Next Issue
Volume 17, February
Previous Issue
Volume 16, October
 
 

Games, Volume 16, Issue 6 (December 2025) – 11 articles

Cover Story (view full-size image): Tennis is a sport of strategy and finesse. Game theorists love it. Strategically sophisticated tennis analytics has become an integral part of match preparation, and new coaching rules turn strategies live and interactive. The tiniest advantage decides a match, and a growing analytics industry works tirelessly to give players that edge. Notwithstanding, economists have cited tennis as behavioral evidence of optimal unpredictability, beginning with an article from 2001, which analyzed a dozen famous tennis matches from a long time ago. In this article, Ben Depoorter, co-founder of the leading tennis analytics firm, teamed up with Heinrich Nax, Ivan Lendl, Miha Mlakar and Simon Jantschgi to debunk that minimax myth: even the best servers in the game are predictable under pressure. Even today, knowing that can decide between a Win or a Loss. View this paper
  • Issues are regarded as officially published after their release is announced to the table of contents alert mailing list.
  • You may sign up for e-mail alerts to receive table of contents of newly released issues.
  • PDF is the official format for papers published in both, html and pdf forms. To view the papers in pdf format, click on the "PDF Full-text" link, and use the free Adobe Reader to open them.
Order results
Result details
Section
Select all
Export citation of selected articles as:
35 pages, 432 KB  
Article
A Dichotomous Analysis of Unemployment Benefits
by Xingwei Hu
Games 2025, 16(6), 66; https://doi.org/10.3390/g16060066 - 10 Dec 2025
Viewed by 851
Abstract
This paper introduces a novel framework for designing fair and sustainable unemployment benefits, grounded in cooperative game theory and real-time fiscal policy. The labor market is modeled as a coalitional game, where a random subset of participants is employed, generating stochastic economic output. [...] Read more.
This paper introduces a novel framework for designing fair and sustainable unemployment benefits, grounded in cooperative game theory and real-time fiscal policy. The labor market is modeled as a coalitional game, where a random subset of participants is employed, generating stochastic economic output. To ensure fairness, we adopt equal employment opportunity as a normative benchmark and propose a dichotomous valuation rule that assigns value to both employed and unemployed participants. Within a continuous-time, balanced budget framework, we derive a closed-form payroll tax rate that is fair, debt-free, and asymptotically risk-free. This tax rule is robust across alternative objectives and promotes employment, productivity, and equality of outcome. The framework naturally extends to other domains involving random bipartitions and shared payoffs, such as voting rights, health insurance, road tolling, and feature selection in machine learning. Our approach offers a transparent, theoretically grounded policy tool for reducing poverty and economic inequality while maintaining fiscal discipline. Full article
(This article belongs to the Section Cooperative Game Theory and Bargaining)
Show Figures

Figure 1

45 pages, 496 KB  
Article
The Effect of Foreign Influence on Conflict and Social Identity in Ethnically Diverse Societies
by Esther Hauk
Games 2025, 16(6), 65; https://doi.org/10.3390/g16060065 - 9 Dec 2025
Viewed by 2219
Abstract
This paper develops a formal model to analyze how foreign interventions—via resource transfers towards mobilization, technological upgrades of the mobilization technology, and various forms of conditional aid—reshape identity choices and conflict dynamics in divided societies. After a foreign intervention occurred, individuals simultaneously decided [...] Read more.
This paper develops a formal model to analyze how foreign interventions—via resource transfers towards mobilization, technological upgrades of the mobilization technology, and various forms of conditional aid—reshape identity choices and conflict dynamics in divided societies. After a foreign intervention occurred, individuals simultaneously decided how many resources to allocate to conflict and whether to identify as ethnic or national. The utility derived from identity decreases with the perceived social distance from the chosen group and increases with the group’s status. Foreign interventions can modify identity choices by affecting perceived social distance or group status. Our results reveal that inclusive aid and material support for mobilization are likely to induce national identification. Conversely, exclusive or ethnically targeted aid and technological upgrades of mobilization technology are likely to result in ethnic identification. We show that for all types of interventions analyzed, conflict mobilization is lower and the intervened nation’s material payoff is higher when individuals identify nationally than ethnically. Full article
13 pages, 1244 KB  
Article
Decisions in the Basketball Endgame: A Downside of the Three-Point Revolution
by Luka Secilmis, Teo Secilmis, Simon Jantschgi and Heinrich H. Nax
Games 2025, 16(6), 64; https://doi.org/10.3390/g16060064 - 8 Dec 2025
Viewed by 2055
Abstract
Von Neumann’s minimax theorem defines optimal strategic unpredictability in zero-sum games. Empirical evidence from professional sports has been interpreted as positive behavioral evidence for minimax. In this article, we analyze the strategic optimality of offensive plays in the basketball endgame when a team [...] Read more.
Von Neumann’s minimax theorem defines optimal strategic unpredictability in zero-sum games. Empirical evidence from professional sports has been interpreted as positive behavioral evidence for minimax. In this article, we analyze the strategic optimality of offensive plays in the basketball endgame when a team has a final possession and trails by no more than a single basket. This final moment of the game most closely approximates the simultaneous-move conditions of a game where minimax theory applies. Using comprehensive NBA data from 2010 to 2025, we test for equality of success rates across shooter types (star vs. non-stars) and shot selection (two-point vs. three-point). Our analysis reveals systematic violations of minimax play that have intensified with basketball’s shift to three-pointers and higher expected points. In the final decisive moment of the game, we find that teams systematically overuse three-point shots even though the two-point attempt yields higher field goal percentages. In addition, teams over-rely on star players for the final shot; non-star two-point shots have been the top-performing endgame option in 2022–2025. Full article
(This article belongs to the Special Issue Game Theory, Sports and Athletes’ Behavior Under Pressure)
Show Figures

Figure 1

24 pages, 1357 KB  
Article
Moral Emotions and Beliefs Influence Charitable Giving
by Garret Ridinger and Anne Carpenter
Games 2025, 16(6), 63; https://doi.org/10.3390/g16060063 - 5 Dec 2025
Viewed by 2080
Abstract
This paper studies the influence of moral emotions and beliefs on understanding charitable giving. While specific moral emotions such as empathy, guilt, and shame have been associated with prosocial behavior, how they impact giving behavior may depend on beliefs about the giving of [...] Read more.
This paper studies the influence of moral emotions and beliefs on understanding charitable giving. While specific moral emotions such as empathy, guilt, and shame have been associated with prosocial behavior, how they impact giving behavior may depend on beliefs about the giving of others. Using a laboratory experiment, individuals participated in a dictator game with charity and completed measures of beliefs, empathy, guilt, and shame. Results show that while individual variation in empathy, guilt, and shame is important in explaining charitable giving, these effects depend crucially on individual beliefs. Full article
Show Figures

Figure 1

28 pages, 4025 KB  
Article
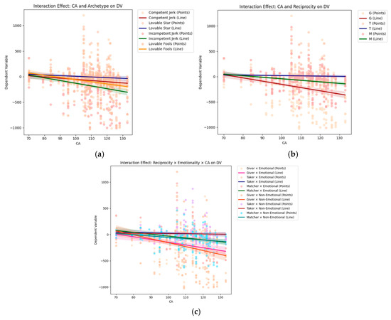
Behavioural Signatures of Wise Negotiators: An Experimental Approach Using an Investment Game
by Prarthana Saikia and Ankita Sharma
Games 2025, 16(6), 62; https://doi.org/10.3390/g16060062 - 1 Dec 2025
Viewed by 1516
Abstract
Wisdom in negotiation is increasingly vital in managing conflicts, yet its behavioural expression remains underexplored. This study explores the behavioural signatures of individuals nominated as wise negotiators within an organisational context. There were 48 participants recruited as wise negotiators from a larger pool [...] Read more.
Wisdom in negotiation is increasingly vital in managing conflicts, yet its behavioural expression remains underexplored. This study explores the behavioural signatures of individuals nominated as wise negotiators within an organisational context. There were 48 participants recruited as wise negotiators from a larger pool of 313 participants. There were three manipulations used: archetypes (personality), reciprocity style, and emotionality, resulting in a 4X3X2 design (24 conditions). Participants were also asked to fill out various wisdom related questionnaires. Each participant had to go through 24 conditions separately before playing an investment game each time. For the analysis purpose, three-way repeated ANOVA and three-way repeated ANCOVA were used. The results revealed that there was a difference in how wise negotiators negotiate differently with different archetypes (p < 0.01), reciprocity (p < 0.01) and emotional situations (p < 0.01). Additionally, there were also interaction effects of archetypes, reciprocity and emotional situations (p < 0.05). Notably, when wisdom variables were statistically controlled, these differences became nonsignificant. A supplementary 2 × 2 design explored gender interactions, showing that outcomes differed by opponents’ gender but not by the gender of the wise negotiator. This finding highlights the role of wisdom traits in strategic negotiation and has implications for training and selection in a high-stakes negotiation context. Full article
(This article belongs to the Section Behavioral and Experimental Game Theory)
Show Figures

Figure 1

10 pages, 696 KB  
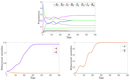
Article
On SEIR Epidemic Dynamics with Pro- and Anti-Vaccination Strategies: An Evolutionary Game Theory Approach
by Karam Allali
Games 2025, 16(6), 61; https://doi.org/10.3390/g16060061 - 19 Nov 2025
Viewed by 1267
Abstract
We investigate a susceptible–exposed–infected–recovered (SEIR) epidemic model that distinguishes between two subpopulations: individuals favoring vaccination (pro-vaccination), represented by the compartments (SP,EP,IP,RP), and those opposing vaccination [...] Read more.
We investigate a susceptible–exposed–infected–recovered (SEIR) epidemic model that distinguishes between two subpopulations: individuals favoring vaccination (pro-vaccination), represented by the compartments (SP,EP,IP,RP), and those opposing vaccination (anti-vaccination), described by (SA,EA,IA,RA). The two systems are interconnected through flows between the susceptible classes, capturing the possibility of individuals switching their vaccination strategy, as well as through transitions involving recovered individuals. This framework captures the behavioral interplay during an epidemic, where individuals may reconsider their strategies depending on infection prevalence and the perceived costs and benefits of vaccination versus infection. In the model, immunity may be acquired either through vaccination or after being infected, while waning immunity adds further complexity to individual decision-making. To study these dynamics, we embed the epidemiological system into an evolutionary game framework, where strategy adoption depends on infection levels and associated payoffs. Our analysis shows that, at Nash equilibrium, both pro- and anti-vaccination groups exhibit similar behavior. Numerical simulations further indicate that greater vaccination coverage mitigates the social dilemma, whereas higher rates of waning immunity intensify it. Full article
Show Figures

Figure 1

12 pages, 277 KB  
Article
Minimax Under Pressure: The Case of Tennis
by Ben Depoorter, Simon Jantschgi, Ivan Lendl, Miha Mlakar and Heinrich H. Nax
Games 2025, 16(6), 60; https://doi.org/10.3390/g16060060 - 18 Nov 2025
Cited by 1 | Viewed by 1947
Abstract
A series of articles has tested von Neumann’s minimax theory against behavioral evidence based on field data from professional sports. The evidence has been viewed and collectively cited as positive evidence that elite athletes in their familiar sports contexts mix well and behave [...] Read more.
A series of articles has tested von Neumann’s minimax theory against behavioral evidence based on field data from professional sports. The evidence has been viewed and collectively cited as positive evidence that elite athletes in their familiar sports contexts mix well and behave in line with minimax. In this paper, based on open state-of-the-art tennis data and analytics, we shall uncover new and significant evidence against minimax at the very top of the game, where previously, such results had not been obtained. The kinds of behavioral deviations from minimax that we find become apparent, because we enrich the test strategy to take into account whether or not players face ‘pressure’ situations like break points and other decisive points. Our paper highlights that the prior literature’s failure to reject minimax does not constitute positive behavioral evidence, as some of that literature argued, because it is not robust to data aggregations and separations that are psychologically natural given the relevant real-world context. In this case, this means separating serves into the serve types that players actually consider and separating situations by pressure levels, which leads to clear and sound rejection of minimax. Full article
(This article belongs to the Special Issue Game Theory, Sports and Athletes’ Behavior Under Pressure)
16 pages, 1214 KB  
Article
Linear Programming for Computing Equilibria Under Truncation Selection and Designing Defensive Strategies Against Malicious Opponents
by Zhuoer Zhang and Bryce Morsky
Games 2025, 16(6), 59; https://doi.org/10.3390/g16060059 - 12 Nov 2025
Viewed by 1035
Abstract
Linear programming and polyhedral representation conversion methods have been widely applied to game theory to compute equilibria. Here, we introduce new applications of these methods to two game-theoretic scenarios in which players aim to secure sufficiently large payoffs rather than maximum payoffs. The [...] Read more.
Linear programming and polyhedral representation conversion methods have been widely applied to game theory to compute equilibria. Here, we introduce new applications of these methods to two game-theoretic scenarios in which players aim to secure sufficiently large payoffs rather than maximum payoffs. The first scenario concerns truncation selection, a variant of the replicator equation in evolutionary game theory where players with fitnesses above a threshold survive and reproduce while the remainder are culled. We use linear programming to find the sets of equilibria of this dynamical system and show how they change as the threshold varies. The second scenario considers opponents who are not fully rational but display partial malice: they require a minimum guaranteed payoff before acting to minimize their opponent’s payoff. For such cases, we show how generalized maximin procedures can be computed with linear programming to yield improved defensive strategies against such players beyond the classical maximin approach. For both scenarios, we provide detailed computational procedures and illustrate the results with numerical examples. Full article
(This article belongs to the Section Non-Cooperative Game Theory)
Show Figures

Figure 1

22 pages, 553 KB  
Article
Provision of Public Goods via Unilateral but Mutually Conditional Commitments—Mechanism, Equilibria, and Learning
by Jobst Heitzig
Games 2025, 16(6), 58; https://doi.org/10.3390/g16060058 - 5 Nov 2025
Viewed by 1396
Abstract
We propose a one-shot, non-cooperative mechanism that implements the core in a large class of public goods games. Players simultaneously choose conditional commitment functions, which are binding unilateral commitments that condition a player’s contribution on the contributions of others. We prove that the [...] Read more.
We propose a one-shot, non-cooperative mechanism that implements the core in a large class of public goods games. Players simultaneously choose conditional commitment functions, which are binding unilateral commitments that condition a player’s contribution on the contributions of others. We prove that the set of strong Nash equilibrium outcomes of this mechanism coincides exactly with the core of the underlying cooperative game. We further show that these core outcomes can be found via simple individual learning dynamics. Full article
(This article belongs to the Section Non-Cooperative Game Theory)
Show Figures

Figure 1

14 pages, 372 KB  
Article
The Bateson Game: A Model of Strategic Ambiguity, Frame Uncertainty, and Pathological Learning
by Kevin Fathi
Games 2025, 16(6), 57; https://doi.org/10.3390/g16060057 - 3 Nov 2025
Viewed by 3125
Abstract
This paper introduces the Bateson Game, a signaling game in which ambiguity over the governing rules of interaction (interpretive frames), rather than asymmetry of information about player types, drives strategic outcomes. We formalize the communication paradox of the “double bind” by defining a [...] Read more.
This paper introduces the Bateson Game, a signaling game in which ambiguity over the governing rules of interaction (interpretive frames), rather than asymmetry of information about player types, drives strategic outcomes. We formalize the communication paradox of the “double bind” by defining a class of games where a Receiver acts under uncertainty about the operative frame, while the Sender possesses private information about the true frame, benefits from manipulation, and penalizes attempts at meta-communication (clarification). We prove that the game’s core axioms preclude the existence of a separating Perfect Bayesian Equilibrium. More significantly, we show that under boundedly rational learning dynamics, the Receiver’s beliefs can become locked into one of two pathological states, depending on the structure of the Sender’s incentives. If the Sender’s incentives are cyclical, the system enters a persistent oscillatory state (an “ambiguity trap”). If the Sender’s incentives align with reinforcing a specific belief or if the Sender has a dominant strategy, the system settles into a stable equilibrium (a “certainty trap”), characterized by stable beliefs dictated by the Sender. We present a computational analysis contrasting these outcomes, demonstrating empirically how different parametrizations lead to either trap. The Bateson Game provides a novel game-theoretic foundation for analyzing phenomena such as deceptive AI alignment and institutional gaslighting, demonstrating how ambiguity can be weaponized to create durable, exploitative strategic environments. Full article
Show Figures

Figure 1

22 pages, 1317 KB  
Article
Integrating Strategic Properties with Social Perspectives: A Bipartite Classification of Two-by-Two Games
by Shacked Avrashi, Lior Givon and Ilan Fischer
Games 2025, 16(6), 56; https://doi.org/10.3390/g16060056 - 22 Oct 2025
Viewed by 1313
Abstract
Classifying games according to their strategic properties provides meaningful insights into the motivations driving the interacting parties, suggests possible future trajectories, and in some cases also points to potential interventions aiming to influence the interactions’ outcomes. Here, we present a new classification that [...] Read more.
Classifying games according to their strategic properties provides meaningful insights into the motivations driving the interacting parties, suggests possible future trajectories, and in some cases also points to potential interventions aiming to influence the interactions’ outcomes. Here, we present a new classification that merges two perspectives: (i) a revised version of Rapoport and Guyer’s taxonomy, which extends beyond the original 78 games they describe by classifying all two-by-two games according to fundamental strategic properties, and (ii) a novel classification grounded in the theory of subjective expected relative similarity, which addresses not only the games’ payoffs but also the players’ strategic perceptions of their opponents. While Rapoport and Guyer’s original taxonomy classifies only strictly-ordinal games, the revised classification addresses all two-by-two games. It comprises eleven categories that are further grouped into five super-categories that focus on the game’s expected outcome and its strategic stability. The second, similarity-based, classification comprises four main categories, specifying whether players’ perceptions of their opponents have the potential to influence strategic decision-making. The merged classification comprises 14 game types, offering a holistic account of the strategic interaction, the players’ underlying motivations, and the expected outcome. It combines the fixed strategic properties with the variable social aspects of the interaction. Moreover, the novel classification points to the potential of social interventions that may influence the game’s outcome by altering strategic similarity perceptions. Therefore, the present work is relevant for both theoretical and experimental research, providing insights into actual choices expected inside and outside of the laboratory. Full article
(This article belongs to the Section Algorithmic and Computational Game Theory)
Show Figures

Figure 1

Previous Issue
Next Issue
Back to TopTop