CO Tolerance and Stability of Graphene and N-Doped Graphene Supported Pt Anode Electrocatalysts for Polymer Electrolyte Membrane Fuel Cells
Abstract
1. Introduction
2. Results
2.1. Physical Characterization
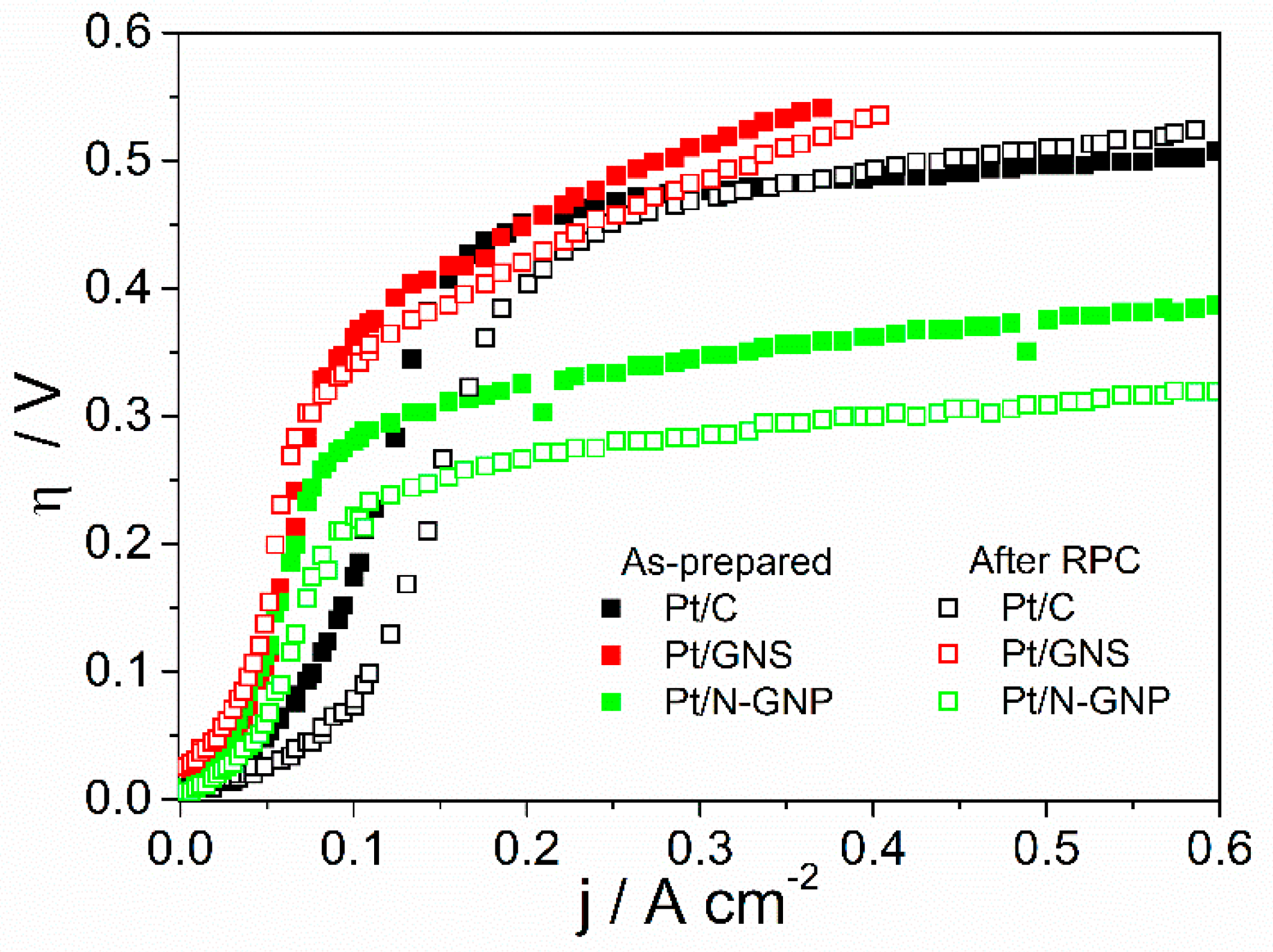
2.2. Electrochemical Characterization
3. Materials and Methods
3.1. Catalyst Preparation
3.2. Physical Characterization
3.3. Electrochemical Measurements
4. Conclusions
Supplementary Materials
Author Contributions
Funding
Acknowledgments
Conflicts of Interest
References
- Wee, J.-H.; Lee, K.-Y. Overview of the development of CO-tolerant anode electrocatalysts for proton-exchange membrane fuel cells. J. Power Sources 2006, 157, 128–135. [Google Scholar] [CrossRef]
- Urian, R.C.; Gullá, A.F.; Mukerjee, S. Electrocatalysis of reformate tolerance in proton exchange membranes fuel cells: Part I. J. Electroanal. Chem. 2003, 554–555, 307–324. [Google Scholar] [CrossRef]
- Narischat, N.; Takeguchi, T.; Mori, T.; Iwamura, S.; Ogino, I.; Mukai, S.R.; Ueda, W. Effect of the mesopores of carbon supports on the CO tolerance of Pt2Ru3 polymer electrolyte fuel cell anode catalyst. Int. J. Hydrogen Energy 2016, 41, 13697–13704. [Google Scholar] [CrossRef]
- Ehteshami, S.M.M.; Chan, S.H. A review of electrocatalysts with enhanced CO tolerance and stability for polymer electrolyte membarane fuel cells. Electrochim. Acta 2013, 93, 334–345. [Google Scholar] [CrossRef]
- Elezović, N.R.; Gajić-Krstajić, L.M.; Vračar, L.M.; Krstajić, N.V. Effect of chemisorbed CO on MoOx–Pt/C electrode on the kinetics of hydrogen oxidation reaction. Int. J. Hydrogen Energy 2010, 35, 12878–12887. [Google Scholar] [CrossRef]
- Gruver, G.A. The Corrosion of Carbon Black in Phosphoric Acid. J. Electrochem. Soc. 1978, 125, 1719. [Google Scholar] [CrossRef]
- Kangasniemi, K.; Condit, D.A.; Jarvi, T. Characterization of Vulcan Electrochemically Oxidized under Simulated PEM Fuel Cell Conditions. J. Electrochem. Soc. 2004, 151. [Google Scholar] [CrossRef]
- Maass, S.; Finsterwalder, F.; Frank, G.; Hartmann, R.; Merten, C. Carbon support oxidation in PEM fuel cell cathodes. J. Power Sources 2008, 176, 444–451. [Google Scholar] [CrossRef]
- Antolini, E. Carbon supports for low-temperature fuel cell catalysts. Appl. Catal. B Environ. 2009, 88, 1–24. [Google Scholar] [CrossRef]
- Antolini, E.; Gonzalez, E.R. Ceramic materials as supports for low-temperature fuel cell catalysts. Solid State Ion. 2009, 180, 746–763. [Google Scholar] [CrossRef]
- Antolini, E.; Gonzalez, E.R. Polymer supports for low-temperature fuel cell catalysts. Appl. Catal. A Gen. 2009, 365, 1–19. [Google Scholar] [CrossRef]
- Antolini, E. Graphene as a new carbon support for low-temperature fuel cell catalysts. Appl. Catal. B Environ. 2012, 123, 52–68. [Google Scholar] [CrossRef]
- Heydari, A.; Gharibi, H. Fabrication of electrocatalyst based on nitrogen doped graphene as highly efficient and durable support for using in polymer electrolyte fuel cell. J. Power Sources 2016, 325, 808–815. [Google Scholar] [CrossRef]
- Inagaki, M.; Toyoda, M.; Soneda, Y.; Morishita, T. Nitrogen-doped carbon materials. Carbon 2018, 132, 104–140. [Google Scholar] [CrossRef]
- Groves, M.N.; Chan, A.S.W.; Malardier-Jugroot, C.; Jugroot, M. Improving platinum catalyst binding energy to graphene through nitrogen doping. Chem. Phys. Lett. 2009, 481, 214–219. [Google Scholar] [CrossRef]
- Miao, H.; Li, S.; Wang, Z.; Sun, S.; Kuang, M.; Liu, Z.; Yuan, J. Enhancing the pyridinic N content of Nitrogen-doped graphene and improving its catalytic activity for oxygen reduction reaction. Int. J. Hydrogen Energy 2017, 42, 28298–28308. [Google Scholar] [CrossRef]
- Tian, Y.; Liu, Y.-J.; Zhao, J.-X.; Ding, Y.-H. High stability and superior catalytic reactivity of nitrogen-doped graphene supporting Pt nanoparticles as a catalyst for the oxygen reduction reaction: A density functional theory study. RSC Adv. 2015, 5. [Google Scholar] [CrossRef]
- Holme, T.; Zhou, Y.; Pasquarelli, R.; O’Hayre, R. First principles study of doped carbon supports for enhanced platinum catalysts. Phys. Chem. Chem. Phys. 2010, 12, 9461–9468. [Google Scholar] [CrossRef]
- Liu, X.; Sui, Y.; Duan, T.; Meng, C.; Han, Y. Monodisperse Pt atoms anchored on N-doped graphene as efficient catalysts for CO oxidation: A first-principles investigation. Catal. Sci. Technol. 2015, 5, 1658–1667. [Google Scholar] [CrossRef]
- He, D.; Jiang, Y.; Lv, H.; Pan, M.; Mu, S. Nitrogen-doped reduced graphene oxide supports for noble metal catalysts with greatly enhanced activity and stability. Appl. Catal. B Environ. 2013, 132, 379–388. [Google Scholar] [CrossRef]
- Tang, Y.; Yang, Z.; Dai, X. A theoretical simulation on the catalytic oxidation of CO on Pt/graphene. Phys. Chem. Chem. Phys. 2012, 14, 16566–16572. [Google Scholar] [CrossRef] [PubMed]
- Kim, G.; Jhi, S.-H. Carbon Monoxide-Tolerant Platinum Nanoparticle Catalysts on Defect-Engineered Graphene. ACS Nano 2011, 5, 805–810. [Google Scholar] [CrossRef] [PubMed]
- Scardamaglia, M.; Bittencourt, C. Metal-free catalysis based on nitrogen-doped carbon nanomaterials: A photoelectron spectroscopy point of view. Beilstein J. Nanotechnol. 2018, 9, 2015–2031. [Google Scholar] [CrossRef] [PubMed]
- Krishnan, R.; Su, W.-S.; Chen, H.-T. A new carbon allotrope: Penta-graphene as a metal-free catalyst for CO oxidation. Carbon 2017, 114, 465–472. [Google Scholar] [CrossRef]
- Yoo, E.; Okata, T.; Akita, T.; Kohyama, M.; Nakamura, J.; Honma, I. Enhanced Electrocatalytic Activity of Pt Subnanoclusters on Graphene Nanosheet Surface. Nano Lett. 2009, 9, 2255–2259. [Google Scholar] [CrossRef]
- Yoo, E.; Okada, T.; Akita, T.; Kohyama, M.; Honma, I.; Nakamura, J. Sub-nano-Pt cluster supported on graphene nanosheets for CO tolerant catalysts in polymer electrolyte fuel cells. J. Power Sources 2011, 196, 110–115. [Google Scholar] [CrossRef][Green Version]
- González-Hernández, M.; Antolini, E.; Perez, J. CO tolerance and stability of PtRu and PtRuMo electrocatalysts supported on N-doped graphene nanoplatelets for polymer electrolyte membrane fuel cells. Int. J. Hydrogen Energy 2019, 45, 5276–5384. [Google Scholar] [CrossRef]
- Çögenli, M.S.; Bayrakçeken Yurtcan, A. Heteroatom doped 3D graphene aerogel supported catalysts for formic acid and methanol oxidation. Int. J. Hydrogen Energy 2020, 45, 650–666. [Google Scholar] [CrossRef]
- Liu, C.-S.; Liu, X.-C.; Wang, G.-C.; Liang, R.-P.; Qiu, J.-D. Preparation of Nitrogen-Doped Graphene Supporting Pt Nanoparticles As a Catalyst for Oxygen Reduction and Methanol Oxidation. J. Electroanal. Chem. 2014, 728. [Google Scholar] [CrossRef]
- Tao, L.; Dou, S.; Ma, Z.; Shen, A.; Wang, S. Simultaneous Pt deposition and nitrogen doping of graphene as efficient and durable electrocatalysts for methanol oxidation. Int. J. Hydrogen Energy 2015, 40, 14371–14377. [Google Scholar] [CrossRef]
- Ma, J.-H.; Wang, L.; Mu, X.; Li, L. Nitrogen-doped graphene supported Pt nanoparticles with enhanced performance for methanol oxidation. Int. J. Hydrogen Energy 2015, 40, 2641–2647. [Google Scholar] [CrossRef]
- Xin, Y.; Liu, J.-G.; Jie, X.; Liu, W.; Liu, F.; Yin, Y.; Gu, J.; Zou, Z. Preparation and electrochemical characterization of nitrogen doped graphene by microwave as supporting materials for fuel cell catalysts. Electrochim. Acta 2012, 60, 354–358. [Google Scholar] [CrossRef]
- Avcioglu, G.S.; Ficicilar, B.; Bayrakceken, A.; Eroglu, I. High performance PEM fuel cell catalyst layers with hydrophobic channels. Int. J. Hydrogen Energy 2015, 40, 7720–7731. [Google Scholar] [CrossRef]
- Chiang, Y.-C.; Liang, C.-C.; Chung, C.-P. Characterization of Platinum Nanoparticles Deposited on Functionalized Graphene Sheets. Materials 2015, 8, 6484–6497. [Google Scholar] [CrossRef] [PubMed]
- Popova, A.N. Crystallographic analysis of graphite by X-Ray diffraction. Coke Chem. 2017, 60, 361–365. [Google Scholar] [CrossRef]
- Saenko, N.S.; Ziatdinov, A.M. The small-angle γ-band of the X-ray diffraction for nanographite powder and its approximation by full-profile analysis. Mater. Today Proc. 2018, 5, 26052–26057. [Google Scholar] [CrossRef]
- Leontyev, I.N.; Kuriganova, A.B.; Leontyev, N.G.; Hennet, L.; Rakhmatullin, A.; Smirnova, N.V.; Dmitriev, V. Size dependence of the lattice parameters of carbon supported platinum nanoparticles: X-ray diffraction analysis and theoretical considerations. RSC Adv. 2014, 4, 35959–35965. [Google Scholar] [CrossRef]
- Naumov, O.; Naumov, S.; Abel, B.; Varga, A. The stability limits of highly active nitrogen doped carbon ORR nano-catalysts: A mechanistic study of degradation reactions. Nanoscale 2018, 10, 6724–6733. [Google Scholar] [CrossRef]
- Chaban, V.; Prezhdo, O. Nitrogen-Nitrogen Bonds Violate Stability of N-Doped Graphene. arXiv 2015, arXiv:1502.01939. [Google Scholar]
- Arteaga, G.; Rivera-Gavidia, M.L.; Martínez, J.S.; Rizo, R.; Pastor, E.; García, G. Methanol Oxidation on Graphenic-Supported Platinum Catalysts. Surfaces 2019, 2, 16–31. [Google Scholar] [CrossRef]
- Chandran, P.; Ghosh, A.; Ramaprabhu, S. High-performance Platinum-free oxygen reduction reaction and hydrogen oxidation reaction catalyst in polymer electrolyte membrane fuel cell. Sci. Rep. 2018, 8, 3591. [Google Scholar] [CrossRef] [PubMed]
- Coros, M.; Varodi, C.; Pogacean, F.; Gal, E.; Pruneanu, M.S. Nitrogen-Doped Graphene: The Influence of Doping Level on the Charge-Transfer Resistance and Apparent Heterogeneous Electron Transfer Rate. Sensors 2020, 20, 1815. [Google Scholar] [CrossRef] [PubMed]
- Gloaguen, F.; Le’Ger, J.M.; Lamy, C. Electrocatalytic oxidation of methanol on platinum nanoparticles electrodeposited onto porous carbon substrates. J. Appl. Electrochem. 1997, 27, 1052–1060. [Google Scholar] [CrossRef]
- Bergamaski, K.; Pinheiro, A.L.N.; Teixeira-Neto, E.; Nart, F.C. Nanoparticle Size Effects on Methanol Electrochemical Oxidation on Carbon Supported Platinum Catalysts. J. Phys. Chem. B 2006, 110, 19271–19279. [Google Scholar] [CrossRef] [PubMed]








| Catalyst | Pt Mass (EDX)/% | Pt Mass (TGA)/% | Lattice Parameter/nm | Crystallite Size (XRD)/nm | Particle Size (TEM)/nm As-Prepared Cycled | |||
|---|---|---|---|---|---|---|---|---|
| dn | dG | dn | dG | |||||
| Pt/C | 20.0 | 17.5 | 0.3888 | 2.2 | 1.9 ± 0.2 | 1.9 | 3.6 ± 1.2 | 2.8 |
| Pt/GNS | 18.6 | 19.4 | 0.3913 | 1.9 | 2.3 ± 0.4 | 2.0 | 3.4 ± 1.7 | 3.3 |
| Pt/N-GNP | 21.6 | 23.1 | 0.3916 | 3.1 | 2.3 ± 0.2 | 2.3 | 4.0 ± 1.1 | 3.9 |
| Catalyst | Pt 4f7/2 | N 1s | ||||
|---|---|---|---|---|---|---|
| Pt0 | Pt2+ | Pt4+ | Pyridinic | Pyrrolic | Graphitic | |
| Pt/C | 49.21 | 34.80 | 15.99 | - | - | - |
| Pt/GNS | 63.96 | 26.14 | 9.89 | - | - | - |
| Pt/N-GNP | 60.79 | 30.78 | 8.43 | 31.0 | 35.5 | 33.5 |
| Catalyst | ECSA before RPC cm2 g−1 | ECSA after RPC cm2 g−1 | ECSA Loss % |
|---|---|---|---|
| Pt/C | 66.0 | 61.9 | 6.2 |
| Pt/GNS | 32.9 | 32.2 | 2.2 |
| Pt//N-GNP | 25.4 | 24.9 | 1.9 |
© 2020 by the authors. Licensee MDPI, Basel, Switzerland. This article is an open access article distributed under the terms and conditions of the Creative Commons Attribution (CC BY) license (http://creativecommons.org/licenses/by/4.0/).
Share and Cite
González-Hernández, M.; Antolini, E.; Perez, J. CO Tolerance and Stability of Graphene and N-Doped Graphene Supported Pt Anode Electrocatalysts for Polymer Electrolyte Membrane Fuel Cells. Catalysts 2020, 10, 597. https://doi.org/10.3390/catal10060597
González-Hernández M, Antolini E, Perez J. CO Tolerance and Stability of Graphene and N-Doped Graphene Supported Pt Anode Electrocatalysts for Polymer Electrolyte Membrane Fuel Cells. Catalysts. 2020; 10(6):597. https://doi.org/10.3390/catal10060597
Chicago/Turabian StyleGonzález-Hernández, Martin, Ermete Antolini, and Joelma Perez. 2020. "CO Tolerance and Stability of Graphene and N-Doped Graphene Supported Pt Anode Electrocatalysts for Polymer Electrolyte Membrane Fuel Cells" Catalysts 10, no. 6: 597. https://doi.org/10.3390/catal10060597
APA StyleGonzález-Hernández, M., Antolini, E., & Perez, J. (2020). CO Tolerance and Stability of Graphene and N-Doped Graphene Supported Pt Anode Electrocatalysts for Polymer Electrolyte Membrane Fuel Cells. Catalysts, 10(6), 597. https://doi.org/10.3390/catal10060597

