Abstract
We developed a synthesis of chiral ionic liquids from proline and one of its derivatives. Nine chiral ionic liquids were synthesized with yields from 78% to 95%. These synthesized ionic liquids played two roles in Michael reactions, as solvents, and as basic catalysts, where the ionic phase could also be reused at least five times without loss of activity. The yields up to 99% were improved by increasing the amount of dimethylmalonate from 1.2 equivalents to 3 or 4 equivalents. Furthermore, the reaction time could be reduced from 24 h to 45 min through microwaves activation.
1. Introduction
The impact of chemical solvents on the environment is an increasingly debated subject. Indeed, most of these solvents are volatile organic compounds and can, therefore, be easily dispersed in the environment. Risks often accompany this because they are flammable. In addition, they are generally harmful from an ecological and health point of view [1]. Over the past fifteen years, green chemistry, which has become a priority area for academic and industrial research, has undergone considerable development. In this context, much research is focused on alternative, environmentally friendly solvents that can replace some highly volatile and environmentally harmful solvents [2].
These include water [3,4,5,6,7,8,9], supercritical CO2 [10,11,12,13,14], and ionic liquids (ILs) [15,16,17,18,19,20,21]. Ionic liquids are of particular interest because they are a new class of solvents that offer interesting opportunities as a reaction medium for cleaner chemistry due to their multiple properties.
Ionic liquids are salts consisting solely of ions, whose melting point is below an arbitrary temperature, often 100 °C. They consist of generally bulky organic cations and organic or inorganic anions, which gives them an asymmetry of shape and charge, as well as great flexibility [22,23]. In general, cations have a voluminous and asymmetric nature [15]. The most commonly represented are composed of ammoniums, phosphoniums, or heteroaromatic systems such as imidazolium, pyridinium, pyrrolidinium, oxazolium, thiazolium, pyridazinium, triazolium, and tetraalkylammonium. Different ionic liquids can be formed either by the appropriate combination of cations and anions or by the chemical modification of the cation or anion. This offers a choice of considerable combinations, and the literature now reports the possible synthesis of at least 106 different ILs [19].
Their synthesis is generally carried out in two steps: the formation of the cation followed by an anion exchange step called anionic metathesis [24].
The properties of the ILs are also very large [19,25,26]: low vapor tension, high decomposition temperature, high solubilizing power, and a wide variety of the structures that allow different polarities [27,28].
The ILs are commonly used in the domain of (bio)catalysis [18,29], organic synthesis [30,31], electrochemistry [32], or extraction [33] as recently described in the appropriate reviews [34,35,36]. Catalyses (hydrogenation, oxidation, Pd-catalyzed couplings, Friedel-Crafts, Diels-Alder, etc.) in ILs are also largely developed [37] and the use of these new solvents generally led to higher kinetics and better selectivity’s.
However, the low biodegradability and the toxicity of the ionic liquids, in general, led the scientific community to reduce their use or to find other greener alternatives by using renewable resources as starting materials such as acids, amino acids, amino alcohols, and sugars which could improve the green character of ILs [38,39,40,41,42]. Catalyses (hydrogenation, heck reactions) have also been performed in such ILs [43,44,45].
The Michael reaction is a conjugated nucleophilic addition between a nucleophile and an α,β-unsaturated electrophile. The nucleophiles are thiols, anions, or amines, and the electrophiles are alkenes, alkynes in α and β position of carbonyls, amides, or nitriles. Recently, Yadav et al. reviewed innovative catalysis in Michael addition reactions, including the use of organocatalysts and heterogeneous processes [46]. Gu et al. in 2019 [47] also described the role of functionalized quaternary ammonium salt ionic liquids (FQAILs) as an economical and efficient catalyst for the synthesis of glycerol carbonate from glycerol and dimethyl carbonate.
In 2003, Salunkhe and coll. studied the use of hydrophobic or hydrophilic ionic liquids ([bmim]PF6, [bmim]BF4, [BuPy]BF4) as solvents in the conjugated addition reaction of dimethyl malonate to chalcone in the presence of a quaternary ammonium salt derived from quinine (Scheme 1) [48]. This last compound used as a chiral phase transfer agent led to moderate ee’s.
Scheme 1.
Enantioselective reactions in chiral ionic liquids [48].
The yields were quantitative and the ee up to 56%. Next, in 2005, Ranu and coll. performed the Michael addition of activated methylene compounds on ketones, esters, and conjugated nitriles in the presence of the ionic liquid [Bmim]OH (Scheme 2). This one was used as a solvent and catalyst for the reaction. The reaction products were obtained with good yields; furthermore, the compound issued from the double addition could also be easily obtained in one step, which was surprising when compared to conventional methods [49].
Scheme 2.
Michael addition of activated methylene compounds in BmimOH [49].
In 2005, Rao and Jothilingam described how microwaves could drastically decrease the reaction time for the Michael addition of active methylene compounds to α,β-unsaturated carbonyl compounds in the presence of a large excess of K2CO3 as a base [50]. The reaction took place on the surface of potassium carbonate under microwave irradiation (450 W) and led to good to high yields (50% to 90%) in short times (5–10 min).
As previously mentioned, we prepared some biobased ionic liquids with natural carboxylates and used these in hydrogenation and Heck couplings [38,39,40,41,42,43,44,45]. Among these ILs, we prepared tetrabutylphosphonium and tetrabutylammonium prolinate or hydroxyprolinate. This paper aims to show how these proline-based ionic liquids could be used as solvents and basic catalysts in a Michael model reaction. Furthermore, this study will be extended to cholinium cation, and we will demonstrate that microwaves could generate greener activation conditions for this reaction in ionic liquids.
2. Results and Discussion
Biosourced ionic liquids were prepared using an acid-base reaction between the tetrabutyl-ammonium or -phosphonium hydroxides (TBAOH and TBPOH, respectively) or cholinium hydroxide ChOH with natural chiral amino acids (S-proline, R-proline, and trans-4-hydroxy-S-proline) (Scheme 3). The synthetic methodology was inspired by Ohno’s work [51] in 2005 and previously reported works for some phosphonium or ammonium derivatives [38,39,40,41,42,43,44,45].
Scheme 3.
Synthesis of chiral ionic liquids.
Nine ionic liquids were prepared easily with high yields and purity (Table 1), and the cholinium-based ionic liquids were synthesized following similar procedures previously used with ammonium or phosphonium-based ionic liquids.
Table 1.
Synthetized ionic liquids.
The decomposition temperature values obtained by TGA confirmed the good thermal stability of all synthesized ionic liquids (Tdec ≥ 198 °C). We noticed that the thermal stability of ionic liquids was more dependent on the nature of the cation, particularly with phosphonium cations, as described in the literature [41]. Indeed, the ionic liquid TBP+ prolinate was the most stable. However, we could remark that the cholinium based ionic liquids were more stable than the ammonium-based ones when prolinate or hydroxyprolinate were present as a counter anion (Figure 1); this observation is probably due to the formation of hydrogen bonds which could explain this slightly higher thermal stability [52].
Figure 1.
Thermal decomposition of ionic liquids 1–3.
The viscosities also show the importance of the anion (Table 1). In fact, with (R)-prolinate or (S)-prolinate as counter-anions, the viscosities at 60 °C are relatively low between 70 and 100 cp. With the same cation, we observed that the viscosity of choline-based ionic liquids was higher, probably due to the OH group present in this cation involved in hydrogen bonds. The same conclusions could be deduced when trans-4-hydroxy-S-prolinate was used as anion following much higher viscosity values due, in this case, to the presence of two OH groups (Table 1).
These ionic liquids have been used as a catalyst and solvent in Michael reaction models involving dimethyl malonate and chalcone as starting materials. Preliminary results were obtained with a slight excess of dimethyl malonate towards the chalcone (1.2 eq.) at 50 °C for 24 h (Table 2). DMF was used as a unique solvent or was associated with ionic liquid in a lower amount to reduce the viscosity of the reacting medium.
Table 2.
Michael reactions under thermic conditions.
The results obtained proved the positive impact of the use of ionic liquids for this Michael reaction while higher conversions of chalcone were observed (Table 2, entries 2–7, 9 and 10 vs. entry 1). Nevertheless, the conversions were not complete, and further experiments were conducted using an excess of dimethylmalonate. Indeed, with 3 or 4 equivalents of dimethylmalonate, the conversions obtained are much higher; furthermore, the reaction time could also be reduced to 4 h (Table 3, entry 4).
Table 3.
Michael addition with an excess of dimethylmalonate (conditions: 1 eq. chalcone, 1.2 eq. (S) prolinate TBP+, 2 mL DMF, 50 °C).
Based on these results, Michael’s reaction was carried out using the various synthesized ILs as solvents (without the addition of DMF) under microwaves activation.
The conditions were adjusted after several experiments; at the beginning, the reactions were carried out with a power of 220 W leading to significant temperature variations depending on the ionic liquid. This aspect was unfavorable to the stability of the reactants or products. In addition, we observed that the presence of water in the ILs could also influence the conversion of the chalcone. Indeed, according to the results obtained in GC, the conversion rate of chalcone was low, and this was probably due to the low solubility of chalcone in water. Therefore, it was important to work with ionic liquids containing as little water as possible. Michael reactions were performed under microwaves during 45 min with a power limited to 100 W, and the ionic liquids were dried under vacuum for 4 h before use.
The reaction conducted under microwaves in DMF with the addition of K2CO3 as a base led to a high conversion of chalcone over 45 min (Table 4, entry 1). Next, the DMF and the base could be substituted by the ionic liquid, which played further roles (Table 4, entries 2–10). Good to very good conversions of chalcone (60 to 85%) were obtained again in 45 min, proving that the microwaves could decrease the activation energy [53,54]. According to the literature concerning the Michael addition [55], we proposed a mechanism that is described in Scheme 4.
Table 4.
Michael’s reaction under microwaves.
Scheme 4.
A plausible mechanism for Michael’s addition in ionic liquids.
The anion plays the role of the base towards the dimethyl malonate, the Michael’s donor, which subsequently reacts with the chalcone (the Michael’s acceptor) to produce a stabilized enolate. The latter will recover the proton and regenerate the anion from the ionic liquid to produce the coupling adduct. The pKa of proline (10.64) and the hydroxyproline (9.65) led to suitable basic media when ionic liquids 1–9 were used. The anions of the ionic liquids played the role of the base. The whole ionic liquids played the crucial role of phase transfer agents as explained by Ceccarelli and et al. in 2006 [56].
Concerning the enantioselectivity of the reaction, all coupling compounds were racemic. The chiral anion of the ionic liquids seemed not to influence the protonation of the enolate species. The presence of residual water in the ILs could also explain the lack of enantioselectivity. The size of our anions was also relatively small contrary to the PCT agents used by Mahajan and al., leading to good enantiomeric excesses in similar Michael’s additions [57].
The final work was to prove the possibility of recycling our ILs in the studied Michael’s addition. One of the advantages of ionic liquids is the possibility to recycle them. We studied this possibility with the (S)-prolinate TBA. We chose this ionic liquid and not the trans-4-hydroxy-S-prolinate TBA, which furnished the best conversions because the yields of the first run were high (90%), and secondly, the price of the counter anion (S-prolinate) was lower than the trans-4-hydroxy-S-prolinate one. The procedure is described in Scheme 5.
Scheme 5.
Recycling procedure for the Michael addition in (S)-prolinate TBA.
The chalcone conversions for the three first cycles were good (81 to 94%). Then, we observed a loss of activity of the reacting medium, probably due to the loss of the anion, which plays a basic role in the Michael’s reaction mechanism and led to the amino acid by protonation. This hypothesis has been confirmed by NMR spectrum of the regenerated IL where a slight modification of its structure has been observed (See Table 5).
Table 5.
Chalcone conversion during 5 runs.
3. Experimental
All reagents were commercially available and used as received. Solvents were dried and distilled under argon before use (CH2Cl2 over CaCl2 and THF over sodium/benzophenone) and stored over molecular sieves. 1H and 13C NMR spectra were recorded on an AC 250 Bruker in CD3OD for 1H and 13C spectra. The infrared spectra were recorded with a Spectrafile IRTM Plus MIDAC. Chromatography was carried out on an SDS Silica 60 (40–63 μm), Art 2050044 (flash-chromatography), or silica 60 F254 (TLC plates).
The GC analyses were recorded on a Hewlett Packard 6890 Series. The conditions used are specified in this Table 6.
Table 6.
The microwaves oven is a monomode CEM DISCOVERS-CLASS.
3.1. Synthesis of Phosphonium Based Ionic Liquids-General Procedure [21d]
In a 100 mL two-neck round-bottom flask, one equivalent of a 40% wt aqueous solution of tetrabutylphosphonium hydroxide TBP+OH− (30 mmol, 21 mL) and 1.2 equivalents of (R), (S)-proline or trans-4-hydroxy-S-proline (36 mmol) previously dissolved in 40 mL distilled water were stirred at 100 °C during 24 h. After cooling, the solvent was evaporated, and the resulting mixture was washed with ethyl acetate (4 × 80 mL) to remove the small excess of amine. Finally, the aqueous phase was evaporated.
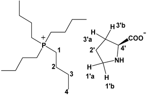
| tetrabutylphosphonium (S)-prolinate | ![]() |
3.1.1. General Procedure with 4.14 S-proline (36 mmol). Yield: 78%
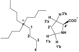
δH (250.1 MHz; D2O) ppm: 0.89 (t, J = 7.3 Hz, 12H, H4); 1.31 (m, 16H, H2 and H3); 1.6 (m, 3H, H2′ and H3′a); 2 (m, 1H, H3′b); 2.48 (m, 8H, H1); 2.7 (m, 1H, H1′a); 2.95 (m, 1H, H1′b); 3.4 (m, 1H, H4′). δC (62.5 MHz; D2O) ppm: 13.4 (C4); 18.4 (C1); 23.6 (C2); 23.9 (C1); 25.5 (C2′); 30.9 (C3′); 46.7 (C1′); 62 (C4′); 177.9 (C = O). IR: ν (cm−1) 1746 (C = O). Analysis: calculated for C21H44NO2P: C 67.52; H 11.87; N 3.75%. Found: C 66.98; H 11.38; N 3.42%.
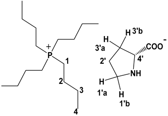
| tetrabutylphosphonium (R)-prolinate | ![]() |
3.1.2. General Procedure with 4.14 g (R)-proline (36 mmol). Yield: 89%
δH (250.1 MHz; D2O) ppm: 0.89 (t, J = 7.3 Hz, 12H, H4); 1.32 (m, 16H, H2 and H3); 1.6 (m, 3H, H2′ and H3′a); 2 (m, 1H, H3′b); 2.48 (m, 8H, H1); 2.7 (m, 1H, H1′a); 2.95 (m, 1H, H1′b); 3.4 (m, 1H, H4′). δC (62.5 MHz; D2O) ppm: 13.4 (C4); 18.4 (C1); 23.6 (C2); 23.9 (C1); 25.5 (C2′); 30.9 (C3′); 46.7 (C1′); 62 (C4′); 177.9 (C=O). IR: ν (cm−1) 1746 (C = O). Analysis: calculated for C21H44NO2P: C 67.52; H 11.87; N 3.75%. Found: C 67.0; H 11.48; N 3.52%.
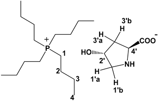
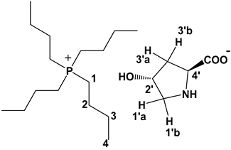
| tetrabutylphosphonium trans-4-hydroxy-(S)-prolinate | ![]() |
3.1.3. General Procedure with 4.72 g Trans-4-hydroxy-(S)-prolinate (36 mmol). Yield: 93%
δH (250.1 MHz; D2O) ppm: 0.89 (t, J = 7.3 Hz, 12H, H4); 1.31 ppm (m, 16H, H2 and H3); 1.50 (m, 1H, H3′b); 1.71 (m, 1H, H3′a); 2.4 (m, 1H, H1′a); 2.92 (dd, J = 12.3; 5.1 Hz, H1′b); 3.21 (m, 8H, H1); 3.41 (m, 1H, H2′); 4.00 (m, 1H, H4′). δC (62.5 MHz; D2O) ppm: 13.4 (C4); 19.5 (C3); 24.4 (C2); 41.3 (C3′); 55.4 (C1′); 58.7 (C1); 61.9 (C4′); 72.2 (C2′); 177.7 (C=O). IR: ν (cm−1) 1746 (C = O). Analysis: calculated for: C21H44NO3P: C 64.75; H 11.38; N 3.60%. Found: C 64.39; H 10.98; N 3.32%.
3.2. Synthesis of Ammonium Based Ionic Liquids-General Procedure [21c,e]
In a 100 mL two-neck round-bottom flask, one equivalent of a 40% wt aqueous solution of tetrabutylammonium hydroxide TBA+OH− (30 mmol, 19.6 mL) and 1.2 equivalents of (R), (S)-proline or trans-4-hydroxy-S-proline (36 mmol) previously dissolved in 40 mL distilled water were stirred at 100 °C during 24 h. After cooling, the solvent was evaporated, and the resulting mixture was washed with ethyl acetate (4 × 80 mL) to remove the small excess of amine. Finally, the aqueous phase was evaporated.
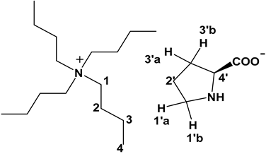
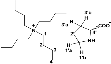
| Tetrabutylammonium (S)-prolinate | ![]() |
3.2.1. General Procedure with 4.14 S-proline (36 mmol). Yield: 85%
δH (250.1 MHz; D2O) ppm: 0.89 (t, J = 7.3 Hz, 12H, H4); 1.32 (m, 8H, H3); 1.55 (m, 8H, H2); 1.60 (m, 3H, H2′ and H3′b); 2.00 (m, 1H, H3′a); 2.70 (m, 1H, H1′a); 2.9 (m, 9H, H1 and H1′b); 3.40 (m, 1H, H4′). δC (62.5 MHz; D2O) ppm: 14.1 (C4); 20.6 (C3); 24.7 (C2); 26.7 (C2′); 32.2 (C3′); 47.6 (C1′); 59.4 (C1); 63.04 (C4′); 180.9 (C=O). IR: ν (cm−1) 1743 (C = O). Analysis: calculated for: C21H44N2O2: C 70.73; H 12.44; N 7.86%. Found: C 70.29; H 11.98; N 7.37%.
| Tetrabutylammonium (R)-prolinate | ![]() |
3.2.2. General Procedure with 4.14 R-proline (36 mmol). Yield: 78%
δH (250.1 MHz; D2O) ppm: 0.89 (t, J = 7.3 Hz, 12H, H4); 1.32 (m, 8H, H3); 1.55 (m, 8H, H2); 1.60 (m, 3H, H2′ and H3′b); 2.00 (m, 1H, H3′a); 2.70 (m, 1H, H1′a); 2.9 (m, 9H, H1 and H1′b); 3.40 (m, 1H, H4′).
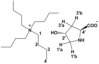
| tetrabutylammonium trans-4-hydroxy-(S)-prolinate | ![]() |
3.2.3. General Procedure with 4.72 Trans-4-hydroxy-(S)-prolinate (36 mmol). Yield: 85%
δH (250.1 MHz; D2O) ppm: 0.89 (t, J = 7.3 Hz, 12H, H4); 1.31 ppm (m, 16H, H2 and H3); 1.5 (m, 1H, H3′b); 1.7 (m, 1H, H3′a); 2.4 (m, 1H, H1′a); 2.9 (dd, J = 12.2; 5.1 Hz, H1′b); 3.20 (m, 8H, H1); 3.41 (m, 1H, H2′); 4.00 (m, 1H, H4′). δC (62.5 MHz; D2O) ppm: 13.5 (C4); 19.9 (C3); 24.0 (C2); 41.3 (C3′); 55.4 (C1′); 58.7 (C1); 61.9 (C4′); 72.2 (C2′); 177.7 (C=O). IR: ν (cm−1) 1741 (C = O). Analysis: calculated for: C21H44N2O3: C 67.70; H 11.90; N 7.52%. Found: C 67.31; H 11.48; N 7.23%.
3.3. Synthesis of Cholinium Based Ionic Liquid
In a 100 mL Bicol, a mixture of 46% wt aqueous solution of cholinium hydroxide (1 eq. 30 mmol, 7.37 mL) and proline (1.2 eq., 36 mmol, 14 g) previously dissolved in 40 mL distilled water was stirred under reflux for 24 h at 100 °C. After cooling, the mixture was evaporated, washed (4 × 80 mL) with ethyl acetate, and finally, the aqueous phase was evaporated.
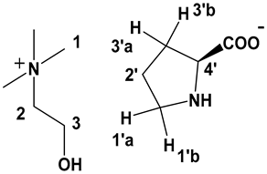
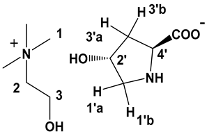
| cholinium-(S)-prolinate Yield: 93% Decomposition temperature: 230 °C | ![]() |
δH (250.1 MHz; D2O) ppm: 1.60 (m, 3H, H2′ and H3′a); 2.00 (m, 1H, H3′b); 2.70 (m, 1H, H1′a); 2.80 (m, 1H, H1′b); 3.11 (s, 9H, H1); 3.30 (t, 2H, H2); 3.45 (t, 1H, H4′); 3.80 (t, 2H, H3). δC (62.5 MHz; D2O) ppm: (62.5 MHz; D2O): 22.8 (C2′); 32.3 (C3′); 46.5 (C1′); 55.7 (C1); 64.2 (C3); 67.5 (C4′); 70.2 (C2); 180.4 (C=O). IR: ν (cm−1) 1741 (C = O). Analysis: calculated for: C10H22N2O3: C 55.02; H 10.16; N 12.83%. Found: C 54.78; H 9.78; N 12.47%.
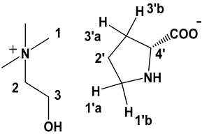
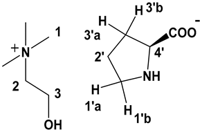
| cholinium-(R)-prolinate Yield: 74% Decomposition temperature: 230 °C | ![]() |
δH (250.1 MHz; D2O) ppm: 1, 60 (m, 3H, H2′and H3′b); 2.00 (m, 1H, H3′b); 2, 70 ppm (m, 1H, H1′a); 2.80 (m, 1H, H1′b); 3.10 (s, 9H, H1); 3.30 (t, 2H, H2); 3.45 (s, 1H, H4′); 3.80 ppm (t, 2H, H3). δC (62.5 MHz; D2O) ppm: 22.6 (C2′); 32.3 (C3′); 46.7 (C1′); 55.4 (C1); 64.9 (C3); 67.3 (C4′); 70.7 (C2); 180.3 (C=O). Analysis: calculated for: C10H22N2O3: C 55.02; H 10.16; N 12.83%. Found: C 54.89; H 9.78; N 12.36%.
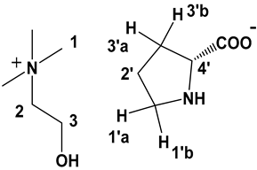
| cholinium-trans-4-hydroxy-(S)-prolinate Yield: 82% Decomposition temperature:222 °C | ![]() |
δH (250.1 MHz; D2O) ppm: 1.50 (m, 1H, H3′b); 1.70 (m, 1H, H3′b); 2,40 ppm (m, 1H, H1′a); 2.90 (dd, J = 12.2 Hz, 5.1 Hz,1H, H1′b); 3.10 (s, 9H, H1); 3.40 (m, 3H, H2′); 3.45 (s, 2H, H3); 3.80 ppm (t, J = 3.43 Hz, 2H, H2), 4 (m, 1H, H4′). δC (62.5 MHz; D2O) ppm: 41.3 (C3′); 54.6(C1′); 55.4 (C1); 61.9 (C4′); 64.9 (C3); 70.2 (C2); 72.2 (C2′); 177.7 (C=O). IR: ν (cm−1) 1738 (C = O). Analysis: calculated for: C10H22N2O4: C 51.26; H 9.46; N 11.96%. Found: C 51.49; H 9.58; N 11.66%.
3.4. Michael Addition Procedures
3.4.1. General Procedure without Ionic Liquids
In a Schlenk tube, the chalcone (1 eq., 2 mmol, 0.42 g), the dimethyl malonate (1.2 eq or 4 eq.) and K2CO3 (1.2 eq.) were mixed in DMF (10 mL). The reaction mixture was stirred for 24 h at 50 °C. The reaction was stopped by adding 15 mL of ice water with the formation of a white precipitate that corresponds to the coupling product. This precipitate was dissolved in diethyl ether. Extractions with diethyl ether were carried out (3 × 60 mL). The organic phases were then dried over sodium sulfate and then evaporated. The resulting compound was purified by chromatography (silica and eluent: Petroleum ether/Ethyl acetate (7/3)).
3.4.2. General Procedure in Ionic Liquids
In a Schlenk tube, 1.2 eq. of ionic liquid (2.4 mmol) was introduced and placed under vacuum for 10 min. Then at atmospheric pressure, 1 eq. of chalcone (2 mmol, 0.42 g) and an excess of dimethyl malonate (4 eq.) were dissolved in DMF (2 mL) in order to fluidify the mixture. The reaction mixture was stirred for 24 h at 50 °C and in the presence of argon. The reaction was stopped by adding 15 mL of ice water. We observed the formation of a white precipitate that corresponded to our product. The latter was dissolved by adding diethyl ether. Extractions with diethyl ether were carried out (3 × 60 mL). The organic phases were then dried over sodium sulfate and then evaporated. The resulting compound was purified by chromatography (silica and eluent: Petroleum ether / Ethyl acetate (7/3)). Finally, the aqueous phase was also evaporated to recover the ionic liquid.
| 2-(3-oxo-1,3-diphenylpropyl) dimethylmalonate [58] C20H20O5 White Powder | ![]() |
δH (500 MHz; CDCl3) ppm: 3.50 (m, 4H, H1b and OMe); 3.55 (dd, 1H, H1a); 3.75 (s, 3H, OMe); 3.85 (d, 1H, H3); 4.25 (m, 1H, H2); 7.15 (m, 1H, Harom); 7.25 (m, 4H, Harom); 7.43 (t, 2H, Harom); 7.50 (m, 1H, Harom); 7.85 (m, 2H, Harom). IR: ν (cm−1) 1735 (C = OEster), 1715 (C = OKetone).
3.4.3. General Procedure in Ionic Liquids under Microwaves
In a balloon, 1.2 eq. of ionic liquid (2.4 mmol) was introduced and placed under vacuum for 10 min. 1 eq. of chalcone (2 mmol, 0.42 g) and an excess of dimethyl malonate (4 eq.) was added, and the mixture was stirred for 45 min under 100 W. The extraction of the Michael’s adduct and the recycling of the ILs was as previously described for the reaction under thermic conditions.
4. Conclusions
Nine proline-based ionic liquids were synthesized in water with high yields and at the best sustainable chemistry processes. Michael reactions were performed using these synthesized ionic liquids as both solvent and base with improved yields by increasing the amount of dimethylmalonate. Furthermore, the use of microwaves activation reduced the reaction time drastically. Therefore, the combined use of recyclable biosourced ionic liquids and microwaves represents an alternative to achieve greener synthesis processes than commonly used methods. Eco- and cyto-toxicological analyses are in progress to support the use of such biosourced ionic solvents, and the Michael addition will be tested with more sterically enhanced compounds in order to induce good ee values.
Author Contributions
K.B. and K.A. have realized the experimental work (synthesis and analysis). J.-P.M. and S.B. have supervised this work and J.-P.M. realized also some preliminary and crucial works on the synthesis of ILs. All authors have read and agreed to the published version of the manuscript.
Funding
This research was funded by Région Champagne Ardenne Excellence Framework [Amisolver program]. The APC was funded by the ICMR.
Acknowledgments
This work was supported by the Amisolver program (Excellence Framework). We are grateful to the Public Authorities of Champagne-Ardenne and FEDER for material funds and post-doctoral fellowships to J.-P.M and to S. Hayouni and M. Mention for preliminary studies.
Conflicts of Interest
The authors declare no conflict of interest.
References
- Prat, D.; Hayler, J.; Wells, A. A survey of solvent selection guides. Green Chem. 2014, 16, 4546–4551. [Google Scholar] [CrossRef]
- Welton, T. Solvents and sustainable chemistry. Proc. Math. Phys. Eng. Sci. 2015, 471, 20150502. [Google Scholar] [CrossRef] [PubMed]
- Li, C.-J.; Chan, T.-K. Organic Reactions in Aqueous Media; Wiley: New York, NY, USA, 1997. [Google Scholar]
- Lindström, U.M. (Ed.) Organic Reactions in Water: Principles, Strategies and Applications; Blackwell: Oxford, UK, 2007. [Google Scholar]
- Li, C.-J. (Ed.) Handbook of Green Chemistry, Green Solvents, Vol. 5, Reactions in Water; Wiley-VCH: Weinheim, Germany, 2010. [Google Scholar]
- Akiya, N.; Savage, P.E. Roles of water for chemical reactions in high-temperature water. Chem. Rev. 2002, 102, 2725–2750. [Google Scholar] [CrossRef]
- Simon, M.-O.; Lee, C.-J. Green chemistry oriented organic synthesis in water. Chem. Soc. Rev. 2002, 41, 1415–1427. [Google Scholar] [CrossRef] [PubMed]
- Hailes, H.C. Reaction solvent selection: The potential of water as a solvent for organic transformations. Org. Process Res. Dev. 2007, 11, 114–120. [Google Scholar] [CrossRef]
- Dallinger, D.; Kappe, C.O. Microwave-assisted synthesis in water as solvent. Chem. Rev. 2007, 107, 2563–2591. [Google Scholar] [CrossRef]
- Hyatt, J.A. Liquid and supercritical carbon dioxide as organic solvents. J. Org. Chem. 1984, 49, 5097–5101. [Google Scholar] [CrossRef]
- Jessop, P.G.; Leitner, W. (Eds.) Chemical Synthesis Using Supercritical Fluids; Wiley: New York, NY, USA, 1999. [Google Scholar]
- Leitner, W.; Jessop, P.G. (Eds.) Handbook of Green Chemistry, Green Solvents, Vol. 4, Supercritical Solvents; Wiley-VCH: Weinheim, Germany, 2010. [Google Scholar]
- Beckman, E.J. Supercritical and near-critical CO2 in green chemical synthesis and processing. J. Supercrit. Fluids 2004, 28, 121–191. [Google Scholar] [CrossRef]
- Rayner, C.M. The potential of carbon dioxide in synthetic organic chemistry. Org. Process Res. Dev. 2007, 11, 121–132. [Google Scholar] [CrossRef]
- Wasserscheid, P.; Welton, T. (Eds.) Ionic Liquids in Synthesis, 2nd ed.; Wiley-VCH: Weinheim, Germany, 2008. [Google Scholar]
- Wasserscheid, P.; Stark, A. (Eds.) Handbook of Green Chemistry, Green Solvents, Vol. 6, Ionic Liquids; Wiley-VCH: Weinheim, Germany, 2010. [Google Scholar]
- Welton, T. Room-temperature ionic liquids. Solvents for synthesis and catalysis. Chem. Rev. 1999, 99, 2071–2084. [Google Scholar] [CrossRef]
- Parvulescu, V.I.; Hardacre, C. Catalysis in ionic liquids. Chem. Rev. 2007, 107, 2615–2665. [Google Scholar] [CrossRef] [PubMed]
- Plechkova, N.V.; Seddon, K.R. Applications of ionic liquids in the chemical industry. Chem. Soc. Rev. 2008, 37, 123–150. [Google Scholar] [CrossRef] [PubMed]
- Olivier-Bourbigou, H.; Magna, L.; Morvan, D. Ionic liquids and catalysis: Recent progress from knowledge to applications. Appl. Catal. A 2010, 373, 1–56. [Google Scholar] [CrossRef]
- Hallett, J.P.; Welton, T. Room-temperature ionic liquids: Solvents for synthesis and catalysis. Chem. Rev. 2011, 111, 3508–3576. [Google Scholar] [CrossRef]
- Marsh, K.N.; Boxall, J.A.; Lichtenthaler, R. Room temperature ionic liquids and their mixtures—A review. Fluid Phase Equilib. 2004, 219, 93–98. [Google Scholar] [CrossRef]
- Coleman, D.; Gathergood, N. Biodegradation studies of ionic liquids. Chem. Soc. Rev. 2010, 39, 600–637. [Google Scholar] [CrossRef]
- Available online: https://tel.archives-ouvertes.fr/tel-01683248 (accessed on 3 January 2018).
- Verwey, E.J.W.; Overbeek, J.T.G. Theory of the Stability of Lyophobic Colloids. J. Phys. Chem. 1947, 51, 631–636. [Google Scholar] [CrossRef]
- Handy, S.T. Greener Solvents: Room Temperature Ionic Liquids from Biorenewable Sources. Chem. Eur. J. 2003, 9, 2938–2944. [Google Scholar] [CrossRef]
- Webb, P.B.; Sellin, M.F.; Kunene, T.E.; Williamson, S.; Slawin, A.M.Z.; Cole-Hamilton, D.J.J. Continuous Flow Hydroformylation of Alkenes in Supercritical Fluid−Ionic Liquid Biphasic Systems. J. Am. Chem. Soc. 2003, 125, 15577–15588. [Google Scholar] [CrossRef]
- Baker, S.N.; Baker, G.A.; Bright, F.V. Temperature-dependent microscopic solvent properties of ‘dry’ and ‘wet’ 1-butyl-3-methylimidazolium hexafluorophosphate: Correlation with ET(30) and Kamlet–Taft polarity scales. Green Chem. 2002, 4, 165–169. [Google Scholar] [CrossRef]
- Rantwijk, F.V.; Sheldon, R.A. Biocatalysis in Ionic Liquids. Chem. Rev. 2007, 107, 2757–2785. [Google Scholar] [CrossRef] [PubMed]
- Lafuente, L.; Diaz, G.; Bravo, R.; Ponzinibbio, A. Efficient and Selective N-, S- and O-Acetylation in TEAA Ionic Liquid as Green Solvent. Applications in Synthetic Carbohydrate Chemistry. Lett. Org. Chem. 2016, 13, 195–200. [Google Scholar] [CrossRef]
- Hajipour, A.R.; Rafiee, F. Recent Progress in Ionic Liquids and their Applications in Organic Synthesis. Org. Prep. Proced. Int. 2015, 47, 249–308. [Google Scholar] [CrossRef]
- Plaquevent, J.C.; Genisson, Y.; Frédéric, F. Constantes Physico-Chimiques. Tech. l’Ing. 2008, 51, K1230/1–K1230/17. [Google Scholar]
- Wei, D.; Ivaska, A. Applications of ionic liquids in electrochemical sensors. Anal. Chim. Acta 2008, 607, 126–135. [Google Scholar] [CrossRef]
- Karimi, M.; Dadfarnia, S.; Mohammad Haji Shabani, A.; Tamaddon, F.; Azadi, D. Deep eutectic liquid organic salt as a new solvent for liquid-phase microextraction and its application in ligand less extraction and preconcentration of lead and cadmium in edible oils. Talanta 2015, 144, 648–654. [Google Scholar] [CrossRef]
- Makanyire, T.; Sanchez-Segado, S.; Jha, A. Separation and recovery of critical metal ions using ionic liquids. Adv. Manuf. 2016, 4, 33–46. [Google Scholar] [CrossRef]
- Kuzmina, O.; Bordes, E.; Schmauck, J.; Hunt, P.A.; Hallett, J.P.; Welton, T. Solubility of alkali metal halides in the ionic liquid [C4C1im][OTf]. Phys. Chem. Chem. Phys. 2016, 18, 16161–16168. [Google Scholar] [CrossRef]
- Song, C.E. Enantioselective chemo- and bio-catalysis in ionic liquids. Chem. Commun. 2004, 1033–1043. [Google Scholar] [CrossRef]
- Hayouni, S.; Ferlin, N.; Bouquillon, S. Hydrogenation Catalysis in Biobased Ionic Liquids, “New Advances in Hydrogenation Processes—Fundamentals and Applications”; Ravanchi, M.T., Ed.; Intech Open Science: London, UK, 2017; p. 15. [Google Scholar] [CrossRef]
- Ghavre, M.; Morrissey, S.; Gathergood, N. Hydrogenation in Ionic Liquids, “Ionic Liquids: Applications and Perspectives”; Kokorin, A., Ed.; Intech Open Science: London, UK, 2011; p. 15. [Google Scholar] [CrossRef]
- Ferlin, N.; Courty, M.; Gatard, S.; Spulak, M.; Quilty, B.; Beadham, I.; Ghavre, M.; Haiß, A.; Kümmerer, K.; Gathergood, N.; et al. Biomass derived ionic liquids: Synthesis from natural organic acids, characterization, toxicity, biodegradation and use as solvents for catalytic hydrogenation processes. Tetrahedron 2013, 69, 6150–6161. [Google Scholar] [CrossRef]
- Hayouni, S.; Robert, A.; Ferlin, N.; Amri, H.; Bouquillon, S. New biobased tetrabutylphosphonium ionic liquids: Synthesis, characterization and use as a solvent or co-solvent for mild and greener Pd-catalyzed hydrogenation processes. RSC Adv. 2016, 6, 113583–113595. [Google Scholar] [CrossRef]
- Ferlin, N.; Courty, M.; Nguyen Van Nhien, A.; Gatard, S.; Pour, M.; Quilty, B.; Ghavre, M.; Haiß, A.; Kümmerer, K.; Gathergood, N.; et al. Tetrabutylammonium prolinate-based ionic liquids: A combined asymmetric catalysis, antimicrobial toxicity and biodegradation assessment. RSC Adv. 2013, 3, 26241–26251. [Google Scholar] [CrossRef]
- Chiappe, C.; Cinzia, C.; Marra, A.; Mele, A. Synthesis and Applications of Ionic Liquids Derived from Natural Sugars. Top. Curr. Chem. 2010, 295, 177–195. [Google Scholar] [PubMed]
- Handy, S.T.; Okello, M.; Dickenson, G. Solvents from Biorenewable Sources: Ionic Liquids Based on Fructose. Org. Lett. 2003, 5, 2513–2515. [Google Scholar] [CrossRef]
- Hayouni, S.; Ferlin, N.; Bouquillon, S. High catalytic and recyclable systems for heck reactions in biosourced ionic liquids. Mol. Catal. 2017, 437, 121–129. [Google Scholar] [CrossRef]
- Malkar, R.S.; Jadhav, A.L.; Yadav, G.D. Innovative catalysis in Michael addition reactions for C-X bond formation. Mol. Catal. 2020, 485, 110814. [Google Scholar] [CrossRef]
- Elhaj, E.; Wang, H.; Gu, Y. Functionalized quaternary ammonium salt ionic liquids (FQAILs) as an economic and efficient catalyst for synthesis of glycerol carbonate from glycerol and dimethyl carbonate. Mol. Catal. 2019, 468, 19–28. [Google Scholar] [CrossRef]
- Dere, R.T.; Pal, R.R.; Patil, P.S.; Salunkhe, M.M. Influence of ionic liquids on the phase transfer-catalyzed enantioselective Michael reaction. Tetrahedron Lett. 2003, 44, 5351–5353. [Google Scholar] [CrossRef]
- Ranu, B.C.; Banerjee, S. Ionic Liquid as Catalyst and Reaction Medium. The Dramatic Influence of a Task-Specific Ionic Liquid, [bmIm]OH, in Michael Addition of Active Methylene Compounds to Conjugated Ketones, Carboxylic Esters, and Nitriles. Org. Lett. 2005, 7, 3049–3052. [Google Scholar] [CrossRef] [PubMed]
- Surya Prakash Rao, H.; Jothilingam, S. Solvent-free microwave-mediated Michael addition reactions. J. Chem. Sci. 2005, 117, 323–328. [Google Scholar]
- Fukumoto, K.; Yoshizawa, M.; Ohno, H. Room Temperature Ionic Liquids from 20 Natural Amino Acids. J. Am. Chem. Soc. 2005, 127, 2398–2399. [Google Scholar] [CrossRef] [PubMed]
- Villanueva, M.; Coronas, A.; García, J.; Salgado, J. Thermal Stability of Ionic Liquids for Their Application as New Absorbents. Ind. Eng. Chem. Res. 2013, 52, 15718–15727. [Google Scholar] [CrossRef]
- Perreux, L.; Loupy, A. A tentative rationalization of microwave effects in organic synthesis according to the reaction medium, and mechanistic considerations. Tetrahedron 2001, 57, 9199–9223. [Google Scholar] [CrossRef]
- Loupy, A. Microwaves in Organic Synthesis; Wiley-VCH: Weinheim, Germany, 2002. [Google Scholar]
- Tsogoeva, S.B. Recent Advances in Asymmetric Organocatalytic 1,4-Conjugate Additions. Eur. J. Org. Chem. 2007, 11, 1701–1716. [Google Scholar] [CrossRef]
- Ceccarelli, R.; Insogna, S.; Bella, M. Organocatalytic regioselective Michael additions of cyclic enones via asymmetric phase transfer catalysis. Org. Biomol. Chem. 2006, 4, 4281–4284. [Google Scholar] [CrossRef]
- Mahajan, D.P.; Godbole, H.M.; Singh, G.P.; Shenoy, G.G. Enantioselective Michael addition of malonic esters to benzalacetophenone by using chiral phase transfer catalysts derived from proline-mandelic acid/tartaric acid. J. Chem. Sci. 2019, 131, 1642–1645. [Google Scholar] [CrossRef]
- Dongdong, C.; Guosheng, F.; Jiaxing, Z.; Hongyu, W.; Changwu, Z.; Gang, Z. Enantioselective Michael Addition of Malonates to Chalcone Derivatives Catalyzed by Dipeptide-derived Multifunctional Phosphonium Salts. J. Org. Chem. 2016, 81, 9973–9982. [Google Scholar]
© 2020 by the authors. Licensee MDPI, Basel, Switzerland. This article is an open access article distributed under the terms and conditions of the Creative Commons Attribution (CC BY) license (http://creativecommons.org/licenses/by/4.0/).
























