NOM (HA and FA) Reduction in Water Using Nano Titanium Dioxide Photocatalysts (P25 and P90) and Membranes
Abstract
1. Introduction
2. Results and Discussion
2.1. Adsorption of FA and HA on Nano Titanium Dioxides
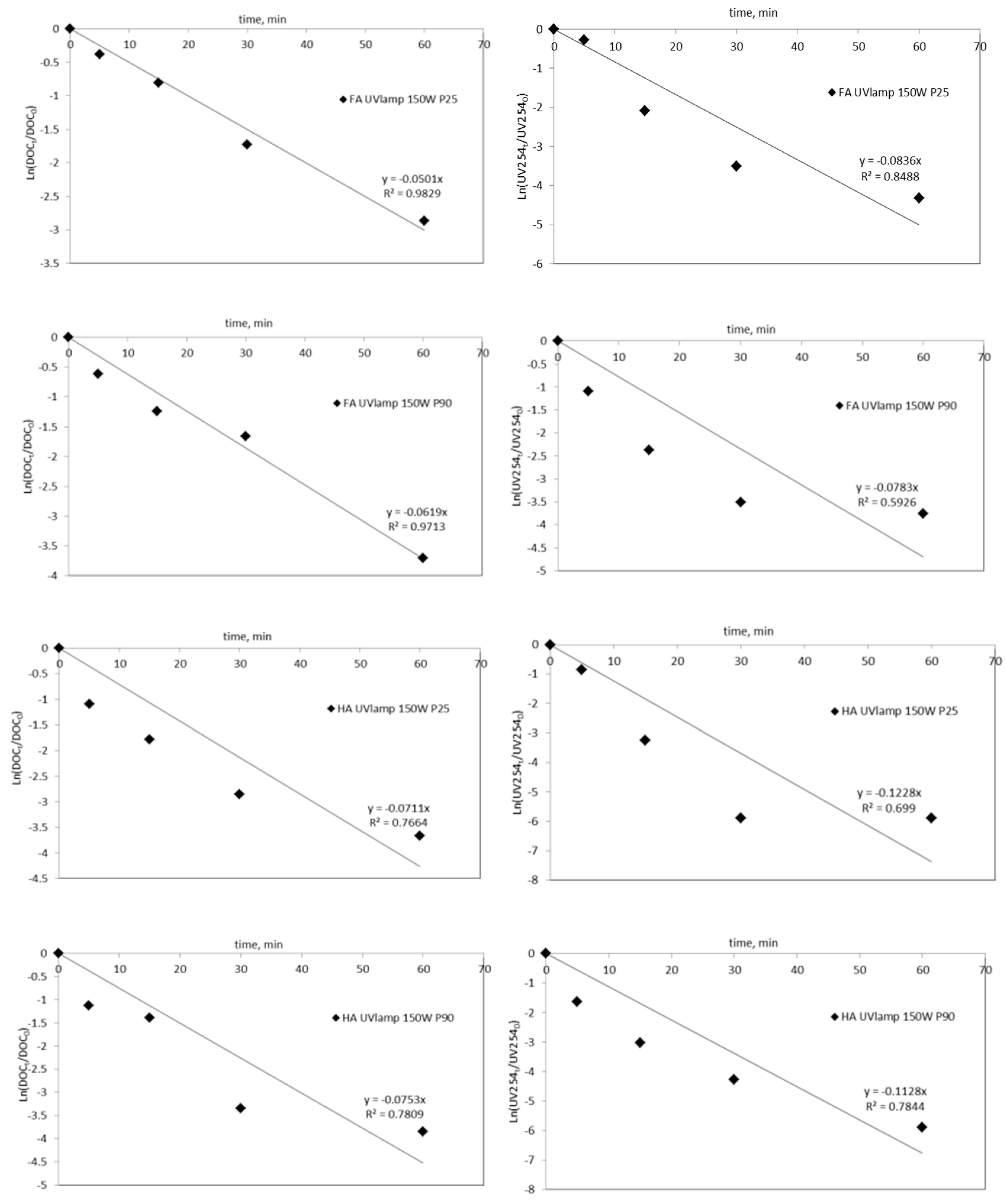
2.2. Photocatalytic Decomposition of FA and HA
2.3. The integrated Process of Photocatalysis + UF
3. Materials and Methods
3.1. Water Solutions
3.2. Photocatalysis
3.3. Ultrafiltration
3.4. SEM Analysis Methodology
3.5. Analytical Methods
4. Conclusions
Funding
Conflicts of Interest
References
- Bodzek, M.; Rajca, M. Photocatalysis in the treatment and disinfection of water. Part I. Theoretical backgrounds. Ecol. Chem. Eng. S 2012, 19, 489–512. [Google Scholar]
- Nikolaou, A.D.; Lekkas, T.D. The role of natural organic matter during formation of chlorination by-products: A review. Acta Hydrochim. Hydrobiol. 2001, 29, 63–77. [Google Scholar] [CrossRef]
- Rajca, M.; Wlodyka-Bergier, A.; Bodzek, M.; Bergier, T. MIEX(R)DOC process to remove disinfection by-product precursors. Desalin. Water Treat. 2017, 64, 372–377. [Google Scholar] [CrossRef]
- Wlodyka-Bergier, A.; Rajca, M.; Bergier, T. Removal of halogenated by-products precursors in photocatalysis process enhanced with membrane filtration. Desalin. Water Treat. 2014, 52, 19–21. [Google Scholar] [CrossRef]
- Matilainen, A.; Sillanpää, M. Removal of natural organic matter from drinking water by advanced oxidation processes. Chemosphere 2010, 80, 351–365. [Google Scholar] [CrossRef] [PubMed]
- Leyva, E.; Moctezuma, E.; Kim, M.; Noriega, B.S.; Zarazúa, E. A Review on Chemical Advanced Oxidation Processes for Pharmaceuticals with Paracetamol as a Model Compound. Reaction Conditions, Intermediates and Total Mechanism. Curr. Org. Chem. 2018, 22, 2–17. [Google Scholar] [CrossRef]
- Athanasekou, C.P.; Romanosa, G.E.; Katsarosa, F.K.; Kordatosb, K.; Likodimosa, V.; Falarasa, P. Very efficient composite titania membranes in hybrid ultrafiltration/photocatalysis water treatment processes. J. Membr. Sci. 2012, 392, 192–203. [Google Scholar] [CrossRef]
- Huang, H.; Schwab, K.; Jacangelo, J.G. Pretreatment for low pressure membranes in water treatment: A review. Environ. Sci. Technol. 2009, 43, 3011–3019. [Google Scholar] [CrossRef] [PubMed]
- Uyguner-Demirel, C.S.; Birben, N.C.; Bekbolet, M. Elucidation of background organic matter matrix effect on photocatalytic treatment of contaminants using TiO2: A review. Catal. Today 2017, 284, 202–214. [Google Scholar] [CrossRef]
- Zangeneh, H.; Zinatizadeh, A.A.L.; Habibi, M.; Akia, M.; Hansain, I.M. Photocatalytic oxidation of organic dyes and pollutants in wastewater using different modified titanium dioxides: A comparative review. J. Ind. Eng. Chem. 2015, 26, 1–36. [Google Scholar] [CrossRef]
- Nakata, K.; Fujishima, A. TiO2 photocatalysis: Design and applications. J. Photochem. Photobiol. C Photochem. Rev. 2012, 13, 169–189. [Google Scholar] [CrossRef]
- Zularisam, A.W.; Ismail, A.F.; Salim, R. Behaviours of natural organic matter in membrane filtration for surface water treatment—A review. Desalination 2006, 194, 211–231. [Google Scholar] [CrossRef]
- Selvam, K.; Swaminathan, K.; Chae, K.S. Microbial decolorization of azo dyes and dye industry effluent by Fomes lividus. World J. Microbiol. Biotechnol. 2003, 19, 591–593. [Google Scholar] [CrossRef]
- Erhayem, M.; Sohn, M. Stability studies for titanium dioxide nanoparticles upon adsorption of Suwannee River humic and fulvic acids and natural organic matter. Sci. Total Environ. 2014, 468, 468–469. [Google Scholar] [CrossRef] [PubMed]
- Ewonik Industries, AG. Product Information, Aeroxide®; Ewonik Industries AG: Essen, Germany, 2015. [Google Scholar]
- Chong, M.N.; Jin, B.; Chow, C.W.K.; Saint, C. Recent developments in photocatalytic water treatment technology: A review. Water Res. 2010, 44, 2997–3027. [Google Scholar] [CrossRef] [PubMed]
- Fu, J.; Ji, M.; Zhao, Y.; Wang, L. Kinetics of aqueous photocatalytic oxidation of fulvic acids in a photocatalysis—Ultrafiltration reactor (PUR). Sep. Purif. Technol. 2006, 50, 107–113. [Google Scholar] [CrossRef]
- Montazerozohori, M.; Nasr-Esfahani, M.; Joohari, S. Photocatalytic degradation of an organic dye in some aqueous buffer solutions using nano titanium dioxide: A kinetics study. Environ. Protect. Eng. 2012, 38, 46–55. [Google Scholar]
- Doudrick, K.; Monzón, O.; Mangonon, A.; Hristovski, K.; Westerhoff, P. Nitrate Reduction in Water Using Commercial Titanium Dioxide Photocatalysts (P25, P90, and Hombikat UV100). J. Environ. Eng. 2012, 138, 852–861. [Google Scholar] [CrossRef]
- Rajca, M. The effectiveness of removal of nom from natural water using photocatalytic membrane reactors in PMR-UF and PMR-MF modes. Chem. Eng. J. 2016, 305, 169–175. [Google Scholar] [CrossRef]
- Balazs, N.; Mogyorósi, K.; Srankó, D.F.; Pallagi, A.; Alapi, T.; Oszkó, A.; Dombi, A.; Sipos, P. The effect of particle shape on the activity of nanocrystalline TiO2 photocatalysts in phenol decomposition. Appl. Catal. B 2008, 84, 356–362. [Google Scholar] [CrossRef]









| Photocatalysis | Reaction Rate Constant, k min−1 | Determination Coefficient R2 | Half-Life, t1/2 min | |||
|---|---|---|---|---|---|---|
| DOC | UV254 | DOC | UV254 | DOC | UV254 | |
| FA UV lamp15W P25 | 39 × 10−3 | 77 × 10−3 | 0.91 | 0.84 | 17.7 | 9.0 |
| FA UV lamp15W P90 | 41 × 10−3 | 71 × 10−3 | 0.86 | 0.85 | 17.1 | 9.8 |
| HA UV lamp15W P25 | 72 × 10−3 | 112 × 10−3 | 0.86 | 0.87 | 9.6 | 6.2 |
| HA UV lamp15W P90 | 85 × 10−3 | 101 × 10−3 | 0.86 | 0.85 | 8.1 | 6.9 |
| FA UV lamp150W P25 | 50 × 10−3 | 84 × 10−3 | 0.98 | 0.85 | 13.8 | 8.3 |
| FA UV lamp150W P90 | 62 × 10−3 | 78 × 10−3 | 0.97 | 0.60 | 11.2 | 8.9 |
| HA UV lamp150W P25 | 71 × 10−3 | 123 × 10−3 | 0.77 | 0.70 | 9.7 | 5.6 |
| HA UV lamp150W P90 | 75 × 10−3 | 113 × 10−3 | 0.78 | 0.78 | 9.2 | 6.1 |
| Process | Color, mgPt/L | Absorbance UV254 nm | DOC, mg/L | SUVA, m3/gC·m | ||||||||
|---|---|---|---|---|---|---|---|---|---|---|---|---|
| 1 | 2 | 3 | 1 | 2 | 3 | 1 | 2 | 3 | 1 | 2 | 3 | |
| Photocatalysis FA (P25) + UF | 38 | 4 | 0 | 0.292 | 0.026 | 0.024 | 9.26 | 3.32 | 3.36 | 3.15 | 0.78 | 0.71 |
| Photocatalysis FA(P90) + UF | 42 | 5 | 0 | 0.310 | 0.030 | 0.023 | 9.44 | 3.87 | 3.37 | 3.28 | 0.77 | 0.68 |
| UF only | 40 | - | 14 | 0.301 | - | 0.131 | 9.35 | - | 5.43 | 3.22 | - | 2.41 |
| Indicator, Unit | FA Model Solution | HA Model Solution |
|---|---|---|
| pH | 7.16 | 7.89 |
| Color *, mgPt/L | 38 | 134 |
| Absorbance UV254 | 0.30 | 0.72 |
| DOC, mg/L | 9.05 | 8.85 |
| TOC, mg/L | 9.87 | 9.86 |
| IC, mg/L | 0.82 | 1.01 |
| SUVA **, m3/gC·m | 3.31 | 8.14 |
| Properties | Aeroxide TiO2 P25 | Aeroxide TiO2 P90 | Data Source |
|---|---|---|---|
| Specific surface area | 50 ± 15 m2/g | 90 ± 20 m2/g | [15] |
| pH at 4% | 3.2–4.5 | 3.2–4.5 | |
| Tamped density | 100–180 g/L | approx. 120 g/L | |
| Crystal structure * | 88% anatase, 12% rutile | 86% anatase, 14% rutile | [19] |
| Crystal size * | 16 nm anatase, 18 nm rutile | 12 nm anatase, 18 nm rutile | |
| Isoelectric point (pHIEP) | 6.4 | 6.6 |
© 2020 by the author. Licensee MDPI, Basel, Switzerland. This article is an open access article distributed under the terms and conditions of the Creative Commons Attribution (CC BY) license (http://creativecommons.org/licenses/by/4.0/).
Share and Cite
Rajca, M. NOM (HA and FA) Reduction in Water Using Nano Titanium Dioxide Photocatalysts (P25 and P90) and Membranes. Catalysts 2020, 10, 249. https://doi.org/10.3390/catal10020249
Rajca M. NOM (HA and FA) Reduction in Water Using Nano Titanium Dioxide Photocatalysts (P25 and P90) and Membranes. Catalysts. 2020; 10(2):249. https://doi.org/10.3390/catal10020249
Chicago/Turabian StyleRajca, Mariola. 2020. "NOM (HA and FA) Reduction in Water Using Nano Titanium Dioxide Photocatalysts (P25 and P90) and Membranes" Catalysts 10, no. 2: 249. https://doi.org/10.3390/catal10020249
APA StyleRajca, M. (2020). NOM (HA and FA) Reduction in Water Using Nano Titanium Dioxide Photocatalysts (P25 and P90) and Membranes. Catalysts, 10(2), 249. https://doi.org/10.3390/catal10020249
