γδ T Are Significantly Impacted by CLL Burden but Only Mildly Influenced by M-MDSCs
Simple Summary
Abstract
1. Introduction
2. Materials and Methods
2.1. Participants
2.2. γδ. T Stainings
2.3. Molecular Biology
2.4. M-MDSC Generation
2.5. Cytotoxicity Tests
2.6. Cytotoxic Synapse Formation and Termination
2.7. Expression of Transcription Factors
2.8. RNAseq
2.9. In Vitro Expansion
2.10. Statistical Analyses
3. Results
3.1. The Distribution of Circulating γδ T into CD4+/CD8+ and Dim/Bright Subsets Differs Significantly
3.2. There Is No Relation Between γδ T Cells and Overall Survival
3.3. Higher ZAP-70 Expression in γδ T Cells from CLL Patients
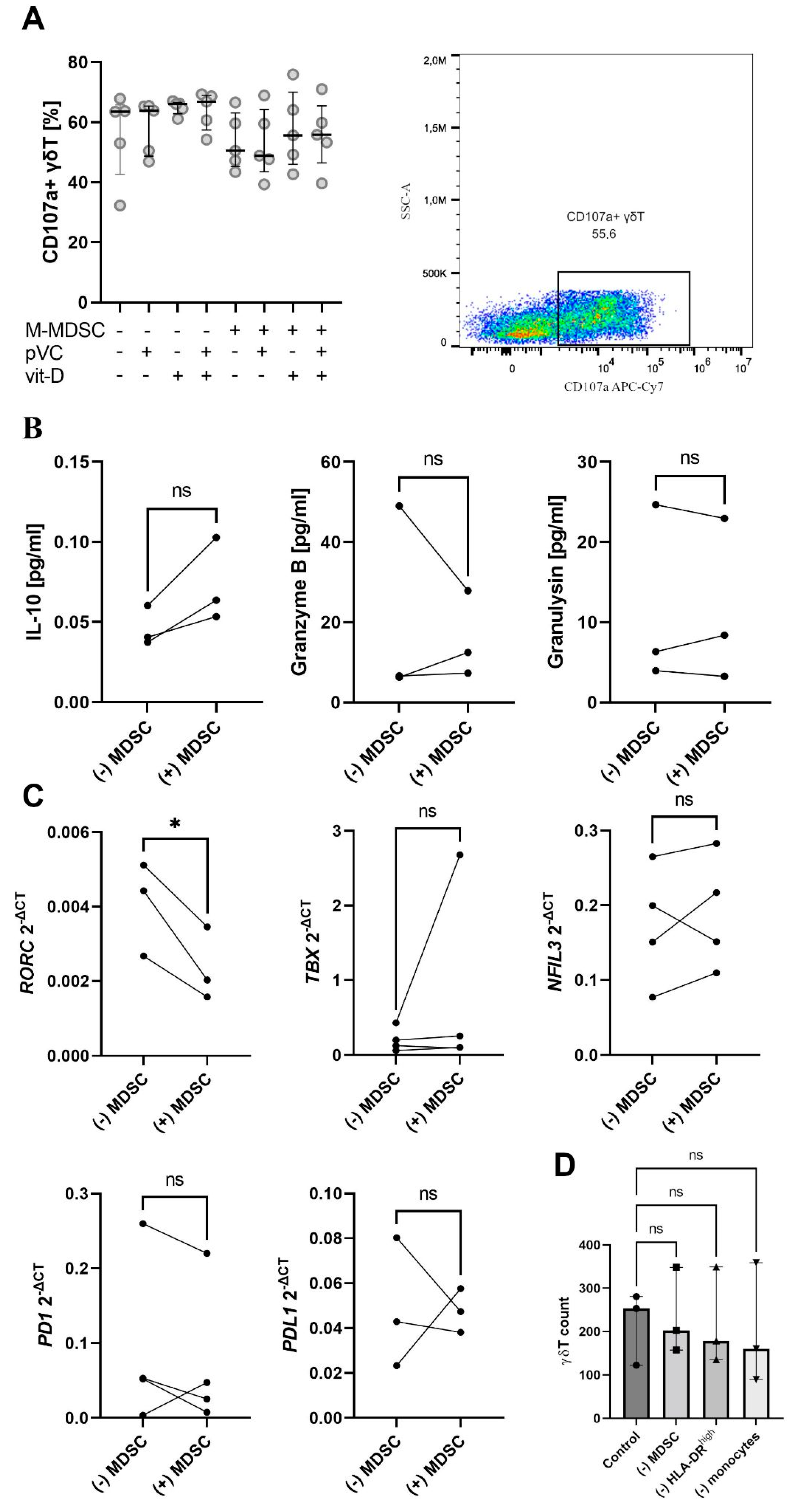
3.4. M-MDSCs Do Not Significantly Affect the Cytotoxic Potential of γδ T Cells
3.5. Depletion of M-MDSCs Does Not Rescue Vδ2 Reactivity to Phosphoantigens
3.6. M-MDSCs Significantly Regulate the Response to Stimulation and Survival of γδ T Cells
4. Discussion
5. Conclusions
Supplementary Materials
Author Contributions
Funding
Institutional Review Board Statement
Informed Consent Statement
Data Availability Statement
Conflicts of Interest
References
- Watson, L.; Wyld, P.; Catovsky, D. Disease Burden of Chronic Lymphocytic Leukaemia within the European Union. Eur. J. Haematol. 2008, 81, 253–258. [Google Scholar] [CrossRef] [PubMed]
- Tietsche de Moraes Hungria, V.; Chiattone, C.; Pavlovsky, M.; Abenoza, L.M.; Agreda, G.P.; Armenta, J.; Arrais, C.; Avendaño Flores, O.; Barroso, F.; Basquiera, A.L.; et al. Epidemiology of Hematologic Malignancies in Real-World Settings: Findings From the Hemato-Oncology Latin America Observational Registry Study. J. Glob. Oncol. 2019, 5, 1–19. [Google Scholar] [CrossRef] [PubMed]
- Alshemmari, S.H.; Hamdah, A.; Pandita, R.; Kunhikrishnan, A. Chronic Lymphocytic Leukemia in a Young Population. Leuk. Res. 2021, 110, 106668. [Google Scholar] [CrossRef] [PubMed]
- Hallek, M.; Cheson, B.D.; Catovsky, D.; Caligaris-Cappio, F.; Dighiero, G.; Döhner, H.; Hillmen, P.; Keating, M.; Montserrat, E.; Chiorazzi, N.; et al. iwCLL Guidelines for Diagnosis, Indications for Treatment, Response Assessment, and Supportive Management of CLL. Blood 2018, 131, 2745–2760. [Google Scholar] [CrossRef]
- Pérez-Carretero, C.; González-Gascón-y-Marín, I.; Rodríguez-Vicente, A.E.; Quijada-Álamo, M.; Hernández-Rivas, J.-Á.; Hernández-Sánchez, M.; Hernández-Rivas, J.M. The Evolving Landscape of Chronic Lymphocytic Leukemia on Diagnosis, Prognosis and Treatment. Diagnostics 2021, 11, 853. [Google Scholar] [CrossRef]
- Moreno, C.; Muñoz, C.; Terol, M.J.; Hernández-Rivas, J.-Á.; Villanueva, M. Restoration of the Immune Function as a Complementary Strategy to Treat Chronic Lymphocytic Leukemia Effectively. J. Exp. Clin. Cancer Res. 2021, 40, 321. [Google Scholar] [CrossRef]
- Oberg, H.-H.; Kellner, C.; Peipp, M.; Sebens, S.; Adam-Klages, S.; Gramatzki, M.; Kabelitz, D.; Wesch, D. Monitoring Circulating Γδ T Cells in Cancer Patients to Optimize Γδ T Cell-Based Immunotherapy. Front. Immunol. 2014, 5, 643. [Google Scholar] [CrossRef][Green Version]
- Skånland, S.S.; Mato, A.R. Overcoming Resistance to Targeted Therapies in Chronic Lymphocytic Leukemia. Blood Adv. 2021, 5, 334–343. [Google Scholar] [CrossRef]
- Yuan, M.; Wang, W.; Hawes, I.; Han, J.; Yao, Z.; Bertaina, A. Advancements in γδT Cell Engineering: Paving the Way for Enhanced Cancer Immunotherapy. Front. Immunol. 2024, 15, 1360237. [Google Scholar] [CrossRef]
- Fonseca, S.; Pereira, V.; Lau, C.; Teixeira, M.D.A.; Bini-Antunes, M.; Lima, M. Human Peripheral Blood Gamma Delta T Cells: Report on a Series of Healthy Caucasian Portuguese Adults and Comprehensive Review of the Literature. Cells 2020, 9, 729. [Google Scholar] [CrossRef]
- Dimova, T.; Brouwer, M.; Gosselin, F.; Tassignon, J.; Leo, O.; Donner, C.; Marchant, A.; Vermijlen, D. Effector Vγ9vδ2 t Cells Dominate the Human Fetal Γδ T-Cell Repertoire. Proc. Natl. Acad. Sci. USA 2015, 112, E556–E565. [Google Scholar] [CrossRef] [PubMed]
- Lee, D.; Rosenthal, C.J.; Penn, N.E.; Dunn, Z.S.; Zhou, Y.; Yang, L. Human Γδ T Cell Subsets and Their Clinical Applications for Cancer Immunotherapy. Cancers 2022, 14, 3005. [Google Scholar] [CrossRef] [PubMed]
- Fisher, J.; Kramer, A.-M.; Gustafsson, K.; Anderson, J. Non-V Delta 2 Gamma Delta T Lymphocytes as Effectors of Cancer Immunotherapy. OncoImmunology 2015, 4, 1–3. [Google Scholar] [CrossRef] [PubMed][Green Version]
- Tomogane, M.; Sano, Y.; Shimizu, D.; Shimizu, T.; Miyashita, M.; Toda, Y.; Hosogi, S.; Tanaka, Y.; Kimura, S.; Ashihara, E. Human Vγ9Vδ2 T Cells Exert Anti-Tumor Activity Independently of PD-L1 Expression in Tumor Cells. Biochem. Biophys. Res. Commun. 2021, 573, 132–139. [Google Scholar] [CrossRef]
- Burnham, R.E.; Zoine, J.T.; Story, J.Y.; Garimalla, S.N.; Gibson, G.; Rae, A.; Williams, E.; Bixby, L.; Archer, D.; Doering, C.B.; et al. Characterization of Donor Variability for Γδ T Cell Ex Vivo Expansion and Development of an Allogeneic Γδ T Cell Immunotherapy. Front. Med. 2020, 7, 588453. [Google Scholar] [CrossRef]
- Coscia, M.; Vitale, C.; Peola, S.; Foglietta, M.; Rigoni, M.; Griggio, V.; Castella, B.; Angelini, D.; Chiaretti, S.; Riganti, C.; et al. Dysfunctional Vγ9Vδ2 T Cells Are Negative Prognosticators and Markers of Dysregulated Mevalonate Pathway Activity in Chronic Lymphocytic Leukemia Cells. Blood 2012, 120, 3271–3279. [Google Scholar] [CrossRef][Green Version]
- Xu, Y.; Xiang, Z.; Alnaggar, M.; Kouakanou, L.; Li, J.; He, J.; Yang, J.; Hu, Y.; Chen, Y.; Lin, L.; et al. Allogeneic Vγ9Vδ2 T-Cell Immunotherapy Exhibits Promising Clinical Safety and Prolongs the Survival of Patients with Late-Stage Lung or Liver Cancer. Cell. Mol. Immunol. 2021, 18, 427–439. [Google Scholar] [CrossRef]
- Zhao, Y.; Niu, C.; Cui, J. Gamma-Delta (Γδ) T Cells: Friend or Foe in Cancer Development? J. Transl. Med. 2018, 16, 3. [Google Scholar] [CrossRef]
- De Weerdt, I.; Hofland, T.; Lameris, R.; Endstra, S.; Jongejan, A.; Moerland, P.D.; De Bruin, R.C.G.; Remmerswaal, E.B.M.; Ten Berge, I.J.M.; Liu, N.; et al. Improving CLL Vγ9Vδ2-T-Cell Fitness for Cellular Therapy by Ex Vivo Activation and Ibrutinib. Blood 2018, 132, 2260–2272. [Google Scholar] [CrossRef]
- Siegers, G.M.; Dhamko, H.; Wang, X.-H.; Mathieson, A.M.; Kosaka, Y.; Felizardo, T.C.; Medin, J.A.; Tohda, S.; Schueler, J.; Fisch, P.; et al. Human Vδ1 Γδ T Cells Expanded from Peripheral Blood Exhibit Specific Cytotoxicity against B-Cell Chronic Lymphocytic Leukemia-Derived Cells. Cytotherapy 2011, 13, 753–764. [Google Scholar] [CrossRef]
- Rai, K.R.; Sawitsky, A.; Cronkite, E.P.; Chanana, A.D.; Levy, R.N.; Pasternack, B.S. Clinical Staging of Chronic Lymphocytic Leukemia. Blood 1975, 46, 219–234. [Google Scholar] [CrossRef] [PubMed]
- Zarobkiewicz, M.; Kowalska, W.; Chocholska, S.; Tomczak, W.; Szymańska, A.; Morawska, I.; Wojciechowska, A.; Bojarska-Junak, A. High M-MDSC Percentage as a Negative Prognostic Factor in Chronic Lymphocytic Leukaemia. Cancers 2020, 12, 2614. [Google Scholar] [CrossRef] [PubMed]
- Okada, S.L.; Simmons, R.M.; Franke-Welch, S.; Nguyen, T.H.; Korman, A.J.; Dillon, S.R.; Gilbertson, D.G. Conditioned Media from the Renal Cell Carcinoma Cell Line 786.O Drives Human Blood Monocytes to a Monocytic Myeloid-Derived Suppressor Cell Phenotype. Cell. Immunol. 2018, 323, 49–58. [Google Scholar] [CrossRef] [PubMed]
- Kondo, M.; Izumi, T.; Fujieda, N.; Kondo, A.; Morishita, T.; Matsushita, H.; Kakimi, K. Expansion of Human Peripheral Blood Γδ T Cells Using Zoledronate. J. Vis. Exp. JoVE 2011, 3182. [Google Scholar] [CrossRef]
- Milacic, M.; Beavers, D.; Conley, P.; Gong, C.; Gillespie, M.; Griss, J.; Haw, R.; Jassal, B.; Matthews, L.; May, B.; et al. The Reactome Pathway Knowledgebase 2024. Nucleic Acids Res. 2024, 52, D672–D678. [Google Scholar] [CrossRef]
- Janssen, O.; Heinze, B.; Bartram, C.R.; Pawlita, M.; Binder, T.; Heimpel, H.; Diehl, K.; Kabelitz, D. Establishment and Characterization of a New Epstein-Barr Virus Transformed Cell Line from a Human B Cell Lymphoma. Blut 1990, 60, 206–212. [Google Scholar] [CrossRef]
- Fleet, J.C.; Burcham, G.N.; Calvert, R.D.; Elzey, B.D.; Ratliff, T.L. 1α, 25 Dihydroxyvitamin D (1,25(OH)2D) Inhibits the T Cell Suppressive Function of Myeloid Derived Suppressor Cells (MDSC). J. Steroid Biochem. Mol. Biol. 2020, 198, 105557. [Google Scholar] [CrossRef]
- Kouakanou, L.; Xu, Y.; Peters, C.; He, J.; Wu, Y.; Yin, Z.; Kabelitz, D. Vitamin C Promotes the Proliferation and Effector Functions of Human Γδ T Cells. Cell. Mol. Immunol. 2019, 17, 462–473. [Google Scholar] [CrossRef]
- Chan, K.F.; Duarte, J.D.G.; Ostrouska, S.; Behren, A. Γδ T Cells in the Tumor Microenvironment—Interactions With Other Immune Cells. Front. Immunol. 2022, 13, 894315. [Google Scholar] [CrossRef]
- Si, Y.; Merz, S.F.; Jansen, P.; Wang, B.; Bruderek, K.; Altenhoff, P.; Mattheis, S.; Lang, S.; Gunzer, M.; Klode, J.; et al. Multidimensional Imaging Provides Evidence for Down-Regulation of T Cell Effector Function by MDSC in Human Cancer Tissue. Sci. Immunol. 2019, 4, eaaw9159. [Google Scholar] [CrossRef]
- Sui, H.; Dongye, S.; Liu, X.; Xu, X.; Wang, L.; Jin, C.Q.; Yao, M.; Gong, Z.; Jiang, D.; Zhang, K.; et al. Immunotherapy of Targeting MDSCs in Tumor Microenvironment. Front. Immunol. 2022, 13, 990463. [Google Scholar] [CrossRef] [PubMed]
- Raber, P.L.; Sierra, R.A.; Thevenot, P.T.; Shuzhong, Z.; Wyczechowska, D.D.; Kumai, T.; Celis, E.; Rodriguez, P.C. T Cells Conditioned with MDSC Show an Increased Anti-Tumor Activity after Adoptive T Cell Based Immunotherapy. Oncotarget 2016, 7, 17565–17578. [Google Scholar] [CrossRef] [PubMed]
- Sacchi, A.; Tumino, N.; Sabatini, A.; Cimini, E.; Casetti, R.; Bordoni, V.; Grassi, G.; Agrati, C. Myeloid-Derived Suppressor Cells Specifically Suppress IFN-γ Production and Antitumor Cytotoxic Activity of Vδ2 T Cells. Front. Immunol. 2018, 9, 1271. [Google Scholar] [CrossRef] [PubMed]
- Cassetta, L.; Bruderek, K.; Skrzeczynska-Moncznik, J.; Osiecka, O.; Hu, X.; Rundgren, I.M.; Lin, A.; Santegoets, K.; Horzum, U.; Godinho-Santos, A.; et al. Differential Expansion of Circulating Human MDSC Subsets in Patients with Cancer, Infection and Inflammation. J. Immunother. Cancer 2020, 8, e001223. [Google Scholar] [CrossRef]
- Ferrer, G.; Jung, B.; Chiu, P.Y.; Aslam, R.; Palacios, F.; Mazzarello, A.N.; Vergani, S.; Bagnara, D.; Chen, S.-S.; Yancopoulos, S.; et al. Myeloid-Derived Suppressor Cell Subtypes Differentially Influence T-Cell Function, T-Helper Subset Differentiation, and Clinical Course in CLL. Leukemia 2021, 35, 3163–3175. [Google Scholar] [CrossRef] [PubMed]
- Chen, J.; Ye, Y.; Liu, P.; Yu, W.; Wei, F.; Li, H.; Yu, J. Suppression of T Cells by Myeloid-Derived Suppressor Cells in Cancer. Hum. Immunol. 2017, 78, 113–119. [Google Scholar] [CrossRef]
- Wan, Y.; Mu, X.; Zhao, J.; Li, L.; Xu, W.; Zhang, M. Myeloid-Derived Suppressor Cell Accumulation Induces Treg Expansion and Modulates Lung Malignancy Progression. Biomed. Rep. 2024, 20, 68. [Google Scholar] [CrossRef]
- Peters, C.; Kabelitz, D.; Wesch, D. Regulatory Functions of Γδ T Cells. Cell. Mol. Life Sci. CMLS 2018, 75, 2125–2135. [Google Scholar] [CrossRef]
- Zarobkiewicz, M.K.; Bojarska-Junak, A.A. The Mysterious Actor—Γδ T Lymphocytes in Chronic Lymphocytic Leukaemia (CLL). Cells 2022, 11, 661. [Google Scholar] [CrossRef]
- Edlich, F. BCL-2 Proteins and Apoptosis: Recent Insights and Unknowns. Biochem. Biophys. Res. Commun. 2018, 500, 26–34. [Google Scholar] [CrossRef]
- Hasapis, S.; Caraballo, I.; Sears, T.J.; Brock, K.D.; Cart, J.B.; Moding, E.J.; Lee, C.-L. Characterizing the Role of Phlda3 in the Development of Acute Toxicity and Malignant Transformation of Hematopoietic Cells Induced by Total-Body Irradiation in Mice. Sci. Rep. 2023, 13, 12916. [Google Scholar] [CrossRef] [PubMed]
- Lei, L.; Wang, Y.; Li, Z.-H.; Fei, L.-R.; Huang, W.-J.; Zheng, Y.-W.; Liu, C.-C.; Yang, M.-Q.; Wang, Z.; Zou, Z.-F.; et al. PHLDA3 Promotes Lung Adenocarcinoma Cell Proliferation and Invasion via Activation of the Wnt Signaling Pathway. Lab. Invest. 2021, 101, 1130–1141. [Google Scholar] [CrossRef] [PubMed]
- Weiderhold, K.N.; Fadri-Moskwik, M.; Pan, J.; Nishino, M.; Chuang, C.; Deeraksa, A.; Lin, S.-H.; Yu-Lee, L.-Y. Dynamic Phosphorylation of NudC by Aurora B in Cytokinesis. PLoS ONE 2016, 11, e0153455. [Google Scholar] [CrossRef] [PubMed]
- Kopecka, J.; Salaroglio, I.C.; Perez-Ruiz, E.; Sarmento-Ribeiro, A.B.; Saponara, S.; De Las Rivas, J.; Riganti, C. Hypoxia as a Driver of Resistance to Immunotherapy. Drug Resist. Updat. 2021, 59, 100787. [Google Scholar] [CrossRef] [PubMed]
- Park, J.H.; Kim, H.-J.; Kim, C.W.; Kim, H.C.; Jung, Y.; Lee, H.-S.; Lee, Y.; Ju, Y.S.; Oh, J.E.; Park, S.-H.; et al. Tumor Hypoxia Represses Γδ T Cell-Mediated Antitumor Immunity against Brain Tumors. Nat. Immunol. 2021, 22, 336–346. [Google Scholar] [CrossRef]
- Brustugun, O.T. Hypoxia as a Cause of Treatment Failure in Non-Small Cell Carcinoma of the Lung. Semin. Radiat. Oncol. 2015, 25, 87–92. [Google Scholar] [CrossRef]
- Li, L.; Cao, B.; Liang, X.; Lu, S.; Luo, H.; Wang, Z.; Wang, S.; Jiang, J.; Lang, J.; Zhu, G. Microenvironmental Oxygen Pressure Orchestrates an Anti- and Pro-Tumoral Γδ T Cell Equilibrium via Tumor-Derived Exosomes. Oncogene 2019, 38, 2830–2843. [Google Scholar] [CrossRef]
- Sureshbabu, S.K.; Chaukar, D.; Chiplunkar, S.V. Hypoxia Regulates the Differentiation and Anti-Tumor Effector Functions of γδT Cells in Oral Cancer. Clin. Exp. Immunol. 2020, 201, 40–57. [Google Scholar] [CrossRef]
- Bartkowiak, J.; Błoński, J.Z.; Niewiadomska, H.; Kulczycka, D.; Robak, T. Characterization of Γδ T Cells in Peripheral Blood from Patients with B-Cell Chronic Lymphocytic Leukaemia. Biomed. Lett. 1998, 58, 19–30. [Google Scholar]
- Poggi, A.; Venturino, C.; Catellani, S.; Clavio, M.; Miglino, M.; Gobbi, M.; Steinle, A.; Ghia, P.; Stella, S.; Caligaris-Cappio, F.; et al. Vδ1 T Lymphocytes from B-CLL Patients Recognize ULBP3 Expressed on Leukemic B Cells and up-Regulated by Trans-Retinoic Acid. Cancer Res. 2004, 64, 9172–9179. [Google Scholar] [CrossRef]
- Własiuk, P.; Giannopoulos, K.; Kowal, M.; Wa̧sik-Szczepanek, E.; Bojarska-Junak, A.; Chocholska, S.; Roliński, J.; Dmoszyńska, A. The Frequency of Lymphocytes Expressing Γδ T-Cell Receptor Is Decreased after Thalidomide and Fludarabine Therapy in Patients with B-Cell Lymphocytic Leukemia. Acta Haematol. Pol. 2007, 38, 133–140. [Google Scholar]
- Bergenfelz, C.; Leandersson, K. The Generation and Identity of Human Myeloid-Derived Suppressor Cells. Front. Oncol. 2020, 10, 109. [Google Scholar] [CrossRef] [PubMed]
- Mulligan, S.P.; Tarn, C.S. Chronic Lymphocytic Leukemia: Diagnosis and Clinical Staging. In Advances in the Treatment of B-Cell Chronic Lymphocytic Leukemia; Future Medicine Ltd.: London, UK, 2012; pp. 7–15. [Google Scholar]
- Stacchini, A.; Aragno, M.; Vallario, A.; Alfarano, A.; Circosta, P.; Gottardi, D.; Faldella, A.; Rege-Cambrin, G.; Thunberg, U.; Nilsson, K.; et al. MEC1 and MEC2: Two New Cell Lines Derived from B-Chronic Lymphocytic Leukaemia in Prolymphocytoid Transformation. Leuk. Res. 1999, 23, 127–136. [Google Scholar] [CrossRef] [PubMed]





Disclaimer/Publisher’s Note: The statements, opinions and data contained in all publications are solely those of the individual author(s) and contributor(s) and not of MDPI and/or the editor(s). MDPI and/or the editor(s) disclaim responsibility for any injury to people or property resulting from any ideas, methods, instructions or products referred to in the content. |
© 2025 by the authors. Licensee MDPI, Basel, Switzerland. This article is an open access article distributed under the terms and conditions of the Creative Commons Attribution (CC BY) license (https://creativecommons.org/licenses/by/4.0/).
Share and Cite
Zarobkiewicz, M.; Kowalska, W.; Szymańska, A.; Lehman, N.; Kowalczyk, B.; Tomczak, W.; Bojarska-Junak, A. γδ T Are Significantly Impacted by CLL Burden but Only Mildly Influenced by M-MDSCs. Cancers 2025, 17, 254. https://doi.org/10.3390/cancers17020254
Zarobkiewicz M, Kowalska W, Szymańska A, Lehman N, Kowalczyk B, Tomczak W, Bojarska-Junak A. γδ T Are Significantly Impacted by CLL Burden but Only Mildly Influenced by M-MDSCs. Cancers. 2025; 17(2):254. https://doi.org/10.3390/cancers17020254
Chicago/Turabian StyleZarobkiewicz, Michał, Wioleta Kowalska, Agata Szymańska, Natalia Lehman, Bożena Kowalczyk, Waldemar Tomczak, and Agnieszka Bojarska-Junak. 2025. "γδ T Are Significantly Impacted by CLL Burden but Only Mildly Influenced by M-MDSCs" Cancers 17, no. 2: 254. https://doi.org/10.3390/cancers17020254
APA StyleZarobkiewicz, M., Kowalska, W., Szymańska, A., Lehman, N., Kowalczyk, B., Tomczak, W., & Bojarska-Junak, A. (2025). γδ T Are Significantly Impacted by CLL Burden but Only Mildly Influenced by M-MDSCs. Cancers, 17(2), 254. https://doi.org/10.3390/cancers17020254

