jr.; Quintão, M.C.; Duarte, H.A.; De Abreu, H.A. Unveiling the Structural and Electronic Properties of the B-Nb2O5 Surfaces and Their Interaction with H2O and H2O2. J. Phys. Chem. C 2018, 122, 6618–6628. [Google Scholar] [CrossRef]
- Kantcheva, M.; Cayirtepe, I.; Naydenov, A.; Ivanov, G. FT-IR spectroscopic investigation of the effect of SO2 on the SCR of NOx with propene over ZrO2–Nb2O5 catalyst. Catal. Today 2011, 176, 437–440. [Google Scholar] [CrossRef]
- Chary, K.V.R.; Praveen, C.; Reddy, K.K.R.; Bhaskar, T.; Rajiah, T. Characterization and catalytic properties of MoO3–V2O5/Nb2O5 catalysts. Catal. Commun. 2002, 3, 7–13. [Google Scholar] [CrossRef]
- Liu, Y.; Tursun, M.; Yu, H.; Wang, X. Surface property and activity of Pt/Nb2O5-ZrO2 for selective catalytic reduction of NO by H2. Mol. Catal. 2019, 464, 22–28. [Google Scholar] [CrossRef]
- Chary, K.V.R.; Kumar, C.P.; Murali, A.; Tripathi, A. Clearfield, studies on catalytic functionality of V2O5/Nb2O5 catalysts. J. Mol. Catal. A Chem. 2004, 216, 139–146. [Google Scholar] [CrossRef]
- Cayirtepe, I.; Naydenov, A.; Ivanov, G.; Kantcheva, M. Characterization of Niobium-zirconium Mixed Oxide as a Novel Catalyst for Selective Catalytic Reduction of NOx. Catal. Lett. 2009, 132, 438–449. [Google Scholar] [CrossRef]
- Xu, H.; Lin, Q.; Wang, Y.; Lan, L.; Liu, S.; Lin, C.; Wang, Q.; Wang, J.; Chen, Y. Promotional effect of niobium substitution on the low-temperature activity of a WO3/CeZrOx monolithic catalyst for the selective catalytic reduction of NOx with NH3. RSC Adv. 2017, 7, 47570. [Google Scholar] [CrossRef]
- Ye, D.; Ren, X.; Qu, R.; Liu, S.; Zheng, C.; Gao, X. Designing SO2-resistant cerium-based catalyst by modifying with Fe2O3 for the selective catalytic reduction of NO with NH3. Mol. Catal. 2019, 462, 10–18. [Google Scholar] [CrossRef]
- Zhang, S.; Tang, Y.; Nguyen, L.; Zhao, Y.-F.; Wu, Z.; Goh, T.W.; Liu, J.J.; Li, Y.; Zhu, T.; Huang, W.; et al. Catalysis on Singly Dispersed Rh Atoms Anchored on an Inert Support. ACS Catal. 2017, 8, 110–121. [Google Scholar] [CrossRef]
- Usha, N.; Sivakumar, R.; Sanjeeviraja, C.; Kuroki, Y. Effect of substrate temperature on the properties of Nb2O5: MoO3 (90:10) thin films prepared by rf magnetron sputtering technique. J. Alloys Compd. 2015, 649, 112–121. [Google Scholar] [CrossRef]
- Xin, Y.; Dong, L.; Guo, Y.; Liu, X.; Hu, Y.; Wang, Y. Correlation of the catalytic performance with Nb2O5 surface properties in the hydrodeoxygenation of lignin model compound. J. Catal. 2019, 375, 202–212. [Google Scholar] [CrossRef]
- Li, S.; Xu, Q.; Uchaker, E.; Cao, X.; Cao, G. Comparison of amorphous, pseudohexagonal and orthorhombic Nb2O5 for high-rate lithium ion insertion. CrystEngComm 2016, 18, 2532–2540. [Google Scholar] [CrossRef]
- Jehng, J.M.; Wachs, I.E. Structural chemistry and Raman spectra of niobium oxides. Chem. Mater. 1991, 3, 100–107. [Google Scholar] [CrossRef]
- Sobczak, I.; Ziolek, M.; Nowacka, M. Preparation and characterisation of Pt containing NbMCM-41 mesoporous molecular sieves addressed to catalytic NO reduction by hydrocarbons. Microporous Mesoporous Mater. 2005, 78, 103–116. [Google Scholar] [CrossRef]
- El-Eskandarany, M.S.; Banyan, M.; Al-Ajmi, F. Synergistic Effect of New ZrNi5/Nb2O5 Catalytic Agent on Storage Behavior of Nanocrystalline MgH2 Powders. Catalysts 2019, 9, 306. [Google Scholar] [CrossRef]
- Agudo, A.L.; Gil Llambias, F.; Reyes, P.; Fierro, J.G. Dispersion of molybdena and hydrodesulphurization activity of Mo/γ-Al2O3, AND Co (or Ni) Mo/γ-Al2O3 catalysts. Appl. Catal. 1981, 1, 59–70. [Google Scholar] [CrossRef]
- Yamashita, K.; Hirano, M.; Okumura, K.; Niwa, M. Activity and acidity of Nb2O5-MoO3 and Nb2O5-WO3 in the Friedel-Crafts alkylation. Catal. Today 2006, 118, 385–391. [Google Scholar] [CrossRef]
- Francisco, M.S.P.; Landers, R.; Gushikem, Y. Local order structure and surface acidity properties of a Nb2O5/SiO2 mixed oxide prepared by the sol–gel processing method. J. Solid State Chem. 2004, 177, 2432–2439. [Google Scholar] [CrossRef]
- Damyanova, S.; Dimitrov, L.; Petrov, L.; Grangé, P. Effect of niobium on the surface properties of Nb2O5-SiO2-supported Mo catalysts. Appl. Surf. Sci. 2003, 214, 68–74. [Google Scholar] [CrossRef]
- Arakawa, S.; Matsuura, Y.; Okamoto, M. Allophane–Pt nanocomposite: Synthesis and MO simulation. Appl. Clay Sci. 2014, 95, 191–196. [Google Scholar] [CrossRef]
- Oton, L.F.; Coelho, D.C.; Oliveira, A.C.; De Araujo, J.C.; Lang, R.; Rodríguez-Castellón, E.; Rodríguez-Aguado, E.; Lucredio, A.F.; Assaf, E.M.; Reyna-Alvarado, J.; et al. Structural transformation of vanadate nanotubes into vanadate oxides nanostructures during the dry reforming of methane. Mol. Catal. 2020, 480, 110641. [Google Scholar] [CrossRef]
- Araújo, J.C.; Oton, L.F.; Oliveira, A.C.; Lang, R.; Otubo, L.; Bueno, J.M. On the role of size controlled Pt particles in nanostructured Pt-containing Al2O3 catalysts for partial oxidation of methane. Int. J. Hydrogen Energy 2019, 44, 27329–27342. [Google Scholar] [CrossRef]
- Odenbrand, I. High Temperature and High Concentration SCR of NO with NH3 for the Oxyfuel Combustion Process: Fitting of Kinetics to Data from a Laboratory Reactor Experiment. Top. Catal. 2017, 60, 1317–1332. [Google Scholar] [CrossRef]
- Zhang, S.; Nguyen, L.; Liang, J.-X.; Shan, J.; Liu, J.; Frenkel, A.I.; Patlolla, A.; Huang, W.; Li, J.; Tao, F. Catalysis on singly dispersed bimetallic sites. Nat. Commun. 2015, 6, 7938. [Google Scholar] [CrossRef]
- Lu, Y.; Wang, J.; Yu, L.; Kovarik, L.; Zhang, X.; Hoffman, A.S.; Gallo, A.; Bare, S.R.; Sokaras, D.; Kroll, T.; et al. Identification of the active complex for CO oxidation over single-atom Ir-on-MgAl2O4 catalysts. Nat. Catal. 2018, 2, 149–156. [Google Scholar] [CrossRef]
- Hirunsit, P.; Toyao, T.; Siddiki, S.M.A.H.; Shimizu, K.-I.; Ehara, M. Origin of Nb2O5 Lewis Acid Catalysis for Activation of Carboxylic Acids in the Presence of a Hard Base. ChemPhysChem 2018, 19, 2848–2857. [Google Scholar] [CrossRef]
- Rasband, P.; Hecker, W. No reduction activity and FTIR characterization of rhodium on niobia-modified SiO2. Catal. Today 1990, 8, 99–111. [Google Scholar] [CrossRef]
- De Jesus, J.C.; Carrazza, J.; Pereira, P.; Zaera, F. Hydroxylation of NiO films: The effect of water and ion bombardment during the oxidation of nickel foils with O2 under vacuum. Surf. Sci. 1998, 397, 34–47. [Google Scholar] [CrossRef]
- Schulze, M.; Reissner, R.; Lorenz, M.; Radke, U.; Schnurnberger, W. Photoelectron study of electrochemically oxidized nickel and water adsorption on defined NiO surface layers. Electrochim. Acta 1999, 44, 3969–3976. [Google Scholar] [CrossRef]
- Zhuang, S. Catalytic conversion of CO, NO and SO2 on supported sulfide catalysts II. Catalytic reduction of NO and SO2 by CO. Appl. Catal. B Environ. 2001, 31, 133–143. [Google Scholar] [CrossRef]
- Pérez-Martínez, D.; Giraldo, S.A.; Centeno, A. Effects of the H2S partial pressure on the performance of bimetallic noble-metal molybdenum catalysts in simultaneous hydrogenation and hydrodesulfurization reactions. Appl. Catal. A Gen. 2006, 315, 35–43. [Google Scholar] [CrossRef]
- Zhu, J.; Gao, F.; Dong, L.; Yu, W.; Qi, L.; Wang, Z.; Dong, L.; Chen, Y. Studies on surface structure of MxOy/MoO3/CeO2 system (M = Ni, Cu, Fe) and its influence on SCR of NO by NH3. Appl. Catal. B Environm. 2010, 95, 144–152. [Google Scholar] [CrossRef]
- Zhuang, S.-X.; Magara, H.; Yamazaki, M.; Takahashi, Y.; Yamada, M. Catalytic conversion of CO, NO and SO2 on the supported sulfide catalyst: I. Catalytic reduction of SO2 by CO. Appl. Catal. B Environ. 2000, 24, 89–96. [Google Scholar] [CrossRef]
- Travert, A.; Dujardin, C.; Mauge, F.; Veilly, E.; Cristol, S.; Paul, J.-F.; Payen, E. CO Adsorption on CoMo and NiMo Sulfide Catalysts: A Combined IR and DFT Study. J. Phys. Chem. B 2006, 110, 1261–1270. [Google Scholar] [CrossRef] [PubMed]
- Xia, M.; Yue, R.; Chen, P.; Wang, M.; Jiao, T.; Zhang, L.; Zhao, Y.; Gao, F.; Wei, Z.; Li, L. Density functional theory investigation of the adsorption behaviors of SO2 and NO2 on a Pt(111) surface. Colloids Surf. A Physicochem. Eng. Asp. 2019, 568, 266–270. [Google Scholar] [CrossRef]
- Zhang, M.; Zhang, W.; Xie, W.; Qi, Z.; Wu, G.; Lv, M.; Sun, S.; Bao, J. Effects of cobalt promoter and reduction temperature on the surface species and syngas adsorption of K–Co–Mo/C catalyst for mixed alcohols synthesis. J. Mol. Catal. A Chem. 2014, 395, 269–275. [Google Scholar] [CrossRef]
- Gunasooriya, G.T.K.K.; Van Bavel, A.P.; Kuipers, H.P.; Saeys, M. CO adsorption on cobalt: Prediction of stable surface phases. Surf. Sci. 2015, 642, L6–L10. [Google Scholar] [CrossRef]
- De Sousa, H.S.A.; Da Silva, A.N.; Castro, A.J.; Campos, A.; Filho, J.M.; Oliveira, A.C. Mesoporous catalysts for dry reforming of methane: Correlation between structure and deactivation behaviour of Ni-containing catalysts. Int. J. Hydrogen Energy 2012, 37, 12281–12291. [Google Scholar] [CrossRef]
© 2020 by the authors. Licensee MDPI, Basel, Switzerland. This article is an open access article distributed under the terms and conditions of the Creative Commons Attribution (CC BY) license (http://creativecommons.org/licenses/by/4.0/).











