Recent Developments in the Immobilization of Palladium Complexes on Renewable Polysaccharides for Suzuki–Miyaura Cross-Coupling of Halobenzenes and Phenylboronic Acids
Abstract
1. Introduction
1.1. Coupling Reactions
Suzuki–Miyaura Cross-Coupling
1.2. Heterogenization of Palladium Catalysts
1.3. Renewable Polysaccharides as Supports for Palladium Catalysts
- (1)
- The use of polysaccharides as insoluble supports allows for easy catalyst recycling, e.g., they are only negligibly soluble in organic solvents, even in highly polar and protic solvents, such as ethanol [60]. Moreover, they can form hydrogels, i.e., cross-linked polymeric networks to which are added different agents (e.g., metals or bases). Hydrogels have the capacity to swell with water, a significant fraction of which they retain in their structures, but they do not dissolve in aqueous media. Polysaccharides can also be used to form xerogels, which are dry, solid supports obtained when the liquid phase of a gel is removed by evaporation by various techniques.
- (2)
- Insofar as they are obtained from renewable sources, they are considered safe, “green” components.
- (3)
- The polysaccharides have a variety of different functional groups that can be fine-tuned to prepare efficient heterogeneous catalysts. In addition, they have many stereogenic centers that can induce asymmetry to catalytic processes.
1.4. Palladium-Based Polysaccharide Catalysts for Suzuki Cross-Coupling
2. Aims and Methodology
3. Literature Screening
3.1. Immobilization of Palladium Via a Schiff–Base
3.2. Immobilization of Palladium Via other Methods
4. Summary
Author Contributions
Funding
Conflicts of Interest
References
- Diederich, F.; Stang, P.J. Metal-Catalyzed Cross-Coupling Reactions; John Wiley & Sons: Weinheim, Germany, 2008. [Google Scholar]
- Kohei, T.; Miyaura, N. Introduction to cross-coupling reactions. In Cross-Coupling Reactions, 1st ed.; Miyaura, N., Ed.; Springer: Berlin/Heidelberg, Germany, 2002; pp. 1–9. [Google Scholar]
- Miyaura, N. Cross-Coupling Reactions: A Practical Guide in Topics in Current Chemistry; Springer: Berlin/Heidelberg, Germany, 2002; Volume 219. [Google Scholar]
- Miyaura, N.; Suzuki, A. Palladium-catalyzed cross-coupling reactions of organoboron compounds. Chem. Rev. 1995, 95, 2457–2483. [Google Scholar] [CrossRef]
- Littke, A.F.; Dai, C.; Fu, G.C. Versatile catalysts for the Suzuki cross-coupling of arylboronic acids with aryl and vinyl halides and triflates under mild conditions. J. Am. Chem. Soc. 2000, 122, 4020–4028. [Google Scholar] [CrossRef]
- Kotha, S.; Lahiri, K.; Dhurke, K. Recent applications of the Suzuki–Miyaura cross-coupling reaction in organic synthesis. Tetrahedreon 2002, 58, 9633–9695. [Google Scholar] [CrossRef]
- Miyaura, N.; Yamada, K.; Suzuki, A. A new stereospecific cross-coupling by the palladium-catalyzed reaction of 1-alkenylboranes with 1-alkenyl or 1-alkynyl halides. Tetrahedron Lett. 1979, 20, 3437–3440. [Google Scholar] [CrossRef]
- Johansson Seechurn, C.C.; Kitching, M.O.; Colacot, T.J.; Snieckus, V. Palladium-catalyzed cross-coupling: A historical contextual perspective to the 2010 Nobel Prize. Angew. Chem. Int. Ed. 2012, 51, 5062–5085. [Google Scholar] [CrossRef]
- Bellina, F.; Carpita, A.; Rossi, R. Palladium catalysts for the Suzuki cross-coupling reaction: An overview of recent advances. Synthesis 2004, 15, 2419–2440. [Google Scholar] [CrossRef]
- Wolfson, A.; Dlugy, C. Palladium-catalyzed Heck and Suzuki coupling in glycerol. Chem. Pap. 2007, 61, 228–232. [Google Scholar] [CrossRef]
- Nobre, S.M.; Wolke, S.I.; Da Rosa, R.G.; Monteiro, A.L. Simple and efficient protocol for catalyst recycling and product recovery in the Pd-catalyzed homogeneous Suzuki reaction. Tetrahedron Lett. 2004, 45, 6527–6530. [Google Scholar] [CrossRef]
- Chatterjee, A.; Ward, T.R. Recent advances in the palladium catalyzed Suzuki–Miyaura cross-coupling reaction in water. Catal. Lett. 2016, 146, 820–840. [Google Scholar] [CrossRef]
- Percec, V.; Bae, J.Y.; Hill, D.H. Aryl mesylates in metal catalyzed homocoupling and cross-coupling reactions. 2. Suzuki-type Nickel-catalyzed cross-coupling of aryl arenesulfonates and aryl mesylates with arylboronic acids. J. Org. Chem. 1995, 60, 1060–1065. [Google Scholar] [CrossRef]
- Baghbanzadeh, M.; Pilger, C.; Kappe, C.O. Rapid Nickel-Catalyzed Suzuki-Miyaura Cross-Couplings of Aryl Carbamates and Sulfamates Utilizing Microwave Heating. J. Org. Chem. 2011, 76, 1507–1510. [Google Scholar] [CrossRef] [PubMed]
- Zultanski, S.L.; Fu, G.C. Nickel-catalyzed carbon—Carbon bond-forming reactions of unactivated tertiary alkyl halides: Suzuki arylations. J. Am. Chem. Soc. 2013, 135, 624–627. [Google Scholar] [CrossRef] [PubMed]
- Dong, L.; Wen, J.; Qin, S.; Yang, N.; Yang, H.; Su, Z.; Yu, X.; Hu, C. Iron-Catalyzed Direct Suzuki–Miyaura Reaction: Theoretical and Experimental Studies on the Mechanism and the Regioselectivity. ACS Catal. 2012, 2, 1829–1837. [Google Scholar] [CrossRef]
- Hatakeyama, T.; Hashimoto, T.; Kathriarachchi, K.K.; Zenmyo, T.; Seike, H.; Nakamura, M. Iron-Catalyzed Alkyl–Alkyl Suzuki–Miyaura Coupling. Angew. Chem. Int. Ed. 2012, 51, 8834–8837. [Google Scholar] [CrossRef]
- Fuerstner, A.; Krause, H. Practical method for the rhodium-catalyzed addition of aryl-and alkenylboronic acids to aldehydes. Adv. Synth. Catal. 2001, 343, 343–350. [Google Scholar] [CrossRef]
- Ueura, K.; Satoh, T.; Miura, M. Rhodium-catalyzed arylation using arylboron compounds: Efficient coupling with aryl halides and unexpected multiple arylation of benzonitrile. Org. Lett. 2005, 7, 2229–2231. [Google Scholar] [CrossRef]
- Moreau, C.; Hague, C.; Weller, A.S.; Frost, C.G. Rhodium-catalysed aryl transfer to aldehydes: Counterion effects with nitrogen containing ligands. Tetrahedron Lett. 2001, 42, 6957–6960. [Google Scholar] [CrossRef]
- Thathagar, M.B.; Beckers, J.; Rothenberg, G. Copper-catalyzed Suzuki cross-coupling using mixed nanocluster catalysts. J. Am. Chem. Soc. 2002, 124, 11858–11859. [Google Scholar] [CrossRef]
- Shi, S.; Nolan, S.P.; Szostak, M. Well-Defined Palladium(II)-NHC (NHC = N-Heterocyclic Carbene) Precatalysts for Cross-Coupling Reactions of Amides and Esters by Selective Acyl CO–X (X = N, O) Cleavage. Acc. Chem. Res. 2018, 51, 2589–2599. [Google Scholar] [CrossRef]
- Buchspies, J.; Szostak, M. Recent Advances in Acyl Suzuki Cross-Coupling. Catalysts 2019, 9, 53. [Google Scholar] [CrossRef]
- Prokopcová, H.; Kappe, C.O. The Liebeskind-Srogl C-C cross-coupling reaction. Angew. Chem. Int. Ed. 2009, 48, 2276–2286. [Google Scholar] [CrossRef]
- Ogiwara, Y.; Sakai, N. Acyl Fluorides in Late-Transition-Metal Catalysis. Angew. Chem. Int. Ed. 2020, 59, 574–594. [Google Scholar] [CrossRef] [PubMed]
- Leadbeater, N.E.; Marco, M. Ligand-free palladium catalysis of the Suzuki reaction in water using microwave heating. Org. Lett. 2002, 4, 2973–2976. [Google Scholar] [CrossRef] [PubMed]
- Martin, R.; Buchwald, S.L. Palladium-catalyzed Suzuki−Miyaura cross-coupling reactions employing dialkylbiaryl phosphine ligands. Acc. Chem. Res. 2008, 41, 1461–1473. [Google Scholar] [CrossRef] [PubMed]
- Jensen, J.F.; Johannsen, M. New air-stable planar chiral ferrocenyl monophosphine ligands: Suzuki cross-coupling of aryl chlorides and bromides. Org. Lett. 2003, 5, 3025–3028. [Google Scholar] [CrossRef] [PubMed]
- Hadei, N.; Kantchev, E.A.B.; O’Brie, C.J.; Organ, M.G. Electronic nature of N-heterocyclic carbene ligands: Effect on the Suzuki reaction. Org. Lett. 2005, 7, 1991–1994. [Google Scholar] [CrossRef]
- Lee, D.H.; Kim, J.H.; Jun, B.H.; Kang, H.; Park, J.; Lee, Y.S. Macroporous polystyrene-supported palladium catalyst containing a bulky N-heterocyclic carbene ligand for Suzuki reaction of aryl chlorides. Org. Lett. 2008, 10, 1609–1612. [Google Scholar] [CrossRef]
- Marck, G.; Villiger, A.; Buchecker, R. Aryl couplings with heterogeneous palladium catalysts. Tetrahedron Lett. 1994, 35, 3277–3280. [Google Scholar] [CrossRef]
- Paul, S.; Clark, J.H. A highly active and reusable heterogeneous catalyst for the Suzuki reaction: Synthesis of biaryls and polyaryls. Green Chem. 2003, 5, 635–638. [Google Scholar] [CrossRef]
- Artok, L.; Bulut, H. Heterogeneous Suzuki reactions catalyzed by Pd (0)–Y zeolite. Tetrahedron Lett. 2004, 45, 3881–3884. [Google Scholar] [CrossRef]
- Astruc, D.; Lu, F.; Aranzaes, J.R. Nanoparticles as recyclable catalysts: The frontier between homogeneous and heterogeneous catalysis. Angew. Chem. Int. Ed. 2005, 44, 7852–7872. [Google Scholar] [CrossRef] [PubMed]
- Desforges, A.; Backov, R.; Deleuze, H.; Mondain-Monval, O. Generation of palladium nanoparticles within macrocellular polymeric supports: Application to heterogeneous catalysis of the Suzuki–Miyaura coupling reaction. Adv. Funct. Mater. 2005, 15, 1689–1695. [Google Scholar] [CrossRef]
- Gniewek, A.; Ziółkowski, J.J.; Trzeciak, A.M.; Zawadzki, M.; Grabowska, H.; Wrzyszcz, J. Palladium nanoparticles supported on alumina-based oxides as heterogeneous catalysts of the Suzuki–Miyaura reaction. J. Catal. 2008, 254, 121–130. [Google Scholar] [CrossRef]
- Kerton, F.M.; Marriott, R. Alternative Solvents for Green Chemistry, 2nd ed.; Royal Society of Chemistry: Cambridge, UK, 2013. [Google Scholar]
- Nain, S.; Singh, R.; Ravichandran, S. Importance of Microwave Heating in Organic Synthesis. Adv. J. Chem. Sect. A 2019, 2, 94–104. [Google Scholar] [CrossRef]
- Pierluigi, B.; Liguori, F. Heterogenized Homogeneous Catalysts for Fine Chemicals Production: Materials and Processes; Springer Science & Business Media: Berlin/Heidelberg, Germany, 2010. [Google Scholar]
- Soni, P.L.; Soni, V. Coordination Chemistry: Metal Complexes: Transition Metal Chemistry with Lanthanides and Actinides; CRC Press: Boca Raton, FL, USA, 2013. [Google Scholar]
- Ciriminna, R.; Pandarus, V.; Béland, F.; Pagliaro, M. Fine chemical syntheses under flow using Silia Cat catalysts. Catal. Sci. Technol. 2016, 6, 4678–4685. [Google Scholar] [CrossRef]
- Jutz, F.; Andanson, J.M.; Baiker, A. Ionic liquids and dense carbon dioxide: A beneficial biphasic system for catalysis. Chem. Rev. 2010, 111, 322–353. [Google Scholar] [CrossRef]
- De Wolf, E.; Van Koten, G.; Deelman, B.J. Fluorous phase separation techniques in catalysis. Chem. Soc. Rev. 1999, 28, 37–41. [Google Scholar] [CrossRef]
- Cravotto, G.; Borretto, E.; Oliverio, M.; Procopio, A.; Penoni, A. Organic reactions in water or biphasic aqueous systems under sonochemical conditions. A review on catalytic effects. Catal. Commun. 2015, 63, 2–9. [Google Scholar] [CrossRef]
- Gladysz, J.A. Recoverable catalysts. Ultimate goals, criteria of evaluation, and the green chemistry interface. Pure Appl. Chem. 2001, 73, 1319–1324. [Google Scholar] [CrossRef]
- Hübner, S.; De Vries, J.G.; Farina, V. Why does industry not use immobilized transition metal complexes as catalysts? Adv. Synth. Catal. 2016, 358, 3–25. [Google Scholar] [CrossRef]
- Martínez, A.; Krinsky, J.L.; Peñafiel, I.; Castillón, S.; Loponov, K.; Lapkin, A.; Godard, C.; Claver, C. Heterogenization of Pd–NHC complexes onto a silica support and their application in Suzuki-Miyaura coupling under batch and continuous flow conditions. Catal. Sci. Technol. 2015, 5, 310–319. [Google Scholar] [CrossRef]
- Vassylyev, O.; Chen, J.; Panarello, A.P.; Khinast, J.G. Catalytic properties of several supported Pd (II) complexes for Suzuki coupling reactions. Tetrahedron Lett. 2005, 46, 6865–6869. [Google Scholar] [CrossRef]
- Kosslick, H.; Mönnich, I.; Paetzold, E.; Fuhrmann, H.; Fricke, R.; Müller, D.; Oehme, G. Suzuki reaction over palladium-complex loaded MCM-41 catalysts. Microporous Mesoporous Mater. 2001, 44, 537–545. [Google Scholar] [CrossRef]
- Rangel, E.R.; Maya, E.M.; Sánchez, F.; De La Campa, J.G.; Iglesias, M. Palladium-heterogenized porous polyimide materials as effective and recyclable catalysts for reactions in water. Green Chem. 2015, 17, 466–473. [Google Scholar] [CrossRef]
- Zhou, Y.B.; Li, C.Y.; Lin, M.; Ding, Y.J.; Zhan, Z.P. A Polymer-Bound Monodentate-P-Ligated Palladium Complex as a Recyclable Catalyst for the Suzuki–Miyaura Coupling Reaction of Aryl Chlorides. Adv. Synth. Catal. 2015, 357, 2503–2508. [Google Scholar] [CrossRef]
- Mennecke, K.; Kirschning, A. Polyionic polymers–heterogeneous media for metal nanoparticles as catalyst in Suzuki–Miyaura and Heck–Mizoroki reactions under flow conditions. Beilstein J. Org. Chem. 2009, 5, 21. [Google Scholar] [CrossRef]
- Calo, V.; Nacci, A.; Monopoli, A.; Montingelli, F. Pd nanoparticles as efficient catalysts for Suzuki and Stille coupling reactions of aryl halides in ionic liquids. J. Org. Chem. 2005, 70, 6040–6044. [Google Scholar] [CrossRef]
- Miao, W.; Chan, T.H. Exploration of ionic liquids as soluble supports for organic synthesis. Demonstration with a Suzuki coupling reaction. Org. Lett. 2003, 5, 5003–5005. [Google Scholar] [CrossRef]
- Giovanna, G.D.; Malinconico, M.; Laurienzo, P. Marine derived polysaccharides for biomedical applications: Chemical modification approaches. Molecules 2008, 13, 2069–2106. [Google Scholar]
- Niaounakis, M. Biopolymers: Applications and Trends; William Andrew Books: Norwich, CT, USA, 2015. [Google Scholar]
- Mohanty, A.K.; Misra, M.; Drzal, L.T. Natural Fibers, Biopolymers, and Biocomposites; CRC Press: Boca Raton, FL, USA, 2005. [Google Scholar]
- Jiao, G.; Yu, G.; Zhang, J.; Ewart, H.S. Chemical structures and bioactivities of sulfated polysaccharides from marine algae. Mar. Drugs 2011, 9, 196–223. [Google Scholar] [CrossRef]
- McHugh, D.J. A Guide to the Seaweed Industry; FAO Fisheries Technical Paper No. 441; FAO: Rome, Italy, 2003. [Google Scholar]
- Guo, M.Q.; Hu, X.; Wang, C.; Ai, L. Polysaccharides: Structure and Solubility. In Solubility of Polysaccharides; Xu, Z., Ed.; InTech: London, UK, 2017. [Google Scholar]
- Campo, V.L.; Kawano, D.F.; Da Silva, D.B., Jr.; Carvalho, I. Carrageenans: Biological properties, chemical modifications and structural analysis—A review. Carbohydr. Polym. 2009, 77, 167–180. [Google Scholar] [CrossRef]
- Necas, J.; Bartosikova, L. Carrageenan: A review. Veterinarni Medicina 2013, 58, 187–205. [Google Scholar] [CrossRef]
- Lee, K.Y.; Mooney, D.J. Alginate: Properties and biomedical applications. Prog. Polym. Sci. 2012, 37, 106–126. [Google Scholar] [CrossRef] [PubMed]
- Augst, A.D.; Kong, H.J.; Mooney, D.J. Alginate hydrogels as biomaterials. Macromol. Biosci. 2006, 6, 623–633. [Google Scholar] [CrossRef]
- Rinaudo, M. Chitin and chitosan: Properties and applications. Prog. Polym. Sci. 2006, 31, 603–632. [Google Scholar] [CrossRef]
- Kumar, M.N.R. A review of chitin and chitosan applications. React. Funct. Polym. 2000, 46, 1–27. [Google Scholar] [CrossRef]
- Quignard, F.; Valentin, R.; Di Renzo, F. Aerogel materials from marine polysaccharides. New J. Chem. 2008, 32, 1300–1310. [Google Scholar] [CrossRef]
- Quignard, F.; Di Renzo, F.; Guibal, E. From natural polysaccharides to materials for catalysis, adsorption, and remediation. Top. Curr. Chem. 2010, 294, 165–197. [Google Scholar]
- Wang, C.; Gao, X.; Chen, Z.; Chen, Y.; Chen, H. Preparation, characterization and application of polysaccharide-based metallic nanoparticles: A review. Polymers 2017, 9, 689. [Google Scholar] [CrossRef]
- Han, H.S.; Jiang, S.N.; Huang, M.Y.; Jiang, Y.Y. Catalytic hydrogenation of aromatic nitro compounds by non-noble metal complexes of chitosan. Polym. Adv. Technol. 1996, 7, 704–706. [Google Scholar] [CrossRef]
- Baig, R.B.N.; Varma, R.S. Copper on chitosan: A recyclable heterogeneous catalyst for azide–alkyne cycloaddition reactions in water. Green Chem. 2013, 15, 1839–1843. [Google Scholar] [CrossRef]
- Guibal, E. Heterogeneous catalysis on chitosan-based materials: A review. Prog. Polym. Sci. 2005, 30, 71–109. [Google Scholar] [CrossRef]
- Keshavarzipour, F.; Tavakol, H. Zinc cation supported on carrageenan magnetic nanoparticles: A novel, green, and efficient catalytic system for one-pot three-component synthesis of quinolone. Appl. Organometal. Chem. 2017, 31, e3682. [Google Scholar] [CrossRef]
- Rostamnia, S.; Doustkhah, E.; Baghban, A.; Zeynizadeh, B. Seaweed-derived κ-carrageenan: Modified κ-carrageenan as a recyclable green catalyst in the multicomponent synthesis of aminophosphonates and polyhydroquinolines. J. Appl. Polym. Sci. 2016, 133, 43190. [Google Scholar] [CrossRef]
- Al-Matar, H.M.; Khalil, K.D.; Meier, H.; Kolshorn, H.; Elnagdi, M.H. Chitosan as heterogeneous catalyst in Michael additions: The reaction of cinnamonitriles with active methylene moieties and phenols. Arkivoc 2008, 16, 288–301. [Google Scholar]
- Quignard, F.; Choplin, A.; Domard, A. Chitosan: A natural polymeric support of catalysts for the synthesis of fine chemicals. Langmuir 2000, 16, 9106–9108. [Google Scholar] [CrossRef]
- Valentin, R.; Molvinger, K.; Viton, C.; Domard, A.; Quignard, F. From hydrocolloids to high specific surface area porous supports for catalysis. Biomacromolecules 2005, 6, 2785–2792. [Google Scholar] [CrossRef]
- Vincent, T.; Guibal, E. Chitosan-supported palladium catalyst. 3. Influence of experimental parameters of nitrophenol degradation. Langmuir 2003, 19, 8475–8483. [Google Scholar] [CrossRef]
- Cirtiu, C.M.; Dunlop-Briere, A.F.; Moores, A. Cellulose nanocrystallites as an efficient support for nanoparticles of palladium: Application for catalytichydrogenation and Heck coupling under mild conditions. Green Chem. 2011, 13, 288–291. [Google Scholar] [CrossRef]
- Baran, T. Pd(0) nanocatalyst stabilized on a novel agar/pectin composite and its catalytic activity in the synthesis of biphenyl compounds by Suzuki-Miyaura cross coupling reaction and reduction of o-nitroaniline. Carbohydr. Polym. 2018, 195, 45–52. [Google Scholar] [CrossRef]
- Baran, T.; Baran, N.Y.; Mentes, A. An easily recoverable and highly reproducible agar-supported palladium catalyst for Suzuki-Miyaura coupling reactions and reduction of o-nitroaniline. Int. J. Biol. Macromol. 2018, 115, 249–256. [Google Scholar] [CrossRef] [PubMed]
- Xu, X.; Liu, P.; Li, S.H.; Zhang, P.; Wang, X.Y. Chitosan-supported imine palladacycle complex and its catalytic performance for heck reaction. Reac. Kinet. Catal. Lett. 2006, 88, 217–223. [Google Scholar] [CrossRef]
- Zhou, P.; Wang, H.; Yang, J.; Tang, J.; Sun, D.; Tang, W. Bacteria Cellulose Nanofibers Supported Palladium(0) Nanocomposite and Its Catalysis Evaluation in Heck Reaction. Ind. Eng. Chem. Res. 2012, 51, 5743–5748. [Google Scholar] [CrossRef]
- Gholinejad, M. Palladium nanoparticles supported on agarose-catalyzed Heck–Matsuda and Suzuki–Miyaura coupling reactions using aryl diazonium salts. Appl. Organomet. Chem. 2013, 27, 19–22. [Google Scholar] [CrossRef]
- Wu, C.; Peng, X.; Zhong, L.; Li, X.; Sun, R. Green synthesis of palladium nanoparticles via branched polymers: A bio-based nanocomposite for C–C coupling reactions. RSC Adv. 2016, 6, 32202–32211. [Google Scholar] [CrossRef]
- Baran, N.Y.; Baran, T.; Menteş, A. Production of novel palladium nanocatalyst stabilized with sustainable chitosan/cellulose composite and its catalytic performance in Suzuki-Miyaura coupling reactions. Carbohydr. Polym. 2018, 181, 596–604. [Google Scholar] [CrossRef]
- Primo, A.; Liebel, M.; Quignard, F. Palladium coordination biopolymer: A versatile access to highly porous dispersed catalyst for suzuki reaction. Chem. Mater. 2009, 21, 621–627. [Google Scholar] [CrossRef]
- Budarin, V.L.; Clark, J.H.; Luque, R.; Macquarrie, D.J.; White, R.J. Palladium nanoparticles on polysaccharide-derived mesoporous materials and their catalytic performance in C–C coupling reactions. Green Chem. 2008, 10, 382–387. [Google Scholar] [CrossRef]
- Jebali, Z.; Granados, A.; Nabili, A.; Boufi, S.; Do Rego, A.M.B.; Majdoub, H.; Vallribera, A. Cationic cellulose nanofibrils as a green support of palladium nanoparticles: Catalyst evaluation in Suzuki reactions. Cellulose 2018, 25, 6963–6975. [Google Scholar] [CrossRef]
- Bailie, J.E.; Hutchings, G.J.; O’Leary, S. Supported Catalysts. In Encyclopedia of Materials: Science and Technology; Elsevier: Amsterdam, The Netherlands, 2001. [Google Scholar]
- Maluenda, I.; Navarro, O. Recent developments in the Suzuki-Miyaura reaction: 2010–2014. Molecules 2015, 20, 7528–7557. [Google Scholar] [CrossRef]
- Karimi, B.; Abedi, S.; Zamani, A. Coupling Reactions Induced by Polymer-Supported Catalysts. In Palladium-Catalyzed Coupling Reactions: Practical Aspects and Future Developments; Molnár, Á., Ed.; John Wiley & Son: Weinheim, Germany, 2013; pp. 141–200. [Google Scholar]
- Molnár, Á.; Papp, A. The use of polysaccharides and derivatives in palladium-catalyzed coupling reactions. Catal. Sci. Technol. 2014, 4, 295–310. [Google Scholar] [CrossRef]
- Miller-Chou, B.A.; Koenig, J.L. A review of polymer dissolution. Prog. Polym. Sci. 2003, 28, 1223–1270. [Google Scholar] [CrossRef]
- Árpád, M. The use of chitosan-based metal catalysts in organic transformations. Coord. Chem. Rev. 2019, 388, 126–171. [Google Scholar]
- Guo, M.Q.; Hu, X.; Wang, C.; Lianzhong, A. Solubility of Polysaccharides. In Polysaccharides: Structure and Solubility; Xu, Z., Ed.; InTech: London, UK, 2017; pp. 7–21. ISBN 9789535136507. [Google Scholar]
- Hardy, J.J.; Hubert, S.; Macquarrie, D.J.; Wilson, A.J. Chitosan-based heterogeneous catalysts for Suzuki and Heck reactions. Green Chem. 2004, 6, 53–56. [Google Scholar] [CrossRef]
- Leonhardt, S.E.; Stolle, A.; Ondruschka, B.; Cravotto, G.; De Leo, C.; Jandt, K.D.; Keller, T.F. Chitosan as a support for heterogeneous Pd catalysts in liquid phase catalysis. Appl. Catal. A Gen. 2010, 379, 30–37. [Google Scholar] [CrossRef]
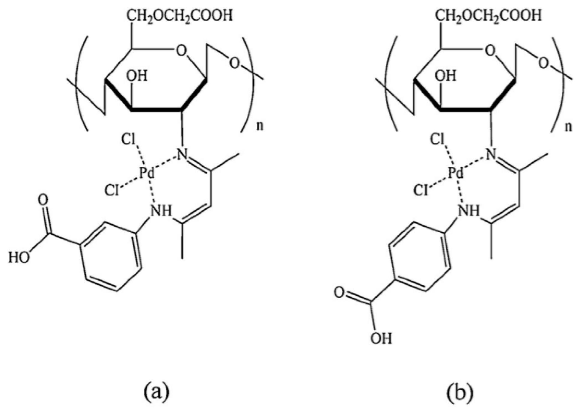
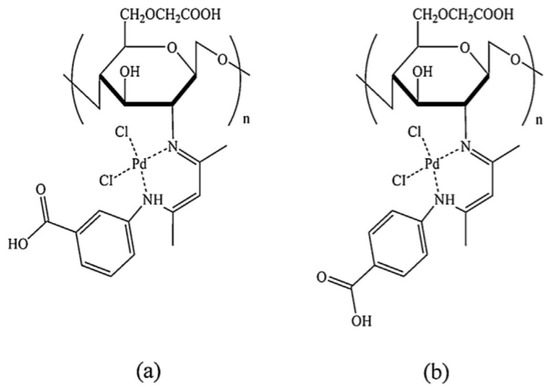
- Baran, T.; Açıksöz, E.; Menteş, A. Carboxymethyl chitosan Schiff base supported heterogeneous palladium (II) catalysts for Suzuki cross-coupling reaction. J. Mol. Catal. A Chem. 2015, 407, 47–52. [Google Scholar] [CrossRef]
- Baran, T.; Sargin, I.; Kaya, M.; Menteş, A. An environmental catalyst derived from biological waste materials for green synthesis of biaryls via Suzuki coupling reactions. J. Mol. Catal. A Chem. 2016, 420, 216–221. [Google Scholar] [CrossRef]
- Baran, T.; Sargin, I.; Menteş, A.; Kaya, M. Exceptionally high turnover frequencies recorded for a new chitosan-based palladium (II) catalyst. Appl. Catal. A Gen. 2016, 523, 12–20. [Google Scholar] [CrossRef]
- Baran, T. A new chitosan Schiff base supported Pd (II) complex for microwave-assisted synthesis of biaryls compounds. J. Mol. Struct. 2017, 1141, 535–541. [Google Scholar] [CrossRef]
- Baran, T.; Yılmaz Baran, N.; Menteş, A. A new air and moisture stable robust bio-polymer based palladium catalyst for highly efficient synthesis of biaryl compounds. Appl. Organomet. Chem. 2018, 32, e4076. [Google Scholar] [CrossRef]
- Baran, T.; Baran, N.Y.; Menteş, A. Highly active and recyclable heterogeneous palladium catalyst derived from guar gum for fabrication of biaryl compounds. Int. J. Biol. Macromol. 2019, 132, 1147–1154. [Google Scholar] [CrossRef] [PubMed]
- Baran, T.; Baran, N.Y.; Menteş, A. Preparation, structural characterization, and catalytic performance of Pd (II) and Pt (II) complexes derived from cellulose Schiff base. J. Mol. Struct. 2018, 1160, 154–160. [Google Scholar] [CrossRef]
- Baran, N.Y.; Baran, T.; Menteş, A. Fabrication and application of cellulose Schiff base supported Pd (II) catalyst for fast and simple synthesis of biaryls via Suzuki coupling reaction. Appl. Catal. A Gen. 2017, 531, 36–44. [Google Scholar] [CrossRef]
- Baran, T. Practical, economical, and eco-friendly starch-supported palladium catalyst for Suzuki coupling reactions. J. Colloid Interface Sci. 2017, 496, 446–455. [Google Scholar] [CrossRef]
- Baran, T. Highly recoverable, reusable, cost-effective, and Schiff base functionalized pectin supported Pd (II) catalyst for microwave-accelerated Suzuki cross-coupling reactions. Int. J. Biol. Macromol. 2019, 127, 232–239. [Google Scholar] [CrossRef]
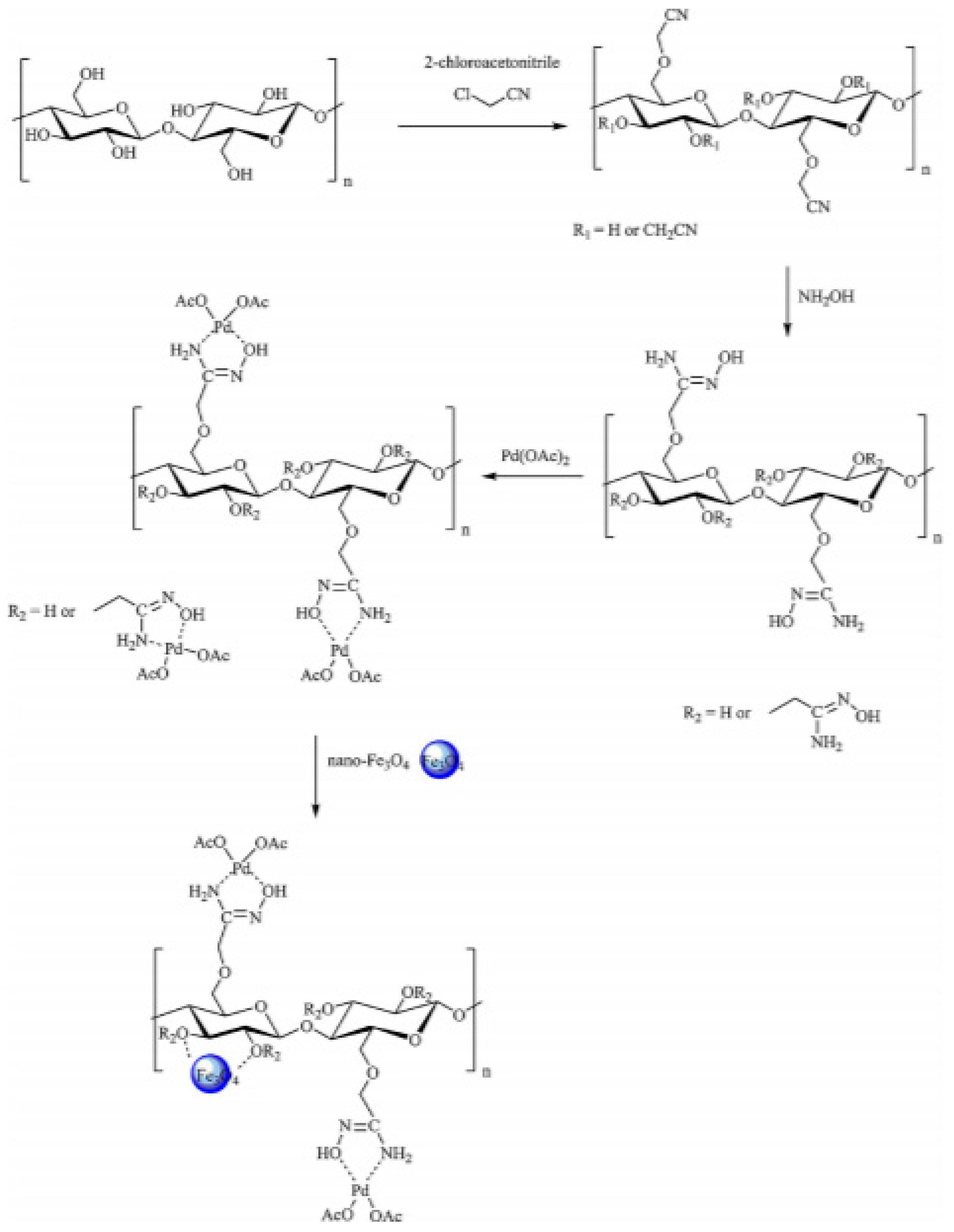
- Dong, Y.; Bi, J.; Zhu, D.; Meng, D.; Ming, S.; Guo, W.; Chen, Z.; Liu, Q.; Guo, L.; Li, T. Functionalized cellulose with multiple binding sites for a palladium complex catalyst: synthesis and catalyst evaluation in Suzuki–Miyaura reactions. Cellulose 2019, 26, 7355–7370. [Google Scholar] [CrossRef]
- Sabaqian, S.; Nemati, F.; Nahzomi, H.T.; Heravi, M.M. Palladium acetate supported on amidoxime-functionalized magnetic cellulose: Synthesis, DFT study and application in Suzuki reaction. Carbohydr. Polym. 2017, 177, 165–177. [Google Scholar] [CrossRef]
- Lasri, J.; Mac Leod, T.C.; Pombeiro, A.J. Oxadiazoline and ketoimine palladium (II) complexes supported on a chitosan membrane and their catalytic activity for the microwave-assisted Suzuki–Miyaura cross-coupling in water. Appl. Catal. A Gen. 2011, 397, 94–102. [Google Scholar] [CrossRef]
- Wang, X.; Hu, P.; Xue, F.; Wei, Y. Cellulose-supported N-heterocyclic carbene-palladium catalyst: Synthesis and its applications in the Suzuki cross-coupling reaction. Carbohydr. Polym. 2014, 114, 476–483. [Google Scholar] [CrossRef]
- Chen, W.; Zhong, L.X.; Peng, X.W.; Wang, K.; Chen, Z.F.; Sun, R.C. Xylan-type hemicellulose supported palladium nanoparticles: A highly efficient and reusable catalyst for the carbon–carbon coupling reactions. Catal. Sci. Technol. 2014, 4, 1426–1435. [Google Scholar] [CrossRef]
- Wang, X.; Xu, Y.; Wang, F.; Wei, Y. Functionalized cellulose-supported triphenylphosphine and its application in Suzuki cross-coupling reactions. J. Appl. Polym. Sci. 2015, 132, 41427. [Google Scholar] [CrossRef]
- Levy-Ontman, O.; Biton, S.; Shlomov, B.; Wolfson, A. Renewable polysaccharides as supports for palladium phosphine catalysts. Polymers 2018, 10, 659. [Google Scholar] [CrossRef]
- Wolfson, A.; Biton, S.; Levy-Ontman, O. Study of Pd-based catalysts within red algae-derived polysaccharide supports in a Suzuki cross-coupling reaction. RSC Adv. 2018, 8, 37939–37948. [Google Scholar] [CrossRef]
- Wolfson, A.; Pierschel, E.; Orzehovsky, T.; Nirenberg, S.; Levy-Ontman, O. Heterogeneous iota carrageenan-based palladium catalysts for organic synthesis. Org. Commun. 2019, 12, 149–159. [Google Scholar] [CrossRef]
- Levy-Ontman, O.; Blum, D.; Golden, R.; Pierschel, E.; Leviev, S.; Wolfson, A. Palladium Based-Polysaccharide Hydrogels as Catalysts in the Suzuki Cross-Coupling Reaction. J. Inorg. Organomet. Polym. Mater. 2019, 1–15. [Google Scholar] [CrossRef]

















| Polysaccharide | Functional Groups | Branched/Linear | Building Block |
|---|---|---|---|
| Chitosan | -NH2 -OH -NHCOCH3 | Linear | β (1,4)-N-acetyl-d-glucosamine and d-glucosamine |
| Cellulose | -OH | Linear | β-(1→4)-d-glucopyranose |
| Hemicellulose | -COO− -OH -CH3COOCH2 -CH2OH | Branched | Xylose β-(1→4)-d-glucopyranose β-(1→4) Mannose β-(1→4) glucopyranose α1-3-glucopyranose |
| Starch | Linear and Branched | α1-4-glucopyranose and α1-6)-d-glucopyranose at the branch points | |
| Agar | -CH2OH -OH | Linear | β-d-Gal and 3,6-anhydro-α-d-Gal, which alternate through 1→4 and 1→3 linkages |
| Iota carrageenan | -OH, -OSO3− | Linear | d-Gal-4-sulfate,3,6-anhydro-d-Gal-2-sulfate |
| Catalyst | mol% Pd | t (min) | Yield (%) | Selectivity (%) |
|---|---|---|---|---|
| A1 | 0.12 | 10 | 58 | 97 |
| 0.28 | 10 | 73 | 96 | |
| A2 | 0.19 | 10 | >99 | >99 |
| 0.19 | 5 | >99 | >99 | |
| B1 | 0.2 | 10 | >99 | >99 |
| 0.2 | 5 | >99 | >99 | |
| C1 | 0.25 | 10 | 55 | 98 |
| 0.48 | 10 | 45 | 95 |
| Ref | Polymer | Halobenzene | Solvent | T (°C) | Heating | TOF (h−1) |
|---|---|---|---|---|---|---|
| [97] | Chitosan | 4-Bromoanisole | o-Xylene | 143 | CV | 1104 |
| [98] | Chitosan | 4-Bromophenol | Water | 130 | MW | 10 |
| [99] | Chitosan | 4-Bromoanisole | Toluene | 120 | CV | 51 |
| [100] | Chitosan–Ulva | 4-Bromoanisole | No | 50 | MW | 75,000 |
| [101] | Chitosan | 4-Bromoanisole | No | 120 | MW | 240,964 |
| [102] | Chitosan | 4-Bromoanisole | None | 120 | MW | 202,087 |
| [103] | Starch | 4-Bromoanisole | No | 50 | MW | 495 |
| [81] | Agar | 4-Bromoanisole | No | 50 | MW | 3233 |
| [104] | Guar Gum | 4-Bromoanisole | No | 50 | MW | 60,000 |
| [105] | Cellulose | 4-Bromoanisole | No | 50 | MW | 4028 |
| [106] | Cellulose | 4-Bromoanisole | No | 50 | MW | 198,000 |
| [107] | Starch | 4-Bromoanisole | No | 50 | MW | 312,500 |
| [108] | Pectin | 4-Bromoanisole | None | 120 | MW | 11,875 |
| [109] | Cellulose | 4-Bromoanisole | EtOH/H2O (1:1) | 70 | CV | 1187 |
| [110] | Cellulose | 4-Iodoanisole | EtOH/H2O (2:1) | 55 | CV | 6293 |
| [111] | Chitosan | 4-Bromoanisole | None | 120 | MW | 5800 |
| [112] | Cellulose | 4-Bromoanisole | DMF:H2O (1:1) | 80 | CV | 61 |
| [113] | Xylan-type hemi-cellulose | 4-Bromoanisole | Methanol | 25 | CV | 9.4 |
| [114] | Cellulose | 4-Bromoanisole | EtOH | 80 | CV | 341 |
| [115] | Iota carrageenan | Iodobenzene | EtOH | 50 | CV | 1.3 |
| [118] | Iota carrageenan | Iodobenzene | EtOH | 50 | CV | 1.71 |
© 2020 by the authors. Licensee MDPI, Basel, Switzerland. This article is an open access article distributed under the terms and conditions of the Creative Commons Attribution (CC BY) license (http://creativecommons.org/licenses/by/4.0/).
Share and Cite
Wolfson, A.; Levy-Ontman, O. Recent Developments in the Immobilization of Palladium Complexes on Renewable Polysaccharides for Suzuki–Miyaura Cross-Coupling of Halobenzenes and Phenylboronic Acids. Catalysts 2020, 10, 136. https://doi.org/10.3390/catal10010136
Wolfson A, Levy-Ontman O. Recent Developments in the Immobilization of Palladium Complexes on Renewable Polysaccharides for Suzuki–Miyaura Cross-Coupling of Halobenzenes and Phenylboronic Acids. Catalysts. 2020; 10(1):136. https://doi.org/10.3390/catal10010136
Chicago/Turabian StyleWolfson, Adi, and Oshrat Levy-Ontman. 2020. "Recent Developments in the Immobilization of Palladium Complexes on Renewable Polysaccharides for Suzuki–Miyaura Cross-Coupling of Halobenzenes and Phenylboronic Acids" Catalysts 10, no. 1: 136. https://doi.org/10.3390/catal10010136
APA StyleWolfson, A., & Levy-Ontman, O. (2020). Recent Developments in the Immobilization of Palladium Complexes on Renewable Polysaccharides for Suzuki–Miyaura Cross-Coupling of Halobenzenes and Phenylboronic Acids. Catalysts, 10(1), 136. https://doi.org/10.3390/catal10010136
