Abstract
Herein, we demonstrate a method used to tune the selectivity of LaNiO3 (LNO) perovskite catalysts through the substitution of La with K cations. LNO perovskites were synthesised using a simple sol-gel method, which exhibited 100% selectivity towards the methanation of CO2 at all temperatures investigated. La cations were partially replaced by K cations to varying degrees via control of precursor metal concentration during synthesis. It was demonstrated that the reaction selectivity between CO2 methanation and the reverse water gas shift (rWGS) could be tuned depending on the initial amount of K substituted. Tuning the selectivity (i.e., ratio of CH4 and CO products) between these reactions has been shown to be beneficial for downstream hydrocarbon reforming, while valorizing waste CO2. Spectroscopic and temperature-controlled desorption characterizations show that K incorporation on the catalyst surface decrease the stability of C-based intermediates, promoting the desorption of CO formed via the rWGS prior to methanation.
1. Introduction
An economical yet effective removal and utilization of CO2 has not been implemented on a wide scale level to reduce its impact on climate change through the greenhouse effect. This makes the efficient methanation of CO2 or the production of CO through the reverse water gas shift (rWGS) reaction a promising solution if it can be implemented viably [1,2]. Current major solutions of CO2 utilization revolve around the production of synthetic chemicals such as methanol, various carbonates, and urea. Combined with other carbon sequestration efforts, this only accounts for the removal of a minute portion of the ~ 30 gigatonnes (Gt) of CO2 emitted annually [3,4,5]. The production of these liquid chemicals generally require intensive operating conditions, and reactions are considerably slower than the rWGS or Sabatier methanation reactions [1]. Furthermore, there is a significant global push towards realizing renewable hydrogen production at scale through the use of water electrolysis combined with renewable energy inputs [2]. This presents significant opportunity for the implementation of CO2 hydrogenation through these routes, which are able to convert CO2 into CO (via the rWGS) and CH4 (via methanation).
CH4 and CO produced from the thermal reduction of CO2 can be used to create sustainably sourced synthetic fuels, as well as act as building blocks for other reactions which are able to produce value added products. These include aromatic compounds, alcohols, ketones, and carboxylic acids. Moreover, the process of creating these products can reduce anthropogenic CO2 in the atmosphere, presenting itself as a potential multifaceted approach to reducing CO2 pollution [4].
| CO2 + 4H2 → CH4 + 2H2O | Sabatier Reaction [6] | ΔH = −165.0 kJ mol−1 |
| CO2 + H2 → CO + H2O | Reverse Water Gas Shift [6] | ΔH = 41.15 kJ mol−1 |
Further to this, there is a need for specific product ratios of CH4 and CO, which are able to be used as reactant streams for further hydrocarbon reforming. It has been shown previously that the addition of CO during the dehydrocondensation of CH4 into aromatic products over a zeolite-based catalyst was able to significantly improve catalytic stability and selectivity, resulting in an increase in catalytic performance [7,8,9]. Therefore, in order to increase the feasibility and applicability of utilizing the catalytic conversion of CO2 into sustainable fuels and products, this work aimed to tune the selectivity of CO2 reduction between the rWGS and methanation to specific product ratios, which can be used more efficiently for downstream processes. Perovskite-type oxides with the general formula ABO3 containing both rare earth elements and 3d transition metals have received much attention in recent years [10,11,12,13]. Supported base metal oxides (e.g., cerium oxide [14] and zirconium oxide [15]) and perovskites such as LaMO3 (M = Co, Ni, Mn) [16]) are catalytically active in CO2 reduction at above 200 °C, while showing good selectivity towards the Sabatier reaction. Particularly, Ni as the B-site cation has been previously probed for CO2 methanation. In using LaNiO3 (LNO), which is reduced to Ni/La2O3 upon activation [17,18], the Ni species have been shown to be an active component in both Sabatier methanation and the rWGS routes, and, under various conditions, will have different reaction selectivity and activity [19,20]. However, very few works have been reported to exploit the strong thermal, hydrothermal, excellent redox properties, and flexible composition of the perovskite structure [12,21,22], and specifically manipulate selectivity away from CO2 hydrogenation to the rWGS pathways, achieving an optimal ratio of CO and CH4 in the product stream.
Alkali metals such as Li, Na, and K within various metal-based supported catalysts have been shown to promote rWGS routes due to their role of forming active sites, which promote formate species that decompose into CO. These active sites also alter the properties of neighboring species by potentially changing stability, particle size, and intermediate bond types [23,24,25,26]. Furthermore, K has been shown previously to be readily incorporated into La-based perovskites through the A-site substitution of La, and is able to change its electronic properties due to differences in ionic radius and preferred oxidation states [27,28].
In this work, we exploited the high selectivity of the LNO perovskite catalyst towards the Sabatier reaction and, by controlling potassium incorporation in the catalyst to form La1-xKxNiO3 (x= 0, 0.1, 0.2, or 0.3, denoted as 0K LNO, 10K LNO, 20K LNO, or 30K LNO), tuned the reaction pathway toward the rWGS routes. The resulting changes in morphology, electronic properties, reducibility, and surface compositions emerging from the K substitution were analyzed in terms of their effect on the selectivity of the catalysts.
2. Results and Discussion
2.1. Material Characterization
The XRD pattern (Figure 1) for the LNO perovskite without K substitution showed high crystallinity and diffraction peaks that corresponded to the rhombohedral LaNiO3 perovskite phase (JCPDS 00-034-1181). It was observed that after partial substitution of La with K, a secondary major phase appeared corresponding to the formation of NiO (JCPDS 01-078-0643) in conjunction with the crystalline LaNiO3 structure. A similar phenomenon was obtained in other works with the LaxK1-xCoO3 (x = 0–0.3) perovskite, whereby K substitution induced the formation of the major B-cation oxide (Co3O4) [27]. It was postulated that, in our case, a structural defect occurred as a result of the different ionic radii between La3+ and K+, resulting in an imperfect substitution, where not all La3+ ions were replaced by K+ within the structural A-site. This may result in an excess of Ni species not incorporated into the perovskite structure, which react with oxygen to form NiO during calcination. The NiO species formed increased in abundance as K substitution increased, as seen in Figure 1 through the increasing XRD peak intensity of NiO. Slight peak broadening in the characteristic peak of the LNO perovskite also indicated lattice distortion, potentially due to the substitution of K cations into the structure. However, the presence of K species could not be detected in XRD analysis, suggesting that the K in the catalyst was in a well-dispersed form, such as nanocrystals [26].
Figure 1.
Characteristic peak intensity normalized XRD patterns of 0–30K LNO catalysts. The (*) symbol represents the NiO standard phase while (P) symbol represents the LaNiO3 perovskite phase.
The Brunauer-Emmett-Teller (BET) surface area for all catalysts are shown in Table 1. The 0K LNO possessed the highest surface area value of 10.5 m2 g−1. Previous works reported surface areas of LaNiO3 with various synthesis methods ranging from approximately 1–10 m2 g−1 [29,30]. For the 10–30K LNO samples, the BET surface area was lower following La substitution with the K ions. This was partially attributed to the distortion of the rhombohedral lattice structure of the single phase LaNiO3 due to a change in radius of the A-site cation, and has also been correlated to the formation of low melting point K compounds, as shown by Xu and coworkers [27], which were deformed during the calcination.
Table 1.
Surface parameters of the 0–30K LNO samples.
N2 adsorption and desorption curves showed a small hysteresis indicating adsorbed N2 on the nanoparticle surface for the 0K LNO sample, which indicated the limited presence of meso or micropores [31], as can be seen in Figure S1. These pores are beneficial to the overall catalytic performance as they allow for higher adsorbed surface oxygen capabilities and better redox properties. The hysteresis appeared to decrease as K was incorporated into the catalyst structure, providing further evidence of distortion within the crystal lattice due to the K substitution amount. Interestingly, Table 1 shows that as higher amounts of K were incorporated during synthesis there was a decrease in K surface species, suggesting that the substitution effect was more evident for higher K amounts in our system.
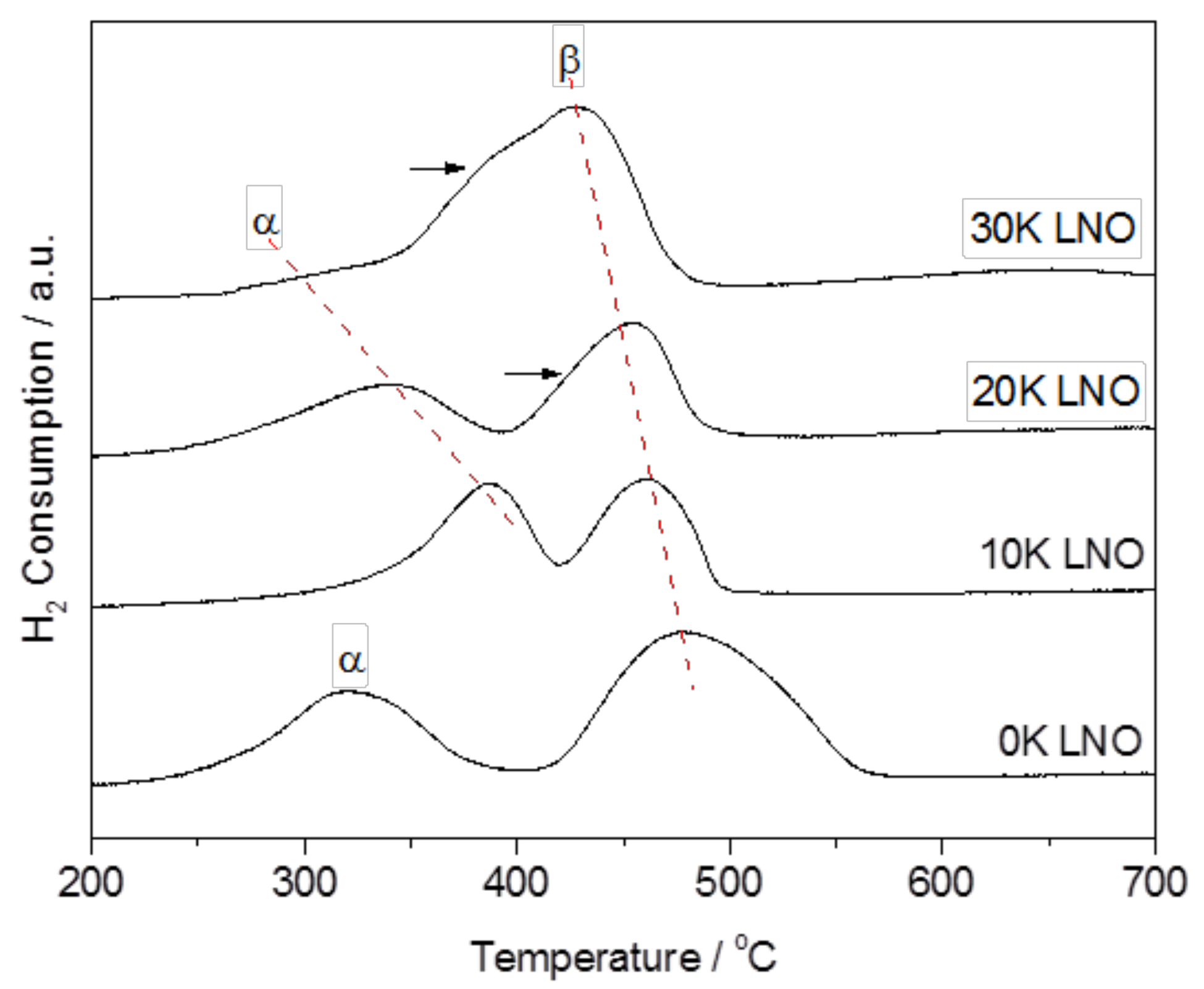
For reductive type reactions, catalyst reducibility is a good indicator of the redox properties and abilities over a temperature range in which the catalyst is active. Particularly for metal oxide-based catalysts, the formation and abundance of active sites is a driving force for the catalytic reduction of CO2, as well as a factor defining reaction pathway [17]. Figure 2 presents the reductive potential through H2 temperature programmed reduction (H2 TPR) of the 0–30 K LNO catalysts. The results show two major reduction zones across a temperature range of approximately 250–575 °C. Singh et al. described two possible reaction paths for LaNiO3 reduction, which were distinguishable through the relative sizes of the first (α) and second (β) reduction peak. However, both pathways eventually led to solid phase crystallization, forming Ni supported on La2O3 [17]. For the crystalline 0K LNO, whereby the only phase present exists as a rhombohedral LaNiO3 perovskite, it can be seen that the β peak is approximately two times the size of the α peak. The pathway likely followed a two-step method, whereby the α peak indicates the reduction of Ni3+ to Ni2+, and the β peak indicates the exsolution of Ni onto the perovskite surface through the reduction of Ni2+ to Ni0, forming an active Ni site, which has been shown to participate in CO2 methanation routes [19,32].
Figure 2.
H2 TPR profiles of the 0–30K LNO samples.
In the case of 10–30K LNO, a similar reduction pathway was proposed. However, slight changes in the peak profiles were seen, likely as a result of an increase in structural defects as K was introduced. It can be seen that the α peak initially shifted toward higher temperatures, the extent of which may be directly influenced by the amount of K surface-based species. The effect tended to reduce for the 20–30K LNO samples as the peaks shifted back towards lower temperatures. This suggests that surface K species may increase the stability of Ni3+, as seen by their increased resistance to reducibility [17]. Conversely, the Ni2+ to Ni0 reduction peak shifted slightly to lower temperatures as K concentrations in the bulk catalyst increased, which may result from perovskite lattice distortion due to changes in the A-site ionic radius. Additionally, a tailing peak, which developed on the left side of the β peak in the 20K LNO sample, increasing into a shoulder on the 30K LNO sample, may be ascribed to the reduction of NiO, which may not have entered the perovskite after substitution. The increasing NiO crystal size indicated by the proportionally larger NiO XRD diffraction peaks (Figure 1) may create a slightly more easily reduced Ni2+ phase, which can be seen by the increasing shoulder peak at lower temperatures in these samples. The decreasing area of the α and β peaks in the 10–30K LNO samples correlated to the presence of less reducible Ni species once K was incorporated into the structure and surface. This may be ascribed to K hindering the abundance of active Ni species that participate in redox reactions, and possibly influenced hydrogen activation on the catalyst [20].
TEM images of the 20K LNO sample shown in Figure 3a–c reveal NiO particles were formed on the perovskite surface during synthesis. There appears to be an area of high contrast surrounding the Ni species, which may possibly be ascribed to K species on the catalyst surface, which are likely in oxide form [33]. EDS mapping of the 20K LNO sample, as shown in Figure 3d–h, further confirms the presence of surface K species, in conjunction with La, Ni, and O species also present on the catalyst surface. When comparing 0K LNO and 20K LNO after the reduction treatment, prior to performance evaluation, TEM images demonstrated a significant increase in particle size and decrease in uniform distribution of reduced Ni nanoparticles in the 20K LNO sample relative to the 0K LNO sample (Figure S2). This effect was likely due to the reduction of bulky NiO species previously formed on the 20K LNO surface during synthesis, as La was replaced by K cations.
Figure 3.
(a–c) TEM images of the fresh 20K LNO catalyst and (d–h) EDS mapping of O, Ni, La, and K on the surface of the sample.
XPS analysis was used to analyze the changing chemical properties of the samples as K ions were substituted into the perovskite structure. Figure 4a depicts two main deconvoluted peaks of K, the first of which at approximately 292.6 eV corresponded to the 2p3/2 orbital, with an accompanying 2p1/2 orbital peak at approximately 295.4 eV. These peaks were shown to correspond to a K–O group, which, in our case, likely consisted of K2O which formed through the calcination of K surface species in air [33,34,35]. Observation showed a shift to higher binding energies for both of these peaks to 293.0 eV and 295.8 eV in the 30K LNO sample for the 2p3/2 and 2p1/2 orbitals, respectively, indicating oxidation of the surface K cation sites as more K was substituted into the perovskite structure. Furthermore, the decreasing intensity of these peaks in the 30K LNO sample was a consequence of the decreasing amount of surface K, shown in Table 1.
Figure 4.
XPS profiles of (a) K 2p, (b) Ni 2p, and (c) La 3d of 0–30 K LNO samples.
For the Ni 2p orbitals shown in Figure 4b, the 0K LNO sample exhibited two main peaks at approximately 855.9 eV and 873.0 eV, which were previously reported to correspond to the 2p3/2 and 2p1/2 orbitals of Ni3+ in the perovskite structure, respectively [36]. It can be seen that these peaks shifted towards lower binding energies in the 10K and 20K LNO samples, indicating that Ni species were being reduced, the electron source of which likely originated from both surface and bulk K species. Further evidence of the reduction effect was seen through a shoulder peak at approximately 853.9 eV in the 0K LNO sample, which increased in intensity for the 10K and 20K LNO samples, indicative of the formation of Ni2+ species. The shoulder, however, became much more pronounced, forming a full peak in the 30K LNO sample, confirming the presence of the Ni2+ species facilitated by electron donation from K–O species. Upon reduction during the reaction, it was seen that all Ni3+ species were fully reduced to Ni0, which as previously mentioned, formed an active species for CO2 hydrogenation (Figure S3 (reduced sample Ni 2p XPS spectra)).
The La 3d region was also examined and deconvoluted into two main doublets corresponding to La2O3 and La(OH)3, whose spectra exhibited both core and satellite peaks. Peak overlap between La(OH)3 and La2(CO3)3 indicated that there was also La2(CO3)3 present when considering carbonate species present in the C1s spectra (Figure S4). Figure 4c shows the deconvolution of the La 3d5/2 orbital where the La2O3 core level and satellite peak were located at 833.2 eV and 837.5 eV (ΔE = 4.3 eV), while La(OH)3 core level and satellite peaks were found to be at 834.9 eV and 838.9 eV (ΔE = 4.0 eV), respectively [37]. The peaks were observed to shift towards lower binding energies; however, as the amount of K substitution increased, the peaks drifted back towards slightly higher energies. It was proposed that the electron source of the La2O3 and La(OH)3 reduction originated primarily from surface rather than bulk K species, and, therefore, the effect slightly decreased as the surface K concentration reduced to 3.56 at. % in the 30K LNO sample. Substituted K, in contrast to its effects on Ni, is believed to have minimal or negligible effect on the La species binding energies (electron densities) as K within the perovskite structure were not within the first shell vicinity of La, i.e., not having direct interaction with La. Despite the slight drift back to higher binding energies, the core level binding energies for La2O3 and La(OH)3 in the 30K LNO sample still decreased overall by 0.4 eV and 0.3 eV, respectively, compared to 0K LNO, and may have effected intermediate bond stability during the reaction.
2.2. Catalytic Performance
2.2.1. Carbon Dioxide Conversion and Reaction Selectivity
The catalytic activity was observed at atmospheric pressure, over a temperature range that yielded from 0% CO2 conversion to 100%, based on catalysts which were reduced in a flow of H2 (25 mL min−1) at 500 °C for 2 h. The reduction method was used to promote the formation of Ni0, as Ni0 is known to be an active species in both methanation and rWGS reactions [19,20]. The results from the catalytic activity test are shown in Figure 5 where CO2 conversion is displayed as a function of temperature (light off curves). The highest performing catalyst, 0K LNO, exhibited CO2 conversion with T50% (temperature at which 50% of CO2 is converted) of 240 °C, and T100% at 270 °C, a performance comparable to some of the highest performing catalysts for the methanation reaction under similar reaction conditions [1]. For the K-substituted LNO catalysts, a trend in decreasing CO2 conversion at a given temperature was identified and can be attributed to the incorporation of K. For the 10K, 20K, and 30K LNO catalysts, the T50% temperatures are 290 °C, 306 °C, and 316 °C, respectively. The decrease in catalytic activity can be explained as a result of lesser stable adsorbed CO2 on surface K, (shown to be in an intermediate K2CO3 state under in situ conditions), and the hindrance of activated H spill over from Ni species to the adsorbed CO2 that K species may cause [33]. Furthermore, when comparing 10K LNO and 30K LNO in Figure 4c, where fewer electrons from K are transferred to La sites, the relatively lower electron density may decrease CO2 adsorption and H activation rates on the catalyst. This effect, combined with a slight decrease in surface area shown in Table 1, may further lower overall catalytic activity. Moreover, the poor Ni distribution in the K-substituted samples and increased particle size (Figure S2) may also contribute to their decrease in CO2 conversion rates [38]. Despite this, stability tests showed that for both 0K LNO and 20K LNO catalysts, over a period of 5 h, reaction activity and selectivity remained constant (Figure S5).
Figure 5.
CO2 conversion as a function of temperature for the 0–30K LNO samples.
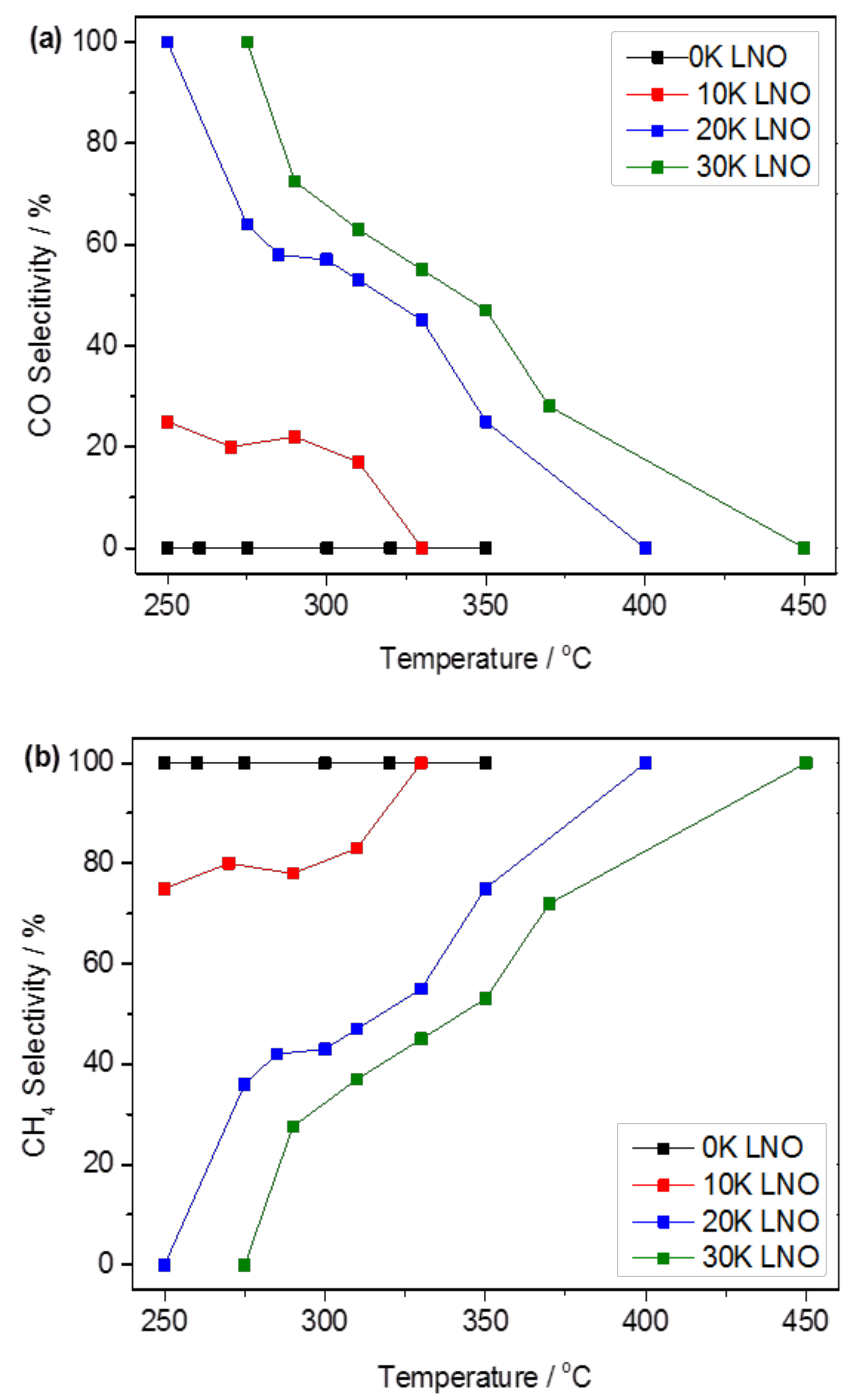
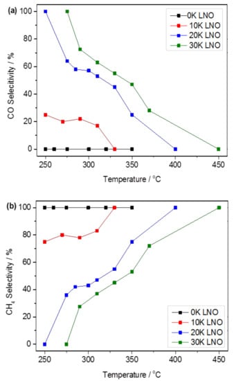
Reaction selectivity for all catalysts was observed to remain between the methanation of CO2 (CH4 production) and the reverse water gas shift (CO production), as seen in Figure 6. The 0K LNO can be seen as a high performing catalyst for the Sabatier methanation reaction, with 100% selectivity towards the methanation reaction for all temperatures. The increasing incorporation of K species within the perovskite structure can be used to tune the selectivity from 100% methanation at a given temperature, to also include CO in the product stream depending on catalyst and operating temperature, as seen in Figure 6. The reaction tuning can also be seen in Figure 7, which demonstrated the selectivity of all catalysts when overall CO2 conversion was at 50%, showing that the changes in selectivity as a result of the addition of K were independent of overall conversion between the catalysts.
Figure 6.
(a) Reaction selectivity towards the rWGS reaction and (b) reaction selectivity towards Sabatier methanation for all samples for 0–100% conversion.
Figure 7.
Selectivity towards the rWGS at T50%.
The selectivity of transition metal catalysts is largely influenced by the metal-support interaction, as well as the adsorption and stability of intermediate species on the support, which determine the most thermodynamically favorable reaction pathway [39]. For example, it has been reported that Ni/Ce-Zr-O-supported catalysts can exhibit up to 100% selectivity towards the rWGS reaction pathway [40], while Ni/CeO2 can attain 100% selectivity towards CO2 methanation [41]. Other transition metal catalysts also show a similar phenomenon with varying reaction selectivity [42,43,44]. Therefore, it is likely that, by incorporating K species, support interactions with the Ni active sites as well as the intermediate species stability on the support can be systematically tuned. This apparent shift in selectivity in K-substituted samples relative to 0K LNO may be partially contributed to by the increase in size of Ni particles (Figure S2). However, to fully understand the reasons for selectivity towards the rWGS, investigation into the role of K substitution was undertaken for the 0K LNO and 20K LNO samples.
2.2.2. Role of Potassium Substitution in Changing Reaction Selectivity
CO temperature programmed desorption (CO-TPD) was undertaken to understand the nature of CO adsorption/desorption equilibrium on the catalyst surface. Figure 8a outlines the CO desorption results of the 0K and 20K samples. It is clear that there were a number of CO desorption features that were identifiable for the two samples. The first peak for both samples (labelled as α at 264 °C in 0K LNO and 164 °C in 20K LNO) corresponded to CO species adsorbed on Ni2+ [45]. It is likely that surface adsorption also occurred on the K2O surface species for 20K LNO, forming a range of intermediates such as carbonates and hydroxycarbonates, resulting in the shift of the first CO desorption peak to a lower temperature with lower intensity, indicating reduced CO uptake and stability. A second peak, present clearly only for 0K LNO at 535 °C (labelled as β), may be indicative of CO species adsorbed on Ni0 particles [45]. Although the formation of Ni carbonyl complexes may also occur, these complexes are easily removed at low temperature <100 °C and do not form a significant part of the desorption profile [46]. The lack of obvious peak in this region for the 20K LNO sample was further evidence of the poorer stability and interaction of adsorbed CO on this sample. Two sharp desorption peaks in the 20K LNO sample were present in the region of 600 °C to 900 °C. These peaks may derive from the thermal decomposition of unstable K2CO3 species and have relatively high intensity due to the presence of other decomposition products, such as CO2, KOH, and KHCO3 [47].
Figure 8.
(a) CO-TPD profiles of the 0K and 20K LNO samples. (b) C1s spectra of the spent 0K and 20K LNO samples after a 2-h reduction step and 5-h reaction period at 300 °C. (c) XPS valence band spectra of the same spent samples.
In the presence of K2O, it was shown by Maneerung et al. that CO2 adsorption may take place on K2O surface species, leading to the formation of K2CO3 [33]. This intermediate was shown to be inherently more unstable when compared to La2O2CO3 intermediates, which form as CO2 is adsorbed on the La surface species. Therefore, when taken with the CO-TPD, it was proposed that the K incorporation is more likely to promote the formation of less stable C-based intermediates, which may preferentially desorb when compared to C-based intermediates in the analogous 0K LNO sample. Traditionally, one of the CO2 methanation mechanisms has been attributed to CO2 adsorption and dissociation to form CO (via the rWGS), followed by CO hydrogenation [19,48,49]. It is possible that, in the presence of K species on the surface of our catalysts, these CO intermediates avoided complete hydrogenation before desorbing from the surface, forming CO instead of CH4. Consequently, K incorporation and the associated surface species were able to tune reaction selectivity when comparing pristine LNO and K-substituted LNO samples, as seen in Figure 7.
Further evidence of C-based intermediate stability can be seen in Figure 8b, which provides the C1s XPS spectra of the spent 20K and 0K LNO samples, after a two-hour reduction in H2 and five-hour reaction step. A peak with binding energy 289.2 eV (indicated with an asterisk) can be observed in the 0K LNO sample, corresponding to the formation of C=O species adsorbed on the catalyst surface [50]. In the case of the 20K LNO sample, the absence of this peak may indicate the evacuation of carbonate species during the reaction due to instability induced by the K cations forming carbonates or hydroxycarbonates, indicative of the shifting reaction selectivity of the K-substituted samples through promotion of rWGS routes. A similar phenomenon was observed for the C-O peak at 286.5 eV [50], which decreased in intensity with K incorporation (20K LNO), further alluding to the decrease in carbon-oxide species on the 20K LNO sample due to their increased instability during reaction.
In support of the role of K in shifting the reaction selectivity towards rWGS routes due to premature desorption of CO intermediates, analysis of the valence band spectra was undertaken in the spent samples, as shown in Figure 8c. It is apparent that at ca. 5 eV there was an increase in peak intensity for the 0K LNO when compared to the 20K LNO spent samples. This can be attributed to the presence of CO adsorbed on the catalyst surface due to overlapping of the CO valence band with the overall valence electronic structure of the catalyst surface, indicative of the heightened C-intermediate stabilities in the absence of K surface species [51]. This effect is demonstrated in Figure S6, which illustrates a proposed mechanism in which K2O species promote the instability of C-based intermediates, based on previous studies [33].
XPS analysis of the spent catalysts (Figure S7) showed the binding energy of the K 2p peak in the 20K sample to be at 292.9 eV with a split-orbit peak at 295.6 eV, compared to 292.6 eV and 295.4 eV, respectively, in the fresh 20K LNO sample. This indicates that as Ni species were reduced, K species were further oxidized, suggesting that K played the role of an electron source for this reduction step. Consequently, the oxidation state of K may be an underlying reason behind the shifting selectivity due to changes in intermediate stability [52]. The proposed K to Ni electronic pathway agrees with the work function-driven electron transfer mechanism observed in our earlier works on bimetallic alloys [53,54], resulting in the decreased H2 TPR peak for the reduction of Ni2+ into Ni0.
3. Materials and Methods
3.1. Catalyst Preparation
A citrate method similar to that described by Irusta et al. [55] was used to create the nominal chemical compositions of LaNiO3, La0.9K0.1NiO3, La0.8K0.2NiO3, and La0.7K0.3NiO3 catalyst samples. The samples were denoted as 0K LNO, 10K LNO, 20K LNO, and 30K LNO, respectively. Each of the metal salts, La(NO3)3. 6H2O (>99%, Sigma-Aldrich®, St. Louis, MO, USA), Ni(NO3)2. 6H2O (>99%, Ajax Finechem, Scoresby, VIC, Australia), and KNO3 (>99%, Sigma-Aldrich®) were dissolved in stoichiometric amounts in 4 mL of distilled water (Milli-Q, 18 mΩ cm). Citric acid (>99%, Sigma Aldrich ®) was added in a molar ratio such that for every one mole of the metal ion dissolved in solution two moles of citric acid were added. The dissolved metal ion solution was magnetically stirred for one hour at ambient temperature, forming a homogenous mixture. The solution was dried at 120 °C to give a porous gel, which was crushed to obtain a homogenous powder. The as-prepared solid was calcined in air for 3 h at 750 °C, being heated at a rate of 5 °C min−1.
3.2. Catalyst Characterization
The crystallinity of each sample was analyzed by X-ray diffraction (XRD) using a Philips PANalytical Scherrer Diffractometer (λ= 0.154 nm, Amsterdam, Netherlands). Scattering intensity was recorded at a range of 8° < 2θ < 90° with a 2θ step of 0.03° and a time of 2 s per step. Hydrogen temperature programmed reduction (H2 TPR) was performed using a Micromeritic Autochem II 2920 (Norcross, GA, USA) equipped with a thermal conductivity detector (TCD). Approximately 50 mg of the sample were first heated to 150 °C at a rate of 10 °C min−1 in 40 mL min−1 of argon, and held for 30 min to remove moisture. The temperature was then reduced to 50 °C, where the reducing gas was introduced at 40 mL min−1 (10% H2 in Ar). The sample was then heated to 900 °C at 10 °C min−1, while H2 consumed passing through the catalyst bed was measured through the TCD. CO temperature programmed desorption (CO-TPD) was also undertaken on the same apparatus. 50 mg of the fresh samples were initially treated with 30 mL min−1 of He where it was heated to 150 °C, at a rate of 10 °C min−1, and held for 30 min to remove moisture. The sample was then cooled to 50 °C where CO was introduced at a flow rate of 20 mL min−1 for 30 min, followed by He at a flow rate of 20 mL min−1 for 60 min. The temperature was then increased to 900 °C at a rate of 10 °C min−1 while any desorbed CO in the effluent gas was detected through the TCD. BET surface area, pore volume, and pore size of the samples were measured using N2 physisorption on a Micrometric Tristar 3030. Samples were pretreated under vacuum at 150 °C for 3 h to remove impurities. X-ray photoelectron spectroscopy (XPS) analysis was undertaken using a Thermo Fisher model ESCALAB250Xi (Waltham, MA, USA) and was used to probe the chemical states of various surface species with a wave energy (Al Kα) of 1486.68 eV and C1s reference of 284.8 eV. For the spectra of the spent samples, the samples were kept away from ambient oxygen by flushing the reactor with N2, prior to storage in sealed N2-purged vials before measurment. Morphology of the fresh catalyst samples was characterized using field-emission high resolution transmission electron microscopy (FE-HRTEM) on a Philips CM200 microscope (Amsterdam, Netherlands). Surface composition was analyzed using a high-angle annular dark-field scanning transmission electron microscope energy-dispersive X-ray spectroscopy (HAADF-STEM-EDS) with a JEOL F200 STEM (Tokyo, Japan). Chemical composition of the catalysts was determined through inductively coupled plasma optical emission spectrometry (ICP-OES) analysis and was undertaken on fresh samples that were digested in 1 part HNO3 (70% w/w) and 3 parts HCl (36% w/w).
3.3. Catalytic Apparatus and Reaction
The performance of the catalysts was evaluated on a rig consisting of a quartz tube (6 mm inner diameter) acting as a fixed-bed micro reactor (see Figure S8 for a detailed schematic). Then, 50 mg of the sample was loaded on a bed of quartz wool. The samples were first reduced for 2 h at 500 °C in a 25 mL min−1 stream of H2 gas. The temperature was then lowered to 200 °C where N2 at 13 mL min−1 and CO2 at 2 mL min−1 were introduced and stabilized for 45 min, giving a total gas hourly space velocity (GHSV) of 48,000 mL (g h)−1. The reactant gas was passed through the catalyst, with the exiting gas passing through a gas chromatograph (Young Lin-6100, Gyeonggi-do, Korea) containing a Carboxen-1010 PLOT column, equipped with a thermal conductivity detector (TCD). The outlet gas composition was analyzed over a temperature range which allowed for 0–100% CO2 conversion of all catalysts.
4. Conclusions
The findings demonstrated the capacity for facile tuning of the selectivity in high-performing LaNiO3 methanation catalysts towards the rWGS reaction. Tunable selectivity can potentially be beneficial for downstream hydrocarbon reforming while valorizining CO2, providing a clear motivation for this method of rational catalyst design. Incorporating K into the catalytic structure produced K surface species, which were proposed to be the main contributor to the effect, by promoting the formation of thermally unstable C-intermediates, which potentially escape hydrogenation and instead dissociate via the rWGS. The effect was demonstrated by comparing CO interaction with the catalysts, whereby 20K LNO samples showed less CO adsorption uptake and increased instability. Analysis of spent catalysts alluded to the presence of C-O and C=O based species, which had desorbed from the K-substituted samples while remaining for the 0K LNO samples, further evidence of the increased instability of C-intermediates in K-substituted samples. The results were confirmed by analyzing the valence band spectra of the samples, which showed a clear increase in binding energy intensity at 5 eV for the 0K LNO sample, corresponding to the presence of CO residue.
Supplementary Materials
The following are available online at https://www.mdpi.com/2073-4344/10/4/409/s1. Figure S1: N2 adsorption and desorption isotherms. Figure S2: Reduced sample TEM images. Figure S3: Spent sample Ni 2p XPS spectra. Figure S4: C1s XPS spectra. Figure S5: Catalyst activity and selectivity stability tests. Figure S6: Proposed catalytic mechanism on K-substituted LNO samples. Figure S7: Spent sample K 2p XPS spectra. Figure S8: Process flow diagram of reactor setup used for the catalytic evaluation.
Author Contributions
C.T. undertook the experiments, analysed the results, and wrote the manuscript. H.A., J.S., and R.A. conceived the experiments and assisted with the results analyses. Y.W., C.Y.T., and, R.J.W. assisted with experimental work, results analyses, and writing the manuscript. All authors have read and agreed to the published version of the manuscript.
Funding
This research was funded by the Australian Research Council under the Laureate Fellowship Scheme [FL140100081].
Acknowledgments
The authors acknowledge the use of facilities within the UNSW Mark Wainwright Analytical Centre.
Conflicts of Interest
The authors declare no conflict of interest.
References
- Aziz, M.A.A.; Jalil, A.A.; Triwahyono, S.; Ahmad, A. CO2 methanation over heterogeneous catalysts: Recent progress and future prospects. Green Chem. 2015, 17, 2647–2663. [Google Scholar] [CrossRef]
- Song, C. Global challenges and strategies for control, conversion and utilization of CO2 for sustainable development involving energy, catalysis, adsorption and chemical processing. Catal. Today 2006, 115, 2–32. [Google Scholar] [CrossRef]
- Hunt, A.J.; Sin, E.H.K.; Marriott, R.; Clark, J.H. Generation, capture, and utilization of industrial carbon dioxide. ChemSusChem 2010, 3, 306–322. [Google Scholar] [CrossRef] [PubMed]
- Centi, G.; Perathoner, S. Opportunities and prospects in the chemical recycling of carbon dioxide to fuels. Catal. Today 2009, 148, 191–205. [Google Scholar] [CrossRef]
- Daza, Y.A.; Kuhn, J.N. CO2 conversion by reverse water gas shift catalysis: Comparison of catalysts, mechanisms and their consequences for CO2 conversion to liquid fuels. RSC Adv. 2016, 6, 49675–49691. [Google Scholar] [CrossRef]
- Xu, J.; Froment, G.F. Methane steam reforming, methanation and water-gas shift: I. Intrinsic kinetics. AIChE J. 1989, 35, 88–96. [Google Scholar] [CrossRef]
- Ohnishi, R.; Liu, S.; Dong, Q.; Wang, L.; Ichikawa, M. Catalytic dehydrocondensation of methane with CO and CO2 toward benzene and naphthalene on Mo/HZSM-5 and Fe/Co-Modified Mo/HZSM-5. J. Catal. 1999, 182, 92–103. [Google Scholar] [CrossRef]
- Wang, L.; Ohnishi, R.; Ichikawa, M. Selective dehydroaromatization of methane toward benzene on Re/HZSM-5 catalysts and effects of CO/CO2 Addition. J. Catal. 2000, 190, 276–283. [Google Scholar] [CrossRef]
- Liu, Z.; Nutt, M.A.; Iglesia, E. The effects of CO2, CO and H2 Co-reactants on methane reactions catalyzed by Mo/H-ZSM-5. Catal. Lett. 2002, 81, 271–279. [Google Scholar] [CrossRef]
- Arandiyan, H.; Wang, Y.; Scott, J.; Mesgari, S.; Dai, H.; Amal, R. In situ exsolution of bimetallic Rh–Ni nanoalloys: A highly efficient catalyst for CO2 methanation. ACS Appl. Mater. Interfaces 2018, 10, 16352–16357. [Google Scholar] [CrossRef]
- Arandiyan, H.; Wang, Y.; Sun, H.; Rezaei, M.; Dai, H. Ordered meso- and macroporous perovskite oxide catalysts for emerging applications. Chem. Commun. 2018, 54, 6484–6502. [Google Scholar] [CrossRef] [PubMed]
- Kim, C.H.; Qi, G.; Dahlberg, K.; Li, W. Strontium-doped perovskites rival platinum catalysts for treating NOx in simulated diesel exhaust. Science 2010, 327, 1624–1627. [Google Scholar] [CrossRef] [PubMed]
- Wang, Y.; Arandiyan, H.; Scott, J.; Akia, M.; Dai, H.; Deng, J.; Aguey-Zinsou, K.-F.; Amal, R. High performance Au–Pd supported on 3D hybrid strontium-substituted lanthanum manganite perovskite catalyst for methane combustion. ACS Catal. 2016, 6, 6935–6947. [Google Scholar] [CrossRef]
- Fukuhara, C.; Hayakawa, K.; Suzuki, Y.; Kawasaki, W.; Watanabe, R. A novel nickel-based structured catalyst for CO2 methanation: A honeycomb-type Ni/CeO2 catalyst to transform greenhouse gas into useful resources. Appl. Catal. A 2017, 532, 12–18. [Google Scholar] [CrossRef]
- Ashok, J.; Ang, M.L.; Kawi, S. Enhanced activity of CO2 methanation over Ni/CeO2-ZrO2 catalysts: Influence of preparation methods. Catal. Today 2017, 281, 304–311. [Google Scholar] [CrossRef]
- Abdolrahmani, M.; Parvari, M.; Habibpoor, M. Effect of copper substitution and preparation methods on the LaMnO3±δ structure and catalysis of methane combustion and CO oxidation. Chin. J. Catal. 2010, 31, 394–403. [Google Scholar] [CrossRef]
- Singh, S.; Zubenko, D.; Rosen, B.A. Influence of LaNiO3 shape on its solid-phase crystallization into coke-free reforming catalysts. ACS Catal. 2016, 6, 4199–4205. [Google Scholar] [CrossRef]
- Fierro, J.L.G.; Tascón, J.M.D.; Tejuca, L.G. Surface properties of LaNiO3: Kinetic studies of reduction and of oxygen adsorption. J. Catal. 1985, 93, 83–91. [Google Scholar] [CrossRef]
- Weatherbee, G.D.; Bartholomew, C.H. Hydrogenation of CO2 on group VIII metals: II. Kinetics and mechanism of CO2 hydrogenation on nickel. J. Catal. 1982, 77, 460–472. [Google Scholar] [CrossRef]
- Lin, W.; Stocker, K.M.; Schatz, G.C. Mechanisms of hydrogen-assisted CO2 reduction on nickel. J. Am. Chem. Soc. 2017, 139, 4663–4666. [Google Scholar] [CrossRef]
- Ding, Y.; Wang, S.; Zhang, L.; Chen, Z.; Wang, M.; Wang, S. A facile method to promote LaMnO3 perovskite catalyst for combustion of methane. Catal. Commun. 2017, 97, 88–92. [Google Scholar] [CrossRef]
- Chen, D.; Chen, C.; Baiyee, Z.M.; Shao, Z.; Ciucci, F. Nonstoichiometric oxides as low-cost and highly-efficient oxygen reduction/evolution catalysts for low-temperature electrochemical devices. Chem. Rev. 2015, 115, 9869–9921. [Google Scholar] [CrossRef] [PubMed]
- Liang, B.; Duan, H.; Su, X.; Chen, X.; Huang, Y.; Chen, X.; Delgado, J.J.; Zhang, T. Promoting role of potassium in the reverse water gas shift reaction on Pt/mullite catalyst. Catal. Today 2017, 281 Pt 2, 319–326. [Google Scholar] [CrossRef]
- Yang, X.L.; Su, X.; Chen, X.D.; Duan, H.M.; Liang, B.L.; Liu, Q.G.; Liu, X.Y.; Ren, Y.J.; Huang, Y.Q.; Zhang, T. Promotion effects of potassium on the activity and selectivity of Pt/zeolite catalysts for reverse water gas shift reaction. Appl. Catal. B 2017, 216, 95–105. [Google Scholar] [CrossRef]
- Amoyal, M.; Vidruk-Nehemya, R.; Landau, M.V.; Herskowitz, M. Effect of potassium on the active phases of Fe catalysts for carbon dioxide conversion to liquid fuels through hydrogenation. J. Catal. 2017, 348, 29–39. [Google Scholar] [CrossRef]
- Bansode, A.; Tidona, B.; von Rohr, P.R.; Urakawa, A. Impact of K and Ba promoters on CO2 hydrogenation over Cu/Al2O3 catalysts at high pressure. Catal. Sci. Technol. 2013, 3, 767–778. [Google Scholar] [CrossRef]
- Xu, J.; Liu, J.; Zhao, Z.; Xu, C.; Zheng, J.; Duan, A.; Jiang, G. Easy synthesis of three-dimensionally ordered macroporous La1−xKxCoO3 catalysts and their high activities for the catalytic combustion of soot. J. Catal. 2011, 282, 1–12. [Google Scholar] [CrossRef]
- Feng, N.; Chen, C.; Meng, J.; Wu, Y.; Liu, G.; Wang, L.; Wan, H.; Guan, G. Facile synthesis of three-dimensionally ordered macroporous silicon-doped La0.8K0.2CoO3 perovskite catalysts for soot combustion. Catal. Sci. Technol. 2016, 6, 7718–7728. [Google Scholar] [CrossRef]
- de Lima, S.M.; da Silva, A.M.; da Costa, L.O.O.; Assaf, J.M.; Mattos, L.V.; Sarkari, R.; Venugopal, A.; Noronha, F.B. Hydrogen production through oxidative steam reforming of ethanol over Ni-based catalysts derived from La1−xCexNiO3 perovskite-type oxides. Appl. Catal. B 2012, 121, 1–9. [Google Scholar] [CrossRef]
- Silva, P.P.; Ferreira, R.A.R.; Noronha, F.B.; Hori, C.E. Hydrogen production from steam and oxidative steam reforming of liquefied petroleum gas over cerium and strontium doped LaNiO3 catalysts. Catal. Today 2017, 289, 211–221. [Google Scholar] [CrossRef]
- Seaton, N.A. Determination of the connectivity of porous solids from nitrogen sorption measurements. Chem. Eng. Sci. 1991, 46, 1895–1909. [Google Scholar] [CrossRef]
- Zhen, W.; Li, B.; Lu, G.; Ma, J. Enhancing catalytic activity and stability for CO2 methanation on Ni-Ru/Al2O3 via modulating impregnation sequence and controlling surface active species. RSC Adv. 2014, 4, 16472–16479. [Google Scholar] [CrossRef]
- Maneerung, T.; Hidajat, K.; Kawi, S. K-doped LaNiO3 perovskite for high-temperature water-gas shift of reformate gas: Role of potassium on suppressing methanation. Int. J. Hydrogen Energy 2017, 42, 9840–9857. [Google Scholar] [CrossRef]
- Miyakoshi, A.; Ueno, A.; Ichikawa, M. XPS and TPD characterization of manganese-substituted iron–potassium oxide catalysts which are selective for dehydrogenation of ethylbenzene into styrene. Appl. Catal. A 2001, 219, 249–258. [Google Scholar] [CrossRef]
- Sawyer, R.; Nesbitt, H.W.; Secco, R.A. High resolution X-ray Photoelectron Spectroscopy (XPS) study of K2O–SiO2 glasses: Evidence for three types of O and at least two types of Si. J. Non-Cryst. Solids 2012, 358, 290–302. [Google Scholar] [CrossRef]
- Misra, D.; Kundu, T.K. Transport properties and metal–insulator transition in oxygen deficient LaNiO3: A density functional theory study. Mater. Res. Express 2016, 3, 095701. [Google Scholar] [CrossRef]
- Mickevičius, S.; Grebinskij, S.; Bondarenka, V.; Vengalis, B.; Šliužienė, K.; Orlowski, B.A.; Osinniy, V.; Drube, W. Investigation of epitaxial LaNiO3−x thin films by high-energy XPS. J. Alloys Compd. 2006, 423, 107–111. [Google Scholar] [CrossRef]
- Kesavan, J.K.; Luisetto, I.; Tuti, S.; Meneghini, C.; Iucci, G.; Battocchio, C.; Mobilio, S.; Casciardi, S.; Sisto, R. Nickel supported on YSZ: The effect of Ni particle size on the catalytic activity for CO2 methanation. J. CO2 Util. 2018, 23, 200–211. [Google Scholar] [CrossRef]
- Su, X.; Yang, X.; Zhao, B.; Huang, Y. Designing of highly selective and high-temperature endurable RWGS heterogeneous catalysts: Recent advances and the future directions. J. Energy Chem. 2017, 26, 854–867. [Google Scholar] [CrossRef]
- Sun, F.-m.; Yan, C.-f.; Wang, Z.-d.; Guo, C.-q.; Huang, S.-l. Ni/Ce–Zr–O catalyst for high CO2 conversion during reverse water gas shift reaction (RWGS). Int. J. Hydrogen Energy 2015, 40, 15985–15993. [Google Scholar] [CrossRef]
- Tada, S.; Shimizu, T.; Kameyama, H.; Haneda, T.; Kikuchi, R. Ni/CeO2 catalysts with high CO2 methanation activity and high CH4 selectivity at low temperatures. Int. J. Hydrogen Energy 2012, 37, 5527–5531. [Google Scholar] [CrossRef]
- Ullah, S.; Lovell, E.C.; Wong, R.J.; Tan, T.H.; Scott, J.A.; Amal, R. Light enhanced CO2 reduction to CH4 using non-precious transition metal catalysts. ACS Sustain. Chem. Eng. 2020, 8, 5056–5066. [Google Scholar] [CrossRef]
- García-García, I.; Lovell, E.C.; Wong, R.J.; Barrio, V.L.; Scott, J.; Cambra, J.F.; Amal, R. Silver-Based Plasmonic Catalysts for Carbon Dioxide Reduction. ACS Sustain. Chem. Eng. 2020, 8, 1879–1887. [Google Scholar] [CrossRef]
- Jantarang, S.; Lovell, E.C.; Tan, T.H.; Scott, J.; Amal, R. Role of support in photothermal carbon dioxide hydrogenation catalysed by Ni/CexTiyO2. Prog. Nat. Sci. Mat. Int. 2018, 28, 168–177. [Google Scholar] [CrossRef]
- Tejuca, L.G.; Fierro, J.L.G. XPS and TPD probe techniques for the study of LaNiO3 perovskite oxide. Thermochim. Acta 1989, 147, 361–375. [Google Scholar] [CrossRef]
- Day, J.P.; Pearson, R.G.; Basolo, F. Kinetics and mechanism of the thermal decomposition of nickel tetracarbonyl. J. Am. Chem. Soc. 1968, 90, 6933–6938. [Google Scholar] [CrossRef]
- Lehman, R.L.; Gentry, J.S.; Glumac, N.G. Thermal stability of potassium carbonate near its melting point. Thermochim. Acta 1998, 316, 1–9. [Google Scholar] [CrossRef]
- Zagli, A.E.; Falconer, J.L.; Keenan, C.A. Methanation on supported nickel catalysts using temperature programmed heating. J. Catal. 1979, 56, 453–467. [Google Scholar] [CrossRef]
- Peebles, D.E.; Goodman, D.W.; White, J.M. Methanation of carbon dioxide on nickel(100) and the effects of surface modifiers. J. Phys. Chem. 1983, 87, 4378–4387. [Google Scholar] [CrossRef]
- Dwivedi, N.; Yeo, R.J.; Satyanarayana, N.; Kundu, S.; Tripathy, S.; Bhatia, C.S. Understanding the role of nitrogen in plasma-assisted surface modification of magnetic recording media with and without ultrathin carbon overcoats. Sci. Rep. 2015, 5, 7772. [Google Scholar] [CrossRef]
- Glatzel, P.; Singh, J.; Kvashnina, K.O.; van Bokhoven, J.A. In Situ Characterization of the 5d Density of States of Pt Nanoparticles upon Adsorption of CO. J. Am. Chem. Soc. 2010, 132, 2555–2557. [Google Scholar] [CrossRef]
- Chen, C.-S.; Cheng, W.-H.; Lin, S.-S. Mechanism of CO formation in reverse water–gas shift reaction over Cu/Al2O3 catalyst. Catal. Lett. 2000, 68, 45–48. [Google Scholar] [CrossRef]
- Wong Roong, J.; Tsounis, C.; Scott, J.; Low Gary, K.C.; Amal, R. Promoting catalytic oxygen activation by localized surface plasmon resonance: Effect of visible light pre-treatment and bimetallic interactions. ChemCatChem 2017, 10, 287–295. [Google Scholar] [CrossRef]
- Wong, R.J.; Scott, J.; Kappen, P.; Low, G.K.C.; Hart, J.N.; Amal, R. Enhancing bimetallic synergy with light: The effect of UV light pre-treatment on catalytic oxygen activation by bimetallic Au–Pt nanoparticles on a TiO2 support. Catal. Sci. Technol. 2017, 7, 4792–4805. [Google Scholar] [CrossRef]
- Irusta, S.; Pina, M.P.; Menéndez, M.; Santamarı́a, J. Catalytic combustion of volatile organic compounds over La-based perovskites. J. Catal. 1998, 179, 400–412. [Google Scholar] [CrossRef]
© 2020 by the authors. Licensee MDPI, Basel, Switzerland. This article is an open access article distributed under the terms and conditions of the Creative Commons Attribution (CC BY) license (http://creativecommons.org/licenses/by/4.0/).







