Next Article in Journal
Impact of Artificial Intelligence on Pancreaticobiliary Endoscopy
Next Article in Special Issue
Identifying High-Risk Patients with Advanced Midface Cancer: Personalized Surgical and Reconstructive Approach for Radical Resection
Previous Article in Journal
Surgical Management of Gastroenteropancreatic Neuroendocrine Tumors
Previous Article in Special Issue
Racial and Geographic Disparities in Colorectal Cancer Incidence and Associated County-Level Risk Factors in Mississippi, 2003–2020: An Ecological Study
 
 
Font Type:
Arial Georgia Verdana
Font Size:
Aa Aa Aa
Line Spacing:
Column Width:
Background:
Article

A Pan-Cancer Analysis of Age and Sex Differences in Cancer Incidence and Survival in the United States, 2001–2020

by
Rachel C. Selvaraj
1,2,
Gino Cioffi
1,
Kristin A. Waite
1,
Sarah S. Jackson
3 and
Jill S. Barnholtz-Sloan
1,4,*
1
Trans Divisional Research Program, Division of Cancer Epidemiology and Genetics, National Cancer Institute, Bethesda, MD 20892, USA
2
Department of Statistics, University of Illinois Urbana-Champaign, Champaign, IL 61820, USA
3
Infections and Immunoepidemiology Branch, Division of Cancer Epidemiology and Genetics, National Cancer Institute, Bethesda, MD 20892, USA
4
Center for Biomedical Informatics and Information Technology, National Cancer Institute, Bethesda, MD 20892, USA
*
Author to whom correspondence should be addressed.
Cancers 2025, 17(3), 378; https://doi.org/10.3390/cancers17030378
Submission received: 9 December 2024 / Revised: 15 January 2025 / Accepted: 18 January 2025 / Published: 24 January 2025
(This article belongs to the Special Issue Feature Paper in Section 'Cancer Epidemiology and Prevention' in 2024)

Simple Summary

In cancer, age and sex are often studied individually, but the impact of the intersection of these factors on cancer incidence and survival remains unclear. Using the most up-to-date data, we provide an up-to-date analysis of the impact of sex and age on cancer incidence and survival. Using population-based data from the United States Cancer Statistics public use research database and the Centers for Disease Control and Prevention’s National Program of Cancer Registries Survival database, we assessed sex and age differences in the incidence and survival of cancers diagnosed from 2001 to 2020. Results demonstrate significant age and sex differences in cancer incidence and survival across the US from 2001 to 2020. Males had a higher cancer incidence compared to females, with notable exceptions for younger age groups among certain types, suggesting age may be a critical component in further understanding the biology of sex differences in cancer.

Abstract

Background: In cancer, age and sex are often studied individually, but the impact of the intersection of these factors on cancer incidence and survival remains unclear. Using population-level data, we provide an up-to-date analysis of the impact of sex and age on cancer incidence and survival. Methods: Using data from the United States Cancer Statistics public use research database and the Centers for Disease Control and Prevention’s National Program of Cancer Registries Survival database, we assessed sex and age differences in the incidence and survival of malignant cancers diagnosed from 2001 to 2020. Results: Males experienced higher cancer incidence than females in all sites and age groups, excluding 20–29- and 30–39-year-olds. The highest Male-to-female (M:F) age-adjusted incidence rates (IRR) were observed in mesothelioma within ages 80+ (IRR: 5.48; 95% CI: 5.25–5.71; p < 0.001), and lowest in endocrine cancer within ages 20–29 years (M:F IRR: 0.20; 95% CI: 0.20–0.21; p < 0.001). Among all sites and age groups, excluding 0–9 years, males experienced worse survival than females, particularly within ages 20–29 years (Hazard Ratio (HR): 2.19; 95% CI: 2.15–2.23; p < 0.001). Highest M:F HRs were observed in endocrine system cancers within ages 20–29 (HR: 3.52; 95% CI: 3.15–3.94; p < 0.001), and lowest among lymphomas within ages 0–9 (HR: 0.74; 95% CI: 0.63–0.87; p < 0.001). Conclusions: Significant age and sex differences in cancer incidence and survival were observed across the US from 2001 to 2020. Males had a higher cancer incidence compared to females, with notable exceptions for younger age groups among certain types, suggesting age may be a critical component in further understanding the biology of sex differences in cancer.

1. Introduction

Existing research identifies differences in cancer incidence and survival across both age and sex [1,2,3]. Studies are now focusing on the intersection of age and sex in various cancer types and how these variables may impact cancer incidence and survival [3]. Previous studies have shown that males generally have higher cancer incidence and mortality when compared to females [1,4,5,6]. Globally, studies have demonstrated sex differences with males having a statistically significant higher incidence of cancer compared to women [7,8]. Further, there is an observed increase in cancer incidence and mortality in older age groups [9,10]. Recent research suggests that this can be attributed to the age-associated molecular landscapes and the aging nature of cancers [9,11]. Although the causes of sex differences in cancer incidence and mortality are not yet well understood, it is becoming clear that genetic, environmental, and behavioral factors likely play a role [12,13].
We have recently shown the importance of age and sex in understanding incidence and survival in primary malignant gliomas, showing that the male-to-female incidence was lowest in those aged 0–9 years and increased with age, peaking at 50–59 years. While females diagnosed with gliomas had worse survival in those aged 0–9 years, male survival was worse in all other age groups [3]. Similarly, another study showed nuanced patterns of sex-specific incidence rates with advancing age across lymphoid neoplasm subtypes [14]. Other groups have analyzed the impact of age and sex on cancer incidence, particularly among racial and ethnic groups, in which variation in male-to-female incidence by age was observed in pancreas, colorectal, anal, and lung cancers [6].
Together, these studies suggest that there exists an interaction between age and sex. Despite this, many studies have been limited in their analysis through restricted age ranges and/or primary tumor sites. As cancer etiology can vary widely across primary sites, it is important to systematically examine age and sex differences in incidence and survival across all cancers. Identification and examination of sex differences in cancer incidence and survival can provide insight into epidemiology and etiology studies. We have previously performed a pan-cancer analysis utilizing data from the United States Cancer Statistics (USCS) public use database as well as the Surveillance, Epidemiology, and End Results (SEER) public use dataset, from 2001 to 2016, to examine the impact of sex on cancer incidence and survival [1]. Here, we update this previous study, analyzing data from 2001 to 2020 and adding the variable of age to quantify differences in cancer incidence and survival across both age and sex.

2. Materials and Methods

Cancer incidence data: Population-based cancer incidence data by primary site, sex, and age groups were queried from the USCS public use research database, which comprises data from the Centers for Disease Control and Prevention’s (CDC) National Program of Cancer Registries (NPCR) and the National Cancer Institute’s (NCI) SEER [15]. All cancer incidence data within the USCS dataset are de-identified, and cell counts with fewer than 16 cases are suppressed, as they have poor reliability. Reported data from NPCR span 46 states and the District of Columbia, and SEER accounts for 22 US geographic areas, collectively representing 99.9% of the U.S. population (cases diagnosed in Mississippi from 2001 to 2002 were not available) [16]. Data were collected from 1 January 2001 to 31 December 2020. Data analysis took place from 12 June to 2 August 2024.
Survival data: Survival data by age, sex, and primary site were obtained from the NPCR survival database, which consists of 43 central cancer registries, covering 91.7% of the total US population [17]. Statistics based on fewer than 16 cases were suppressed.
Selection criteria: Cases were classified according to the International Classification of Diseases for Oncology, Third Edition (ICD-O-3) [18]. Primary site groupings were classified by the site recode ICD-O-3/WHO 2008 definition provided in the UCSC SEER*Stat database, with only malignant behavior codes (ICD-O-3 behavior code of 3) being considered for analysis [19]. Only microscopically or radiographically confirmed cases were considered in this study. Data were restricted to patients with first-primary tumors. Sex-specific cancers (e.g., cervical, ovarian, and prostate), and cancers with a notably large predisposition for a particular sex (e.g., breast cancer for females and Kaposi sarcoma for males) were excluded from this analysis, due to inherent sex differences.
Statistical analysis: Using age at diagnosis, 10-year age intervals were used to create the following age groups: 0–9, 10–19, 20–29, 30–39, 40–49, 50–59, 60–69, 70–79, and 80+ years. These intervals were selected as they allowed for a more granular assessment across the age spectrum while also providing sufficient sample sizes for analysis. Male-to-female (M:F) incidence rate ratios (IRRs) with 95% confidence intervals (95% CI) were generated for all age groups and primary sites to compare incidence across sexes. All rates were age-adjusted to the 2000 U.S. standard population (19 age groups–Census P25-1130) to account for differences in age distribution by sex [20]. Survival time was calculated as the number of months from diagnosis to death. Age-stratified Cox proportional hazard models were constructed to calculate M:F hazard ratios HRs) with 95% CIs. The Cox proportional hazards assumption was assessed by generating log-log plots, and models were not found to be in violation. All cases assessed were complete; there were no data removed for missingness. Cases that were suppressed in cancer-specific analyses are included in “All Sites”. Statistical significance was set at p < 0.05 and all reported p values are two-tailed. Incidence calculations were generated using SEER*Stat 8.4.3. Survival analyses were performed through R (version 4.4.0) using the R package “survival”. All plots were generated through R (version 4.4.0) using the R package “ggplot2”.

3. Results

A total of 15,769,051 individuals [8,823,617 male (56%) and 6,945,434 female (44%)] received a primary cancer diagnosis of a non-sex-specific malignancy from 2001 to 2020. Survival analyses were conducted on 14,462,616 individuals with a non-sex-specific type of cancer [8,090,970 males (56%) and 6,371,646 females (44%)].
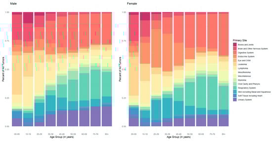
In general, males had an overall observed higher cancer incidence at all sites and age groups. The exception to this was in those aged 20–29 years and 30–39 years, (Supplementary Table S1). Females who were either 20–29 years or 30–39 years had a higher incidence across all primary sites than males within the same age group (M:F IRR: 0.71; 95% CI: 0.70–0.71; p < 0.001; M:F IRR: 0.81; 95% CI: 0.80–0.81; p < 0.001, respectively). Incidence across all primary sites varied widely between both age and sex (Figure 1). For example, endocrine system cancers accounted for 33% of all tumors for females aged 20–29 years and 30–39 years (N = 54,732, N = 104,852, respectively) (Figure 1). In contrast, endocrine system cancers accounted for 10% of all tumors for males aged 20–29 years (N = 11,530) and 9% for males aged 30–39 years (N = 24,226) (Figure 1).
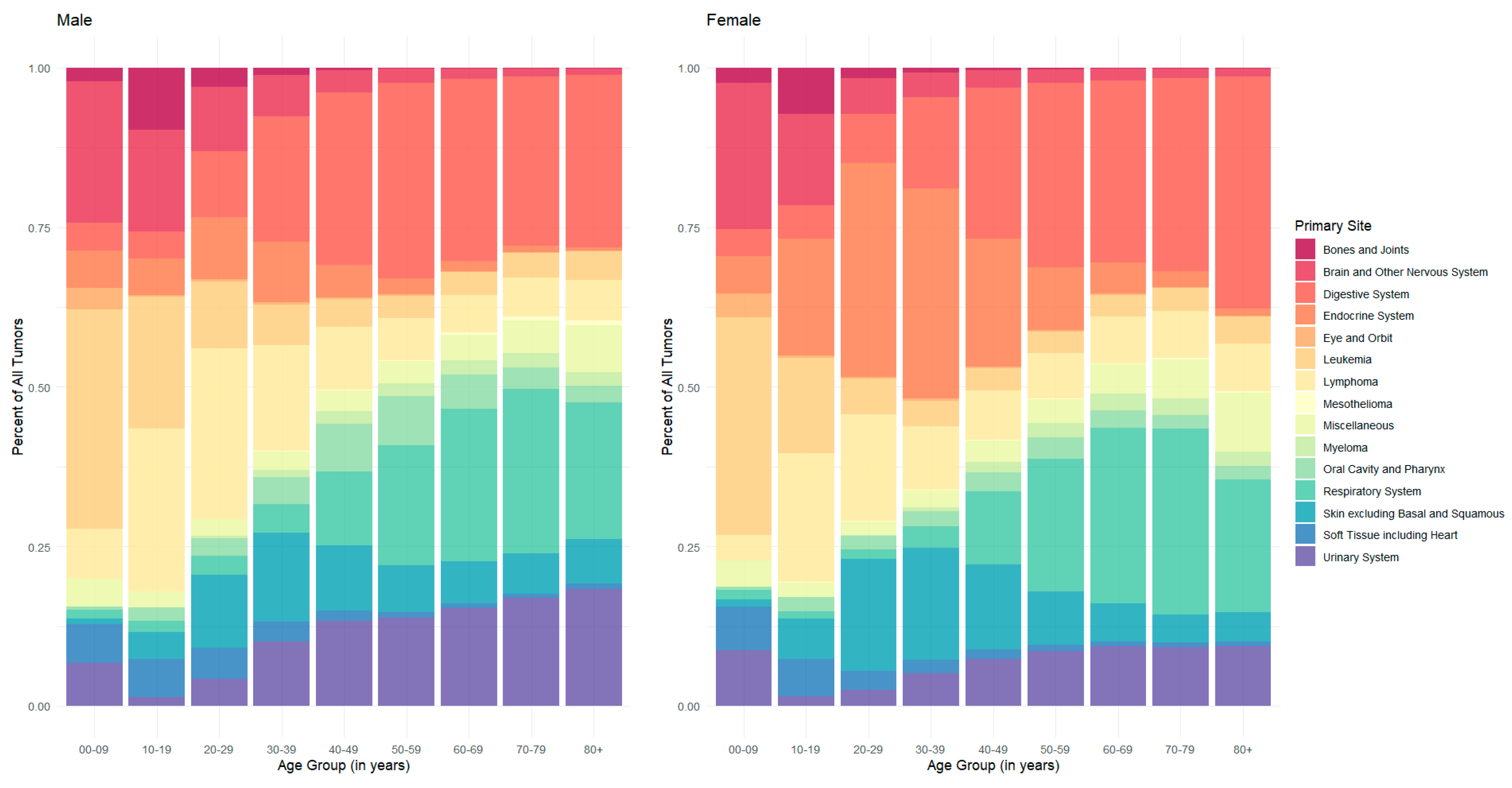
Highest M:F IRRs were seen in those diagnosed with mesothelioma at an older age (60–69 years M:F IRR: 3.79; 95% CI: 3.63–3.97; p < 0.001; 70–79 years M:F IRR: 4.66; 95% CI: 4.48–4.84; p < 0.001; 80+ years M:F IRR: 5.48; 95% CI: 5.25–5.71; p < 0.001) (Figure 2). Endocrine cancer, in those 20–29 years, had the lowest M:F IRRs were lowest (M:F IRR: 0.20; 95% CI: 0.20–0.21; p < 0.001) (Figure 2). A higher incidence of oral cavity and pharynx cancers was found in females aged 10–19 years and 20–29 years (M:F IRR: 0.92; 95% CI: 0.86–0.99; p = 0.029; M:F IRR: 0.96; 95% CI: 0.91–1.00; p = 0.078, respectively) (Figure 2). In general, males had a higher incidence of digestive system cancer. Digestive system cancers were higher in males. The exception to this was in those aged 10–19 years and 20–29 years (M:F IRR: 0.81; 95% CI: 0.77–0.85; p < 0.001, M:F IRR: 0.96; 95% CI: 0.94–0.98; p < 0.001, respectively) (Figure 2). For skin cancer, excluding basal and squamous cell skin cancer, M:F IRRs were highest within those aged 70–79) and 80+ (M:F IRR: 2.28; 95% CI: 2.26–2.30; p < 0.001; M:F IRR: 2.52; 95% CI: 2.49–2.54; p < 0.001, respectively) (Figure 2). Soft tissue cancers had the highest M:F IRRs, specifically among those aged 70–79 and 80+ (M:F IRR: 1.6; 95% CI: 1.59–1.68; p < 0.001; M:F IRR: 1.81; 95% CI: 1.76–1.86; p < 0.001, respectively) (Figure 2). When analyzing those age 70–79 and 80+ years, eye and orbit cancers had the highest observed M:F IRRs (M:F IRR: 1.51; 95% CI: 1.44–1.59; p < 0.0001, M:F IRR: 1.61; 95% CI: 1.51–1.72; p < 0.0001, respectively). M:F IRRs of urinary system cancers increased with age, maxing at ages 80+ (M:F IRR: 3.21; 95% CI: 3.19–3.24; p < 0.001) (Figure 2). Brain and other nervous systems cancers, leukemias, and lymphomas exhibited higher incidence in males across all age groups (p < 0.001) (Figure 2).
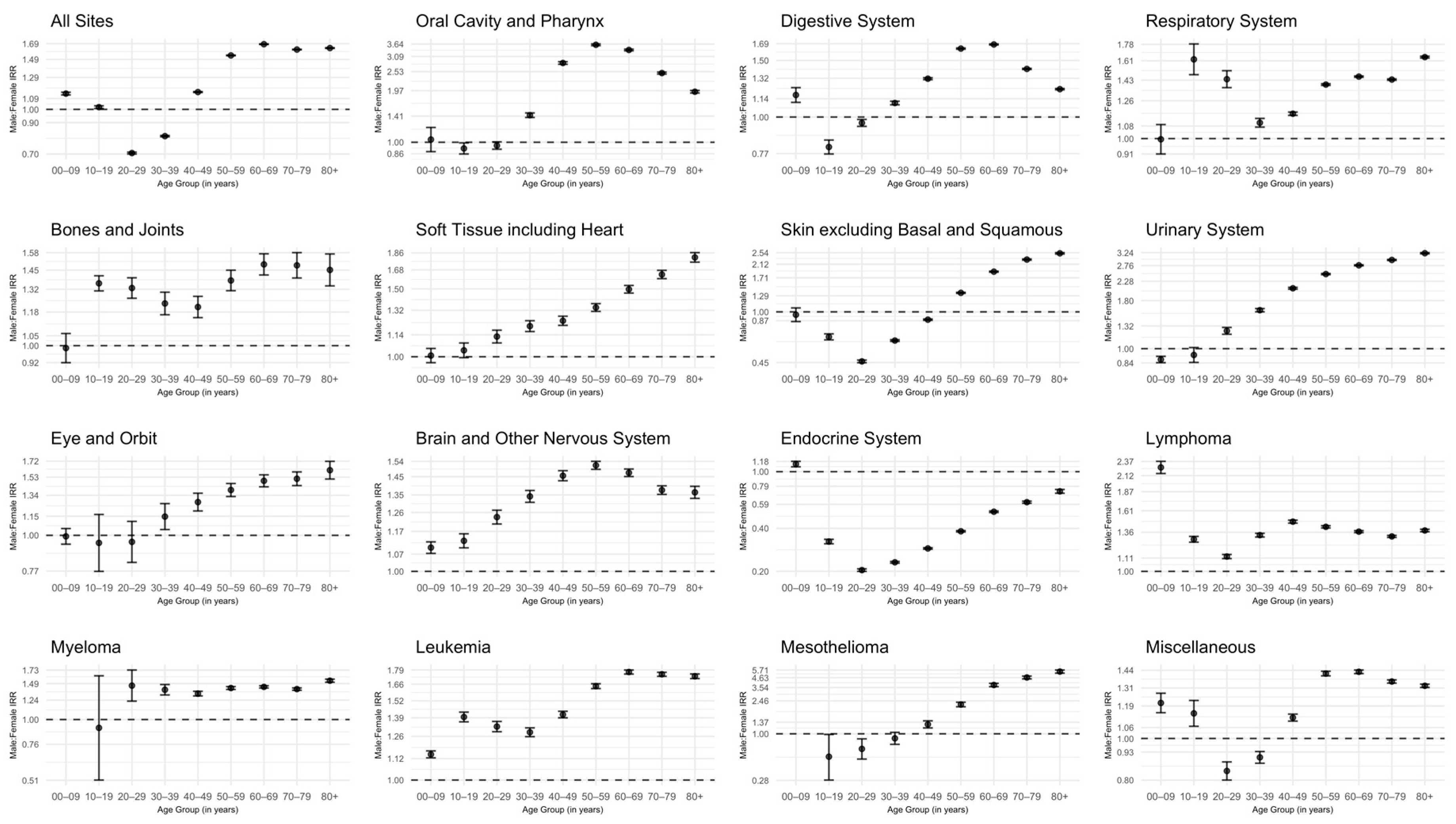
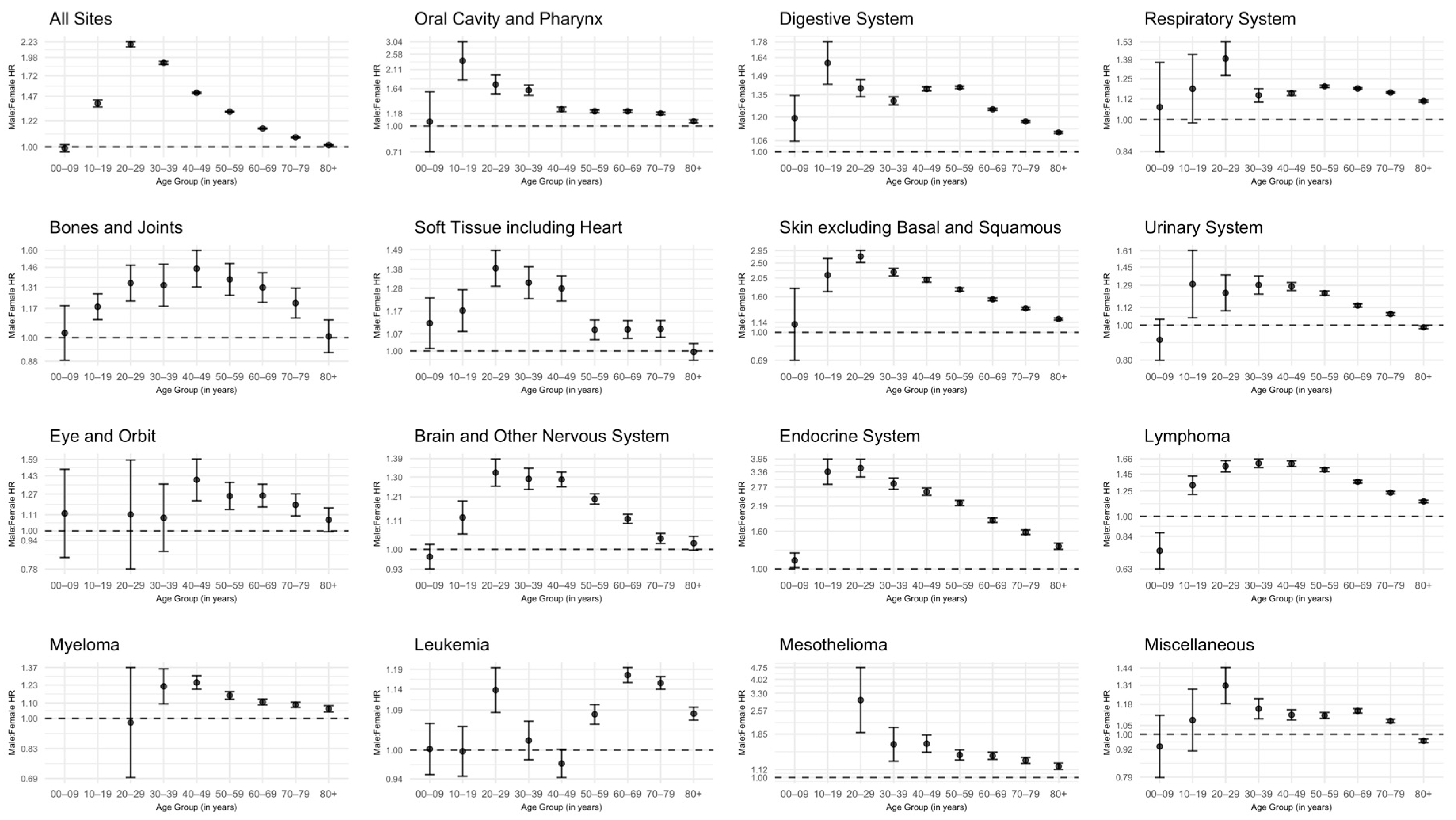
M:F HRs were calculated by age group for all sites (Figure 3, Supplementary Table S2). Overall, males experienced worse survival compared to females for all sites and age groups, excluding those aged 0–9 years (p < 0.001) (Figure 3). This was particularly evident in the 20–29 year age group (M:F HR: 2.19; 95% CI: 2.15–2.23; p < 0.001) (Figure 3). Endocrine system cancers, in those aged 10–19 and 20–29 years had the highest M:F HRs (M:R HR: 3.37; 95% CI: 2.87–3.95; p < 0.001; M:F HR: 3.52; 95% CI: 3.15–3.94; p < 0.001, respectively) (Figure 3). Compared to males, females observed the worst survival for lymphomas within those aged 0–9 years (M:F HR: 0.74; 95% CI: 0.63–0.87; p < 0.001). In contrast, males experienced worse survival than all other age groups (p < 0.001) (Figure 3). In general, in those diagnosed with mesothelioma, males had worse survival compared to females (p < 0.001), particularly in those aged 20–29 years (M:F HR: 3.00; 95% CI: 1.89–4.75; p < 0.001) (Figure 3). This was not seen in those 0–9 and 10–19 years old. For oral cavity and pharynx cancers, males experienced worse survival when compared to females for all age groups (p < 0.001), except those aged 0–9 years (p = 0.782). The highest HRs for oral cavity and pharynx cancer were observed in those aged 10–19 and 20–29 years (M:F HR: 2.36; 95% CI: 1.84–3.04; p < 0.001; M:F HR: 1.73; 95% CI: 1.52–1.96; p < 0.001) (Figure 3). For cancers of the skin, excluding basal and squamous, those aged 20–29 years had the highest HR (M:F HR: 2.73; 95% CI: 2.52–2.95; p < 0.001) (Figure 3).

4. Discussion

Consistent with previous work looking at specific tumor sites and different datasets [1,4,5,6,9,10], this update of our previous pan-cancer analysis identified significant age and sex differences in cancer incidence across the US from 2001 to 2020. Overall, males had higher cancer incidence compared to females, consistent with existing literature [1,21,22]. However, notable exceptions existed within specific age groups as well as within specific cancer sites/types. Specifically, females between the ages of 20–29 years and 30–39 years exhibited a higher incidence compared to males within the same respective age groups, driven heavily by endocrine system cancers. Past research suggests that a higher incidence of endocrine system cancers in females may be attributed to hormonal factors and reproductive history [23,24]. Additionally, LeClair and colleagues have shown that females are more likely to have smaller, subclinical papillary thyroid cancer, identified through medical testing compared to men [25] and this may be a contributing factor in the differences observed here. In contrast to what was observed with endocrine tumor incidence, males exhibited significantly higher incidence rates for mesotheliomas and digestive system cancers, particularly in older age groups when compared to females. This is not surprising as evidence suggests that occupational exposures and behavioral factors, such as smoking and diet, play a large role in these sex differences [26,27,28,29]. Females may have better incidence rates, compared to males, due to the possible protective factors of sex hormones, tumor suppressor genes on the X chromosomes, and social behaviors.
Regarding cancer survival, and in support of previous studies [4,30,31], males generally had worse outcomes compared to females across most cancer types and age groups, with few exceptions. Among all sites, except within ages 20–29 years males exhibited worse survival outcomes compared to females [4,30,31]. Interestingly, while males had a lower incidence of endocrine tumors, males had a worse survival outcome compared to females. It may be interesting to postulate that this sex difference in survival may be due to differences in histopathological types or stages at diagnosis of endocrine tumors in males and females. The highest survival differences were observed in mesothelioma and endocrine system cancers particularly within persons aged 20–29 years. In addition, across most sites, M:F HRs decreased as the age group increased, implying that the magnitude of sex differences in survival may decrease as patients age. Some studies suggest that biological differences attributed to age, such as variations in immunosenescence, might contribute to the observed differences [32,33].
As touched upon above, observed age and sex differences in cancer incidence and survival are likely multifactorial, involving a combination of biological, environmental, and behavioral factors. Recent work examining cancer incidence among generations [34] combined with other studies examining changes in cancer registry policies [35] as well as increased imaging practices [36,37,38,39] suggests that the increased incidence rate of cancer in Generation X is undoubtedly complicated. While this study does not examine age in the same manner, these recent works highlight the need to remain cognizant of the potential impact of behavioral factors that may impact reported incidence levels. Biological factors that may be influential include hormonal differences and variations in immune system development [40]. Females face unique biological factors, including reproductive factors and sex hormones, that contribute to cancer incidence. It has been well established that sex hormones play a critical role in the development and progression of cancer in females. For instance, the protective effects of estrogen in females might partly explain the lower incidence and better survival rates across many cancer sites [41]. While these studies were originally conducted in reproductive cancers, continuing research has shown that these hormones also play an important role in non-reproductive cancers. Studies have demonstrated that estrogen and progesterone, and their respective receptors have an important role in cellular signaling for cellular growth and metastasis [42,43,44,45,46]. In addition, growing evidence also suggests that membrane receptors mediate non-classical actions [45,47]. Activation of estrogen receptors stimulates cellular proliferation and differentiation [44,48,49]. Progesterone, besides having its own growth mechanism, can also modulate the actions of estrogen, increasing proliferation and the potential for cancer development and progression [43,47]. Lastly, sex hormones have also been implicated in regulating apoptosis and cellular suppression [50,51,52,53,54,55]. The understanding of how sex hormones contribute to cancer in women continues to drive the development of targeted prevention and therapies [41]. The interplay between these factors is complex and is the focus of active research.
Environmental exposures, such as occupational hazards and behavioral factors may also heavily influence the observed differences. Further, many social behaviors have been linked to impacting cancer risk. These include tobacco use, alcohol consumption, diet, and physical activity. Historically, men have smoked more than women; however, the smoking gap has closed between the sexes, which has correlated to a shrinking of the risk gap between men and women [56,57]. Some studies attribute higher incidence rates of mesotheliomas in males to increased asbestos exposure [58,59]. Like tobacco usage, alcohol consumption is also considered a risk factor for cancers and impacts men to a greater extent due to historically higher consumption in men compared to women. Alcohol consumption increases chronic inflammation [60,61,62,63] and oxidative stress [64,65,66,67] both of which have been implicated in the development and progression of cancer. Increased alcohol consumption among older males may lead to higher incidence rates of urinary system and digestive system cancers, consistent with the findings of this study [21,68,69]. Changes in lifestyle factors, such as increased sedentary behaviors, have resulted globally, in a steady increase in average body weight and obesity [70]. Obesity is considered a major unrecognized factor for cancer, resulting in calls for action from health providers including the American Society of Clinical Oncology [71]. Numerous studies have linked obesity and diet to increased risk of cancer, though specific dietary nutrients or components have not been definitively identified. Physical inactivity and higher weight often go together and are well-documented risk factors for obesity-associated cancers. Historically, men have increased physical activity compared to women due to recreational and occupational activity [72]. Behavioral factors, such as health-seeking behaviors and the utilization of healthcare services, might further contribute to these differences, as there are different male and female risk factors that are involved in implementing risk screenings [73]. Additionally, social inequities have been demonstrated based on sex, as well as other factors. Undoubtedly, there is a complex interaction between the variety of SDOH components and sex and further analysis of these factors is warranted in order to reduce barriers to access and treatment. Past studies identify middle-aged females as exhibiting better survival outcomes than middle-aged males due to females generally exhibiting more proactive health behaviors compared to males [74,75]. While it is unlikely that just one of these behavioral factors is the sole cause of the results seen here, combined effects may contribute to the sex and age differences observed and it will be important to consider both sex and age in future studies assessing these factors. Additionally, sex differences may still be present even after accounting for these factors, so the complete cause is still largely unknown [21].
While the cancer registry data used in the analysis currently represent the most complete dataset for cancer incidence and survival in the US, there are several limitations in this study’s design and statistical analysis. The variables available for consideration in the analysis were limited to only those available through cancer registry datasets. As such, some additional variables that may influence age and sex differences in cancer incidence and survival (i.e., treatment history, pathogenesis, molecular biomarkers, socioeconomic status, etc.) were not included in the analysis. Furthermore, potential variations in findings due to race, region, stage, and treatment were not adjusted for or considered in the analysis as it is outside the scope of this current work. Survival analyses incorporating treatment, such as surgery, and stage at diagnosis would be better suited for analyses focused on specific cancer sites.

5. Conclusions

Identification and examination of sex differences in cancer incidence and survival can provide insight for future epidemiology and etiology studies as well as provide important points of reference when evaluating changes in practices. Future areas of research may seek to integrate more comprehensive data, including the variables noted above, to better explore the underlying causes of age and sex differences in cancer incidence and survival. The findings of this study may motivate future longitudinal studies focusing on the intersection between biological, environmental, and behavioral factors, which may inform targeted interventions and improve cancer outcomes for males and females across all age groups.

Supplementary Materials

The following supporting information can be downloaded at: https://www.mdpi.com/article/10.3390/cancers17030378/s1, Table S1: Frequency and Incidence Rate Ratios by Sex and Age Groups in SEER Site Recode ICD-O-3/WHO 2008 Sites, 2001–2020, National Program of Cancer Registries and Surveillance, Epidemiology, and End Results SEER*Stat Database: NPCR and SEER Incidence—U.S. Cancer Statistics Public Use Research Database, Nov 2023 Submission. Table S2. Hazard Ratios by Sex (Males:Females) and Age Groups with 95% Confidence Intervals in SEER Site Recode ICD-O-3/WHO 2008 Sites, 2001–2020, National Program of Cancer Registries Survival Database, Nov 2023 Submission.

Author Contributions

Conceptualization: G.C., K.A.W., S.S.J. and J.S.B.-S.; Methodology: G.C., S.S.J. and J.S.B.-S.; Formal Analysis, R.C.S., G.C. and S.S.J.; Investigation: R.C.S., G.C. and S.S.J.; Resources, G.C., K.A.W., S.S.J. and J.S.B.-S.; Data Curation, R.C.S., G.C. and S.S.J.; Writing—Original Draft Preparation, R.C.S., G.C. and K.A.W.; Writing—Review, and Editing, R.C.S., G.C., K.A.W., S.S.J. and J.S.B.-S.; Visualization, R.C.S., G.C., K.A.W., S.S.J. and J.S.B.-S.; Supervision, K.A.W., G.C., S.S.J. and J.S.B.-S.; Project Administration, K.A.W. and J.S.B.-S. All authors have read and agreed to the published version of the manuscript.

Funding

The research performed by R.C.S., G.C., K.A.W., S.S.J. and J.S.B.-S. were provided by the Division of Cancer Epidemiology and Genetics (DCEG) of the National Cancer Institute (NCI).

Institutional Review Board Statement

This study was conducted at the NCI and was determined to be human subjects exempt by the National Institute of Health (NIH) Office of Human Subjects Research (15 November 2021).

Informed Consent Statement

Patient consent was waived due to being human subjects exempt and registry data.

Data Availability Statement

USCS Incidence Data are publicly accessible and can be requested at the following website: https://www.cdc.gov/united-states-cancer-statistics/public-use/access-data.html (accessed on 20 July 2024). Data used for survival analyses were obtained from the Centers for Disease Control and Prevention’s (CDC) NPCR survival database.

Acknowledgments

The authors acknowledge the NIH Office of Intramural Training & Education (OITE) and Natasha Lugo-Escobar, the Director of Postbac and Summer Programs, for providing valuable mentorship throughout the project. They also acknowledge Diane Wigfield, the Fellowship Coordinator of the NCI Division of Cancer Epidemiology and Genetics (DCEG), for overseeing training and providing guidance.

Conflicts of Interest

The authors have no conflicts of interest to declare. Jill Barnholtz-Sloan and Sarah Jackson are a full-time employee of the NCI/NIH. Gino Cioffi and Kristin Waite are full-time contractors for the NCI/NIH.

References

  1. Dong, M.; Cioffi, G.; Wang, J.; Waite, K.A.; Ostrom, Q.T.; Kruchko, C.; Lathia, J.D.; Rubin, J.B.; Berens, M.E.; Connor, J.; et al. Sex Differences in Cancer Incidence and Survival: A Pan-Cancer Analysis. Cancer Epidemiol. Biomark. Prev. 2020, 29, 1389–1397. [Google Scholar] [CrossRef] [PubMed]
  2. Nipp, R.; Tramontano, A.C.; Kong, C.Y.; Pandharipande, P.; Dowling, E.C.; Schrag, D.; Hur, C. Disparities in cancer outcomes across age, sex, and race/ethnicity among patients with pancreatic cancer. Cancer Med. 2018, 7, 525–535. [Google Scholar] [CrossRef] [PubMed]
  3. Wang, G.M.; Cioffi, G.; Patil, N.; Waite, K.A.; Lanese, R.; Ostrom, Q.T.; Kruchko, C.; Berens, M.E.; Connor, J.R.; Lathia, J.D.; et al. Importance of the intersection of age and sex to understand variation in incidence and survival for primary malignant gliomas. Neuro Oncol. 2022, 24, 302–310. [Google Scholar] [CrossRef] [PubMed]
  4. Cook, M.B.; McGlynn, K.A.; Devesa, S.S.; Freedman, N.D.; Anderson, W.F. Sex disparities in cancer mortality and survival. Cancer Epidemiol. Biomark. Prev. 2011, 20, 1629–1637. [Google Scholar] [CrossRef] [PubMed]
  5. Ostrom, Q.T.; Rubin, J.B.; Lathia, J.D.; Berens, M.E.; Barnholtz-Sloan, J.S. Females have the survival advantage in glioblastoma. Neuro Oncol. 2018, 20, 576–577. [Google Scholar] [CrossRef]
  6. Tosakoon, S.; Lawrence, W.R.; Shiels, M.S.; Jackson, S.S. Sex Differences in Cancer Incidence Rates by Race and Ethnicity: Results from the Surveillance, Epidemiology, and End Results (SEER) Registry (2000–2019). Cancers 2024, 16, 989. [Google Scholar] [CrossRef]
  7. Edgren, G.; Liang, L.; Adami, H.O.; Chang, E.T. Enigmatic sex disparities in cancer incidence. Eur. J. Epidemiol. 2012, 27, 187–196. [Google Scholar] [CrossRef] [PubMed]
  8. Radkiewicz, C.; Johansson, A.L.V.; Dickman, P.W.; Lambe, M.; Edgren, G. Sex differences in cancer risk and survival: A Swedish cohort study. Eur. J. Cancer 2017, 84, 130–140. [Google Scholar] [CrossRef]
  9. Chatsirisupachai, K.; Lagger, C.; de Magalhaes, J.P. Age-associated differences in the cancer molecular landscape. Trends. Cancer 2022, 8, 962–971. [Google Scholar] [CrossRef] [PubMed]
  10. Yang, R.; Zhou, Y.; Wang, Y.; Du, C.; Wu, Y. Trends in cancer incidence and mortality rates in the United States from 1975 to 2016. Ann. Transl. Med. 2020, 8, 1671. [Google Scholar] [CrossRef]
  11. Aunan, J.R.; Cho, W.C.; Soreide, K. The Biology of Aging and Cancer: A Brief Overview of Shared and Divergent Molecular Hallmarks. Aging Dis. 2017, 8, 628–642. [Google Scholar] [CrossRef] [PubMed]
  12. Yang, W.; Warrington, N.M.; Taylor, S.J.; Whitmire, P.; Carrasco, E.; Singleton, K.W.; Wu, N.; Lathia, J.D.; Berens, M.E.; Kim, A.H.; et al. Sex differences in GBM revealed by analysis of patient imaging, transcriptome, and survival data. Sci. Transl. Med. 2019, 11, eaao5253. [Google Scholar] [CrossRef] [PubMed]
  13. Goldman, N.; Glei, D.A.; Weinstein, M. What Matters Most for Predicting Survival? A Multinational Population-Based Cohort Study. PLoS ONE 2016, 11, e0159273. [Google Scholar] [CrossRef]
  14. Valcarcel, B.; Schonfeld, S.J.; Jackson, S.S.; Dores, G.M.; Linet, M.S.; Morton, L.M. Changes in sex-specific incidence of lymphoid neoplasms across the lifespan. Haematologica 2024, 109, 3408–3413. [Google Scholar] [CrossRef] [PubMed]
  15. National Program of Cancer Registries and Surveillance, Epidemiology, and End Results Program SEER*Stat Database: NPCR and SEER Incidence—U.S. Cancer Statistics Public Use Research Database, 2023 Submission (2001–2021). Available online: https://www.cdc.gov/united-states-cancer-statistics/public-use/ (accessed on 20 July 2024).
  16. United States Cancer Statistics: About the Database. Available online: https://www.cdc.gov/united-states-cancer-statistics/public-use/about.html (accessed on 20 July 2024).
  17. National Program of Cancer Registries SEER*Stat Database: NPCR Survival Analytic file (2001–2020); Released June 2024, based on the 2023 submission; United States Department of Health and Human Services, Centers for Disease Control and Preventi: Atlanta, GA, USA, 20 June 2024.
  18. International Classification of Diseases for Oncology, 3rd Edition (ICD-O-3). Available online: https://www.who.int/standards/classifications/other-classifications/international-classification-of-diseases-for-oncology (accessed on 20 July 2024).
  19. Site Recode ICD-O-3/WHO 2008 Definition. Available online: https://seer.cancer.gov/siterecode/icdo3_dwhoheme/index.html (accessed on 20 July 2024).
  20. Use of the 2000 U.S. Standard Population for Age-Adjustment. Available online: https://seer.cancer.gov/stdpopulations/2000stdpop-use.html (accessed on 20 July 2024).
  21. Jackson, S.S.; Marks, M.A.; Katki, H.A.; Cook, M.B.; Hyun, N.; Freedman, N.D.; Kahle, L.L.; Castle, P.E.; Graubard, B.I.; Chaturvedi, A.K. Sex disparities in the incidence of 21 cancer types: Quantification of the contribution of risk factors. Cancer 2022, 128, 3531–3540. [Google Scholar] [CrossRef] [PubMed]
  22. Kim, H.I.; Lim, H.; Moon, A. Sex Differences in Cancer: Epidemiology, Genetics and Therapy. Biomol. Ther. 2018, 26, 335–342. [Google Scholar] [CrossRef]
  23. Moleti, M.; Sturniolo, G.; Di Mauro, M.; Russo, M.; Vermiglio, F. Female Reproductive Factors and Differentiated Thyroid Cancer. Front. Endocrinol. 2017, 8, 111. [Google Scholar] [CrossRef] [PubMed]
  24. Rennert, G. Reproductive factors, hormones and colorectal cancer-still unresolved. Br. J. Cancer 2017, 116, 1–3. [Google Scholar] [CrossRef] [PubMed][Green Version]
  25. LeClair, K.; Bell, K.J.L.; Furuya-Kanamori, L.; Doi, S.A.; Francis, D.O.; Davies, L. Evaluation of Gender Inequity in Thyroid Cancer Diagnosis: Differences by Sex in US Thyroid Cancer Incidence Compared With a Meta-analysis of Subclinical Thyroid Cancer Rates at Autopsy. JAMA Intern. Med. 2021, 181, 1351–1358. [Google Scholar] [CrossRef] [PubMed]
  26. Ng, R.; Sutradhar, R.; Yao, Z.; Wodchis, W.P.; Rosella, L.C. Smoking, drinking, diet and physical activity-modifiable lifestyle risk factors and their associations with age to first chronic disease. Int. J. Epidemiol. 2020, 49, 113–130. [Google Scholar] [CrossRef]
  27. Bagnardi, V.; Blangiardo, M.; La Vecchia, C.; Corrao, G. Alcohol consumption and the risk of cancer: A meta-analysis. Alcohol. Res. Health 2001, 25, 263–270. [Google Scholar] [PubMed]
  28. Jacob, L.; Freyn, M.; Kalder, M.; Dinas, K.; Kostev, K. Impact of tobacco smoking on the risk of developing 25 different cancers in the UK: A retrospective study of 422,010 patients followed for up to 30 years. Oncotarget 2018, 9, 17420–17429. [Google Scholar] [CrossRef] [PubMed]
  29. Marant Micallef, C.; Shield, K.D.; Baldi, I.; Charbotel, B.; Fervers, B.; Gilg Soit Ilg, A.; Guenel, P.; Olsson, A.; Rushton, L.; Hutchings, S.J.; et al. Occupational exposures and cancer: A review of agents and relative risk estimates. Occup. Environ. Med. 2018, 75, 604–614. [Google Scholar] [CrossRef]
  30. Miller, K.D.; Fidler-Benaoudia, M.; Keegan, T.H.; Hipp, H.S.; Jemal, A.; Siegel, R.L. Cancer statistics for adolescents and young adults, 2020. CA Cancer J. Clin. 2020, 70, 443–459. [Google Scholar] [CrossRef] [PubMed]
  31. Moore, K.J.; Moertel, C.L.; Williams, L.A. Young adult males have worse survival than females that is largely independent of treatment received for many types of central nervous system tumors: A National Cancer Database analysis. Cancer 2022, 128, 1616–1625. [Google Scholar] [CrossRef] [PubMed]
  32. Pawelec, G. Immunosenescence and cancer. Biogerontology 2017, 18, 717–721. [Google Scholar] [CrossRef]
  33. Di Benedetto, S.; Derhovanessian, E.; Steinhagen-Thiessen, E.; Goldeck, D.; Muller, L.; Pawelec, G. Impact of age, sex and CMV-infection on peripheral T cell phenotypes: Results from the Berlin BASE-II Study. Biogerontology 2015, 16, 631–643. [Google Scholar] [CrossRef]
  34. Rosenberg, P.S.; Miranda-Filho, A. Cancer Incidence Trends in Successive Social Generations in the US. JAMA Netw. Open 2024, 7, e2415731. [Google Scholar] [CrossRef] [PubMed]
  35. International Statistical Classification of Diseases and Related Health Problems 10th Revision (ICD-10)-WHO Version: Chapter II: Neoplasms (C00-D48); World Health Organization: Geneva, Switzerland, 2019.
  36. Znaor, A.; Laversanne, M.; Bray, F. Less overdiagnosis of kidney cancer? an age-period-cohort analysis of incidence trends in 16 populations worldwide. Int. J. Cancer 2017, 141, 925–932. [Google Scholar] [CrossRef]
  37. Roman, B.R.; Morris, L.G.; Davies, L. The thyroid cancer epidemic, 2017 perspective. Curr. Opin. Endocrinol. Diabetes Obes. 2017, 24, 332–336. [Google Scholar] [CrossRef] [PubMed]
  38. Smith-Bindman, R.; Kwan, M.L.; Marlow, E.C.; Theis, M.K.; Bolch, W.; Cheng, S.Y.; Bowles, E.J.A.; Duncan, J.R.; Greenlee, R.T.; Kushi, L.H.; et al. Trends in Use of Medical Imaging in US Health Care Systems and in Ontario, Canada, 2000–2016. JAMA 2019, 322, 843–856. [Google Scholar] [CrossRef] [PubMed]
  39. Withrow, D.R.; Devesa, S.S.; Deapen, D.; Petkov, V.; Van Dyke, A.L.; Adamo, M.; Armstrong, T.S.; Gilbert, M.R.; Linet, M.S. Nonmalignant meningioma and vestibular schwannoma incidence trends in the United States, 2004–2017. Cancer 2021, 127, 3579–3590. [Google Scholar] [CrossRef] [PubMed]
  40. Rubin, J.B.; Lagas, J.S.; Broestl, L.; Sponagel, J.; Rockwell, N.; Rhee, G.; Rosen, S.F.; Chen, S.; Klein, R.S.; Imoukhuede, P.; et al. Sex differences in cancer mechanisms. Biol. Sex Differ 2020, 11, 17. [Google Scholar] [CrossRef] [PubMed]
  41. Orzolek, I.; Sobieraj, J.; Domagala-Kulawik, J. Estrogens, Cancer and Immunity. Cancers 2022, 14, 2265. [Google Scholar] [CrossRef]
  42. Munoz, J.; Wheler, J.; Kurzrock, R. Expression of estrogen and progesterone receptors across human malignancies: New therapeutic opportunities. Cancer Metastasis Rev. 2015, 34, 547–561. [Google Scholar] [CrossRef] [PubMed]
  43. Horwitz, K.B.; Sartorius, C.A. 90 YEARS OF PROGESTERONE: Progesterone and progesterone receptors in breast cancer: Past, present, future. J. Mol. Endocrinol. 2020, 65, T49–T63. [Google Scholar] [CrossRef] [PubMed]
  44. Edwards, D.P. Regulation of signal transduction pathways by estrogen and progesterone. Annu. Rev. Physiol. 2005, 67, 335–376. [Google Scholar] [CrossRef] [PubMed]
  45. Mauvais-Jarvis, F.; Lange, C.A.; Levin, E.R. Membrane-Initiated Estrogen, Androgen, and Progesterone Receptor Signaling in Health and Disease. Endocr. Rev. 2021, 43, 720–742. [Google Scholar] [CrossRef] [PubMed]
  46. Tavares, C.B.; Gomes-Braga, F.; Costa-Silva, D.R.; Escórcio-Dourado, C.S.; Borges, U.S.; Conde-Junior, A.M.; Barros-Oliveira Mda, C.; Sousa, E.B.; Barros Lda, R.; Martins, L.M.; et al. Expression of estrogen and progesterone receptors in astrocytomas: A literature review. Clinics 2016, 71, 481–486. [Google Scholar] [CrossRef]
  47. Valadez-Cosmes, P.; Vázquez-Martínez, E.R.; Cerbón, M.; Camacho-Arroyo, I. Membrane progesterone receptors in reproduction and cancer. Mol. Cell Endocrinol. 2016, 434, 166–175. [Google Scholar] [CrossRef]
  48. Martin, M.B.; Saceda, M.; Lindsey, R.K. Estrogen and progesterone receptors. In Regulatory Mechanisms in Breast Cancer: Advances in Cellular and Molecular Biology of Breast Cancer; Lippman, M.E., Dickson, R.B., Eds.; Springer: Boston, MA, USA, 1991; pp. 273–288. [Google Scholar] [CrossRef]
  49. Gronemeyer, H. Control of transcription activation by steroid hormone receptors. FASEB J. 1992, 6, 2524–2529. [Google Scholar] [CrossRef] [PubMed]
  50. Hsu, S.Y.; Hsueh, A.J. Hormonal regulation of apoptosis an ovarian perspective. Trends Endocrinol. Metab 1997, 8, 207–213. [Google Scholar] [CrossRef] [PubMed]
  51. Lewis-Wambi, J.S.; Jordan, V.C. Estrogen regulation of apoptosis: How can one hormone stimulate and inhibit? Breast Cancer Res. 2009, 11, 206. [Google Scholar] [CrossRef] [PubMed]
  52. Medh, R.D.; Thompson, E.B. Hormonal regulation of physiological cell turnover and apoptosis. Cell Tissue Res. 2000, 301, 101–124. [Google Scholar] [CrossRef]
  53. Tower, J. Sex-specific regulation of aging and apoptosis. Mech. Ageing Dev. 2006, 127, 705–718. [Google Scholar] [CrossRef] [PubMed]
  54. Elmore, S. Apoptosis: A Review of Programmed Cell Death. Toxicol. Pathol. 2007, 35, 495–516. [Google Scholar] [CrossRef] [PubMed]
  55. Chimento, A.; De Luca, A.; Avena, P.; De Amicis, F.; Casaburi, I.; Sirianni, R.; Pezzi, V. Estrogen Receptors-Mediated Apoptosis in Hormone-Dependent Cancers. Int. J. Mol. Sci. 2022, 23, 1242. [Google Scholar] [CrossRef] [PubMed]
  56. Freedman, N.D.; Abnet, C.C.; Caporaso, N.E.; Fraumeni, J.F., Jr.; Murphy, G.; Hartge, P.; Hollenbeck, A.R.; Park, Y.; Shiels, M.S.; Silverman, D.T. Impact of changing US cigarette smoking patterns on incident cancer: Risks of 20 smoking-related cancers among the women and men of the NIH-AARP cohort. Int. J. Epidemiol. 2015, 45, 846–856. [Google Scholar] [CrossRef]
  57. Lortet-Tieulent, J.; Renteria, E.; Sharp, L.; Weiderpass, E.; Comber, H.; Baas, P.; Bray, F.; Coebergh, J.W.; Soerjomataram, I. Convergence of decreasing male and increasing female incidence rates in major tobacco-related cancers in Europe in 1988–2010. Eur. J. Cancer 2015, 51, 1144–1163. [Google Scholar] [CrossRef] [PubMed]
  58. Huang, J.; Chan, S.C.; Pang, W.S.; Chow, S.H.; Lok, V.; Zhang, L.; Lin, X.; Lucero-Prisno, D.E., 3rd; Xu, W.; Zheng, Z.J.; et al. Global Incidence, Risk Factors, and Temporal Trends of Mesothelioma: A Population-Based Study. J. Thorac. Oncol. 2023, 18, 792–802. [Google Scholar] [CrossRef]
  59. Liu, B.; van Gerwen, M.; Bonassi, S.; Taioli, E.; International Association for the Study of Lung Cancer Mesothelioma Task Force. Epidemiology of Environmental Exposure and Malignant Mesothelioma. J. Thorac. Oncol. 2017, 12, 1031–1045. [Google Scholar] [CrossRef] [PubMed]
  60. Greten, F.R.; Grivennikov, S.I. Inflammation and Cancer: Triggers, Mechanisms, and Consequences. Immunity 2019, 51, 27–41. [Google Scholar] [CrossRef]
  61. Coussens, L.M.; Werb, Z. Inflammation and cancer. Nature 2002, 420, 860–867. [Google Scholar] [CrossRef] [PubMed]
  62. Crusz, S.M.; Balkwill, F.R. Inflammation and cancer: Advances and new agents. Nat. Rev. Clin. Oncol. 2015, 12, 584–596. [Google Scholar] [CrossRef]
  63. Shacter, E.; Weitzman, S.A. Chronic inflammation and cancer. Oncology (Williston Park, N.Y.) 2002, 16, 217–226. [Google Scholar] [PubMed]
  64. Hayes, J.D.; Dinkova-Kostova, A.T.; Tew, K.D. Oxidative stress in cancer. Cancer Cell 2020, 38, 167–197. [Google Scholar] [CrossRef] [PubMed]
  65. Sosa, V.; Moliné, T.; Somoza, R.; Paciucci, R.; Kondoh, H.; LLeonart, M.E. Oxidative stress and cancer: An overview. Ageing Res. Rev. 2013, 12, 376–390. [Google Scholar] [CrossRef] [PubMed]
  66. Halliwell, B. Oxidative stress and cancer: Have we moved forward? Biochem. J. 2007, 401, 1–11. [Google Scholar] [CrossRef] [PubMed]
  67. Arfin, S.; Jha, N.K.; Jha, S.K.; Kesari, K.K.; Ruokolainen, J.; Roychoudhury, S.; Rathi, B.; Kumar, D. Oxidative stress in cancer cell metabolism. Antioxidants 2021, 10, 642. [Google Scholar] [CrossRef] [PubMed]
  68. Pelucchi, C.; Gallus, S.; Garavello, W.; Bosetti, C.; La Vecchia, C. Cancer risk associated with alcohol and tobacco use: Focus on upper aero-digestive tract and liver. Alcohol. Res. Health 2006, 29, 193–198. [Google Scholar]
  69. Moy, K.A.; Fan, Y.; Wang, R.; Gao, Y.T.; Yu, M.C.; Yuan, J.M. Alcohol and tobacco use in relation to gastric cancer: A prospective study of men in Shanghai, China. Cancer Epidemiol. Biomark. Prev. 2010, 19, 2287–2297. [Google Scholar] [CrossRef]
  70. Bianchini, F.; Kaaks, R.; Vainio, H. Overweight, obesity, and cancer risk. Lancet Oncol. 2002, 3, 565–574. [Google Scholar] [CrossRef] [PubMed]
  71. Ligibel, J.A.; Alfano, C.M.; Courneya, K.S.; Demark-Wahnefried, W.; Burger, R.A.; Chlebowski, R.T.; Fabian, C.J.; Gucalp, A.; Hershman, D.L.; Hudson, M.M.; et al. American Society of Clinical Oncology position statement on obesity and cancer. J. Clin. Oncol. 2014, 32, 3568–3574. [Google Scholar] [CrossRef]
  72. Kampert, J.B.; Blair, S.N.; Barlow, C.E.; Kohl, H.W. Physical activity, physical fitness, and all-cause and cancer mortality: A prospective study of men and women. Ann. Epidemiol. 1996, 6, 452–457. [Google Scholar] [CrossRef] [PubMed]
  73. Byhoff, E.; Tripodis, Y.; Freund, K.M.; Garg, A. Gender Differences in Social and Behavioral Determinants of Health in Aging Adults. J. Gen. Intern. Med. 2019, 34, 2310–2312. [Google Scholar] [CrossRef] [PubMed]
  74. Alberts, S.C.; Archie, E.A.; Gesquiere, L.R.; Altmann, J.; Vaupel, J.W.; Christensen, K. The Male-Female Health-Survival Paradox: A Comparative Perspective on Sex Differences in Aging and Mortality. In Sociality, Hierarchy, Health: Comparative Biodemography: A Collection of Papers; Weinstein, M., Lane, M.A., Eds.; National Academies Press: Washington, DC, USA, 2014. [Google Scholar] [CrossRef]
  75. Vera, R.; Juan-Vidal, O.; Safont-Aguilera, M.J.; de la Pena, F.A.; Del Alba, A.G. Sex differences in the diagnosis, treatment and prognosis of cancer: The rationale for an individualised approach. Clin. Transl. Oncol. 2023, 25, 2069–2076. [Google Scholar] [CrossRef] [PubMed]
Figure 1. Frequency and percent of all tumors by sex, age in years, and SEER Site Recode ICD-O-3/WHO 2008 major groupings. National Program of Cancer Registries and Surveillance, Epidemiology and End Results Program SEER*Stat Database: NPCR and SEER Incidence—U.S. Cancer Statistics Public Use Research Database, 2023 Submission (2001–2020).
Figure 1. Frequency and percent of all tumors by sex, age in years, and SEER Site Recode ICD-O-3/WHO 2008 major groupings. National Program of Cancer Registries and Surveillance, Epidemiology and End Results Program SEER*Stat Database: NPCR and SEER Incidence—U.S. Cancer Statistics Public Use Research Database, 2023 Submission (2001–2020).
Cancers 17 00378 g001
Figure 2. Forest plots of incidence rate ratios (IRRs) by sex (Male:Female), age in years, and SEER Site Recode ICD-O-3/WHO 2008 major groupings with 95% confidence intervals. National Program of Cancer Registries and Surveillance, Epidemiology and End Results Program SEER*Stat Database: NPCR and SEER Incidence—U.S. Cancer Statistics Public Use Research Database, 2023 Submission (2001–2020). Rates are per 100,000 and age-adjusted to the 2000 U.S. standard population.
Figure 2. Forest plots of incidence rate ratios (IRRs) by sex (Male:Female), age in years, and SEER Site Recode ICD-O-3/WHO 2008 major groupings with 95% confidence intervals. National Program of Cancer Registries and Surveillance, Epidemiology and End Results Program SEER*Stat Database: NPCR and SEER Incidence—U.S. Cancer Statistics Public Use Research Database, 2023 Submission (2001–2020). Rates are per 100,000 and age-adjusted to the 2000 U.S. standard population.
Cancers 17 00378 g002
Figure 3. Forest plot of male-to-female hazard ratios (HRs) by age in years and SEER Site Recode ICD-O-3/WHO 2008 major groupings with 95% confidence intervals. NPCR survival database, November 2023 Submission, Diagnosis Year 2001–2020.
Figure 3. Forest plot of male-to-female hazard ratios (HRs) by age in years and SEER Site Recode ICD-O-3/WHO 2008 major groupings with 95% confidence intervals. NPCR survival database, November 2023 Submission, Diagnosis Year 2001–2020.
Cancers 17 00378 g003
Disclaimer/Publisher’s Note: The statements, opinions and data contained in all publications are solely those of the individual author(s) and contributor(s) and not of MDPI and/or the editor(s). MDPI and/or the editor(s) disclaim responsibility for any injury to people or property resulting from any ideas, methods, instructions or products referred to in the content.

Share and Cite

MDPI and ACS Style

Selvaraj, R.C.; Cioffi, G.; Waite, K.A.; Jackson, S.S.; Barnholtz-Sloan, J.S. A Pan-Cancer Analysis of Age and Sex Differences in Cancer Incidence and Survival in the United States, 2001–2020. Cancers 2025, 17, 378. https://doi.org/10.3390/cancers17030378

AMA Style

Selvaraj RC, Cioffi G, Waite KA, Jackson SS, Barnholtz-Sloan JS. A Pan-Cancer Analysis of Age and Sex Differences in Cancer Incidence and Survival in the United States, 2001–2020. Cancers. 2025; 17(3):378. https://doi.org/10.3390/cancers17030378

Chicago/Turabian Style

Selvaraj, Rachel C., Gino Cioffi, Kristin A. Waite, Sarah S. Jackson, and Jill S. Barnholtz-Sloan. 2025. "A Pan-Cancer Analysis of Age and Sex Differences in Cancer Incidence and Survival in the United States, 2001–2020" Cancers 17, no. 3: 378. https://doi.org/10.3390/cancers17030378

APA Style

Selvaraj, R. C., Cioffi, G., Waite, K. A., Jackson, S. S., & Barnholtz-Sloan, J. S. (2025). A Pan-Cancer Analysis of Age and Sex Differences in Cancer Incidence and Survival in the United States, 2001–2020. Cancers, 17(3), 378. https://doi.org/10.3390/cancers17030378

Note that from the first issue of 2016, this journal uses article numbers instead of page numbers. See further details here.

Article Metrics

Back to TopTop