Liquid-Phase and Ultrahigh-Frequency-Acoustofluidics-Based Solid-Phase Synthesis of Biotin-Tagged 6′/3′-Sialyl-N-Acetylglucosamine by Sequential One-Pot Multienzyme System
Abstract
1. Introduction
2. Results and Discussion
2.1. Design and Synthesis of Biotin-Tagged N-Acetylglucosamine (Biotin-GlcNAc)
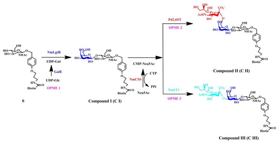
2.2. Sequential OPME Synthesis of Biotinylated 6′/3′-sialyl-N-Acetylglucosamine in Solution
2.3. Ultrahigh-Frequency-Acoustofluidics (UHFA)-Based Solid-Phase Sequential OPME Synthesis of Biotinylated 6′-sialyl-N-Acetylglucosamine
3. Materials and Methods
3.1. General Information
3.2. Enzymes Used in the Current Study
3.3. OPME (One-Pot Multienzyme) 1-Catalyzed Reaction in Solution
3.4. OPME 2-Catalyzed Reaction in Solution
3.5. OPME 3-Catalyzed Reaction
3.6. Ultrahigh-Frequency-Acoustofluidics (UHFA)-Based Solid-Phase Sequential OPME Synthesis of Biotinylated 6′-sialyl-N-Acetylglucosamine
3.7. Optimization of UHFA-Based Solid-Phase Sequential OPME Synthesis of Biotinylated 6′-sialyl-N-Acetylglucosamine
3.8. Traditional Solid-Phase Sequential OPME Synthesis of Biotinylated 6′-sialyl-N-Acetylglucosamine
4. Conclusions
Supplementary Materials
Author Contributions
Funding
Conflicts of Interest
References
- Parodi, A.J. Role of N-oligosaccharide endoplasmic reticulum processing reactions in glycoprotein folding and degradation. Biochem. J. 2000, 348 Pt 1, 1–13. [Google Scholar] [CrossRef]
- Varki, A. Biological roles of glycans. Glycobiology 2016, 27, 3–49. [Google Scholar] [CrossRef] [PubMed]
- Angata, K.; Fukuda, M. Roles of Polysialic Acid in Migration and Differentiation of Neural Stem Cells. Methods Enzym. 2010, 479, 25–36. [Google Scholar] [CrossRef]
- Dube, D.H.; Bertozzi, C.R. Glycans in cancer and inflammation—Potential for therapeutics and diagnostics. Nat. Rev. Drug Discov. 2005, 4, 477–488. [Google Scholar] [CrossRef] [PubMed]
- Chen, X. Human Milk Oligosaccharides (HMOS): Structure, Function, and Enzyme-Catalazed Synthesis. Adv. Carbohydr. Chem. Biochem. 2015, 72, 113–190. [Google Scholar] [CrossRef]
- Varki, A. Sialic acids in human health and disease. Trends Mol. Med. 2008, 14, 351–360. [Google Scholar] [CrossRef]
- Varki, A. Glycan-based interactions involving vertebrate sialic-acid-recognizing proteins. Nat. Cell Biol. 2007, 446, 1023–1029. [Google Scholar] [CrossRef]
- Stevens, J.; Blixt, O.; Glaser, L.; Taubenberger, J.K.; Palese, P.; Paulson, J.C.; Wilson, I.A. Glycan Microarray Analysis of the Hemagglutinins from Modern and Pandemic Influenza Viruses Reveals Different Receptor Specificities. J. Mol. Biol. 2006, 355, 1143–1155. [Google Scholar] [CrossRef]
- Munkley, J.; Mills, I.G.; Elliott, D.J. The role of glycans in the development and progression of prostate cancer. Nat. Rev. Urol. 2016, 13, 324–333. [Google Scholar] [CrossRef]
- Yuan, Y.; Wu, L.; Shen, S.; Wu, S.; Burdick, M.M. Effect of alpha 2,6 sialylation on integrin-mediated adhesion of breast cancer cells to fibronectin and collagen IV. Life Sci. 2016, 149, 138–145. [Google Scholar] [CrossRef]
- Imai, M.; Kawaoka, Y. The role of receptor binding specificity in interspecies transmission of influenza viruses. Curr. Opin. Virol. 2012, 2, 160–167. [Google Scholar] [CrossRef] [PubMed]
- Huang, M.L.; Cohen, M.; Fisher, C.J.; Schooley, R.T.; Gagneux, P.; Godula, K. Determination of receptor specificities for whole influenza viruses using multivalent glycan arrays. Chem. Commun. 2015, 51, 5326–5329. [Google Scholar] [CrossRef] [PubMed]
- Sittel, I.; Galan, M.C. Chemo-enzymatic synthesis of imidazolium-tagged sialyllactosamine probes. Bioorg. Med. Chem. Lett. 2015, 25, 4329–4332. [Google Scholar] [CrossRef] [PubMed]
- Ogata, M.; Umemura, S.; Sugiyama, N.; Kuwano, N.; Koizumi, A.; Sawada, T.; Yanase, M.; Takaha, T.; Kadokawa, J.-I.; Usui, T. Synthesis of multivalent sialyllactosamine-carrying glyco-nanoparticles with high affinity to the human influenza virus hemagglutinin. Carbohydr. Polym. 2016, 153, 96–104. [Google Scholar] [CrossRef] [PubMed]
- Gambaryan, A.S.; Tuzikov, A.B.; Piskarev, V.E.; Yamnikova, S.S.; Lvov, D.K.; Robertson, J.S.; Bovin, N.V.; Matrosovich, M.N. Specification of Receptor-Binding Phenotypes of Influenza Virus Isolates from Different Hosts Using Synthetic Sialylglycopolymers: Non-Egg-Adapted Human H1 and H3 Influenza A and Influenza B Viruses Share a Common High Binding Affinity for 6′-Sialyl(N-acetyllactosamine). Virology 1997, 232, 345–350. [Google Scholar] [CrossRef] [PubMed]
- Diamandis, E.P.; Christopoulos, T.K. The Biotin-(Strept)Avidin System—Principles and Applications in Biotechnology. Clin. Chem. 1991, 37, 625–636. [Google Scholar] [CrossRef]
- Matsushita, K.; Nakata, T.; Takeda-Okuda, N.; Nadanaka, S.; Kitagawa, H.; Tamura, J.-I. Synthesis of chondroitin sulfate CC and DD tetrasaccharides and interactions with 2H6 and LY111. Bioorg. Med. Chem. 2018, 26, 1016–1025. [Google Scholar] [CrossRef]
- Komarova, B.S.; Wong, S.S.W.; Orekhova, M.V.; Tsvetkov, Y.E.; Krylov, V.B.; Beauvais, A.; Bouchara, J.-P.; Kearney, J.F.; Aimanianda, V.; Latgé, J.P.; et al. Chemical Synthesis and Application of Biotinylated Oligo-α-(1 → 3)-d-Glucosides To Study the Antibody and Cytokine Response against the Cell Wall α-(1 → 3)-d-Glucan of Aspergillus fumigatus. J. Org. Chem. 2018, 83, 12965–12976. [Google Scholar] [CrossRef]
- Böcker, S.; Elling, L. Biotinylated N-Acetyllactosamine- and N,N-Diacetyllactosamine-Based Oligosaccharides as Novel Ligands for Human Galectin-3. Bioengineering 2017, 4, 31. [Google Scholar] [CrossRef]
- Zeng, X.; Sun, Y.; Ye, H.; Liu, J.; Xiang, X.; Zhou, B.; Uzawa, H. Effective chemoenzymatic synthesis of p-aminophenyl glycosides of sialyl N-acetyllactosaminide and analysis of their interactions with lectins. Carbohydr. Res. 2007, 342, 1244–1248. [Google Scholar] [CrossRef]
- Yu, H.; Chen, X. One-pot multienzyme (OPME) systems for chemoenzymatic synthesis of carbohydrates. Org. Biomol. Chem. 2016, 14, 2809–2818. [Google Scholar] [CrossRef] [PubMed]
- Tolborg, J.F.; Petersen, L.; Jensen, K.J.; Mayer, C.; Jakeman, D.L.; Warren, R.A.J.; Withers, S.G. Solid-Phase Oligosaccharide and Glycopeptide Synthesis Using Glycosynthases. J. Org. Chem. 2002, 67, 4143–4149. [Google Scholar] [CrossRef] [PubMed]
- Cui, W.; Zhang, H.; Zhang, H.; Yang, Y.; He, M.; Qu, H.; Pang, W.; Zhang, D.; Duan, X. Localized ultrahigh frequency acoustic fields induced micro-vortices for submilliseconds microfluidic mixing. Appl. Phys. Lett. 2016, 109, 253503. [Google Scholar] [CrossRef]
- Chen, C.; Shang, Z.; Gong, J.; Zhang, F.; Zhou, H.; Tang, B.; Xu, Y.; Zhang, C.; Yang, Y.; Mu, X. Electric Field Stiffening Effect in c-Oriented Aluminum Nitride Piezoelectric Thin Films. ACS Appl. Mater. Interfaces 2018, 10, 1819–1827. [Google Scholar] [CrossRef]
- Qu, H.; Yang, Y.; Chang, Y.; Tang, Z.; Pang, W.; Wang, Y.; Zhang, H.; Duan, X. On-chip integrated multiple microelectromechanical resonators to enable the local heating, mixing and viscosity sensing for chemical reactions in a droplet. Sens. Actuators B Chem. 2017, 248, 280–287. [Google Scholar] [CrossRef]
- Lau, K.; Thon, V.; Yu, H.; Ding, L.; Chen, Y.; Muthana, M.M.; Wong, D.; Huang, R.; Chen, X. Highly efficient chemoenzymatic synthesis of β1–4-linked galactosides with promiscuous bacterial β1–4-galactosyltransferases. Chem. Commun. 2010, 46, 6066–6068. [Google Scholar] [CrossRef]
- Holmberg, A.; Blomstergren, A.; Nord, O.; Lukacs, M.; Lundeberg, J.; Uhlén, M. The biotin-streptavidin interaction can be reversibly broken using water at elevated temperatures. Electrophoresis 2005, 26, 501–510. [Google Scholar] [CrossRef]
- Blixt, O.; Norberg, T. Solid-Phase Enzymatic Synthesis of a Sialyl Lewis X Tetrasaccharide on a Sepharose Matrix. J. Org. Chem. 1998, 63, 2705–2710. [Google Scholar] [CrossRef]
- Darst, S.A.; Ahlers, M.; Meller, P.H.; Kubalek, E.W.; Blankenburg, R.; Ribi, H.O.; Ringsdorf, H.; Kornberg, R.D. Two-dimensional crystals of streptavidin on biotinylated lipid layers and their interactions with biotinylated macromolecules. Biophys. J. 1991, 59, 387–396. [Google Scholar] [CrossRef]
- Yu, H.; Yu, H.; Karpel, R.; Chen, X. Chemoenzymatic synthesis of CMP—Sialic acid derivatives by a one-pot two-enzyme system: Comparison of substrate flexibility of three microbial CMP—Sialic acid synthetases. Bioorg. Med. Chem. 2004, 12, 6427–6435. [Google Scholar] [CrossRef]
- Zhang, Y.; Meng, C.; Jin, L.; Chen, X.; Wang, F.; Cao, H. Chemoenzymatic synthesis of α-dystroglycan core M1 O-mannose glycans. Chem. Commun. 2015, 51, 11654–11657. [Google Scholar] [CrossRef] [PubMed]
- Yu, H.; Huang, S.; Chokhawala, C.H.; Sun, M.; Zheng, H.; Chen, X. Highly Efficient Chemoenzymatic Synthesis of Naturally Occurring and Non-Natural α-2,6-Linked Sialosides: AP. damsela α-2,6-Sialyltransferase with Extremely Flexible Donor-Substrate Specificity. Angew. Chem. Int. Ed. 2006, 45, 3938–3944. [Google Scholar] [CrossRef] [PubMed]
- Meng, X.; Yao, W.; Cheng, J.; Zhang, X.; Jin, L.; Yu, H.; Chen, X.; Wang, F.; Cao, H. Regioselective Chemoenzymatic Synthesis of Ganglioside Disialyl Tetrasaccharide Epitopes. J. Am. Chem. Soc. 2014, 136, 5205–5208. [Google Scholar] [CrossRef] [PubMed]
- Chen, X.; Zhang, W.; Wang, J.; Fang, J.; Wang, P.G. Production of α-Galactosyl Epitopes via Combined Use of Two Recombinant Whole Cells Harboring UDP-Galactose 4-Epimerase and α-1,3-Galactosyltransferase. Biotechnol. Prog. 2000, 16, 595–599. [Google Scholar] [CrossRef] [PubMed]
- Sugiarto, G.; Lau, K.; Qu, J.; Li, Y.; Lim, S.; Mu, S.; Ames, J.B.; Fisher, A.J.; Chen, X. A Sialyltransferase Mutant with Decreased Donor Hydrolysis and Reduced Sialidase Activities for Directly Sialylating Lewisx. ACS Chem. Biol. 2012, 7, 1232–1240. [Google Scholar] [CrossRef] [PubMed]
- Pan, S.; Zhang, H.; Liu, W.; Wang, Y.; Pang, W.; Duan, X. Biofouling Removal and Protein Detection Using a Hypersonic Resonator. ACS Sens. 2017, 2, 1175–1183. [Google Scholar] [CrossRef]
- Chen, X.; Fang, J.; Zhang, J.; Liu, Z.; Shao, J.; Kowal, P.; Andreana, P.; Wang, P.G. Sugar Nucleotide Regeneration Beads (Superbeads): A Versatile Tool for the Practical Synthesis of Oligosaccharides. J. Am. Chem. Soc. 2001, 123, 2081–2082. [Google Scholar] [CrossRef]
- Naruchi, K.; Nishimura, S.-I. Membrane-Bound Stable Glycosyltransferases: Highly Oriented Protein Immobilization by a C-Terminal Cationic Amphipathic Peptide. Angew. Chem. Int. Ed. 2011, 50, 1328–1331. [Google Scholar] [CrossRef]







| Different OPMEs | Yield | ||
|---|---|---|---|
| In Solution | UHFA-Based SPOS | Eppendorf Tube-Based SPOS | |
| OPME1 | 94.8% | 64.4% | 49.5% |
| OPME2 | 95.4% | 58.6% | 45.3% |
| OPME3 | 94.5% | ND 1 | ND 1 |
Publisher’s Note: MDPI stays neutral with regard to jurisdictional claims in published maps and institutional affiliations. |
© 2020 by the authors. Licensee MDPI, Basel, Switzerland. This article is an open access article distributed under the terms and conditions of the Creative Commons Attribution (CC BY) license (http://creativecommons.org/licenses/by/4.0/).
Share and Cite
Gong, M.; Li, T.; Wu, L.; Zhang, Z.; Ren, L.; Duan, X.; Cao, H.; Pei, M.; Li, J.-J.; Du, Y. Liquid-Phase and Ultrahigh-Frequency-Acoustofluidics-Based Solid-Phase Synthesis of Biotin-Tagged 6′/3′-Sialyl-N-Acetylglucosamine by Sequential One-Pot Multienzyme System. Catalysts 2020, 10, 1347. https://doi.org/10.3390/catal10111347
Gong M, Li T, Wu L, Zhang Z, Ren L, Duan X, Cao H, Pei M, Li J-J, Du Y. Liquid-Phase and Ultrahigh-Frequency-Acoustofluidics-Based Solid-Phase Synthesis of Biotin-Tagged 6′/3′-Sialyl-N-Acetylglucosamine by Sequential One-Pot Multienzyme System. Catalysts. 2020; 10(11):1347. https://doi.org/10.3390/catal10111347
Chicago/Turabian StyleGong, Mengge, Tiechuan Li, Lina Wu, Zhenxing Zhang, Lishi Ren, Xuexin Duan, Hongzhi Cao, Meishan Pei, Jian-Jun Li, and Yuguang Du. 2020. "Liquid-Phase and Ultrahigh-Frequency-Acoustofluidics-Based Solid-Phase Synthesis of Biotin-Tagged 6′/3′-Sialyl-N-Acetylglucosamine by Sequential One-Pot Multienzyme System" Catalysts 10, no. 11: 1347. https://doi.org/10.3390/catal10111347
APA StyleGong, M., Li, T., Wu, L., Zhang, Z., Ren, L., Duan, X., Cao, H., Pei, M., Li, J.-J., & Du, Y. (2020). Liquid-Phase and Ultrahigh-Frequency-Acoustofluidics-Based Solid-Phase Synthesis of Biotin-Tagged 6′/3′-Sialyl-N-Acetylglucosamine by Sequential One-Pot Multienzyme System. Catalysts, 10(11), 1347. https://doi.org/10.3390/catal10111347

