Hydrocracking of Light Diesel Oil over Catalysts with Industrially Modified Y Zeolites
Abstract
1. Introduction
2. Results and Discussion
2.1. Properties of the Industrial Y Zeolites
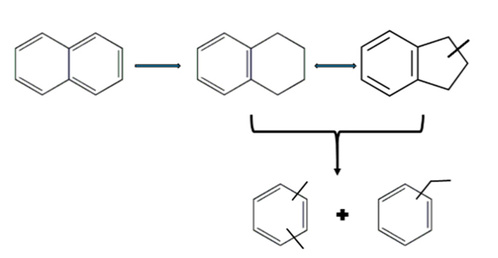
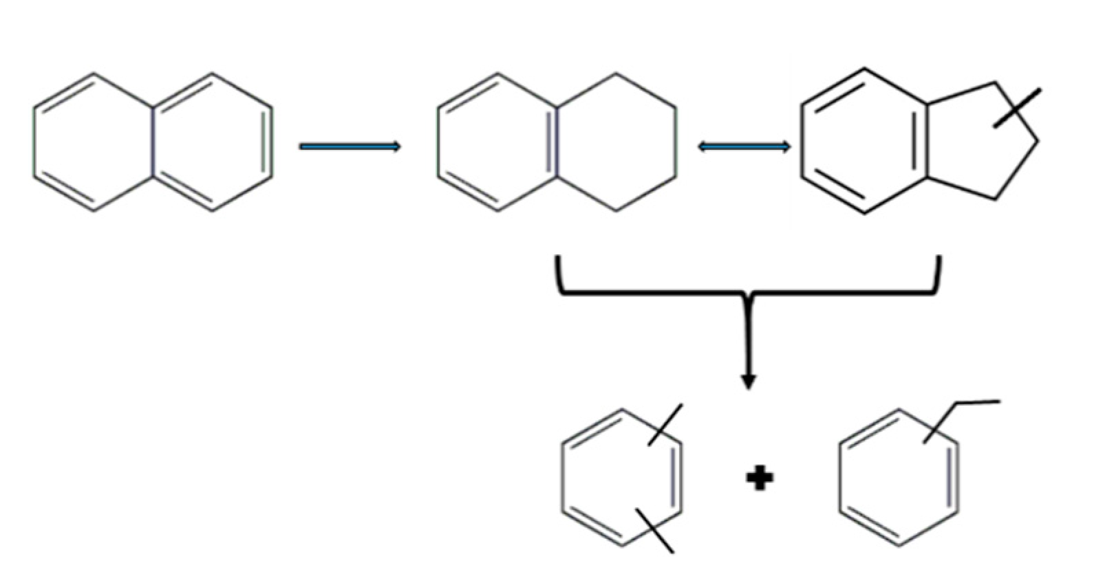
2.2. Hydrocracking Properties
3. Materials and Methods
3.1. Preparation of Hydrocracking Catalysts
3.2. Characterization Methods
3.3. Catalyst Evaluation
4. Conclusions
Supplementary Materials
Author Contributions
Funding
Acknowledgments
Conflicts of Interest
References
- Manrique, C.; Guzman, A.; Pérez, P.J.; Márquez, A.C.; Echavarría, A. Effect of synthesis conditions on zeolite Beta properties and its performance in vacuum gas oil hydrocracking activity. Microporous Mesoporous Mater. 2016, 234, 347–360. [Google Scholar] [CrossRef]
- Hassan, A.; Ahmed, S.; Ali, M.A.; Hamid, H.; Inui, T. A comparison between β- and USY-zeolite-based hydrocracking catalysts. Appl. Catal. A. 2001, 220, 59–68. [Google Scholar] [CrossRef]
- Gutiérrez, A.; Arandes, J.M.; Castaño, P.; Olazar, M.; Barona, A.; Bilbao, J. Effect of space velocity on the hydrocracking of Light Cycle Oil over a Pt-Pd/HY zeolite catalyst. Fuel Process. Technol. 2012, 95, 8–15. [Google Scholar]
- Ding, L.; Zheng, Y.; Zhang, Z.; Ring, Z.; Chen, J. HDS, HDN, HAD, and hydrocracking of model compounds over Mo-Ni catalysts with various acidities. Appl. Catal. A 2007, 319, 25–37. [Google Scholar] [CrossRef]
- Ishihara, A.; Itoh, T.; Nasu, H.; Hashimoto, T.; Doi, T. Hydrocracking of 1-methylnphthalene/decahydronaphthalene mixture catalyzed by zeolite-alumina composite supported NiMo catalysts. Fuel Process. Technol. 2013, 116, 222–227. [Google Scholar] [CrossRef]
- Seo, M.; Lee, D.; Lee, K.Y.; Moon, D.J. Pt/Al-SBA-15 catalysts for hydrocracking of C21-C34 n-paraffin mixture into gasline and diesel fractions. Fuel 2015, 143, 63–71. [Google Scholar] [CrossRef]
- Tailleur, R.G.; Nascar, J.R. The effect of aromatics on paraffin mild hydrocracking reactions (WNiPd/CeY-Al2O3). Fuel Process. Technol. 2008, 89, 808–818. [Google Scholar] [CrossRef]
- Alsobaai, A.M.; Zakaria, R.; Hameed, B.H. Characterization and hydrocracking of gas oil sulfide NiW/MCM-48 catalysts. Chem. Eng. J. 2007, 132, 173–181. [Google Scholar] [CrossRef]
- Sato, K.; Nishimura, Y.; Honna, K.; Matsubayashi, N.; Shimada, H. Role of HY zeolite mesopores in hydrocracking of heavy oils. J. Catal. 2001, 200, 288–297. [Google Scholar] [CrossRef]
- Zhao, Q.; Qin, B.; Zheng, J.; Du, Y.; Sun, W.; Ling, F.; Zhang, X.; Li, R. Core-shell structured zeolite-zeolite composites comprising Y zeolite cores and nano-β zeolite shells: Synthesis and application in hydrocracking of VGO oil. Chem. Eng. J. 2014, 257, 262–272. [Google Scholar] [CrossRef]
- Al-Khattaf, S.; Tukur, N.M.; Al-Amer, A.; Al-Mubaiyeth, U.A. Catalytic transformation of C7–C9 methyl benzenes over USY-based FCC zeolite catalyst. Appl. Catal. A 2006, 305, 21–31. [Google Scholar] [CrossRef]
- Ishihara, A.; Fukui, N.; Nasu, H.; Hashimoto, T. Hydrocracking of soybean oil using zeolite-alumina composite supported NiMo catalysts. Fuel 2014, 134, 611–617. [Google Scholar] [CrossRef]
- Aelst, J.V.; Haouas, M.; Gobechiya, E.; Houthoofd, K.; Philippaerts, A.; Sree, S.P.; Kirschhock, C.E.A.; Jacobs, P.; Martens, J.A.; Sels, B.F.; et al. Hierarchization of USY zeolite by NH4OH. A postsynthetic process investigated by NMR and XRD. J. Phys. Chem. C 2014, 118, 22573–22582. [Google Scholar] [CrossRef]
- Doyle, A.M.; Albayati, T.M.; Abbas, A.S.; Alismaeel, Z.T. Biodiesel production by esterification of oleic acid over zeolite Y prepared from kaolin. Renew. Energy 2016, 97, 19–23. [Google Scholar] [CrossRef]
- Zhao, J.; Wang, G.; Qin, L.; Li, H.; Chen, Y.; Liu, B. Synthesis and catalytic cracking performance of mesoporous zeolite Y. Catal. Commun. 2016, 73, 98–102. [Google Scholar] [CrossRef]
- Hosseinpour, N.; Mortazavi, Y.; Bazyari, A.; Khodadadi, A.A. Synergetic effects of Y-zeolite and amorphous silica-alumina as main FCC catalyst components on trisopropylbenzene cracking and coke formation. Fuel Process. Technol. 2009, 90, 171–179. [Google Scholar] [CrossRef]
- Li, W.; Zheng, J.; Luo, Y.; Da, Z. Effect of hierarchical porosity and phosphorus modification on the catalytic properties of zeolite Y. J. Appl. Surf. Sci. 2016, 382, 302–308. [Google Scholar] [CrossRef]
- Martínez, J.G.; Johnson, M.; Valla, J.; Li, K.; Ying, J.Y. Mesostructured zeolite Y-high hydrothermal stability and superior FCC catalytic performance. Catal. Sci. Technol. 2012, 2, 987–994. [Google Scholar] [CrossRef]
- Agudelo, J.L.; Mezari, B.; Hensen, E.M.; Giraldo, S.A.; Hoyos, L.J. On the effect of EDTA treatment on the acidic properties of USY zeolite and its performance in vacuum gas oil hydrocracking. Appl. Catal. A 2014, 488, 219–230. [Google Scholar] [CrossRef]
- Sachse, A.; Wuttke, C.; Díaz, U.; Souza, M.O. Mesoporous Y zeolite through ionic liquid based surfactant templating. Microporous Mesoporous Mater. 2015, 217, 81–86. [Google Scholar] [CrossRef]
- Zhao, Y.; Liu, Z.; Li, W.; Zhao, Y.; Pan, H.; Liu, Y.; Li, M.; Kong, L.; He, M. Synthesis, characterization, and catalytic performance of high-silica Y zeolites with different crystallite size. Microporous Mesoporous Mater. 2013, 167, 102–108. [Google Scholar] [CrossRef]
- Chang, X.W.; He, L.F.; Liang, H.N.; Liu, X.; Yan, Z. Screening of optimum condition for combined modification of ultra-stable Y zeolites using multi-hydroxyl carboxylic acid and phosphate. Catal. Today 2010, 158, 198–204. [Google Scholar] [CrossRef]
- García, J.R.; Bertero, M.; Falco, M.; Sedran, U. Catalytic cracking of bio-oils improved by the formation of mesopores by means of Y zeolite desilication. Appl. Catal. A 2015, 503, 1–8. [Google Scholar] [CrossRef]
- Agudelo, J.L.; Hensen, E.J.M.; Giraldo, S.A.; Hoyos, L.J. Influence of steam-calcination and acid leaching treatment on the VGO hydrocracking performance of faujasite zeolite. Fuel Process. Technol. 2015, 133, 89–96. [Google Scholar] [CrossRef]
- Yan, Z.; Ma, D.; Zhuang, J.; Liu, X.; Liu, X.; Han, X.; Bao, X.; Chang, F.; Xu, L.; Liu, Z. On the acid-dealumination of USY zeolite: A solid state NMR investigation. J. Mol. Catal. A: Chem. 2003, 194, 153–167. [Google Scholar] [CrossRef]
- Zhang, P.; Wang, X.; Guo, X.; Guo, H.; Zhao, L.; Hu, Y. Characterization of modified nanoscale ZSM-5 zeolite and its application in the olefins reduction in FCC gasoline. Top. Catal. 2004, 92, 63–68. [Google Scholar]
- Kazakov, M.O.; Nadeina, K.A.; Danilova, I.G.; Dik, P.P.; Klimov, O.V.; Pereyma, V.Y.; Paukshtis, E.A.; Golubev, I.S.; Prosvirin, I.P.; Gerasimov, E.Y.; et al. Inflfluence of USY zeolite recrystallization on physicochemical properties and catalytic performance of NiMo/USY-Al2O3 hydrocracking catalysts. Catal. Today 2019, 329, 108–115. [Google Scholar] [CrossRef]
- Bukhtiyarova, M.V.; Toktarev, A.V.; Kazakov, M.O.; Kodenev, E.G.; Pereyma, V.Y.; Gabrienko, A.A.; Bukhtiyarov, A.V.; Echevsky, G.V. Effect of sulfosalicylic acid treatment on the properties of Beta zeolite and performance of NiW/Beta-based catalysts in hexadecane hydrocracking. Appl. Catal. A 2020, 598, 117573. [Google Scholar] [CrossRef]
- Benazzi, E.; Leite, L.; Marchal-George, N.; Toulhoat, H.; Raybaud, P. New insights into parameters controlling the selectivity in hydrocracking reactions. J. Catal. 2003, 217, 376–387. [Google Scholar] [CrossRef]
- Kazakov, M.O.; Nadeina, K.A.; Danilova, I.G.; Dik, P.P.; Klimov, O.V.; Pereyma, V.Y.; Gerasimov, E.Y.; Dobryakova, I.V.; Knyazeva, E.E.; Ivanova, I.I.; et al. Hydrocracking of vacuum gas oil over NiMo/Y-Al2O3: Effect of mesoporosity introduced by zeolite Y recrystallization. Catal. Today 2018, 305, 117–125. [Google Scholar] [CrossRef]
- Landau, M.V.; Vradman, L.; Valtchev, V.; Lezervant, J.; Liubich, E.; Talianker, M. Hydrocracking of heavy vacuum gas oil with a Pt/H-beta−Al2O3 catalyst: Effect of zeolite crystal size in the nanoscale range. Ind. Eng. Chem. Res. 2003, 42, 2773–2782. [Google Scholar] [CrossRef]
- De Jong, K.P.; Zečević, J.; Friedrich, H.; De Jongh, P.E.; Bulut, M.; Van Donk, S.; Kenmogne, R.; Finiels, A.; Hulea, V.; Fajula, F. Zeolite|Y crystals with trimodal porosity as ideal hydrocracking catalysts. Angew. Chem. 2010, 122, 10272–10276. [Google Scholar] [CrossRef]







| Samples | Surface Area (m2/g) | Pore Volume (cm3/g) | SiO2/Al2O3 | Brønsted | Lewis | B + L | ||||
|---|---|---|---|---|---|---|---|---|---|---|
| SBET | Smic | Sext | Vtotal | Vmic | Vmeso | |||||
| MUSY-A | 690 | 624 | 66 | 0.36 | 0.25 | 0.12 | 9.8 | 0.49 | 0.08 | 0.57 |
| MUSY-B | 816 | 691 | 125 | 0.51 | 0.28 | 0.23 | 10.5 | 0.78 | 0.13 | 0.91 |
| MUSY-C | 852 | 702 | 150 | 0.54 | 0.28 | 0.26 | 10.4 | 0.90 | 0.16 | 1.06 |
| Components | Feedstock | Blank | HCK-A | HCK-B | HCK-C | Error (%) |
|---|---|---|---|---|---|---|
| Paraffins | 28.2 | 23.6 | 29.2 | 28.8 | 29.1 | ±1.5 |
| Cycloparaffins | 9.3 | 17.8 | 10.0 | 10.3 | 10.1 | ±2.0 |
| Alkyl benzenes | 20.4 | 26.9 | 24.7 | 25.4 | 27.5 | ±1.0 |
| Indene or tetralin | 12.2 | 18.5 | 30.8 | 29.4 | 27.2 | ±1.0 |
| Diaromatics | 29.9 | 11.2 | 5.2 | 6.1 | 7.1 | ±1.5 |
© 2020 by the authors. Licensee MDPI, Basel, Switzerland. This article is an open access article distributed under the terms and conditions of the Creative Commons Attribution (CC BY) license (http://creativecommons.org/licenses/by/4.0/).
Share and Cite
Zhang, M.; Qin, B.; Zhang, W.; Zheng, J.; Ma, J.; Du, Y.; Li, R. Hydrocracking of Light Diesel Oil over Catalysts with Industrially Modified Y Zeolites. Catalysts 2020, 10, 815. https://doi.org/10.3390/catal10080815
Zhang M, Qin B, Zhang W, Zheng J, Ma J, Du Y, Li R. Hydrocracking of Light Diesel Oil over Catalysts with Industrially Modified Y Zeolites. Catalysts. 2020; 10(8):815. https://doi.org/10.3390/catal10080815
Chicago/Turabian StyleZhang, Mengna, Bo Qin, Weimin Zhang, Jiajun Zheng, Jinghong Ma, Yanze Du, and Ruifeng Li. 2020. "Hydrocracking of Light Diesel Oil over Catalysts with Industrially Modified Y Zeolites" Catalysts 10, no. 8: 815. https://doi.org/10.3390/catal10080815
APA StyleZhang, M., Qin, B., Zhang, W., Zheng, J., Ma, J., Du, Y., & Li, R. (2020). Hydrocracking of Light Diesel Oil over Catalysts with Industrially Modified Y Zeolites. Catalysts, 10(8), 815. https://doi.org/10.3390/catal10080815

