Selective Formation of Para-Xylene by Methanol Aromatization over Phosphorous Modified ZSM-5 Zeolites
Abstract
1. Introduction
2. Results and Discussion
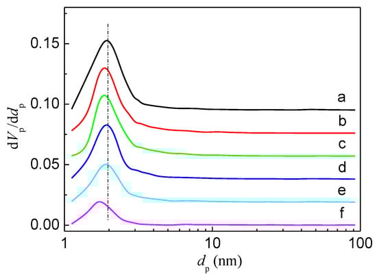
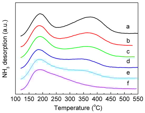
2.1. Catalyst Characterization
2.2. Influence of Phosphorus on the Catalytic Performance
3. Materials and Methods
3.1. Catalyst Preparation
3.2. Catalyst Characterization
3.3. Catalyst Evaluation
4. Conclusions
Author Contributions
Funding
Acknowledgments
Conflicts of Interest
References
- Pan, D.; Song, X.; Yang, X.; Gao, L.; Wei, R.; Zhang, J.; Xiao, G. Efficient and selective conversion of methanol to para-xylene over stable H[Zn,Al]ZSM-5/SiO2 composite catalyst. Appl. Catal. A 2018, 557, 15–24. [Google Scholar] [CrossRef]
- Li, J.; Tong, K.; Xi, Z.; Yuan, Y.; Hu, Z.; Zhu, Z. High-efficient conversion of methanol to p-xylene over shape-selective Mg-Zn-Si-HZSM-5 catalyst with fine modification of pore-opening and acidic properties. Catal. Sci. Technol. 2016, 6, 4802–4813. [Google Scholar] [CrossRef]
- Kaeding, W.W.; Chu, C.; Young, L.B.; Butter, S.A. Shape-selective reactions with zeolite catalysts: II. Selective disproportionation of toluene to produce benzene and p-Xylene. J. Catal. 1981, 69, 392–398. [Google Scholar] [CrossRef]
- Ji, Y.-J.; Zhang, B.; Xu, L.; Wu, H.; Peng, H.; Chen, L.; Liu, Y.; Wu, P. Core/shell-structured Al-MWW@B-MWW zeolites for shape-selective toluene disproportionation to para-xylene. J. Catal. 2011, 283, 168–177. [Google Scholar] [CrossRef]
- Li, Y.; Wang, H.; Dong, M.; Li, J.; Wang, G.; Qin, Z.; Fan, W.; Wang, J. Optimization of Reaction Conditions in the Transalkylation of Toluene with 1,2,4-Trimethylbenzene Catalyzed by Beta Zeolite and the Investigation of Its Reaction Mechanism. Acta Chim. Sin. 2016, 74, 529–537. [Google Scholar] [CrossRef]
- Cheng, X.; Wang, X.; Long, H. Transalkylation of benzene with 1,2,4-trimethylbenzene over nanosized ZSM-5. Microporous Mesoporous Mater. 2009, 119, 171–175. [Google Scholar] [CrossRef]
- Lu, P.; Fei, Z.; Li, L.; Feng, X.; Ji, W.; Ding, W.; Chen, Y.; Yang, W.; Xie, Z. Effects of controlled SiO2 deposition and phosphorus and nickel doping on surface acidity and diffusivity of medium and small sized HZSM-5 for para-selective alkylation of toluene by methanol. Appl. Catal. A 2013, 453, 302–309. [Google Scholar] [CrossRef]
- Wang, C.; Zhang, Q.; Zhu, Y.; Zhang, D.; Chen, J.; Chiang, F.-K. p-Xylene selectivity enhancement in methanol toluene alkylation by separation of catalysis function and shape-selective function. Mol. Catal. 2017, 433, 242–249. [Google Scholar] [CrossRef]
- Wang, C.; Wang, Y.; Chen, H.; Wang, X.; Li, H.; Sun, C.; Sun, L.; Fan, C.; Zhang, X. Effect of phosphorus on the performance of IM-5 for the alkylation of toluene with methanol into p-xylene. C. R. Chim. 2019, 22, 13–21. [Google Scholar] [CrossRef]
- Pannida, D.; Chularat, W. A Comprehensive Review of the Applications of Hierarchical Zeolite Nanosheets and Nanoparticle Assemblies in Light Olefin Production. Catalysts 2020, 10, 245. [Google Scholar]
- Bjørgen, M.; Akyalcin, S.; Olsbye, U.; Benard, S.; Kolboe, S.; Svelle, S. Methanol to hydrocarbons over large cavity zeolites: Toward a unified description of catalyst deactivation and the reaction mechanism. J. Catal. 2010, 275, 170–180. [Google Scholar] [CrossRef]
- Niu, X.; Gao, J.; Wang, K.; Miao, Q.; Dong, M.; Wang, G.; Fan, W.; Qin, Z.; Wang, J. Influence of crystal size on the catalytic performance of H-ZSM-5 and Zn/H-ZSM-5 in the conversion of methanol to aromatics. Fuel Process. Technol. 2017, 157, 99–107. [Google Scholar] [CrossRef]
- Wang, K.; Dong, M.; Niu, X.; Li, J.; Qin, Z.; Fan, W.; Wang, J. Highly active and stable Zn/ZSM-5 zeolite catalyst for the conversion of methanol to aromatics: effect of support morphology. Catal. Sci. Technol. 2018, 8, 5646–5656. [Google Scholar]
- Niu, X.; Gao, J.; Miao, Q.; Dong, M.; Wang, G.; Fan, W.; Qin, Z.; Wang, J. Influence of preparation method on the performance of Zn-containing HZSM-5 catalysts in methanol-to-aromatics. Microporous Mesoporous Mater. 2014, 197, 252–261. [Google Scholar] [CrossRef]
- Chang, N.; Bai, L.; Zhang, Y.; Zeng, G. Fast synthesis of hierarchical CHA/AEI intergrowth zeolite with ammonium salts as mineralizing agent and its application for MTO process. Chem. Pap. 2019, 73, 221–237. [Google Scholar] [CrossRef]
- Li, N.; Meng, C.; Liu, D. Deactivation kinetics with activity coefficient of the methanol to aromatics process over modified ZSM-5. Fuel 2018, 233, 283–290. [Google Scholar] [CrossRef]
- Jin, W.; Ma, J.; Ma, H.; Li, X.; Wang, Y. Hydrothermal synthesis of core-shell ZSM-5/SAPO-34 composite zeolites and catalytic performance in methanol-to-aromatics reaction. J. Catal. 2015, 330, 558–568. [Google Scholar] [CrossRef]
- Li, H.; Dong, P.; Ji, D.; Zhao, X.; Li, C.; Cheng, C.; Li, G. Effect of the Post-Treatment of HZSM-5on Catalytic Performance for Methanol to Aromatics. ChemistrySelect 2020, 5, 3413–3419. [Google Scholar] [CrossRef]
- Van Vu, D.; Miyamoto, M.; Nishiyama, N.; Ichikawa, S.; Egashira, Y.; Ueyama, K. Catalytic activities and structures of silicalite-1/H-ZSM-5 zeolite composites. Microporous Mesoporous Mater. 2008, 115, 106–112. [Google Scholar]
- Wu, P.; Komatsu, T.; Yashima, T. Selective formation of p-xylene with disproportionation of toluene over MCM-22 catalysts. Microporous Mesoporous Mater. 1998, 22, 343–356. [Google Scholar] [CrossRef]
- Tsai, T.-C.; Liu, S.-B.; Wang, I. Disproportionation and transalkylation of alkylbenzenes over zeolite catalysts. Appl. Catal. A 1999, 181, 355–398. [Google Scholar] [CrossRef]
- Van der Mynsbrugge, J.; Visur, M.; Olsbye, U.; Beato, P.; Bjørgen, M.; Van Speybroeck, V.; Svelle, S. Methylation of benzene by methanol: Single-site kinetics over H-ZSM-5 and H-beta zeolite catalysts. J. Catal. 2012, 292, 201–212. [Google Scholar] [CrossRef]
- Dumitriu, E.; Hulea, V.; Kaliaguine, S.; Huang, M.M. Transalkylation of the alkylaromatic hydrocarbons in the presence of ultrastable Y zeolites Transalkylation of toluene with trimethylbenzenes. Appl. Catal. A 1996, 135, 57–81. [Google Scholar] [CrossRef]
- Zhu, Z.; Xie, Z.; Chen, Q.; Kong, D.; Li, W.; Yang, W.; Li, C. Chemical liquid deposition with polysiloxane of ZSM-5 and its effect on acidity and catalytic properties. Microporous Mesoporous Mater. 2007, 101, 169–175. [Google Scholar] [CrossRef]
- Zheng, S.; Heydenrych, H.R.; Jentys, A.; Lercher, J.A. Influence of Surface Modification on the Acid Site Distribution of HZSM-5. J. Phys. Chem. B 2002, 106, 9552–9558. [Google Scholar] [CrossRef]
- Bauer, F.; Chen, W.H.; Bilz, E.; Freyer, A.; Sauerland, V.; Liu, S.B. Surface modification of nano-sized HZSM-5 and HFER by pre-coking and silanization. J. Catal. 2007, 251, 258–270. [Google Scholar] [CrossRef]
- Chen, N.Y.; Kaeding, W.W.; Dwyer, F.G. Para-directed aromatic reactions over shape-selective molecular sieve zeolite catalysts. J. Am. Chem. Soc. 1979, 101, 6783–6784. [Google Scholar] [CrossRef]
- Li, Y.; Xie, W.; Yong, S. The Acidity and Catalytic Behavior of Mg ZSM 5 Prepared via Solid State Reaction. Appl. Catal. A 1997, 150, 231–242. [Google Scholar] [CrossRef]
- Kaeding, W.W.; Chu, C.; Young, L.B.; Weinstein, B.; Butter, S.A. Selective alkylation of toluene with methanol to produce para-Xylene. J. Catal. 1981, 67, 159–174. [Google Scholar] [CrossRef]
- Janardhan, H.L.; Shanbhag, G.V.; Halgeri, A.B. Shape-selective catalysis by phosphate modified ZSM-5: Generation of new acid sites with pore narrowing. Appl. Catal. A 2014, 471, 12–18. [Google Scholar] [CrossRef]
- Kaeding, W.W.; Young, L.B.; Chu, C.-C. Shape-selective reactions with zeolite catalysts: IV. Alkylation of toluene with ethylene to produce p-ethyltoluene. J. Catal. 1984, 89, 267–273. [Google Scholar] [CrossRef]
- Védrine, J.C.; Auroux, A.; Dejaifve, P.; Ducarme, V.; Hoser, H.; Zhou, S. Catalytic and physical properties of phosphorus-modified ZSM-5 zeolite. J. Catal. 1982, 73, 147–160. [Google Scholar] [CrossRef]
- Miyake, K.; Hirota, Y.; Ono, K.; Uchida, Y.; Tanaka, S.; Nishiyama, N. Direct and selective conversion of methanol to para-xylene over Zn ion doped ZSM-5/silicalite-1 core-shell zeolite catalyst. J. Catal. 2016, 342, 63–66. [Google Scholar] [CrossRef]
- Zhang, J.; Qian, W.; Kong, C.; Wei, F. Increasing para-Xylene Selectivity in Making Aromatics from Methanol with a Surface-Modified Zn/P/ZSM-5 Catalyst. ACS Catal. 2015, 5, 2982–2988. [Google Scholar] [CrossRef]
- Blasco, T.; Corma, A.; Martínez-Triguero, J. Hydrothermal stabilization of ZSM-5 catalytic-cracking additives by phosphorus addition. J. Catal. 2006, 237, 267–277. [Google Scholar] [CrossRef]
- Zhang, L.; Zhang, H.; Chen, Z.; Liu, S.; Ren, J. Effect of framework Al siting on catalytic performance in methanol to aromatics over ZSM-5 zeolites. J. Fuel Chem. Technol. 2019, 47, 1468–1475. [Google Scholar] [CrossRef]
- Zhao, G.; Teng, J.; Xie, Z.; Jin, W.; Yang, W.; Chen, Q.; Tang, Y. Effect of phosphorus on HZSM-5 catalyst for C 4-olefin cracking reactions to produce propylene. J. Catal. 2007, 248, 29–37. [Google Scholar] [CrossRef]
- Palella, A.; Barbera, K.; Arena, F.; Spadaro, L. Clean Syn-Fuels via Hydrogenation Processes: Acidity–Activity Relationship in O-Xylene Hydrotreating. ChemEngineering 2020, 4, 4. [Google Scholar] [CrossRef]
- Caeiro, G.; Magnoux, P.; Lopes, J.M.; Ribeiro, F.R.; Menezes, S.M.C.; Costa, A.F.; Cerqueira, H.S. Stabilization effect of phosphorus on steamed H-MFI zeolites. Appl. Catal. A 2006, 314, 160–171. [Google Scholar] [CrossRef]
- Li, P.; Zhang, W.; Han, X.; Bao, X. Conversion of Methanol to Hydrocarbons over Phosphorus-modified ZSM-5/ZSM-11 Intergrowth Zeolites. Catal. Lett. 2010, 134, 124–130. [Google Scholar] [CrossRef]
- Dyballa, M.; Klemm, E.; Weitkamp, J.; Hunger, M. Effect of Phosphate Modification on the Brønsted Acidity and Methanol-to-Olefin Conversion Activity of Zeolite ZSM-5. Chem. Ing. Tech. 2013, 85, 1719–1725. [Google Scholar] [CrossRef]
- Zhu, X.; Zhang, J.; Cheng, M.; Wang, G.; Yu, M.; Li, C. Methanol Aromatization over Mg-P-Modified [Zn,Al]ZSM-5 Zeolites for Efficient Coproduction of para-Xylene and Light Olefins. Ind. Eng. Chem. Res. 2019, 58, 19446–19455. [Google Scholar] [CrossRef]
- Ghiaci, M.; Abbaspur, A.; Arshadi, M.; Aghabarari, B. Internal versus external surface active sites in ZSM-5 zeolite: Part 2: Toluene alkylation with methanol and 2-propanol catalyzed by modified and unmodified H3PO4/ZSM-5. Appl. Catal. A 2007, 316, 32–46. [Google Scholar] [CrossRef]
- Li, Q.H.; Mihailova, B.; Creaser, D.; Sterte, J. The nucleation period for crystallization of colloidal TPA-silicalite-1 with varying silica source. Microporous Mesoporous Mater. 2000, 40, 53–62. [Google Scholar] [CrossRef]
- Ferreira Madeira, F.; Ben Tayeb, K.; Pinard, L.; Vezin, H.; Maury, S.; Cadran, N. Ethanol transformation into hydrocarbons on ZSM-5 zeolites: Influence of Si/Al ratio on catalytic performances and deactivation rate. Study of the radical species role. Appl. Catal. A 2012, 443–444, 171–180. [Google Scholar] [CrossRef]








| Samples | Crystallinity (%) | SBET (m2·g) | Se (m2·g) | Vmes (cm3·g) | Vmic (cm3·g) |
|---|---|---|---|---|---|
| HZSM-5 | 100 | 381 | 13.5 | 0.03 | 0.18 |
| 0.5% P/HZSM-5 | 96.2 | 360 | 12.9 | 0.04 | 0.17 |
| 1% P/HZSM-5 | 94.4 | 333 | 11.8 | 0.03 | 0.15 |
| 2% P/HZSM-5 | 87.6 | 311 | 9.4 | 0.03 | 0.14 |
| 3% P/HZSM-5 | 85.2 | 285 | 8.5 | 0.03 | 0.13 |
| 5% P/HZSM-5 | 76.4 | 246 | 5.8 | 0.04 | 0.10 |
| Samples | Acidity by Strength a (mmol·g) | Acidity by Type b (mmol·g) | ||||
|---|---|---|---|---|---|---|
| Strong | Weak | Total | Brönsted | Lewis | L/B | |
| HZSM-5 | 0.32 | 0.20 | 0.52 | 0.170 | 0.054 | 0.32 |
| 0.5% P/HZSM-5 | 0.24 | 0.17 | 0.41 | 0.082 | 0.046 | 0.56 |
| 1% P/HZSM-5 | 0.18 | 0.19 | 0.37 | 0.079 | 0.033 | 0.42 |
| 2% P/HZSM-5 | 0.15 | 0.18 | 0.33 | 0.075 | 0.020 | 0.27 |
| 3% P/HZSM-5 | 0.13 | 0.20 | 0.33 | 0.073 | 0.009 | 0.12 |
| 5% P/HZSM-5 | 0.05 | 0.26 | 0.31 | 0.072 | 0.005 | 0.07 |
| Catalysts | Conv.MeOH | Production Selectivity (wt.%) | Xylene in Aromatics | PX in X | Yield of PX b | ||||
|---|---|---|---|---|---|---|---|---|---|
| C1−~C4− | C2=~C5= | C5+ non-Aromatics | Aromatics | Others a | - | - | - | ||
| HZSM-5 | 99.8 | 37.91 | 7.96 | 18.78 | 33.26 | 2.09 | 43.14 | 23.83 | 3.41 |
| 0.5%P/HZSM-5 | 99.6 | 34.20 | 8.29 | 24.43 | 31.14 | 1.94 | 43.30 | 28.70 | 3.86 |
| 1%P/HZSM-5 | 99.2 | 26.24 | 14.70 | 29.64 | 29.22 | 0.20 | 45.33 | 46.02 | 6.05 |
| 2%P/HZSM-5 | 83.6 | 16.59 | 42.74 | 16.33 | 23.05 | 1.29 | 49.12 | 76.14 | 7.21 |
| 3%P/HZSM-5 | 75.1 | 11.96 | 49.75 | 16.65 | 20.57 | 1.07 | 56.44 | 86.12 | 7.51 |
| 5%P/HZSM-5 | 68.4 | 10.73 | 62.42 | 9.86 | 15.42 | 1.57 | 60.16 | 89.05 | 5.65 |
© 2020 by the authors. Licensee MDPI, Basel, Switzerland. This article is an open access article distributed under the terms and conditions of the Creative Commons Attribution (CC BY) license (http://creativecommons.org/licenses/by/4.0/).
Share and Cite
Niu, X.; Wang, K.; Bai, Y.; Du, Y.-e.; Chen, Y.; Dong, M.; Fan, W. Selective Formation of Para-Xylene by Methanol Aromatization over Phosphorous Modified ZSM-5 Zeolites. Catalysts 2020, 10, 484. https://doi.org/10.3390/catal10050484
Niu X, Wang K, Bai Y, Du Y-e, Chen Y, Dong M, Fan W. Selective Formation of Para-Xylene by Methanol Aromatization over Phosphorous Modified ZSM-5 Zeolites. Catalysts. 2020; 10(5):484. https://doi.org/10.3390/catal10050484
Chicago/Turabian StyleNiu, Xianjun, Kai Wang, Yang Bai, Yi-en Du, Yongqiang Chen, Mei Dong, and Weibin Fan. 2020. "Selective Formation of Para-Xylene by Methanol Aromatization over Phosphorous Modified ZSM-5 Zeolites" Catalysts 10, no. 5: 484. https://doi.org/10.3390/catal10050484
APA StyleNiu, X., Wang, K., Bai, Y., Du, Y.-e., Chen, Y., Dong, M., & Fan, W. (2020). Selective Formation of Para-Xylene by Methanol Aromatization over Phosphorous Modified ZSM-5 Zeolites. Catalysts, 10(5), 484. https://doi.org/10.3390/catal10050484

